Bubble Sliding Characteristics and Dynamics of R134a during Subcooled Boiling Flow in a Narrow Gap
Abstract
1. Introduction
2. The Bubble Sliding Model
3. Numerical Methods
3.1. Mesh
3.2. Governing Equations
3.3. Simulation Settings
4. Results and Discussion
4.1. Validation of Numerical Model
4.2. Observation of Bubble Behavior
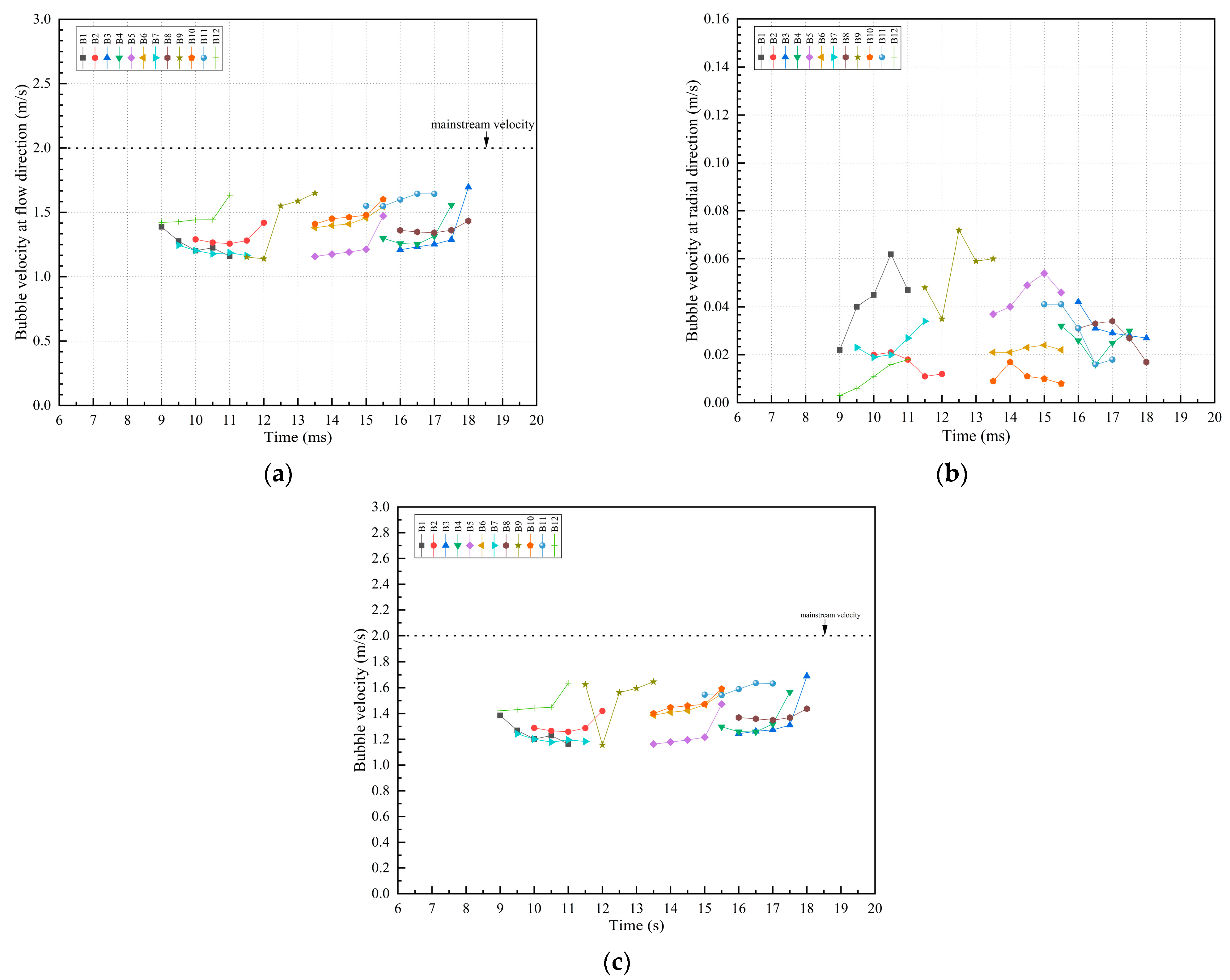
4.3. Analysis of Bubble Velocity
4.4. Analysis of Bubble Sliding Distance and Departure Diameter
4.5. Analysis of Bubble Sliding Dynamics
5. Conclusions
- (1)
- The bubble velocity in the flow direction was the most important contribution to bubble velocity from 0.2 to 5 m/s inlet velocities. Moreover, the bubble velocities of the 12 bubbles mostly oscillated with time during the sliding process at 0.2 to 0.6 m/s inlet velocities, while bubble velocity increased during the sliding process due to the bubbles having a certain inertia at 2 to 5 m/s inlet velocities. Furthermore, the average bubble velocity in the flow direction had a significant decrease from 0.2 to 5 m/s inlet velocity, but the average bubble velocity in the radial direction was opposite than the average bubble velocity in the flow direction. The average bubble velocity in the flow direction accounts for about 80% of the mainstream velocity.
