Abstract
Simulating electromagnetic (EM) fields can obtain the EM responses of geoelectric models at different times and spaces, which helps to explain the dynamic process of EM wave propagation underground. EM forward modeling is regarded as the engine of inversion. Traditional numerical methods have certain limitations in simulating the EM responses from large-scale geoelectric models. In recent years, the emerging physics-informed neural networks (PINNs) have given new solutions for geophysical EM field simulations. This paper conducts a preliminary exploration using PINN to simulate geophysical frequency domain EM fields. The proposed PINN performs self-supervised training under physical constraints without any data. Once the training is completed, the responses of EM fields at any position in the geoelectric model can be inferred instantly. Compared with the finite-difference solution, the proposed PINN performs the task of geophysical frequency domain EM field simulations well. The proposed PINN is applicable for simulating the EM response of any one-dimensional geoelectric model under any polarization mode at any frequency and any spatial position. This work provides a new scenario for the application of artificial intelligence in geophysical EM exploration.
    Keywords:
                                                                    deep learning;                    geophysical electromagnetic fields;                    frequency domain;                    Maxwell’s equations;                    physics-informed neural network        MSC:
                86-10
            1. Introduction
Electromagnetic (EM) induction and the laws of EM wave propagation in subsurface media are the fundamental principles of geophysical EM exploration. EM forward modeling can obtain the EM field distribution underground and establish a preliminary correspondence between EM responses and the geoelectric model, which is very helpful for understanding complex geoelectric models and EM data [,,]. This study will focus on the simulation of geophysical EM fields based on the boundary value problems (BVPs) derived from Maxwell’s equations in the frequency domain.
Numerical simulation methods, such as the finite difference (FD) method and the finite element (FE) method, are usually employed for EM forward modeling. We reviewed the traditional methods for geophysical EM forward modeling and built the STAMP (Storage, Time, Accuracy, Model complexity, Parallelization) evaluation model to qualitatively describe the advantages and disadvantages of these methods []. There are also ongoing efforts to optimize and improve FD [,,] and FE [,,]. However, traditional methods face difficulties in dealing with high-dimensional situations and have low efficiency in solving inverse problems; it is difficult for mature numerical methods to make further breakthroughs.
With its successful application in many fields, deep learning (DL) has been widely applied in various fields of academia and industry, not only to promote the development of academia but also to generate application prospects in industry. We previously mentioned the potential applications of DL for EM field simulations in the review []. Later, Shan et al. [] applied the multitask learning scheme, Deng et al. [] developed two neural network models, Conv-BiLSTM and D-LinkNet, and Wang et al. [] integrated Swin Transformer and U-Net to propose SwinUNETR. All of these works aimed to accelerate magnetotelluric (MT) forward modeling based on DL. However, purely data-driven DL methods clearly lack any advantages in terms of accuracy and efficiency in EM field simulations compared with traditional numerical methods.
With the innovation of algorithms, DL has shown the potential to solve partial differential equations (PDEs). The emerging physics-informed neural networks (PINN) [,] have demonstrated excellent performance in solving Burgers’ equation [], Navier–Stoke equations [], Poisson equation [], Euler equation [], Helmholtz equation [], and wave equation []. Kharazmi et al. [] proposed hp-variational PINNs (hp-VPINNs) with domain decomposition, and Taylor et al. [] further developed a Deep Fourier-based Residual (DFR) method. Subsequently, various optimization strategies for PINN have been developed, such as residual-based attention [], multilevel domain decomposition [], hard-constrained sequential [], and multistep asymptotic pre-training strategy []. Recently, Shukla et al. [] proposed a hybrid framework integrating PINNs with the high-fidelity Spectral Element Method (SEM) solver called NeuroSEM. In addition, a series of DL methods with stronger learning ability and adaptability have been developed for the parametric PDE, such as Fourier neural operator (FNO) [] and DeepONets []. These provide new ideas and novel methods for solving geophysical PDEs.
In fact, PINNs have been successfully applied in seismic [,,], gravity [,], and ground penetrating radar [] in geophysics. However, there is little relevant PINN work in the field of geophysical EM exploration. It should be pointed out that although some works [,] have employed PINNs to solve Maxwell’s equations in other fields, the large spatial scale and frequency range, the complex geological structure and electrical characteristics, and the complex boundary conditions involved in the BVPs all pose challenges to the application of PINNs in simulating geophysical EM fields.
This study explores the use of PINN with EM constraint for solving geophysical frequency domain EM responses. We targeted the BVP satisfied by geophysical EM exploration as the loss function and added upper boundary conditions in the form of hard constraints to the loss function. To the best of our knowledge, this is the first application of PINN in geophysical EM forward modeling.
The structure of this manuscript is as follows: in Section 2, the BVP is derived from frequency-domain Maxwell’s equations, and the proposed PINN is introduced with details of the training processes; in Section 3, a set of three-layer and two multi-layer geoelectric models are taken as cases for the prediction of the proposed PINN and compared with the FD solutions; the challenges and developments are discussed in Section 4, and the drawn conclusions are presented in Section 5.
2. Materials and Methods
2.1. Frequency-Domain Maxwell’s Equations
To simulate the EM fields, the differential form of Maxwell’s equations for harmonic fields in the frequency domain can be expressed as follows:
      
