Abstract
An enhanced dung beetle optimization algorithm (EDBO) is proposed for nonlinear optimization problems with multiple constraints in manufacturing. Firstly, the dung beetle rolling phase is improved by removing the worst value interference and coupling the current solution with the optimal solution to each other, while retaining the advantages of the original formulation. Subsequently, to address the problem that the dung beetle dancing phase focuses only on the information of the current solution, which leads to the overly stochastic and inefficient exploration of the problem space, the globally optimal solution is introduced to steer the dung beetle, and a stochastic factor is added to the optimal solution. Finally, the dung beetle foraging phase introduces the Jacobi curve to further enhance the algorithm’s ability to jump out of the local optimum and avoid the phenomenon of premature convergence. The performance of EDBO in optimization is tested using the CEC2017 function set, and the significance of the algorithm is verified by the Wilcoxon rank-sum test and the Friedman test. The experimental results show that EDBO has strong optimization-seeking accuracy and optimization-seeking stability. By solving four engineering optimization problems of varying degrees, EDBO has proven to have good adaptability and robustness.
Keywords:
dung beetle optimization algorithm; Jacobi curve; CEC2017; Wilcoxon rank sum test; Friedman test MSC:
68T20
1. Introduction
As society and the economy evolve swiftly, numerous optimization challenges have surfaced across various disciplines including engineering, economics, logistics, and operations research, focusing on the distribution of resources, scheduling, and enhancing engineering efficiency [1,2,3]. The core challenge is to find the most favorable outcome in a complex solution space while considering the trade-offs between conflicting objectives and constraints. The engineering optimization problem is one of the most important classes of optimization problems in engineering and manufacturing. Optimizing it can efficiently allocate resources, minimize costs, maximize performance, and satisfy design requirements to achieve the desired results and objectives [1,4,5].
Population-based intelligent optimization algorithms have the potential for global search capability, allowing them to efficiently find the optimal solution to optimization problems, and thus have become a hotspot for scholarly research today [6,7,8]. Li et al. proposed an enhanced snake optimization algorithm (ESO) that has the capability of fast convergence when solving four real engineering optimization problems [9]. Teng and colleagues suggested an enhanced multi-strategy Sparrow Search Algorithm (ISSA) to address the Sparrow Search Algorithm’s limitations, and its application in channel estimation frequency optimization significantly lowers the Bit Error Rate (BER), showcasing the algorithm’s efficacy in engineering [10]. Chao et al. formulated a new Sparrow Search Algorithm (MSSA) by introducing an elite inverse learning strategy and verify the excellence and competitiveness of the proposed algorithm by solving three classical engineering problems [11]. Zeng and colleagues integrated a differential evolution algorithm and a whale optimization algorithm to enhance population diversity, demonstrating that the latter’s convergence was markedly more effective in addressing three engineering challenges [12]. Li et al. has proposed an improved Balanced Optimizer Algorithm (MEO), and the MEO demonstrates good optimization efficiency and application potential in solving seven engineering design problems with varying degrees of complexity [13]. Wang and colleagues suggested an enhanced multi-strategy Hunter Optimization Algorithm (IHPO) to tackle the challenges of sluggish convergence and the tendency to settle into local optima. This algorithm exhibits enhanced practicality and steadiness in resolving engineering optimization challenges [14].
Proposed in 2022, the dung beetle optimization (DBO) algorithm represents a novel approach to population intelligence optimization. Primarily, it mimics the movements, dances, foraging, theft, and mating rituals of dung beetles [15]. Although Xun proved the superiority of the DBO algorithm, it still has shortcomings, such as easily falling into local optima and poor global search ability. Therefore, many scholars have improved the DBO accordingly [16,17,18]. Fang et al. suggested a DBO algorithm that merges quantum computing with multi-strategy (QHDBO), designed to prevent the algorithm from hitting local peaks through the t-distribution mutation approach in quantum computing, enhancing its convergence speed and optimization precision [19]. Wang et al.’s suggested approach leverages the current population’s ideal directional shift and the best value derived from the Opposition-Based Learning (OBL) multi-strategy DBO algorithm (GODBO). Experimental findings from CEC2017 reveal that the enhanced algorithm achieves quicker convergence rates and greater accuracy [20]. Li et al. proposed a multi-strategy-improved DBO algorithm (MSIDBO) to shorten the path planning of mobile robots. Simulation experiments show that the MSIDBO algorithm effectively solves problems in practical applications [17]. Zhang and colleagues propose the development of a DBO algorithm, utilizing the Extreme Learning Machine (ELM) and Adaptive Spiral (ASDBO) to improve the predictive precision of photovoltaic (PV) power production. When conducting predictive tests in diverse climatic scenarios, the outcomes revealed ASDBO’s superior efficiency and predictive power in PV systems [21].
In order to explore a better way to solve engineering optimization problems and expand the application space of DBO, this paper proposes an enhanced dung beetle optimization algorithm. First, it improves the rolling phase by removing interference from the worst values and coupling the current and optimal solutions while retaining the advantages of the original formulation. Secondly, it addresses the problem of focusing solely on the information of the current solution in the dancing phase, which leads to overly stochastic and inefficient exploration of the problem space. The global optimal solution is introduced to guide it, and a stochastic factor is added to the optimal solution. Finally, the Jacobi curve is introduced during the foraging phase to further enhance the algorithm’s ability to escape local optima and avoid premature maturity. By comparing EDBO with the pigeon-inspired optimization algorithm (PIO) [22], whale optimization algorithm (WOA) [23], butterfly optimization algorithm (BOA) [24], sine cosine algorithm (SCA) [25], coati optimization algorithm (COA) [26], simulated annealing (SA) [27], and the original DBO algorithm in different dimensions of the CEC2017 test function for optimization comparison and conducting Wilcoxon rank sum test and Friedman test, we verify the advantages of the EDBO algorithm with strong optimization ability and fast convergence speed. EDBO is used in the solution of four real engineering optimization problems, showing the adaptability of EDBO to solving engineering optimization problems.
