Spatial Interpretation of Multi-Criteria Analysis: A Case Study with a Decreasing Number of Criteria and Subjective Approach to Determining Their Importance
Abstract
1. Introduction
2. TOPSIS Technique and Its Basic Description
3. Materials and Methods
- K1—Total debt;
- K2—Debt service;
- K3—Current account balance;
- K4—Liabilities after the due date;
- K5—Liabilities at least 60 days past due.
3.1. Combinations of Entry Criteria as a Structure of Subsequent Analysis
- 1st phase—one criterion is removed each time, i.e., analysis is processed using four criteria a total of five times (combinations B1–B5);
- 2nd phase—two criteria are removed each time, i.e., TOPSIS technique is calculated using three criteria (combinations C1–C10);
- 3rd phase—three criteria are removed each time, i.e., analysis is processed using two criteria a total of five times (combinations D1–D10).
3.2. The Importance of the Criterion as a Factor in Multi-Criteria Analysis
- Subjective;
- Expert;
- Objective;
- Integrated.
- K1—30%, i.e., 0.30;
- K2—10%, i.e., 0.10;
- K3—30%, i.e., 0.30;
- K4—15%, i.e., 0.15;
- K5—15%, i.e., 0.15.
3.3. Identification of the Research Sample
3.4. Description of the Mathematical and Statistical Methods Used
4. Results
4.1. Evaluation of District Towns Using Four Entry Criteria (Combinations B1–B5)
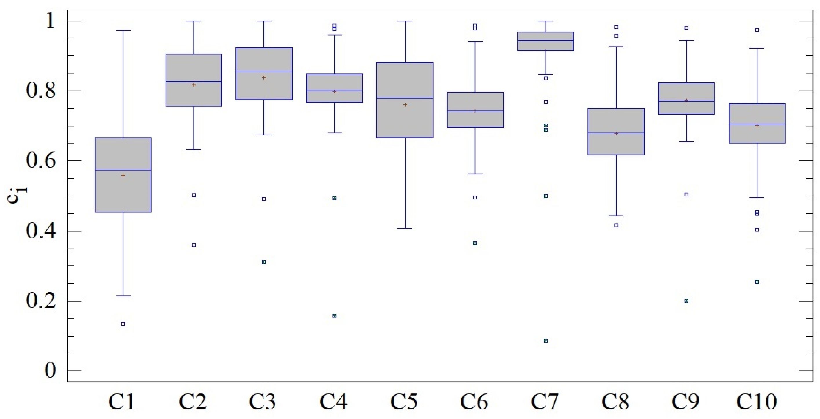
4.2. Evaluation of District Towns Using Three Entry Criteria (Combinations C1–C10)
4.3. Evaluation of District Towns Using Two Entry Criteria (Combinations D1–D10)
4.4. Comparison of District Town Evaluations Across All Combinations
4.5. Overall Assessment of the Results Obtained and Their Spatial Interpretation
5. Discussion and Conclusions
Funding
Data Availability Statement
Conflicts of Interest
References
- Serrano Cinca, C.; Mar Molinero, C.; Bossi Queiroz, A. The measurement of intangible assets in public sector using scaling techniques. J. Intellect. Cap. 2003, 4, 249–275. [Google Scholar] [CrossRef]
- Ter Bogt, H.J.; van Helden, G.J.; van Der Kolk, B. Challenging the NPM ideas about performance management—Selectivity and differentiation in outcome-oriented performance budgeting. Financ. Account. Manag. 2015, 3, 287–315. [Google Scholar] [CrossRef]
- Siegel, J.P.; Summermatter, L.; Siegel, J.P. Defining Performance in Public Management: Defining Performance in Public Management: Variations Over Time and Space. Available online: https://www.researchgate.net/publication/228364550_Defining_Performance_in_Public_Management_A_Survey_of_Academic_Journals (accessed on 20 June 2024).
- Peková, J.; Jetmar, M.; Toth, P. Veřejný Sektor, Teorie a Praxe v ČR; Wolters Kluwer: Prague, Czech Republic, 2019. [Google Scholar]
- Muñoz, F.Y.; Martos, L.P.; Pavón, N.P. Rethinking andalusian ris3 strategy design through regional benchmarking. Investig. Reg. 2021, 51, 5–30. [Google Scholar]
- Hallerberg, M.; Strauch, R.; Von Hagen, J. The Design of Fiscal Rules and Forms of Governance in European Union Countries. Available online: https://www.ecb.europa.eu/pub/pdf/scpwps/ecbwp419.pdf (accessed on 20 June 2024).