- (2)
- The ratio of the maximum sliding distance to the minimum sliding distance was close to two at inlet velocities of 0.3 to 5 m/s. In addition, with the increase in inlet velocity from 0.2 to 5 m/s, the average sliding distance increased significantly. The average bubble departure diameter increased obviously from 0.2 to 0.5 m/s and greatly reduced after 0.6 m/s inlet velocity. The bubble departure diameter was about at 0.35 m with an enormous increase of the sliding distance in high inlet velocities of 2 to 5 m/s. The bubble departure diameter decreased when the inlet velocity was greater than 0.6 m/s, which was caused by a significant increasing in the sliding distance of the bubble.
- (3)
- At 0.2 to 0.6 m/s inlet velocities, the surface tension, shear lift force and quasi-steady drag force fluctuate during sliding, which might be caused by the fluctuation of the bubble velocity. While at 2 to 5 m/s inlet velocities, except for surface tension, other forces did not oscillate during the sliding process. At 0.2 to 5 m/s inlet velocities, the buoyancy was not related to the bubble velocity; other forces are bubble velocity-related. The order of magnitudes of surface tension, shear lift force and quasi-steady drag force increased with the increasing of inlet velocity from 0.2 m/s to 5 m/s inlet velocity.
- (4)
- At 0.2 to 0.6 m/s inlet velocities, the order of force acting on the bubble during sliding was surface tension > buoyancy and quasi-steady drag force > shear lift force. The surface tension dominated the bubble sliding process at 0.2 to 0.6 m/s inlet velocities. However, the quasi-steady drag force dominated the bubble sliding process at 2 to 5 m/s inlet velocities. The investigation of the bubble sliding dynamics is of great importance to effectively control the sliding process and heat transfer enhancement.
- (5)
- In this paper, the sliding heat transfer and departure heat transfer of bubbles at low (0.2 to 0.6 m/s) and high (2 to 5 m/s) inlet velocities were discussed and evaluated. In the future, the heat transfer performance of bubbles at high and low velocity will be quantitatively analyzed.
Author Contributions
Funding
Institutional Review Board Statement
Informed Consent Statement
Data Availability Statement
Acknowledgments
Conflicts of Interest
Abbreviation
| Nomenclature | Greek Symbols | ||
| A | bubble width [m] | δ | averages of Heaviside function |
| B | bubble height [m] | ε | thickness of interface [m] |
| cp | mixture specific heat capacity [J/kgK] | η | mass transfer coefficient [s−1] |
| D | bubble diameter [m] | κ | surface curvature [1/m] |
| d | hydraulic diameter [m] | λ | mixture conductivity [W/mK] |
| F | force per unit volume of fluid [N/m3] | μ | dynamic viscosity [Ns/m2] |
| G | mass flux [kg/·s] | ν | kinematic viscosity [m2/s] |
| g | acceleration of gravity [m/s2] | ρ | density [kg/m3] |
| h | latent heat [J/kg] | σ | coefficient of surface tension [N/m] |
| Jα | Jacob number = cpΔTsub/(ρvh) | ϕ | symbolic distance function |
| k | turbulent kinetic energy [m2/s2] | ω | turbulent vortex frequency |
| m | mass source [kg/(m3·s)] | Subscripts | |
| p | pressure of interface [N/m2] | ave | average |
| Pr | Prandtl number = cpμ/λ | b | bubble |
| q | heat flux [W/m2] | d | depart |
| Re | Reynolds number = ρud/μ | eff | effective |
| SE | energy source term [W/m3] | l | liquid |