2. Preliminary Preparation
2.1. Engineering Optimization Problem Description
In this paper, four types of engineering optimization problems with different levels of complexity are selected, including the three-bar diffraction frame problem [28], the tension/compression spring design problem [29], the pressure vessel design problem [30], and the cantilever beam design problem [31].
2.1.1. Three Pole Truss Design Issues
In civil engineering, the challenge of creating a three-bar truss with the least weight, known as the three-bar truss design problem, is a prevalent nonlinear fractional optimization issue. This issue comprises two variables and three limitations, with its mathematical framework outlined as follows:
Dimension:
Objective function:
Restrictive functions:
Domain of variables:
The constants are L = 100 cm, P = 2 KN/cm2, and σ = 2 KM/cm2.
2.1.2. Tension/Compression Spring Design
The issue of extension/compression springs represents a traditional design challenge in structural engineering, involving three variables. The goal is to reduce the spring’s weight while adhering to four key conditions: bending, shear stress, rate of fluctuation, and external diameter. The following is the given expression:
Dimension:
Objective function:
Restrictive functions:
Domain of variables:
2.1.3. Pressure Vessel Design Issues
The goal in designing a pressure vessel is to reduce the overall expense (in terms of material, formation, and welding) of the cylindrical pressure vessel, involving four variables and four constraints. Below is the mathematical depiction of the issue:
Dimension:
Objective function:
Restrictive functions:
Domain of variables:
2.1.4. Cantilever Beam Design Issues
Designing a cantilever beam involves a structural engineering challenge focused on determining the optimal weight for a cantilever beam, considering five different beam heights (or widths) as key variables. The mathematical formula for it is provided underneath.
Dimension:
Objective function:
Restrictive functions:
Domain of variables:
2.2. Dung Beetle Optimization Algorithm
2.2.1. Population Initialization
Through randomization, the DBO algorithm creates a starting population, with each dung beetle’s placement aligning with a resolution of the optimization issue. In the context of the D-dimensional optimization issue, the location of the i-th dung beetle is indicated as xi = [xi,1, xi,2, …, xi,D], while the group of dung beetles with a size N is represented as X = [x1, x2, …, xN]T, as depicted in Equation (1).
2.2.2. Rolling Dung Beetles
Dung beetles in the wild utilize heavenly signals while rolling to maintain the straightness of their dung balls. As it rolls, the dung beetle’s location is modified based on Equation (2).
where t denotes the current iteration number, zi(t) denotes the position information of the i-th dung beetle at the t-th iteration, k∈(0, 0.2] is a constant denoting the deflection coefficient, b∈(0, 1),α is the natural coefficient taken as 1 or −1, Zw is the global worst position, and Δz simulates the variation of light intensity. The pseudo-code for this section is shown in Algorithm 1.
| Algorithm 1: α selection strategy |
| Require: The probability value λ Ensure: The natural coefficient α 1: η = rand (1) 2: if η > λ then 3: α = 1 4: else 5: α = −1 6: end if |
2.2.3. Dancing Dung Beetle
Faced with a hindrance that prevents its progression, the dung beetle engages in a dance to alter its rolling trajectory. To mimic the dung beetle’s dance movements, the DBO employs the tangent function to determine the updated rolling direction. As depicted in Equation (3), the location of the dancing dung beetle has been recalibrated.
where θ is the deflection angle belonging to [0,π], and |zi(t) − zi(t − 1)| is the difference between the t-th and (t − 1)-th iterations of the i-th dung beetle, so the update of the dung beetle’s position is closely related to current and historical information.
2.2.4. Breeding Dung Beetles
The dung balls are rolled to a safe place and hidden by the dung beetles, these dung balls are partly used as food and partly used for laying eggs and reproducing the next generation as brood balls. DBO proposes a boundary selection strategy to define the area of brood balls, as shown in Equation (4).
where Z* denotes the current local optimum position, Lb* and Ub* denote the lower and upper bounds of the spawning region, respectively, R = 1 − t/Tmax, Tmax denotes the maximum number of iterations, and Ub and Lb denote the upper and lower bounds of the optimization problem, respectively.
Once the brood ball is moved to the designated breeding zone, the female dung beetle proceeds to deposit eggs within. Within the DBO environment, every female dung beetle is limited to laying a single egg. Equation (4) reveals that the spawning area’s boundary range varies dynamically with R’s value, leading to a dynamic shift in the spawning location, as depicted in the Equation (5).
where Bi(t) is the position information of the i-th sphere at the t-th iteration, b1 and b2 are two independent random vectors of size 1 × D, and D is the dimension of the optimization problem. The pseudo-code for this section is shown in Algorithm 2.
| Algorithm 2: The brood ball position updating strategy |
| Require: The maximum iteration number Tmax, the brood ball number n, and the present iteration number t. Ensure: The position of the i-th brood ball Bi 1: R = 1 − t/Tmax 2: for i ← 1 to n do 3: Update the brood ball’s position by Equation (5) 4: for j ← 1 to D do 5: if Bij > Ub* then 6: Bij ← Ub* 7: end if 8: if Bij < Lb* then 9: Bij ← Lb* 10: end if 11: end for 12: end for |
2.2.5. Foraging Dung Beetle
As the small dung beetles in the brood ball develop and mature, they will burrow out to forage, and the boundary of the optimal foraging area is shown in Equation (6):
where Zb denotes the global optimal position, and Ubb and Lbb denote the upper and lower bounds of the optimal foraging area. The small dung beetle position is updated as shown in Equation (7).
where zi(t) denotes the position information of the i-th small dung beetle at the t-th iteration, C1 denotes a random number obeying a normal distribution, and C2 is a random vector in the range of (0, 1).