- Douša, M. Trvalo Udržateľný Rozvoj Miest Slovenskej Republiky; UPJŠ: Košice, Slovakia, 2021. [Google Scholar]
- Mihaliková, E. Finančná Situácia a Výkonnosť v Samospráve; UPJŠ: Košice, Slovakia, 2011. [Google Scholar]
- Papcunová, V.; Balážová, E. Majetok Obcí; SAPV: Nitra, Slovakia, 2006. [Google Scholar]
- Kraftová, I. Finanční Analýza Municipální Firmy; C. H. Beck: Prague, Czech Republic, 2002. [Google Scholar]
- Vavrek, R.; Adamišin, P.; Kotulič, R. Multi-criteria evaluation of municipalities in Slovakia—Case study in selected districts. Pol. J. Manag. Stud. 2017, 16, 290–301. [Google Scholar] [CrossRef]
- INEKO. Ako Hospodária Obce a VÚC. 2022. Available online: http://www.hospodarenieobci.sk/ (accessed on 15 May 2024).
- Zavadskas, E.K.; Mardani, A.; Turskis, Z.; Jusoh, A.; Nor, K.M. Development of TOPSIS Method to Solve Complicated Decision-Making Problems—An Overview on Developments from 2000 to 2015. Int. J. Inf. Technol. Decis. Mak. 2016, 15, 645–682. [Google Scholar] [CrossRef]
- Tramarico, C.L.; Mizuno, D.; Salomon, V.A.P.; Marins, F.A.S. Analytic hierarchy process and supply chain management: A bibliometric study. Procedia Comput. Sci. 2015, 55, 441–450. [Google Scholar] [CrossRef]
- Ilbahar, E.; Cebi, S.; Kahraman, C. A state-of-the-art review on multi-attribute renewable energy decision making. Energy Strategy Rev. 2019, 25, 18–33. [Google Scholar] [CrossRef]
- Yal, G.; Akgün, U. A Multi-Criteria Performance Analysis of Initial Public Offering (IPO) Firms Using Critic and Vikor Methods. Technol. Econ. Dev. Econ. 2018, 24, 534–560. [Google Scholar]
- Yazdanbakhsh, J.M. Evaluation of land use in areas of Golestan City Using LQ and TOPSIS models. Int. J. Ecol. Dev. 2015, 30, 43–54. [Google Scholar]
- Li, W.; Yi, P.; Zhang, D. Sustainability Evaluation of Cities in Northeastern China Using Dynamic TOPSIS-Entropy Methods. Sustainability 2018, 10, 4542. [Google Scholar] [CrossRef]
- Chen, W.; Shen, Y.; Wang, Y. Evaluation of economic transformation and upgrading of resource-based cities in Shaanxi province based on an improved TOPSIS method. Sustain. Cities Soc. 2018, 37, 232–240. [Google Scholar] [CrossRef]
- Hajilu, M.; Mirehei, M.; Amirian, S.; Pilehar, M. Financial Sustainability of Municipalities and Local Governments in Small-Sized Cities; a Case of Shabestar Municipality. Lex Localis J. Local Self-Gov. 2018, 16, 77–106. [Google Scholar] [CrossRef] [PubMed]
- Ozkaya, G.; Erdin, C. Evaluation of smart and sustainable cities through a hybrid MCDM approach based on ANP and TOPSIS technique. Heliyon 2020, 6, e05052. [Google Scholar] [CrossRef] [PubMed]
- Bostanci, B.; Erdem, N. Investigating the satisfaction of citizens in municipality services using fuzzy modelling. Socio-Econ. Plan. Sci. 2020, 69, 100754. [Google Scholar] [CrossRef]
- Izadi, M.; Vardanjani, M.J.; Varesi, H. Evaluating housing in urban planning using TOPSIS technique: Cities of Isfahan province. Bull. Geogr. Socio-Econ. Ser. 2021, 51, 25–34. [Google Scholar] [CrossRef]
- Wang, Y.; Fang, X.; Yin, S.; Chen, W. Low-carbon development quality of cities in China: Evaluation and obstacle analysis. Sustain. Cities Soc. 2021, 64, 102553. [Google Scholar] [CrossRef]