        
      
      
      
      
    
      
        
      
      
      
      
    
        where ; E and H are the electric and magnetic fields, respectively;  is the angular frequency;  is the electric conductivity;  and  are the external magnetic and electrical sources, respectively; is the magnetic permittivity; and  is the dielectric constant. In calculations,  and  approximate  and  in a vacuum.
In the Cartesian coordinate system, the z-axis is vertically downwards, and the x-axis and y-axis are within the surface horizontal plane. The field source is assumed to be a plane EM wave vertically incident along the z-axis direction from high altitude on homogeneous isotropic earth media, with no external field source ().
By combining Equations (1) and (2) and the vector identity, the EM Helmholtz equations can be obtained as follows:
      
        
      
      
      
      
    
      
        
      
      
      
      
    
        where  is the Laplacian operator,  is the wavenumber, and . For earth media, the displacement current can be neglected () if the frequency is less than . The frequency of EM exploration generally does not exceed ; therefore, the wavenumber .
For one-dimensional geoelectric models, the EM fields are uniform in the horizontal direction (). The transverse electric (TE) and transverse magnetic (TM) polarization modes of EM waves can be obtained separately as follows:
      
        
      
      
      
      
    
      
        
      
      
      
      
    
Taking the electric field solution in TE mode as an example, the Helmholtz equations of EM fields are as follows:
      
        
      
      
      
      
    
      
        
      
      
      
      
    
In general, only one of Equation (7) or (8) needs to be solved, and then the relationship between  and  in (5) is used to solve for the other field. In this study, we discuss the solution to Equation (7).
To solve Equation (7), the upper boundary () condition is set as follows:
      
        
      
      
      
      
    
        and the lower boundary () condition is given using the Robin boundary condition as shown in Equation (10):
      
        
      
      
      
      
    
The control equation (Equation (7)) and the boundary conditions (Equations (9) and (10)) constitute the BVP for EM field simulation. When the conductivity of the geoelectric model varies continuously in segments, numerical methods are required to solve the BVP. In this study, FD, as a classical traditional numerical method, is used to calculate the numerical solution for BVP.
The geoelectric model is divided into multiple uniform grids. The spatial derivative terms at each grid point, including  in Equation (7) and  in Equation (10), can be respectively approximated according to a two-point central finite difference scheme as follows:
      
        
      
      
      
      
    
      
        
      
      
      
      
    
2.2. Physics-Informed Neural Network
This study proposes the simulation of EM fields in the frequency domain using the PINN; the workflow is shown in Figure 1. The vertical coordinate  is normalized by max-min normalization. The real and imaginary components of the electric fields normalized by the surface electric field are the outputs. The fully connected neural network (FCNN) is adopted to approximate a function , which consists of  hidden layers with  neurons in each hidden layer . A weighting parameter is defined as , which connects the ith neuron in the th hidden layer and the jth neuron in the lth layer.  is a bias term in the lth hidden layer, and  denotes the activation function after the linear layers in the input and hidden layers to enhance the nonlinear expression of the network. The FCNN  with  hidden layers is described as follows:
      
        
      
      
      
      
    
        where  are, respectively, the weight matrices and the biases in each hidden layer;  are the parameters of the output layer; and  is the set of
        
      
        
      
      
      
      
    
 
      
    
    Figure 1.
      The workflow of the proposed PINN.
  
The training process of the PINN is self-supervised without any data labels, which means that the training completely depends on the loss function. We impose hard constraints on the PINN solution by constructing the ansatz to strictly satisfy the Dirichlet boundary condition on the upper boundary (Equation (9)). The specific way to construct the ansatz is as follows:
      
        
      
      
      
      
    
      
        
      
      
      
      
    
        where  are the outputs of the DNN;  are the real and imaginary components of ;  is a trainable parameter with an initial value of 1. The lower boundary condition (Equation (10)) can only be added to the loss function in the form of weak constraints.
We defined the PDE loss term  according to Equation (7), and then we transformed the original Equation (10) by multiplying both sides by the wavenumber  to define the lower boundary condition loss term . In addition, both loss terms are divided by . As a result, the loss function  is defined as follows:
      