2.2.6. Stealing Dung Beetles
Within populations of dung beetles, certain beetles pilfer dung balls from those propelling balls, known as thieves. Equation (6) reveals that Zb serves as the ideal food source, leading to the presumption that Zb is the prime site for competing food. Consequently, the thief’s location during the iteration is depicted in Equation (8).
where zi(t) denotes the position information of the t-th iteration of the i-th thief, g is a random vector of size 1 × D obeying a normal distribution, and S is a constant.
3. Improving the Dung Beetle Optimization Algorithm
3.1. Reasons for Improvements
While the initial DBO algorithm excels in optimization, it suffers from shortcomings, such as insufficient global search capabilities, poor convergence precision, and a tendency to gravitate towards local optimal solutions. For practical engineering optimization challenges, the algorithm must possess strong capabilities in both global search and local development. Consequently, this document suggests three enhancement tactics to rectify the limitations of the initial DBO algorithm and to bolster its overall search capabilities and local exploitation prowess. These tactics consider the investigation and utilization of the algorithm, thereby improving its capability to search for optimization.
3.2. Improved Rolling Dung Beetles
In Equation (2), α models the fact that natural factors (wind and uneven ground) can cause dung beetles to deviate from their original direction, when α = 1 represents no deviation, and α = −1 represents deviation from the original direction; k is the deflection coefficient. Δz is the absolute value of the position of the i-th dung beetle at the current iteration compared to the position of the global worst, which interferes with the quality of the solution. Therefore, in this paper, the perturbation of the worst value is removed, and the perturbation of the global optimal solution is newly added to couple the current solution with the optimal solution, while retaining α × k × zi(t − 1) to keep its deflection unchanged and retain the advantages of the original formula. The improved formula is shown in Equation (9).
where r1 and r2 are random numbers between (0, 1) and Zb is the global optimal position.
3.3. Improved Dancing Dung Beetles
In Equation (3), from |zi(t) − zi(t − 1)|, it can be seen that the DBO only focuses on the information of the current solution and has little guidance for updating the next solution, which leads to the exploration of the problem space being too random and inefficient during the global search. Therefore, in this paper, the global optimal solution is introduced to guide Equation (3), the stochastic factor is added to the optimal solution, and the exploration around the optimal solution is carried out to improve the quality of the solution. The improved formula is shown in Equation (10).
where r3 and r4 are random numbers between (0, 1).
3.4. Improved Foraging Dung Beetles
In order to improve the searching ability of the DBO algorithm in the dung beetle foraging phase, the Jacobi curve is added to the foraging phase of the original DBO algorithm. Jacobi curve is named after the mathematician Carl Jacobi, who proposed it in the early 19th century. The improved Jacobi curve is shown in Equation (11).
where r5 is a random number between (0, 1) and θ ∈ (0, π).
Different from the original algorithm, in this strategy, the position update of the small dung beetle in the foraging phase will be determined by the random number generated pseudo-randomly in the interval (0, 1), and when the random number is less than 0.5, the position strategy is carried out according to Equation (11); vice versa, the position update is carried out according to Equation (7). This strategy not only improves global search efficiency, but also helps the algorithm to jump out of the local optimum, which lays the foundation for exact optimality search.
3.5. EDBO Algorithm Implementation Steps
Algorithm 3 displays the pseudo-code used in the EDBO algorithm.
| Algorithm 3: The framework of the EDBO algorithm. |
| Require: The largest iteration, Tmax, represents the particle’s population size N. Ensure: Ideal location Zb and its corresponding fitness measure fb. 1: Begin by setting the particle’s population i ← 1, 2, ……, N and establish its pertinent parameters 2: while t ≤ Tmax do 3: for i = 1 to Number of rolling dung beetles do 4: a = rand (1) 5: if a ≤ 0.9 then 6: Select α value by Algorithm 1 7: Update rolling dung beetle location by Equation (9). 8: else 9: Update dancing dung beetle location by Equation (10). 10: end if 11: end for 12: for i = 1 to Number of breeding dung beetles do 13: Update the brood ball’s position by using Algorithm 2 14: end for 15: for i = 1 to Number of foraging dung beetles do 16: Determination of the optimal foraging area according to Equation (6) 17: if rand < 0.5 then 18: Update the improved Jacobi position update curve according to Equation (11) 19: else 20: Update foraging dung beetle location by Equation (7). 21: end if 22: end for 23: for i = 1 to Number of stealing dung beetles do 24: Update stealing dung beetle location by Equation (8). 25: end for 26: if the newly generated position is better than before then 27: Update it 28: end if 29: t = t + 1 30: end while 31: Provide Zb along with its corresponding fitness value fb; |
4. Experimental Results and Discussion
4.1. Experimental Design
In order to verify the convergence speed and optimization ability of the EDBO algorithm, this paper uses the CEC2017 test function set. All the functions in the test set are rotated and shifted, which increases the optimization difficulty of the algorithm [32]. Every function within the test set undergoes rotation and adjustment, thereby amplifying the complexity of the algorithm’s optimization quest. The primary components of CEC2017 are 30 testing functions; however, owing to F2’s instability, not all experiments involving F2 were conducted. Within this group, F1 and F3 represent single-peak functions characterized solely by global minima and lacking local minima, primarily serving to evaluate the algorithm’s proficiency in identifying the optimal solution; F4–F10 are multi-peak functions featuring local extreme points, assessing the algorithm’s capacity to deviate from the local optimum; F11–F20 are hybrid functions that include at least three CEC2017 benchmark functions post-rotation or shift, with each subfunction assigned specific weights; F21–F30 are composite functions comprising a minimum of three hybrid or CEC2017 benchmark functions post-rotation and displacement, where each subfunction carries an extra bias value and weight, collectively heightening the algorithm’s optimization complexity.