- Liu, E.; Wang, Y.; Chen, W.; Ning, S. Evaluating the transformation of China’s resource-based cities: An integrated sequential weight and TOPSIS approach. Socio-Econ. Plan. Sci. 2021, 77, 101022. [Google Scholar] [CrossRef]
- Xu, X.; Zhang, Z.; Long, T.; Sun, S.; Gao, J. Mega-city region sustainability assessment and obstacles identification with GIS-entropy-TOPSIS model: A case in Yangtze River Delta urban agglomeration, China. J. Clean. Prod. 2021, 294, 126147. [Google Scholar] [CrossRef]
- Paz, T.S.R.; Caiado, R.G.G.; Quelhas, O.L.G.; Gaviao, L.O.; Lima, G.B.A. Assessment of sustainable development through a multi-criteria approach: Application in brazilian municipalities. J. Environ. Manag. 2021, 282, 111954. [Google Scholar] [CrossRef]
- Miceikiene, A.; Skaurone, L.; Krikštolaitis, R. Assessment of the Financial Autonomy of Rural Municipalities. Economies 2021, 9, 105. [Google Scholar] [CrossRef]
- Akin, C.; Dogan, E. Local Governments and Governance: Analysis of Budget Expenditures of Municipalities by Category in Türkiye with TOPSIS Method (2006–2019). Sosyoekonomi 2023, 31, 357–384. [Google Scholar] [CrossRef]
- Vavrek, R. How much is too much: A case study of local self-government units in Slovakia using absolute variability to determine the importance of financial criteria in MCDM analysis. PLoS ONE 2024, 19, e0311842. [Google Scholar] [CrossRef] [PubMed]
- Djordjević, B.; Krmac, E. Evaluation of energy-environment efficiency of European transport sectors: Non-radial DEA and TOPSIS approach. Energies 2019, 12, 2907. [Google Scholar] [CrossRef]
- Vavrek, R.; Gundová, P.; Kravčáková Vozárová, I.; Kotulič, R. Altman Model Verification Using a Multi-criteria Approach for Slovakian Agricultural Enterprises. EM Econ. Manag. 2021, 24, 146–164. [Google Scholar] [CrossRef]
- Vavrek, R.; Bečica, J. Efficiency Evaluation of Cultural Services in the Czech Republic via Multi-Criteria Decision Analysis. Sustainability 2020, 12, 3409. [Google Scholar] [CrossRef]
- Behzadian, M.; Khanmohammadi Otaghsara, S.; Yazdani, M.; Ignatius, J. A state-of the-art survey of TOPSIS applications. Expert Syst. Appl. 2012, 39, 13051–13069. [Google Scholar] [CrossRef]
- Luan, B.; Yin, R.; Xu, P.; Wang, X.; Yang, X.; Zhang, L.; Tang, X. Evaluating Green Stormwater Infrastructure strategies efficiencies in a rapidly urbanizing catchment using SWMM-based TOPSIS. J. Clean. Prod. 2019, 223, 680–691. [Google Scholar] [CrossRef]
- Ma, L.; Long, H.; Chen, K.; Tu, S.; Zhang, Y.; Liao, L. Green growth efficiency of Chinese cities and its spatio-temporal pattern. Resour. Conserv. Recycl. 2019, 146, 441–451. [Google Scholar] [CrossRef]
- Wu, Y.; Xu, C.; Zhang, B.; Tao, Y.; Li, X.; Chu, H.; Liu, F. Sustainability performance assessment of wind power coupling hydrogen storage projects using a hybrid evaluation technique based on interval type-2 fuzzy set. Energy 2019, 179, 1176–1190. [Google Scholar] [CrossRef]
- Pavic, Z.; Novoselac, V. Notes on TOPSIS Method. Int. J. Res. Eng. Sci. 2013, 1, 5–12. [Google Scholar]