        
      
      
      
      
    
      
        
      
      
      
      
    
      
        
      
      
      
      
    
        where  and  are the numbers of sample points for the corresponding loss, and  is the conductivity value at the lower boundary. The first and second derivatives of the spatial coordinates in the loss function can be easily obtained through automatic differentiation (AD) []. The reason for using RMSE as the loss function here is that RMSE has lower sensitivity to the order of magnitude difference in PDE (Equation (7)), providing better stability and reducing the impact of cumulative errors. All loss terms need to be split into real and imaginary components for calculation separately.
2.3. Network Training
The choice of activation function also has a significant impact on the PINN. Due to the involvement of second-order derivative calculations in Equation (7), it is crucial to choose an activation function that has high-order derivatives and is continuous. The fact that piecewise linearity functions cannot be differentiable everywhere makes the rectified linear unit (relu) activation function perform worse when calculating higher-order derivatives in PINN. The hyperbolic tangent function (tanh) activation function has good mathematical properties, such as its higher-order derivatives being smooth and continuous and being infinitely differentiable. Therefore, we choose the commonly used tanh in PINNs as the activation function to ensure the stability and accuracy of the model when calculating second-order derivatives.
Reasonable weight initialization is crucial for improving the training efficiency, convergence speed, and model performance of PINN. Different weight initialization methods, such as Xavier initialization, Kaiming initialization, normal distribution, and uniform distribution random initialization, can all play a role in PINNs. In this study, the weight initialization of the proposed PINN adopts Kaiming initialization [].
The commonly used Adam optimizer [] is adopted with full batch training for 50,000 epochs. In order to obtain more accurate prediction results, the fixed learning rate is replaced by adaptive learning rate adjustment strategies with an initial learning rate of 0.005. When the loss does not decrease for training every 1500 epochs, the learning rate will be updated to 0.5 times the previous learning rate. If the updated learning rate is less than , the learning rate is fixed to  with no update until the end of training.
The PINN is trained after 50,000 epochs. The corresponding electric fields at any depth of the geoelectric model can be predicted almost instantly. It is worth noting that while predicting the electric fields simultaneously, the first-order componential derivative of the electric fields in space can be obtained with the help of AD. Then, the magnetic fields can be predicted directly according to Equation (5).
3. Results
To verify the proposed PINN, we designed a set of three-layer and two multi-layer geoelectrical models. These geoelectrical models share a common target depth of 10 km and are sampled with an equal spacing of 1 m in the vertical direction to create 10,001 uniformly distributed grid points. Four frequencies, including , are tested. We compare the PINN-predicted results with the numerical solutions from a two-point central FD scheme. All training and predictions are performed on an NVIDIA Geforce GTX 1080Ti GPU with 11 GB of memory. The performance of PINNs is significantly influenced by the choice of network architecture. We set up three, five, and seven hidden layers, each containing 30, 50, and 70 neurons. Taking the electric field result of a uniform half-space at a frequency of 1 Hz as an example, we compared the training and prediction results of multiple groups of network scales in Table 1 and, prioritizing accuracy, we chose the network structure shown in Figure 1, which consists of five hidden layers and 50 neurons per hidden layer. All results presented in the following text are presented using this network structure.
 
       
    
    Table 1.
    Comparison of prediction accuracies between different network architectures.
  
3.1. Three-Layer Models
A set of three-layer geoelectric models, which are the standard models for testing traditional methods, shown in Figure 2, are tested first. The upper and lower layers are background layers with resistivity of , and the middle layer is a layer with resistivities of  corresponding to the low-resistance model, uniform half-space model, and high-resistance model, respectively.
 
      
    
    Figure 2.
      A set of three-layer geoelectric models. (a) low-resistance model (Simple Model 1); (b) uniform half-space model (Simple Model 2); (c) high-resistance model (Simple Model 3).
  
The training loss curves at the four frequencies of the three simple models, as depicted in Figure 3, demonstrate satisfactory levels of training convergence. It can be observed that over 40,000 epochs, the loss curves tend to flatten, and the convergence performances of the loss curves are reasonable during the whole training process.
 
      
    
    Figure 3.
      Training loss curves of Simple Model 1 (top line) at 1 Hz (a), 10 Hz (b), 100 Hz (c), and 1000 Hz (d); Simple Model 2 (middle line) at 1 Hz (e), 10 Hz (f), 100 Hz (g), and 1000 Hz (h); and Simple Model 3 (bottom line) at 1 Hz (i), 10 Hz (j), 100 Hz (k), and 1000 Hz (l). The blue, orange, and green curves represent ,  and , respectively.
  