Comparison algorithms: In addition to the standard DBO algorithm, six other widely used optimization algorithms are selected for comparison in this paper, namely: pigeon-inspired optimization algorithm (PIO), whale optimization algorithm (WOA), butterfly optimization algorithm (BOA), sine cosine algorithm (SCA), coati optimization algorithm (COA), and simulated annealing (SA). The parameters of the comparison algorithms are set as shown in Table 1 and run independently for 100 times.
Table 1.
Comparison algorithm parameter settings.
4.2. Results and Analysis
In order to verify the performance of EDBO in different dimensions, 30, 50, and 100 dimensions are used for the test function for a more comprehensive comparison. The experimental results of 30, 50, and 100 dimensions are shown in Table 2, Table 3 and Table 4, where the mean, standard deviation, and optimal value are the evaluation indexes of the algorithm’s performance. The smaller the mean, the higher the algorithm’s convergence accuracy, and the smaller the standard deviation, the more superior the algorithm stability is [33,34,35].
Table 2.
CEC2017 test results 30-dimension.
Table 3.
CEC2017 test results 50-dimension.
Table 4.
CEC2017 test results 100-dimension.
From the data results in Table 2, Table 3 and Table 4, it can be seen that EDBO has good local development capability and solution accuracy. In the experiments of 30, 50, and 100 dimensions, EDBO outperforms the other seven algorithms on F1 and F3 with high convergence accuracy, and its search stability is slightly inferior to SCA, but much higher than DBO. For the multi-peaked functions F4–F10, EDBO has good global exploration ability, with the ability to jump out of the local optimum. In three different dimensions of the experiment, EDBO finds better optimal solutions than the other seven algorithms in seven functions and shows excellent performance in F4, albeit slightly weaker than BOA in F5–F9 in terms of variance, and slightly weaker than DBO in terms of performance on the F10 function. From the data results of the hybrid functions F11–F20, it can be seen that EDBO has significant performance in dealing with hybrid problems. In the experiments of 30 dimensions, EDBO shows superior performance in F12, F14, F15, and F19. The evaluation index is in the leading position, and the optimal values of other functions are higher than those of other comparative algorithms. In the experiments of 50 and 100 dimensions, EDBO’s performance advantage is more obvious. For the more complex hybrid functions F21–F30, the optimal values of EDBO are better than those of other algorithms across three different dimensions, which is highly competitive.
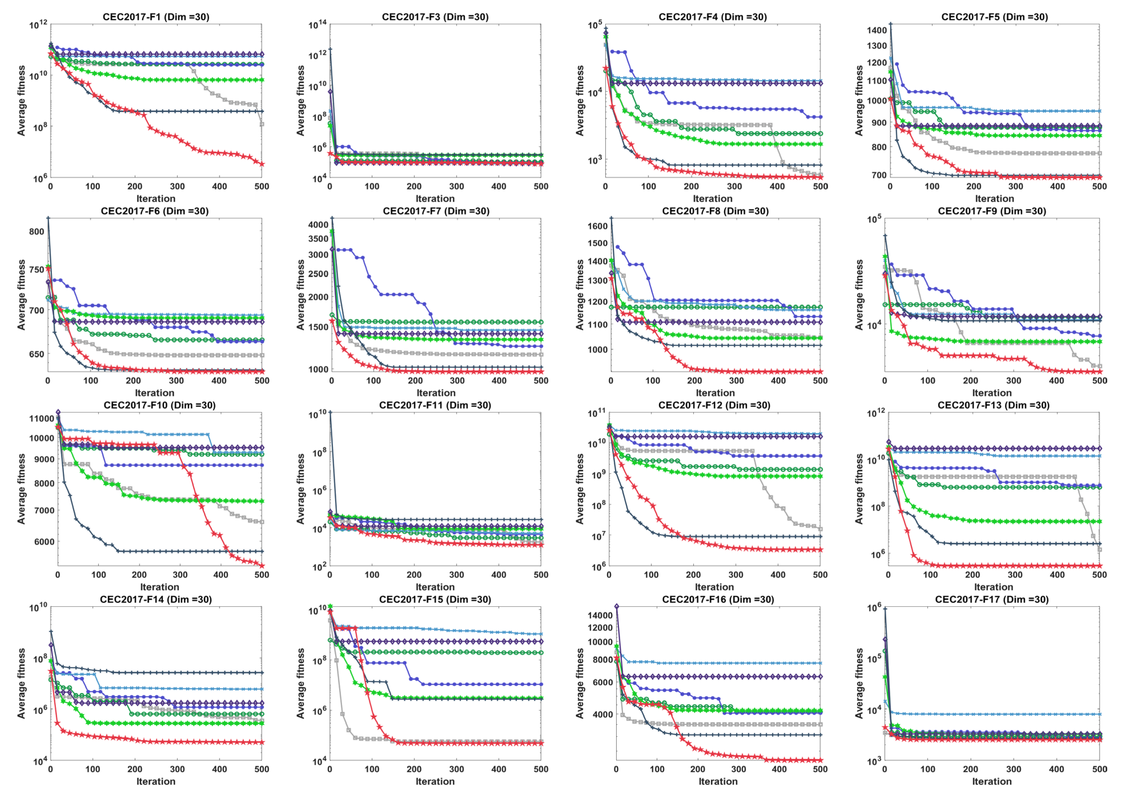
The convergence trajectories of eight optimization methods for the 30-dimensional CEC2017 test function are depicted in Figure 1, while Figure 2 shows the box-and-line diagrams of the eight optimization algorithms for solving the 30-dimensional CEC2017 test function.