- Kandakoglu, A.; Celik, M.; Akgun, I. A multi-methodological approach for shipping registry selection in maritime transportation industry. Math. Comput. Model. 2009, 49, 586–597. [Google Scholar] [CrossRef]
- Shih, H.; Shyur, H.; Lee, E.S. An extension of TOPSIS for group decision making. Math. Comput. Model. 2007, 45, 801–813. [Google Scholar] [CrossRef]
- Bhutia, P.W.; Phipon, R. Application of AHP and TOPSIS Method for Supplier Selection Problem. J. Eng. 2012, 2, 43–50. [Google Scholar]
- Zyoud, S.H.; Fuchs-Hanusch, D. A bibliometric-based survey on AHP and TOPSIS techniques. Expert Syst. Appl. 2017, 8, 158–181. [Google Scholar] [CrossRef]
- Noryani, M.; Sapuan, S.M.; Mastura, M.T. Multi-criteria decision-making tools for material selection of natural fibre composites: A review. J. Mech. Eng. Sci. 2018, 12, 3330–3353. [Google Scholar] [CrossRef]
- Seyedmohammadi, J.; Sarmadian, F.; Jafarzadeh, A.A.; Ghorbani, M.A.; Shahbazi, F. Application of SAW, TOPSIS and fuzzy TOPSIS models in cultivation priority planning for maize, rapeseed and soybean crops. Geoderma 2018, 310, 178–190. [Google Scholar] [CrossRef]
- Vavrek, R. Evaluation of the Impact of Selected Weighting Methods on the Results of the TOPSIS Technique. Int. J. Inf. Technol. Decis. Mak. 2019, 18, 1821–1843. [Google Scholar] [CrossRef]
- Dutta, B.; Dao, S.D.; Martínez, L.; Goh, M. An evolutionary strategic weight manipulation approach for multi-attribute decision making: TOPSIS method. Int. J. Approx. Reason. 2021, 129, 64–83. [Google Scholar] [CrossRef]
- Pekár, J.; Furková, A. Prípadové Štúdie z Viackriteriálneho Rozhodovania; Ekonóm: Bratislava, Slovakia, 2014. [Google Scholar]
- Liu, J.; Yin, Y. An integrated method for sustainable energy storing node optimization selection in China. Energy Convers. Manag. 2019, 199, 112049. [Google Scholar] [CrossRef]
- Keršuliene, V.; Zavadskas, E.K.; Turskis, Z. Selection of rational dispute resolution method by applying new step-wise weight assessment ratio analysis (Swara). J. Bus. Econ. Manag. 2010, 11, 243–258. [Google Scholar] [CrossRef]
- Kendall, M.G. Rank Correlation Methods; Griffin: London, UK, 1970. [Google Scholar]
- Fisher, R.A.; Yates, F. Statistical Tables for Biological, Agricultural and Medical Research; Oliver and Boyd: Edinburgh, UK, 1963. [Google Scholar]
- Zavadskas, E.K. Multiple Criteria Evaluation of Technological Decisions of Construction; Moscow Civil Engineering Institute: Moscow, Russia, 1987. [Google Scholar]
- Cambazoğlu, S.; Yal, G.P.; Eker, A.M.; Şen, O.; Akgün, H. Geothermal resource assessment of the Gediz Graben utilizing TOPSIS methodology. Geothermics 2019, 80, 92–102. [Google Scholar] [CrossRef]
- Diaz, F.; Cilinskis, E. Use of Multi-Criteria TOPSIS Analysis to Define a Decarbonization Path in Colombia. Environ. Clim. Technol. 2019, 23, 110–128. [Google Scholar] [CrossRef]
- Indzere, Z.; Melvere, M.; Muizniece, I.; Blumberga, D. The Evaluation of Factors Affecting Bioeconomy Development Using Transdisciplinary Approach. Environ. Clim. Technol. 2019, 23, 360–369. [Google Scholar] [CrossRef]