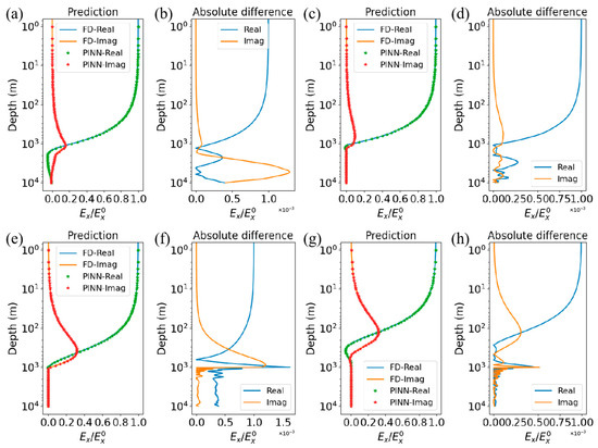
Figure 4, Figure 5 and Figure 6 show the solutions and the corresponding differences between the real and imaginary components of the electric fields using the PINN and FD. The horizontal axis represents the normalized electric fields by the surface electric field, while the vertical axis represents depth. The solid lines in blue and orange represent the FD results, while the stars in green and red represent the PINN prediction results. The absolute differences are all below , indicating that there are quite minimal differences between the two methods. The PINN prediction results are accurate and reliable.
 
      
    
    Figure 4.
      Comparison of the simulation results of the proposed PINN and FD for the electric field response of Simple Model 1 at (a,b) 1 Hz; (c,d) 10 Hz; (e,f) 100 Hz; and (g,h) 1000 Hz.
  
 
      
    
    Figure 5.
      Comparison of the simulation results of the proposed PINN and FD for the electric field response of Simple Model 2 at (a,b) 1 Hz; (c,d) 10 Hz; (e,f) 100 Hz; and (g,h) 1000 Hz.
  
 
      
    
    Figure 6.
      Comparison of the simulation results of the proposed PINN and FD for the electric field response of Simple Model 3 at (a,b) 1 Hz; (c,d) 10 Hz; (e,f) 100 Hz; and (g,h) 1000 Hz.
  
The results and the corresponding differences between the magnetic fields from the PINN and the FD are shown in Figure 7, Figure 8 and Figure 9, where the horizontal axis represents the normalized magnetic fields. It should be pointed out that the magnitude of the absolute difference varies with the normalized magnetic field values at different frequencies. The subtle difference can also be observed and the absolute differences are less than one thousandth of the true values. Combined with the results in Figure 4, Figure 5 and Figure 6, it is proven that the PINN is feasible for EM field simulation.
 
      
    
    Figure 7.
      Comparison of the simulation results of the proposed PINN and FD for the magnetic field response of Simple Model 1 at (a,b) 1 Hz; (c,d) 10 Hz; (e,f) 100 Hz; and (g,h) 1000 Hz.
  
 
      
    
    Figure 8.
      Comparison of the simulation results of the proposed PINN and FD for the magnetic field response of Simple Model 2 at (a,b) 1 Hz; (c,d) 10 Hz; (e,f) 100 Hz; and (g,h) 1000 Hz.
  
 
      
    
    Figure 9.
      Comparison of the simulation results of the proposed PINN and FD for the magnetic field response of Simple Model 3 at (a,b) 1 Hz; (c,d) 10 Hz; (e,f) 100 Hz; and (g,h) 1000 Hz.
  
3.2. Multi-Layer Models
We established a series of random multi-layer geoelectric models based on the reasonable range of resistivity values () for the common rock strata in actuality. The resistivity and thickness of each layer in the models are random, which can better verify the adaptability and generalization of the proposed PINN for simulating frequency domain EM responses of arbitrary one-dimensional layered geoelectric models. The two multi-layer models shown in Figure 10 are randomly selected to further test the proposed PINN. As with previous tests, the EM responses were tested at the same four frequencies. Figure 11 shows the training loss curves at the four frequencies, indicating that they all have good convergence performance.
 
      
    
    Figure 10.
      The two multi-layer geoelectric models. (a) Complex Model 1. (b) Complex Model 2.
  
 
      
    
    Figure 11.
      The training loss curves of Complex Model 1 (top line) at 1 Hz (a), 10 Hz (b), 100 Hz (c), and 1000 Hz (d) and Complex Model 2 (bottom line) at 1 Hz (e), 10 Hz (f), 100 Hz (g), and 1000 Hz (h). The blue, orange, and green curves represent ,  and , respectively.
  
The solutions of the electric fields of the two complex multi-layer models obtained using both the PINN and FD are displayed in Figure 12 and Figure 13, respectively. Despite the complex layering and abrupt changes in resistivity values in the models, the prediction results of PINN correspond well with the calculation results of FD in both real and imaginary components. This confirms that the proposed PINN can simulate the EM response of complex models.
 