Figure 1.
Convergence curves of 8 algorithms on CEC2017-30Dim.

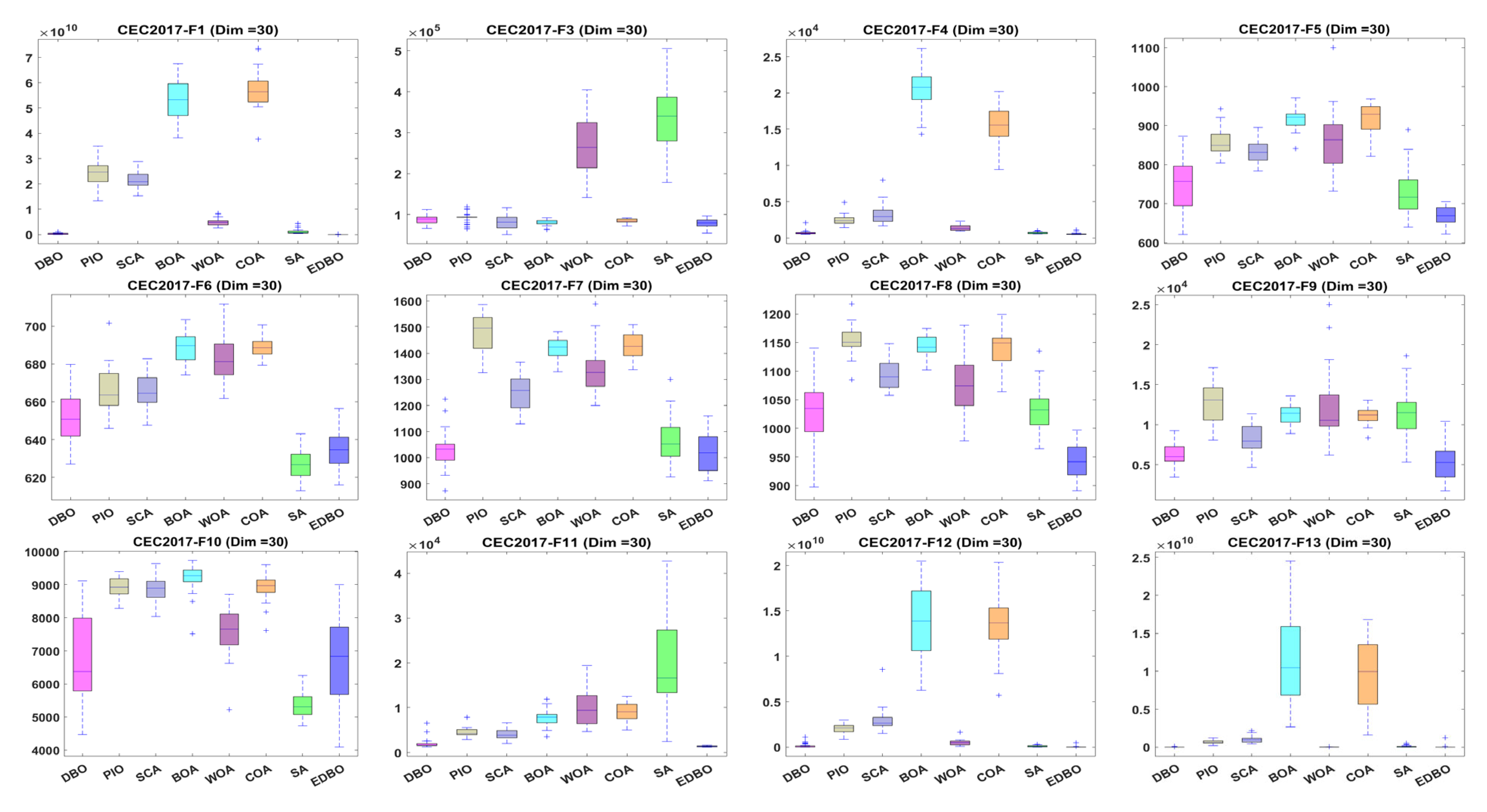
Figure 2.
Boxplots of 8 algorithms on CEC2017-30Dim.
This is evident from Figure 1, where EDBO’s optimization outcomes significantly improve. With equivalent precision, EDBO maintains the lowest iteration count, suggesting that eliminating the worst value’s interference and merging the present solution with the optimal one can elevate the population’s quality and boost convergence speed, thereby showcasing EDBO’s enhanced local optimality search prowess. The convergence speed of EDBO surpasses that of other algorithms in F1, F8, F9, F11–F14, F16, F18, F21, F26, and F30, simplifying the discovery and convergence to the optimal global solution, suggesting that bettering the dancing behavior boosts overall search efficiency and robust global search efficiency. In F5–F7, F11, F17, F23–F27, and F30, EDBO’s convergence curves at the initial iteration phase align with DBO’s, and during the central convergence phase, they significantly outpace the original DBO algorithm due to the inclusion of the Jacobi curve, which augments the population diversity and elevates the search capability and solution quality. From the results in Figure 2, it can be seen that the EDBO box is narrower in most functions, which represents a small fluctuation of all its optimal values, i.e., the algorithm converges faster, resulting in a smaller span between the optimal solutions in each generation.