- Wang, D.; Shi, Y.; Wan, K. Integrated evaluation of the carrying capacities of mineral resource-based cities considering synergy between subsystems. Ecol. Indic. 2020, 108, 105701. [Google Scholar] [CrossRef]
- Paradowski, B.; Shekhovtsov, A.; Bączkiewicz, A.; Kizielewicz, B.; Sałabun, W. Similarity Analysis of Methods for Objective Determination of Weights in Multi-Criteria Decision Support Systems. Symmetry 2021, 13, 1874. [Google Scholar] [CrossRef]
- Ouerghi, H.; Mourali, O.; Zagrouba, E. Non-subsampled shearlet transform based MRI and PET brain image fusion using simplified pulse coupled neural network and weight local features in YIQ colour space. IET Image Process. 2018, 12, 1873. [Google Scholar] [CrossRef]
- Yuan, J.; Luo, X. Regional energy security performance evaluation in China using MTGS and SPA-TOPSIS. Sci. Total Environ. 2019, 696, 133817. [Google Scholar] [CrossRef]
- Zhang, L.; Zhang, L.; Xu, Y.; Zhou, P.; Yeh, C.H. Evaluating urban land use efficiency with interacting criteria: An empirical study of cities in Jiangsu China. Land Use Policy 2020, 90, 104292. [Google Scholar] [CrossRef]
- Vavrek, R.; Bečica, J. Similarity of TOPSIS results based on criterion variability: Case study on public economic. PLoS ONE 2022, 17, e0271951. [Google Scholar] [CrossRef]
- Singla, A.; Sing Ahuja, I.; Sing Sethi, A. Comparative Analysis of Technology Push Strategies Influencing Sustainable Development in Manufacturing Industries Using Topsis and Vikor Technique. Int. J. Qual. Res. 2017, 12, 129–146. [Google Scholar]
- Majumder, P.; Pal, A.; Dorai, D.R.; Gopinathan, B.; Mallik, S.; Ahmad, N.; Badaway, A.S.; Changalasetty, S.B. Accelerating depression intervention: Identifying critical psychological factors using MCDM-MOORA technique for early therapy initiation. Ann. Gen. Psychiatry 2024, 23, 35. [Google Scholar] [CrossRef] [PubMed]
- Hussain, Z.; Alam, S.; Hussain, R.; Rahman, S.U. New similarity measure of Pythagorean fuzzy sets based on the Jaccard index with its application to clustering. Ain Shams Eng. J. 2024, 15, 102294. [Google Scholar] [CrossRef]
- Avila, P.; Mota, A.; Oliveira, E.; Castro, H.; Ferreira, L.P.; Bastos, J.; Nuno, O.F.; Moreira, J. Comparative Analysis of Multicriteria Decision-Making Methods for Bus Washing Process Selection: A Case Study. J. Eng. 2024, 2024, 2694662. [Google Scholar] [CrossRef]
- Kumar, R.; Saha, R.; Simic, V.; Dev, N.; Kumar, R.; Banga, H.K.; Bacanin, N.; Singh, S. Rooftop solar potential in micro, small, and medium size enterprises: An insight into renewable energy tapping by decision-making approach. Sol. Energy 2024, 276, 112692. [Google Scholar] [CrossRef]
- Mian, S.H.; Nasr, E.A.; Moiduddin, K.; Saleh, M.; Abidi, M.H.; Alkhalefah, H. Assessment of consolidative multi-criteria decision making (C-MCDM) algorithms for optimal mapping of polymer materials in additive manufacturing: A case study of orthotic application. Heliyon 2024, 10, e30867. [Google Scholar] [CrossRef]
- Fakhrzad, M.B.; Firozpour, M.R.; Nasab, H.H. Comparing Supply Chain Risks Ranking in Multi-Attribute Decision-Making Methods Using the Proposed Three-Dimensional Integration Mean Method. Asia-Pac. J. Oper. Res. 2021, 38, 2150006. [Google Scholar] [CrossRef]