| T | mixture temperature [K] | level | level set |
| ΔTsub | subcooling temperature [K] | p | pressure |
| t | time [s] | sat | saturation |
| velocity [m/s] | sub | subcooling | |
| uτ | shear velocity [m/s] | t | turbulent |
| y+ | turbulence length-scale | v | vapor |
| y | boundary layer length [m] | vol | volume |
| α | volume of fraction | ||
References
- İşkan, Ü.; Direk, M. Evaluation of the effects of entrainment ratios on the performance parameters of a refrigeration machine having dual evaporator ejector system with R134a and R456A. Therm. Sci. Eng. Prog. 2022, 33, 101345. [Google Scholar] [CrossRef]
- Hashemi-Tilehnoee, M.; del Barrio, E.P. Magneto laminar mixed convection and entropy generation analyses of an impinging slot jet of Al2O3-water and Novec-649. Therm. Sci. Eng. Prog. 2022, 36, 101524. [Google Scholar] [CrossRef]
- Pipathattakul, M.; Mahian, O.; Dalkilic, A.S.; Wongwises, S. Effects of the gap size on the flow pattern maps in a mini-gap annular channel. Exp. Therm. Fluid Sci. 2014, 57, 420–424. [Google Scholar] [CrossRef]
- Li, Y.; Jin, T.; Wu, S.; Wei, J.H.; Xia, J.; Karayiannis, T.G. Heat transfer performance of slush nitrogen in a horizontal circular pipe. Therm. Sci. Eng. Prog. 2018, 8, 66–77. [Google Scholar] [CrossRef]
- Julia, J.E.; Hibiki, T. Flow regime transition criteria for two-phase flow in a vertical annulus. Int. J. Heat Fluid Flow 2011, 32, 993–1004. [Google Scholar] [CrossRef]
- Cai, J.; Gong, Z.; Tan, B. Experimental and theoretical investigation of bubble dynamics on vertical surfaces with different wettability for pool boiling. Int. J. Therm. Sci. 2023, 184, 107966. [Google Scholar] [CrossRef]
- Yuan, D.W.; Pan, L.M.; Wei, J.H.; Chen, D. Bubble sliding process on subcooling flow boiling in vertical rectangular narrow channel. In Proceedings of the 18th International Conference on Nuclear Engineering 2010, Xi’an, China, 17–21 May 2010; pp. 1037–1047. [Google Scholar]
- Liu, W.; Liu, H.; Chen, D.; Qin, J.; Yan, P.; Liu, H. Visual experimental study on bubble characteristics near the heating wall in subcooled flow boiling. Prog. Nucl. Energy 2021, 140, 103898. [Google Scholar] [CrossRef]
- Cao, Y.; Kawara, Z.; Yokomine, T.; Kunugi, T. Visualization study on bubble dynamical behavior in subcooled flow boiling under various subcooling degree and flowrates. Int. J. Heat Mass Transf. 2016, 93, 839–852. [Google Scholar] [CrossRef]
- Owoeye, E.J. Bubble Transport in Subcooled Flow Boiling; University of Florida: Gainesville, FL, USA, 2015. [Google Scholar]
- Wei, J.H.; Pan, L.M.; Chen, D.; Zhang, H.; Xu, J.; Huang, Y. Numerical simulation of bubble behaviors in subcooled flow boiling under swing motion. Nucl. Eng. Des. 2011, 241, 2898–2908. [Google Scholar] [CrossRef]
- Klausner, J.F.; Mei, R.; Bernhard, D.M.; Zeng, L.Z. Vapor bubble departure in forced convection boiling. Int. J. Heat Mass Transf. 1993, 36, 651–662. [Google Scholar] [CrossRef]
- Sugrue, R.; Buongiorno, J. A modified force-balance model for prediction of bubble departure diameter in subcooled flow boiling. Nucl. Eng. Des. 2016, 305, 717–722. [Google Scholar] [CrossRef]
- Yun, B.; Splawski, A.; Lo, S.; Song, C. Prediction of a subcooled boiling flow with advanced two-phase flow models. Nucl. Eng. Des. 2012, 253, 351–359. [Google Scholar] [CrossRef]