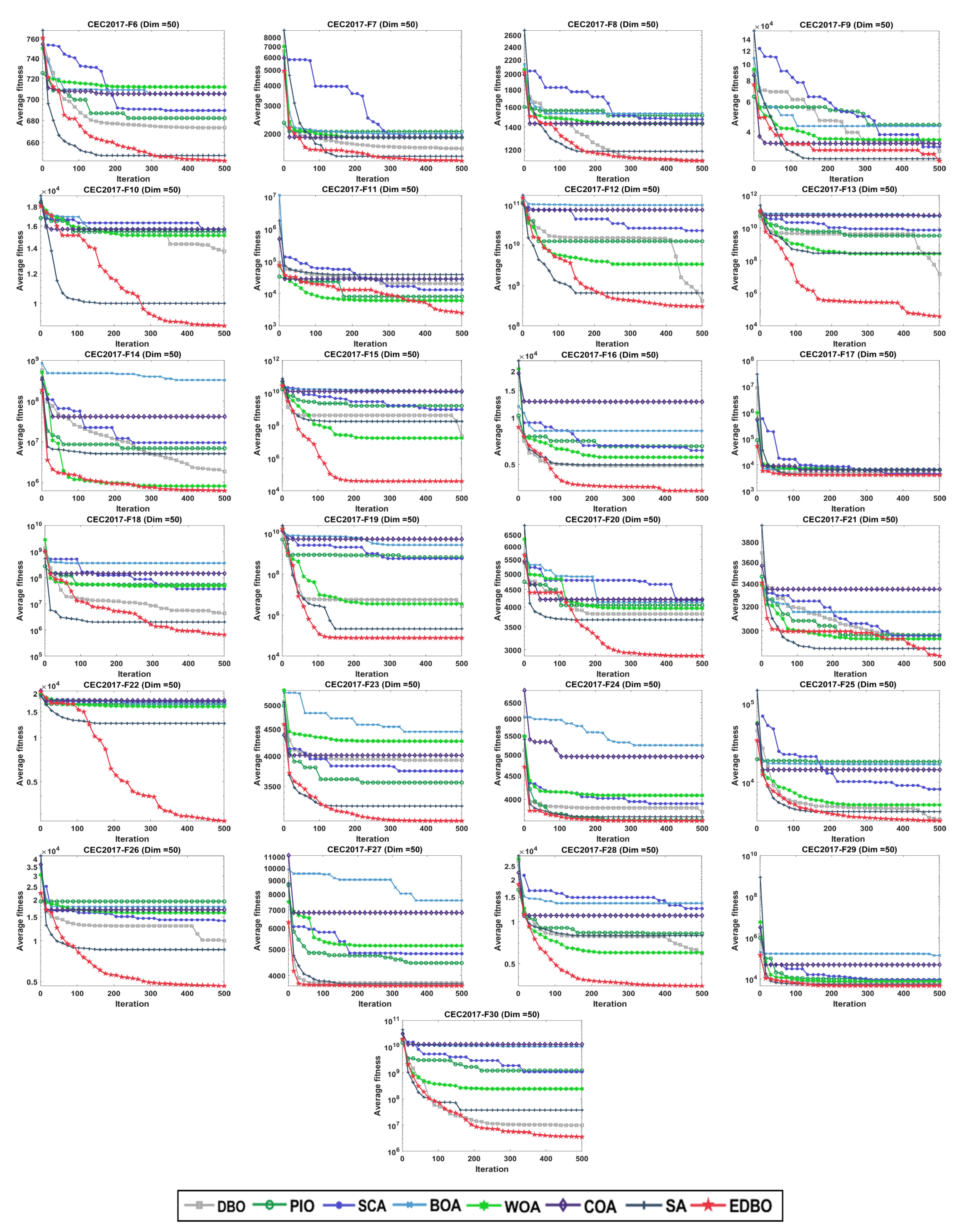
Figure 3 shows the convergence curves of the eight optimization algorithms for solving the 50-dimensional CEC2017 test function. Figure 4 shows the box-and-line plot of the eight optimization algorithms for solving the 50-dimensional CEC2017 test function.

Figure 3.
Convergence curves of 8 algorithms on CEC2017-50Dim.
Figure 4.
Boxplots of 8 algorithms on CEC2017-50Dim.
From Figure 3, it can be seen that EDBO outperforms the other seven algorithms in solving the 50-dimensional CEC2017 test functions, showing good convergence speed and optimal searching ability. From the boxplots in Figure 4, it can be seen that, except for F6 and F27, the EDBO algorithm exhibits lower bounds of the boxes in the rest of the test functions than the comparative algorithms, indicating higher search accuracy and the ability to find better quality solutions.