- Wang, J.X.; Zhai, T.X.; Liu, C.; Zhang, Y.S. Determination of the Threshold for Extreme Load Extrapolation Based on Multi-Criteria Decision-Making Technology. J. Mech. Eng. 2017, 63, 201–2011. [Google Scholar] [CrossRef]
- Modarres, R.; Ouarda, T.B.M.J.; Vanasse, A.; Gosselin, P. Modeling seasonal variation of hip fracture in Montreal, Canada. Bone 2012, 50, 909–916. [Google Scholar] [CrossRef]
- Ding, Y.; Cao, K.; Qiao, W.F.; Shao, H.; Yang, F.B.; Li, H. A whale optimization algorithm-based cellular automata model for urban expansion simulation. Int. J. Appl. Earth Obs. Geoinf. 2022, 115, 103093. [Google Scholar] [CrossRef]
- Vojtek, M.; Janizadeh, S.; Vojtekova, J. Riverine flood potential assessment at municipal level in Slovakia. J. Hydrol. Reg. Stud. 2022, 42, 101170. [Google Scholar] [CrossRef]
- Papic, M.; Vukovic, M.; Bikit, I.; Mrda, D.; Forkapic, S.; Bikit, K.; Nikolic, D. Multi-Criteria Analysis of Soil Radioactivity in Cacak Basin, Serbia. Rom. J. Phys. 2014, 59, 846–861. [Google Scholar]
- Vavrek, R.; Kovářová, E. Assessment of the social exclusion at the regional level using multi-criteria approach: Evidence from the Czech Republic. Equlibirium Q. J. Econ. Econ. Policy 2021, 16, 75–102. [Google Scholar] [CrossRef]
- Singh, V.; Dube, M.; Nagasampige, M.; Trivedi, R. TOPSIS-based factor analytic model for the assessment of agricultural development in the state of Uttar Pradesh, India. OPSearch 2024, 1–18. [Google Scholar] [CrossRef]
- da Cruz, M.M.; Caiado, R.G.G.; Sigahi, T.F.A.C.; Anholon, R.; Quelhas, O.L.G.; Rampasso, I.S. Analysis of asset management difficulties observed in Brazilian firms: A study based on expert survey and fuzzy TOPSIS. J. Qual. Maint. Eng. 2024, 30, 434–455. [Google Scholar] [CrossRef]
- dos Santos, J.V.B.; Sigahi, T.F.A.C.; Rampasso, I.S.; de Moraes, G.H.S.M.; Avila, L.V.; Leal, W.; Anholon, R. Adoption of competence management practices by industries in an emerging country: An analysis via fuzzy TOPSIS. Pers. View 2024, 53, 1459–1478. [Google Scholar] [CrossRef]
- Barbosa, I.D.; Macedo, A.N.; Martins, V.W.B. Construction Industry and Its Contributions to Achieving the SDGs Proposed by the UN: An Analysis of Sustainable Practices. Buildings 2023, 13, 1168. [Google Scholar] [CrossRef]
- Mandal, M.C.; Mondai, N.; Ray, A. An expert system based decision-making framework for benchmarking industry in sustainable manufacturing. Benchmarking Int. J. 2024; early access. [Google Scholar] [CrossRef]
- Peng, G.C.; Selvik, J.T.; Abrahamsen, E.B.; Bang, K.E.; Markeset, T. Integrating structure time series forecasting and multicriteria decision analysis for adaptive operational risk assessment: An empirical study using real-time data. Int. J. Syst. Assur. Eng. Manag. 2024, 15, 3162–3181. [Google Scholar] [CrossRef]
- Zhang, J.H.; Ma, G.Y.; Peng, S.; Hou, J.M.; Xu, R.; Luo, L.X.; Hu, J.J.; Yao, N.; Wang, J.A.; Huang, X. Risk Factors and Predictive Models for Peripherally Inserted Central Catheter Unplanned Extubation in Patients with Cancer: Prospective, Machine Learning Study. J. Med. Internet Res. 2023, 25, e49016. [Google Scholar] [CrossRef]