      
    
    Figure 12.
      Comparison of the simulation results of the proposed PINN and FD for the electric field response of Simple Model 1 at (a,b) 1 Hz; (c,d) 10 Hz; (e,f) 100 Hz; and (g,h) 1000 Hz.
  
 
      
    
    Figure 13.
      Comparison of the simulation results of the proposed PINN and FD for the electric field response of Simple Model 2 at (a,b) 1 Hz; (c,d) 10 Hz; (e,f) 100 Hz; and (g,h) 1000 Hz.
  
Figure 14 and Figure 15 show the solutions of the real and imaginary components of the magnetic fields by the PINN and FD, with slight differences between the two methods. In a word, the proposed PINNs perform well in the simulation of geophysical frequency-domain EM fields.
 
      
    
    Figure 14.
      Comparison of the simulation results of the proposed PINN and FD for the magnetic field response of Complex Model 1 at (a,b) 1 Hz; (c,d) 10 Hz; (e,f) 100 Hz; and (g,h) 1000 Hz.
  
 
      
    
    Figure 15.
      Comparison of the simulation results of the proposed PINN and FD for the magnetic field response of Complex Model 2 at (a,b) 1 Hz; (c,d) 10 Hz; (e,f) 100 Hz; and (g,h) 1000 Hz.
  
In addition, from the electric and magnetic field response results of two complex models, it can be seen that even if the resistivity models have complex mutations, the EM responses can still remain smooth and continuous. During the propagation of EM fields, they will respond to different geological structures encountered, but this response is often a comprehensive effect that can smooth out the discontinuity of geological bodies. This means that the equivalence of resistivity will result in multiple solutions in the inversion results, which poses a challenge to EM inversion.
4. Discussion
The main contribution of this paper is performing geophysical EM field simulations in the frequency domain using PINN. Physical constraints enable the neural network’s self-supervised learning and satisfy the EM Helmholtz equations. Although we only present the test results in TE polarization mode in this paper, the proposed PINN can be applied to the simulation of geophysical EM fields in any one-dimensional layered model under both TE and TM polarization modes. To the best of our knowledge, this study is the first successful work to apply PINN to simulate geophysical EM fields.
We also normalize the frequencies commonly used in actual MT exploration after taking the logarithm and input them into the multi-frequency PINN, as shown in Figure 16. The Simple Model 2 was tested, and the multi-frequency PINN was able to predict the EM responses at all input frequencies after training 50,000 epochs. Figure 17 and Figure 18 show the EM simulation results of the multi-frequency PINN and FD at several frequencies. The results indicate that the multi-frequency PINN has high accuracy. Due to training multiple frequencies simultaneously, the multi-frequency PINN greatly improves the efficiency of PINN in solving EM responses at multiple frequencies.
 
      
    
    Figure 16.
      The multi-frequency PINN.
  
 
      
    
    Figure 17.
      The prediction electric field responses at (a,b) 1.25 Hz; (c,d) 15.8 Hz; (e,f) 79.4 Hz; (g,h) 398.1 Hz.
  
 
      
    
    Figure 18.
      The prediction magnetic field responses at (a,b) 1.25 Hz; (c,d) 15.8 Hz; (e,f) 79.4 Hz; (g,h) 398.1 Hz.
  