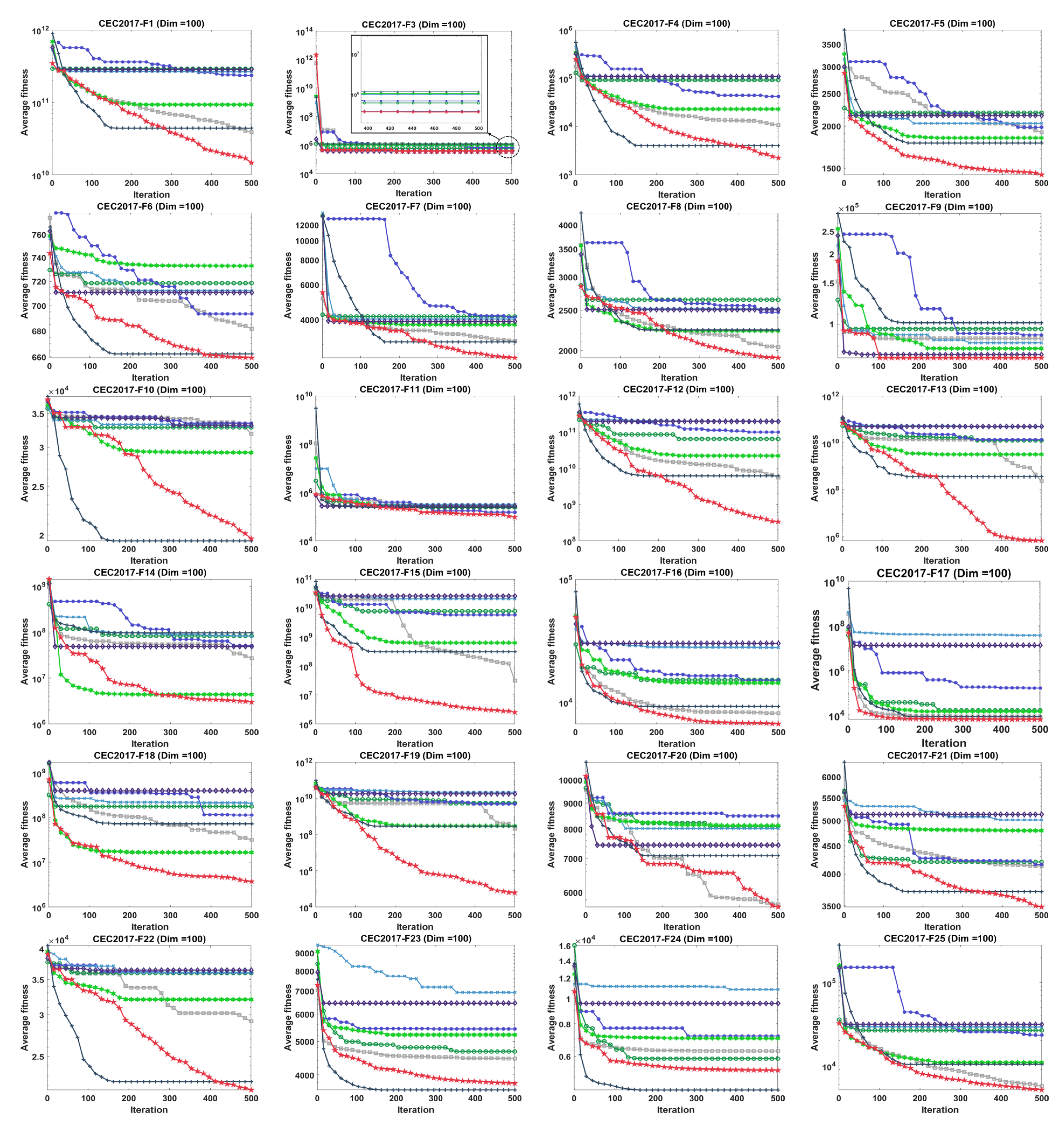
Figure 5 shows the convergence curves of the eight optimization algorithms for solving the 100-dimensional CEC2017 test function, and Figure 6 shows the box plots of the eight optimization algorithms for solving the 100-dimensional CEC2017 test function.

Figure 5.
Convergence curves of 8 algorithms on CEC2017-100Dim.

Figure 6.
Boxplots of 8 algorithms on CEC2017-100Dim.
From Figure 5, it can be seen that the EDBO algorithm obtains the best results in solving the 100-dimensional CEC2017 test functions, except for functions F10, F23, and F24, which are highly competitive. From Figure 6, it can be seen that EDBO is consistently lower than the comparison algorithm in most of the test functions in terms of upper edge, lower edge, and median, showing significant stability and superiority. The median in F6 and F20 is ranked second among the comparison algorithms, being better than that of the original DBO algorithm. EDBO’s performance in F10, F23, and F24 are not as good as the comparison algorithms, but they are not at the bottom of the list.
In conclusion, EDBO achieves the best results in many evaluation metrics. The superiority of the algorithm, its ability to solve complex problems, and its better robustness are proven.
4.3. Wilcoxon Rank Sum Test
To further validate the optimization performance of EDBO, the Wilcoxon rank sum test is used in this paper to detect whether there are statistically significant differences between EDBO and PIO, SCA, BOA, WOA, COA, CA, and DBO [36]. The results of seven algorithms running 100 times on each of 29 test functions are taken as samples. The results of Wilcoxon rank sum detection in different dimensions are shown in Table 5, Table 6 and Table 7.
Table 5.
CEC2017 D = 30 Wilcoxon rank sum test.
Table 6.
CEC2017 D = 50 Wilcoxon rank sum test.
Table 7.
CEC2017 D = 100 Wilcoxon rank sum test.
It is assumed that the probability of the compared data yielding better results than EDBO is p. If the value of p is small, it means that the probability of the original hypothetical situation is small. When p < 0.05, it indicates that the difference between the two algorithms being compared is significant. Conversely, when p < 0.05, it indicates that the search results of the two algorithms are comparable. As can be seen from Table 5, Table 6 and Table 7, 79% of the rank sum statistics of EDBO and other algorithms are less than 0.05, indicating that, statistically speaking, the superiority of EDBO for the search results of the test function is obvious, further verifying the superiority of EDBO.