- Huang, Y.Q.; Xu, H.R.; Ding, M.T.; Li, J.Y.; Wang, D.; Li, H.; Sun, M.Y.; Xia, F.; Bai, H.T.; Wang, M.; et al. Screening of Rosemary Essential Oils with Different Phytochemicals for Antioxidant Capacity, Keratinocyte Cytotoxicity, and Anti-Proliferative Activity. Molecules 2023, 28, 586. [Google Scholar] [CrossRef]


















| Combination | Criteria Included in the Analysis | |||||
|---|---|---|---|---|---|---|
| Five criteria | A | K1 | K2 | K3 | K4 | K5 |
| Four criteria | B1 | K1 | K2 | K3 | K4 | |
| B2 | K1 | K2 | K3 | K5 | ||
| B3 | K1 | K2 | K4 | K5 | ||
| B4 | K1 | K3 | K4 | K5 | ||
| B5 | K2 | K3 | K4 | K5 | ||
| Three criteria | C1 | K1 | K2 | K3 | ||
| C2 | K1 | K2 | K5 | |||
| C3 | K1 | K4 | K5 | |||
| C4 | K3 | K4 | K5 | |||
| C5 | K1 | K2 | K4 | |||
| C6 | K1 | K3 | K5 | |||
| C7 | K2 | K4 | K5 | |||
| C8 | K1 | K3 | K4 | |||
| C9 | K2 | K3 | K5 | |||
| C10 | K2 | K3 | K4 | |||
| Two criteria | D1 | K1 | K2 | |||
| D2 | K1 | K3 | ||||
| D3 | K1 | K4 | ||||
| D4 | K1 | K5 | ||||
| D5 | K2 | K3 | ||||
| D6 | K2 | K4 | ||||
| D7 | K2 | K5 | ||||
| D8 | K3 | K4 | ||||
| D9 | K3 | K5 | ||||
| D10 | K4 | K5 | ||||
| Combination | 1. Criterion | 2. Criterion | 3. Criterion | 4. Criterion | 5. Criterion |
|---|---|---|---|---|---|
| 5criteria | |||||
| A | 0.300 | 0.100 | 0.300 | 0.150 | 0.150 |
| 4criteria | |||||
| B1 | 0.352 | 0.117 | 0.352 | 0.176 | xxx |
| B2 | 0.352 | 0.117 | 0.352 | 0.176 | xxx |
| B3 | 0.428 | 0.142 | 0.214 | 0.214 | xxx |
| B4 | 0.333 | 0.333 | 0.167 | 0.166 | xxx |
| B5 | 0.142 | 0.428 | 0.214 | 0.214 | xxx |
| 3criteria | |||||
| C1 | 0.428 | 0.142 | 0.428 | xxx | xxx |
| C2 | 0.545 | 0.181 | 0.272 | xxx | xxx |
| C3 | 0.500 | 0.250 | 0.250 | xxx | xxx |
| C4 | 0.500 | 0.250 | 0.250 | xxx | xxx |
| C5 | 0.545 | 0.181 | 0.272 | xxx | xxx |
| C6 | 0.400 | 0.400 | 0.200 | xxx | xxx |
| C7 | 0.250 | 0.375 | 0.375 | xxx | xxx |
| C8 | 0.400 | 0.400 | 0.200 | xxx | xxx |
| C9 | 0.181 | 0.545 | 0.272 | xxx | xxx |
| C10 | 0.181 | 0.545 | 0.272 | xxx | xxx |
| 2criteria | |||||
| D1 | 0.750 | 0.250 | xxx | xxx | xxx |
| D2 | 0.500 | 0.500 | xxx | xxx | xxx |
| D3 | 0.666 | 0.333 | xxx | xxx | xxx |
| D4 | 0.666 | 0.333 | xxx | xxx | xxx |
| D5 | 0.250 | 0.750 | xxx | xxx | xxx |
| D6 | 0.400 | 0.600 | xxx | xxx | xxx |
| D7 | 0.400 | 0.600 | xxx | xxx | xxx |
| D8 | 0.666 | 0.333 | xxx | xxx | xxx |
| D9 | 0.666 | 0.333 | xxx | xxx | xxx |
| D10 | 0.500 | 0.500 | xxx | xxx | xxx |
| Pairs | Kendall Coefficient |
|---|---|
| A vs. B1 | rK = 0.962 (p < 0.01) |
| A vs. B2 | rK = 0.908 (p < 0.01) |
| A vs. B3 | rK = 0.631 (p < 0.01) |
| A vs. B4 | rK = 0.971 (p < 0.01) |
| A vs. B5 | rK = 0.636 (p < 0.01) |
| Pairs | Kolmogorov-Smirnov Test |
|---|---|
| A vs. B1 | K-S = 2.685 (p < 0.01) |
| A vs. B2 | K-S = 1.258 (p = 0.08) |
| A vs. B3 | K-S = 2.517 (p < 0.01) |
| A vs. B4 | K-S = 0.419 (p = 0.99) |
| A vs. B5 | K-S = 1.426 (p < 0.05) |
| Pairs | Kendall Coefficient |
|---|---|
| A vs. C1 | rK = 0.819 (p < 0.01) |
| A vs. C2 | rK = 0.599 (p < 0.01) |
| A vs. C3 | rK = 0.638 (p < 0.01) |