- Zhou, P.; Huang, R.; Huang, S.; Zhang, Y.; Rao, X. Experimental investigation on bubble contact diameter and bubble departure diameter in horizontal subcooled flow boiling. Int. J. Heat Mass Transf. 2020, 149, 119105. [Google Scholar] [CrossRef]
- Yu, S.; Peng, C.; Zhang, Z.; Cheng, N. Experimental investigation and model prediction of sliding bubble dynamics in vertical subcooled boiling flow. Int. J. Heat Mass Transf. 2023, 200, 123520. [Google Scholar] [CrossRef]
- Wang, K.; Hong, Z.; Liang, H.; Junya, I.; Cheng, S.; Okamoto, K. Experimental investigation on the characteristics of bubble growth and slide on a downward-facing heater surface in flow boiling. Int. J. Therm. Sci. 2023, 184, 108008. [Google Scholar] [CrossRef]
- Ren, T.T.; Zhu, Z.Q.; Zhang, R.; Shi, J.W.; Yan, C.Q. Development of force balance model for prediction of bubble departure diameter and lift-off diameter in subcooled flow boiling. Int. J. Heat Mass Transf. 2020, 161, 120245. [Google Scholar] [CrossRef]
- Meng, Z.F.; Zhang, H.; Lei, M.J.; Qin, Y.B.; Qiu, J.Y. Performance of low GWP R1234yf/R134a mixture as a replacement for R134a in automotive air conditioning systems. Int. J. Heat Mass Transf. 2018, 116, 362–370. [Google Scholar] [CrossRef]
- Jeon, S.; Kim, S.; Park, G. Numerical study of condensing bubble in subcooled boiling flow using volume of fluid model. Chem. Eng. Sci. 2011, 66, 5899–5909. [Google Scholar] [CrossRef]
- Da Riva, E.; Del Col, D. Numerical simulation of laminar liquid film condensation in a horizontal circular minichannel. J. Heat Transf. 2012, 134, 051019. [Google Scholar] [CrossRef]
- Chen, C.; Li, K.; Lin, T.; Li, W.; Yan, W. Study on heat transfer and bubble behavior inside horizontal annuli: Experimental comparison of R-134a, R-407C, and R-410A subcooled flow boiling. Case Stud. Therm. Eng. 2021, 24, 100875. [Google Scholar] [CrossRef]
- Lie, Y.M.; Lin, T.F. Subcooled flow boiling heat transfer and associated bubble characteristics of R-134a in a narrow annular duct. Int. J. Heat Mass Transf. 2006, 49, 2077–2089. [Google Scholar] [CrossRef]
- Wang, J.; Wang, B.; Xie, J.; Lei, K.; Yu, B.; Sun, Y. Numerical simulation research of bubble characteristics and bubble departure diameter in subcooled flow boiling. Mathematics 2022, 10, 4103. [Google Scholar] [CrossRef]
- Yoo, J.; Perez, C.E.E.; Hassan, Y.A. Force balance model predictions of sliding bubbles velocity in vertical subcooled boiling flow. Int. J. Heat Mass Transf. 2021, 175, 121368. [Google Scholar] [CrossRef]
- Chi-Yeh, H.; Griffith, P. The mechanism of heat transfer in nucleate pool boiling—Part I: Bubble initiaton, growth and departure. Int. J. Heat Mass Transf. 1965, 8, 887–904. [Google Scholar] [CrossRef]
- Shao, Y.; Deng, S.; Lu, P.; Zhao, D.; Zhao, L.; Su, W.; Ma, M. A numerical study on heat transfer of R410A during flow boiling. Energy Procedia 2019, 158, 5414–5420. [Google Scholar] [CrossRef]
- Hirt, C.W.; Nichols, B.D. Volume of fluid (VOF) method for the dynamics of free boundaries. J. Comput. Phys. 1981, 39, 201–225. [Google Scholar] [CrossRef]
- Osher, S.; Sethian, J.A. Fronts propagating with curvature-dependent speed: Algorithms based on Hamilton-Jacobi formulations. J. Comput. Phys. 1988, 79, 12–49. [Google Scholar] [CrossRef]
- Wang, Y.; Cai, J. Numerical investigation on bubble evolution during nucleate boiling using diffuse interface method. Int. J. Heat Mass Transf. 2017, 112, 28–38. [Google Scholar] [CrossRef]