Although this paper only uses PINN to solve the EM response of a one-dimensional geoelectric model, from the perspective of solving PDE, PINN is more suitable for solving high-dimensional (even 100-dimensional) problems, which only requires dimension extension of the network input, as in the multi-frequency PINN case mentioned above. However, traditional numerical methods, including FD, face the “curse of dimensionality” when dealing with problems that exceed three dimensions, as computational complexity and resource requirements grow exponentially with increasing dimensions.
Moreover, within the framework of PINN, the workflows of forward modeling and inversion are completely consistent, and even forward modeling and inversion can be performed synchronously. This is different from the traditional electromagnetic inversion, which needs to obtain the response through forward modeling first and then update the model by minimizing the objective function. This paper uses PINN to solve EM forward problems in order to prepare for EM inversion using PINN in the future.
It should be noted that although PINNs have significant advantages in solving PDEs and data scarcity problems, they also have some inherent limitations and challenges. One issue is that the convergence theory of PINNs is not yet perfect, which limits a deeper understanding of the dynamic and final performance of model training. The initialization of network weights can also bring uncertainty to PINN. There is no unified best practice or strategy for training PINNs, and different studies may require customized training methods, which increases the complexity of the application. How to determine the accuracy of the predicted solutions without reference solutions is also an open problem for PINN.
In addition, for the Vallina PINN without any improvement, the computational cost required for network training when solving a single forward problem in low-dimensional situations is more expensive than the FD method. Solving different geoelectric models and even different frequencies requires retraining PINN, which is obviously an unacceptable computational cost. Fortunately, some strategies, such as transfer learning [] and meta learning [], have gradually been conducted in seismic modeling, and the introduction of these strategies can further help the applications of PINN to solve the geophysical EM responses. Nevertheless, more complex cases need to be considered next, especially high-dimensional and even anisotropic models with complex resistivity distribution. For larger solution regions and frequency ranges, the effectiveness of our method needs further verification. Further development of PINN needs to be carried out to predict EM responses at any frequency not included in the training.
5. Conclusions
In this paper, we proposed a novel method for geophysical frequency domain EM field simulation using PINN, which, to the best of our knowledge, is the first application of PINN in geophysical EM forward modeling. The prediction results of the proposed PINN were compared with the FD solutions, and their reasonable accuracy was verified. We implemented the use of PINN to solve the geophysical EM response in both TE mode and TM mode of any one-dimensional layered model at any frequency. This work is a preliminary exploration of using PINN for geophysical EM simulation, which will further promote the application of artificial intelligence in geophysical EM exploration. In future work, we will focus on studying EM inversion using PINN and training neural operators for EM forward modeling.
Author Contributions
Conceptualization, B.W. and F.X.; methodology, B.W., Z.G. and F.X.; validation, B.W.; investigation, B.W. and Y.W.; resources, Z.G.; writing—original draft preparation, B.W. and F.X.; writing—review and editing, Z.G. and J.L.; visualization, B.W. and Y.W.; supervision, Z.G. and J.L.; funding acquisition, Z.G., J.L. and F.X. All authors have read and agreed to the published version of the manuscript.
Funding
This research was funded by the National Natural Science Foundation of China (NSFC), No. 42074169 and No. 42404128.
Data Availability Statement
The original contributions presented in this study are included in the article. Further inquiries can be directed to the corresponding author.
Conflicts of Interest
The authors declare no conflicts of interest.
References
- Avdeev, D.B. Three-dimensional electromagnetic modelling and inversion from theory to application. Surv. Geophy. 2005, 26, 767–799. [Google Scholar] [CrossRef]
- Zhdanov, M.S. Electromagnetic geophysics: Notes from the past and the roadahead. Geophysics 2010, 75, 75A49–75A66. [Google Scholar] [CrossRef]