| A vs. C4 | rK = 0.610 (p < 0.01) |
| A vs. C5 | rK = 0.626 (p < 0.01) |
| A vs. C6 | rK = 0.886 (p < 0.01) |
| A vs. C7 | rK = 0.305 (p < 0.01) |
| A vs. C8 | rK = 0.946 (p < 0.01) |
| A vs. C9 | rK = 0.554 (p < 0.01) |
| A vs. C10 | rK = 0.650 (p < 0.01) |
| Pairs | Kolmogorov-Smirnov Test |
|---|---|
| A vs. C1 | K-S = 4.028 (p < 0.01) |
| A vs. C2 | K-S = 2.265 (p < 0.01) |
| A vs. C3 | K-S = 2.685 (p < 0.01) |
| A vs. C4 | K-S = 1.594 (p < 0.05) |
| A vs. C5 | K-S = 1.258 (p = 0.08) |
| A vs. C6 | K-S = 1.258 (p = 0.08) |
| A vs. C7 | K-S = 5.035 (p < 0.01) |
| A vs. C8 | K-S = 2.685 (p < 0.01) |
| A vs. C9 | K-S = 0.671 (p = 0.75) |
| A vs. C10 | K-S = 2.433 (p < 0.01) |
| Pairs | Kendall Coefficient |
|---|---|
| A vs. D1 | rK = 0.552 (p < 0.01) |
| A vs. D2 | rK = 0.814 (p < 0.01) |
| A vs. D3 | rK = 0.630 (p < 0.01) |
| A vs. D4 | rK = 0.598 (p < 0.01) |
| A vs. D5 | rK = 0.535 (p < 0.01) |
| A vs. D6 | rK = −0.061 (p = 0.44) |
| A vs. D7 | rK = 0.265 (p < 0.01) |
| A vs. D8 | rK = 0.611 (p < 0.01) |
| A vs. D9 | rK = 0.523 (p < 0.01) |
| A vs. D10 | rK = 0.209 (p = 0.12) |
| Pairs | Kolmogorov-Smirnov Test |
|---|---|
| A vs. D1 | K-S = 2.685 (p < 0.01) |
| A vs. D2 | K-S = 4.111 (p < 0.01) |
| A vs. D3 | K-S = 1.594 (p < 0.05) |
| A vs. D4 | K-S = 2.349 (p < 0.01) |
| A vs. D5 | K-S = 4.615 (p < 0.01) |
| A vs. D6 | K-S = 2.097 (p < 0.01) |
| A vs. D7 | K-S = 5.202 (p < 0.01) |
| A vs. D8 | K-S = 2.433 (p < 0.01) |
| A vs. D9 | K-S = 0.671 (p = 0.75) |
| A vs. D10 | K-S = 5.202 (p < 0.01) |
Disclaimer/Publisher’s Note: The statements, opinions and data contained in all publications are solely those of the individual author(s) and contributor(s) and not of MDPI and/or the editor(s). MDPI and/or the editor(s) disclaim responsibility for any injury to people or property resulting from any ideas, methods, instructions or products referred to in the content. |
© 2024 by the author. Licensee MDPI, Basel, Switzerland. This article is an open access article distributed under the terms and conditions of the Creative Commons Attribution (CC BY) license (https://creativecommons.org/licenses/by/4.0/).
Share and Cite
Vavrek, R. Spatial Interpretation of Multi-Criteria Analysis: A Case Study with a Decreasing Number of Criteria and Subjective Approach to Determining Their Importance. Mathematics 2024, 12, 3497. https://doi.org/10.3390/math12223497
Vavrek R. Spatial Interpretation of Multi-Criteria Analysis: A Case Study with a Decreasing Number of Criteria and Subjective Approach to Determining Their Importance. Mathematics. 2024; 12(22):3497. https://doi.org/10.3390/math12223497
Chicago/Turabian StyleVavrek, Roman. 2024. "Spatial Interpretation of Multi-Criteria Analysis: A Case Study with a Decreasing Number of Criteria and Subjective Approach to Determining Their Importance" Mathematics 12, no. 22: 3497. https://doi.org/10.3390/math12223497
APA StyleVavrek, R. (2024). Spatial Interpretation of Multi-Criteria Analysis: A Case Study with a Decreasing Number of Criteria and Subjective Approach to Determining Their Importance. Mathematics, 12(22), 3497. https://doi.org/10.3390/math12223497