- Weigand, B.; Ferguson, J.R.; Crawford, M.E. An extended kays and crawford turbulent Prandtl number model. Int. J. Heat Mass Transf. 1997, 40, 4191–4196. [Google Scholar] [CrossRef]
- Lee, W.H. A pressure iteration scheme for two-phase flow modeling. In Computational Methods for Two-Phase Flow and Particle Transport; World Scientific: Singapore, 2022. [Google Scholar]
- Wilcox, D.C. Multiscale model for turbulent flows. In Proceedings of the 24th AIAA Aerospace Sciences Meeting, Reno, NV, USA, 6–9 January 1986; p. 1311. [Google Scholar]


















| Force | X Flow Direction | Y Radial Direction |
|---|---|---|
| Fs | ||
| Fsl | - | |
| Fqs | - | |
| Fb | - |
| Component | Dimensions (mm) | Component | Boundary Condition |
|---|---|---|---|
| inlet diameter | 10 | inlet | mass flow inlet |
| outlet diameter | 16 | outlet | Pressure outlet |
| length | 100 | inner wall | wall |
| gap | 3 | outer wall | wall |
| gap | fluid |
| Inlet Flowrate (m/s) | Mass Flux (kg/s) |
|---|---|
| 0.2 | 0.0305 |
| 0.3 | 0.0457 |
| 0.4 | 0.0609 |
| 0.5 | 0.0762 |
| 0.6 | 0.0914 |
| 2 | 0.3047 |
| 3 | 0.4570 |
| 4 | 0.6094 |
| 5 | 0.7617 |
| Temperature (K) | Pressure (atm) | Liquid Density (kg/m3) | Vapor Density (kg/m3) | Liquid Cp (kJ/kg·K) | Vapor Cp (kJ/kg·K) | Heat of Vapor (kJ/kg) | Liquid Thermal Conductivity (W/m·K) | Vapor Thermal Conductivity (W/m·K) | Surface Tension (N/m) |
|---|---|---|---|---|---|---|---|---|---|
| 285.15 | 4.3722 | 1254.0 | 21.584 | 1.3768 | 0.95588 | 189.10 | 0.086747 | 0.012584 | 0.0097684 |
| 286.15 | 4.5178 | 1250.5 | 22.290 | 1.3801 | 0.96119 | 188.27 | 0.086312 | 0.012676 | 0.0096325 |
| 287.15 | 4.6670 | 1246.9 | 23.015 | 1.3835 | 0.96659 | 187.43 | 0.085878 | 0.012769 | 0.0094969 |
| 288.15 | 4.8199 | 1243.4 | 23.758 | 1.3869 | 0.97206 | 186.59 | 0.085444 | 0.012862 | 0.0093617 |
Disclaimer/Publisher’s Note: The statements, opinions and data contained in all publications are solely those of the individual author(s) and contributor(s) and not of MDPI and/or the editor(s). MDPI and/or the editor(s) disclaim responsibility for any injury to people or property resulting from any ideas, methods, instructions or products referred to in the content. |
© 2023 by the authors. Licensee MDPI, Basel, Switzerland. This article is an open access article distributed under the terms and conditions of the Creative Commons Attribution (CC BY) license (https://creativecommons.org/licenses/by/4.0/).
Share and Cite
Yu, B.; Wang, J.; Xie, J.; Wang, B.; Wang, F.; Deng, M. Bubble Sliding Characteristics and Dynamics of R134a during Subcooled Boiling Flow in a Narrow Gap. Mathematics 2023, 11, 2197. https://doi.org/10.3390/math11092197
Yu B, Wang J, Xie J, Wang B, Wang F, Deng M. Bubble Sliding Characteristics and Dynamics of R134a during Subcooled Boiling Flow in a Narrow Gap. Mathematics. 2023; 11(9):2197. https://doi.org/10.3390/math11092197
Chicago/Turabian StyleYu, Bo, Jinfeng Wang, Jing Xie, Bingjun Wang, Fei Wang, and Meng Deng. 2023. "Bubble Sliding Characteristics and Dynamics of R134a during Subcooled Boiling Flow in a Narrow Gap" Mathematics 11, no. 9: 2197. https://doi.org/10.3390/math11092197
APA StyleYu, B., Wang, J., Xie, J., Wang, B., Wang, F., & Deng, M. (2023). Bubble Sliding Characteristics and Dynamics of R134a during Subcooled Boiling Flow in a Narrow Gap. Mathematics, 11(9), 2197. https://doi.org/10.3390/math11092197