- Miensopust, M.P.; Queralt, P.; Jones, A.G. 3D MT modellers. Magnetotelluric 3-D inversion—A review of two successful workshops on forward and inversion code testing and comparison. Geophys. J. Int. 2013, 193, 1216–1238. [Google Scholar] [CrossRef]
- Wang, B.; Liu, J.; Hu, X.; Liu, J.; Guo, Z.; Xiao, J. Geophysical electromagnetic modeling and evaluation: A review. J. Appl. Geophys. 2021, 194, 104438. [Google Scholar] [CrossRef]
- Li, J.; Liu, J.; Egbert, G.D.; Liu, R.; Guo, R.; Pan, K. An Efficient Preconditioner for 3-D Finite Difference Modeling of the Electromagnetic Diffusion Process in the Frequency Domain. IEEE Trans. Geosci. Remote Sens. 2020, 58, 500–509. [Google Scholar] [CrossRef]
- Li, T.; Zhang, M.; Lin, J. Three-Dimensional Forward Modeling of Ground Wire Source Transient Electromagnetic Data Using the Meshless Generalized Finite Difference Method. IEEE Trans. Geosci. Remote Sens. 2023, 61, 2002913. [Google Scholar] [CrossRef]
- Zhang, M.; Farquharson, C.G.; Li, T. 3-D forward modelling of controlled-source frequency-domain electromagnetic data using the meshless generalized finite-difference method. Geophys. J. Int. 2023, 235, 750–764. [Google Scholar] [CrossRef]
- Tang, W.; Huang, Q.; Deng, J.; Liu, J.; Zhou, F. Joint Application of Secondary Field and Coupled Potential Formulations to Unstructured Meshes for 3-D CSEM Forward Modeling. IEEE Trans. Geosci. Remote Sens. 2022, 60, 5921409. [Google Scholar] [CrossRef]
- Han, X.; Yin, C.; Su, Y.; Zhang, B.; Liu, Y.; Ren, X.; Ni, J.; Farquharson, C.G. 3D finite-element forward modeling of airborne em systems in frequency-domain using octree meshes. IEEE Trans. Geosci. Remote Sens. 2022, 60, 5912813. [Google Scholar] [CrossRef]
- Wang, Y.; Guo, R.; Liu, J.; Li, J.; Liu, R.; Chen, H.; Cao, X.; Yin, Z.; Cao, C. A divergence-free vector finite-element method for efficient 3D magnetotelluric forward modeling. Geophysics 2024, 89, E1–E11. [Google Scholar] [CrossRef]
- Shan, T.; Guo, R.; Li, M.; Yang, F.; Xu, S.; Liang, L. Application of multitask learning for 2-D modeling of magnetotelluric surveys: TE case. IEEE Trans. Geosci. Remote Sens. 2022, 60, 4503709. [Google Scholar] [CrossRef]
- Deng, F.; Yu, S.; Wang, X.; Guo, Z. Accelerating magnetotelluric forward modeling with deep learning: Conv-BiLSTM and D-LinkNet. Geophysics 2023, 88, E69–E77. [Google Scholar] [CrossRef]
- Wang, X.; Jiang, P.; Deng, F.; Wang, S.; Yang, R.; Yuan, C. Three Dimensional Magnetotelluric Forward Modeling Through Deep Learning. IEEE Geosci. Remote Sens. Lett. 2024, 62, 5916413. [Google Scholar] [CrossRef]
- Raissi, M.; Perdikaris, P.; Karniadakis, G.E. Physics-informed neural networks: A deep learning framework for solving forward and inverse problems involving nonlinear componentsial differential equations. J. Comput. Phys. 2019, 378, 686–707. [Google Scholar] [CrossRef]
- Karniadakis, G.E.; Kevrekidis, I.G.; Lu, L.; Perdikaris, P.; Wang, S.; Yang, L. Physics-informed machine learning. Nat. Rev. Phys. 2021, 3, 422–440. [Google Scholar] [CrossRef]
- Raissi, M.; Karniadakis, G.E. Hidden physics models: Machine learning of nonlinear partial differential equations. J. Comput. Phys. 2018, 357, 125–141. [Google Scholar] [CrossRef]
- Raissi, M.; Yazdani, A.; Karniadakis, G.E. Hidden fluid mechanics: Learning velocity and pressure fields from flow visualizations. Science 2020, 367, 1026–1030. [Google Scholar] [CrossRef]
- Jagtap, A.D.; Kharazmi, E.; Karniadakis, G.E. Conservative physics-informed neural networks on discrete domains for conservation laws: Applications to forward and inverse problems. Comput. Methods Appl. Mech. Eng. 2020, 365, 113028. [Google Scholar] [CrossRef]
- Mao, Z.; Jagtap, A.D.; Karniadakis, G.E. Physics-informed neural networks for high-speed flows. Comput. Methods Appl. Mech. Eng. 2020, 360, 112789. [Google Scholar] [CrossRef]
- Jagtap, A.D.; Kawaguchi, K.; Karniadakis, G.E. Adaptive activation functions accelerate convergence in deep and physics-informed neural networks. J. Comput. Phys. 2020, 404, 109136. [Google Scholar] [CrossRef]
- Rasht-Behesht, M.; Huber, C.; Shukla, K.; Karniadakis, G.E. Physics-informed neural networks (PINNs) for wave propagation and full waveform inversions. J. Geophys. Res. Solid Earth 2022, 127, e2021JB023120. [Google Scholar] [CrossRef]
- Kharazmi, E.; Zhang, Z.; Karniadakis, G.E. hp-VPINNs: Variational physics-informed neural networks with domain decomposition. Comput. Methods Appl. Mech. Eng. 2021, 374, 113547. [Google Scholar] [CrossRef]
- Taylor, J.M.; Pardo, D.; Muga, I. A Deep Fourier Residual method for solving PDEs using Neural Networks. Comput. Methods Appl. Mech. Eng. 2023, 405, 115850. [Google Scholar] [CrossRef]
- Anagnostopoulos, S.J.; Toscano, J.D.; Stergiopulos, N.; Karniadakis, G.E. Residual-based attention in physics-informed neural networks. Comput. Methods Appl. Mech. Eng. 2024, 421, 116805. [Google Scholar] [CrossRef]
- Dolean, V.; Heinlein, A.; Mishra, S.; Moseley, B. Multilevel domain decomposition-based architectures for physics-informed neural networks. Comput. Methods Appl. Mech. Eng. 2024, 429, 117116. [Google Scholar] [CrossRef]
- Roy, P.; Castonguay, S.T. Exact enforcement of temporal continuity in sequential physics-informed neural networks. Comput. Methods Appl. Mech. Eng. 2024, 430, 117197. [Google Scholar] [CrossRef]
- Cao, F.; Gao, F.; Yuan, D.; Liu, J. Multistep asymptotic pre-training strategy based on PINNs for solving steep boundary singular perturbation problems. Comput. Methods Appl. Mech. Eng. 2024, 431, 117222. [Google Scholar] [CrossRef]
- Shukla, K.; Zou, Z.; Chan, C.H.; Pandey, A.; Wang, Z.; Karniadakis, G.E. NeuroSEM: A hybrid framework for simulating multiphysics problems by coupling PINNs and spectral elements. Comput. Methods Appl. Mech. Eng. 2025, 433, 117498. [Google Scholar] [CrossRef]
- Li, Z.; Kovachki, N.; Azizzadenesheli, K.; Liu, B.; Bhattacharya, K.; Stuart, A.; Anandkumar, A. Fourier neural operator for parametric componentsial differential equations. arXiv 2020, arXiv:2010.08895. [Google Scholar]
- Lu, L.; Jin, P.; Pang, G.; Zhang, Z.; Karniadakis, G.E. Learning nonlinear operators via DeepONet based on the universal approximation theorem of operators. Nat. Mach. Intell. 2021, 3, 218–229. [Google Scholar] [CrossRef]
- Song, C.; Alkhalifah, T.; Waheed, U.B. Solving the frequencydomain acoustic VTI wave equation using physics-informed neural networks. Geophys. J. Int. 2021, 225, 846–859. [Google Scholar] [CrossRef]
- Song, C.; Alkhalifah, T.; Waheed, U.B. A versatile framework to solve the Helmholtz equation using physics-informed neural networks. Geophys. J. Int. 2021, 228, 1750–1762. [Google Scholar] [CrossRef]
- Song, C.; Liu, Y.; Zhao, P.; Zhao, T.; Zou, J.; Liu, C. Simulating Multicomponent Elastic Seismic Wavefield Using Deep Learning. IEEE Geosci. Remote Sens. Lett. 2023, 20, 3001105. [Google Scholar] [CrossRef]
- Martin, J.; Schaub, H. Physics-informed neural networks for gravity field modeling of the Earth and Moon. Celest. Mech. Dyn. Astr. 2022, 134, 13. [Google Scholar] [CrossRef]
- Martin, J.; Schaub, H. Physics-informed neural networks for gravity field modeling of small bodies. Celest. Mech. Dyn. Astr. 2022, 134, 46. [Google Scholar] [CrossRef]
- Zheng, Y.; Wang, Y. Ground-penetrating radar wavefield simulation via physics-informed neural network solver. Geophysics 2023, 88, KS47–KS57. [Google Scholar] [CrossRef]
- Zhang, P.; Hu, Y.; Jin, Y.; Deng, S.; Wu, X.; Chen, J. A Maxwell’s equations based deep learning method for time domain electromagnetic simulations. IEEE J. Multiscale. Mu. 2021, 6, 35–40. [Google Scholar] [CrossRef]
- Su, Y.; Zeng, S.; Wu, X.; Huang, Y.; Chen, J. Physics-Informed Graph Neural Network for Electromagnetic Simulations. In Proceedings of the 2023 IEEE XXXVth URSI GASS, Sapporo, Japan, 19–26 August 2023. [Google Scholar]
- Baydin, A.G.; Pearlmutter, B.A.; Radul, A.A.; Siskind, J.M. Automatic differentiation in machine learning: A survey. J. Mach. Learn. Res. 2017, 18, 5595–5637. [Google Scholar]
- He, K.; Zhang, X.; Ren, S.; Sun, J. Delving deep into rectifiers: Surpassing human-level performance on imagenet classification. Int. Conf. Comput. Vis. 2015, 2015, 1026–1034. [Google Scholar]
- Kingma, D.P.; Ba, J. Adam: A method for stochastic optimization. arXiv 2014, arXiv:1412.6980. [Google Scholar]
- Waheed, U.B.; Haghighat, E.; Alkhalifah, T.; Song, C.; Hao, Q. PINNeik: Eikonal solution using physics-informed neural networks. Comput. Geosci. 2021, 155, 104833. [Google Scholar] [CrossRef]
- Cheng, S.; Alkhalifah, T. Meta-PINN: Meta learning for improved neural network wavefield solutions. arXiv 2024, arXiv:2401.11502. [Google Scholar]
| Disclaimer/Publisher’s Note: The statements, opinions and data contained in all publications are solely those of the individual author(s) and contributor(s) and not of MDPI and/or the editor(s). MDPI and/or the editor(s) disclaim responsibility for any injury to people or property resulting from any ideas, methods, instructions or products referred to in the content. | 
© 2024 by the authors. Licensee MDPI, Basel, Switzerland. This article is an open access article distributed under the terms and conditions of the Creative Commons Attribution (CC BY) license (https://creativecommons.org/licenses/by/4.0/).