4.4. Friedman Test
To deepen the comparison of the algorithms’ performance disparities, their outcomes underwent a Friedman test [37]. The outcomes of the Friedman tests for the aforementioned eight algorithms are presented in Table 8. Table 8 reveals that the average rank of the EDBO algorithm is less than that of the other algorithms compared, demonstrating the enhancement’s efficacy.
Table 8.
Friedman test in different dimensions.
5. Engineering Optimization Issues
The merit of the algorithm also depends on its performance in solving engineering optimization problems. Therefore, in this paper, we use the EDBO algorithm to solve four engineering optimization problems with different levels of complexity, based on the objective function, restriction function, and the variable domains listed in Section 2.1. We then compare their optimization results with those of the PIO, SCA, BOA, WOA, COA, SA, and DBO algorithms.
Algorithms tackling engineering optimization challenges with limitations split the problem’s decision-making realm into achievable and unachievable areas. In scenarios where the solution vector falls within these infeasible zones, the generalized penalty function approach is applied to infeasible solutions that fail to meet the constraints. The technique transforms a restricted optimization issue into an unrestricted one by imposing a penalty on the non-viable solution. Below is the displayed formula for penalties:
where P denotes the penalty value, m denotes the number of constraints in the problem, λ is the penalty constant, and H(i) is used to identify whether the ith constraint is satisfied or not. From Equations (12) and (13), it can be seen that once the solution violates the constraints, resulting in a non-feasible solution, the penalty constant will significantly increase the value of the fitness function as a way of rejecting the non-feasible solution.
The algorithm follows the following three principles in the iterative process to select candidate solutions in preference to the original solution:
- In the realm of viable and impractical solutions, the viable one is favored;
- When both options are viable, choose the one with the lower fitness score;
- Should both options prove impractical, choose the one that minimally breaches the constraints.
5.1. Three Pole Truss Design Issues
Table 9 presents the best outcomes achieved by the eight algorithms, encompassing the values of pertinent decision variables, with convergence curves illustrated in Figure 7. The findings indicate that EDBO is capable of identifying superior control parameters and objective function values.
Table 9.
Three bar truss design issues.
Figure 7.
Convergence curve of three pole truss design issues.
5.2. Tension/Compression Spring Design
From Table 10 and Figure 8, it can be seen that the EDBO algorithm obtains the spring weight to reach the optimal value of 0.012718751 when the values of the parameters x1, x2, and x3 are 0.0500156, 0.31777, and 13.7778, respectively. Overall, when dealing with the extension/compression spring problem, the EDBO algorithm has a superior performance.
Table 10.
Tension/compression spring design issues.
Figure 8.
Convergence curve of tension/compression spring design.
5.3. Pressure Vessel Design Issues
From Table 11 and Figure 9, it can be seen that EDBO has better optimization results and saves engineering design costs compared to other algorithms.
Table 11.
Pressure vessel design issues.
Figure 9.
Convergence curve of pressure vessel design issues.
5.4. Cantilever Beam Design Issues
As can be seen from Table 12 and Figure 10, the optimal value of EDBO is ranked first, compared to the other seven compared algorithms, which indicates that EDBO has a good ability to find the optimal value in solving the cantilever beam design problem.
Table 12.
Cantilever beam design issues.
Figure 10.
Convergence curve of cantilever beam design issues.
In summary, after comparing eight algorithms for solving the aforementioned four engineering problems, we found that the EDBO algorithm proposed in this paper is an efficient algorithm that can solve engineering optimization problems with good stability and practicability.
6. Conclusions
In this paper, an enhanced dung beetle optimization algorithm is designed for solving complex engineering optimization problems. The following three main improvements are carried out: (1) The dung beetle rolling phase is improved to remove the worst value interference and couple the current solution with the optimal solution, while retaining the advantages of the original formulation. (2) Aiming to address the problem that the dung beetle dancing stage focuses only on the information of the current solution, which leads to excessively random and inefficient exploration of the problem space, the global optimal solution is introduced to guide it, and a random factor is added to the optimal solution. (3) The Jacobi curve is introduced in the dung beetle foraging phase to further enhance the algorithm’s ability to jump out of the local optimum and avoid the phenomenon of premature maturity.
EDBO is used to solve CEC2017, a complex set of functions with different characteristics. From the solution results, EDBO shows strong optimality-seeking ability and robustness. To further verify the effectiveness of the improvement, Wilcoxon rank sum test and Friedman test are conducted in this paper. The test results demonstrate the superiority of the EDBO algorithm from a statistical point of view. Finally, the EDBO algorithm is used to solve four complex engineering optimization problems and is compared with algorithms that have demonstrated excellent performance in recent years. The experimental results show that EDBO has good optimization efficiency when dealing with complex engineering optimization problems, proving its capability for engineering applications.
In future work, the next research focus is to improve the EDBO algorithm to function as a multi-objective optimization algorithm and apply it to more complex multi-objective optimization and practical engineering applications, such as the optimal design problem of industrial refrigeration systems.
Author Contributions
H.S.: writing the manuscripts, charting, data collection, literature retrieval; W.Z.: document retrieval, data collection, data analysis; C.M.: data collection, data analysis; Q.L.: research ideas, experimental design, and data analysis. All authors have read and agreed to the published version of the manuscript.
Funding
Here, we need to thank the following organizations for their strong support: the “Natural Science Foundation of Jilin Province-General Project, Study on the Machinability of Milling Titanium Alloy with Micro-texture Milling Cutter” (20220101227JC).
Data Availability Statement
Data are contained within the article.
Acknowledgments
Authors would like to thank the members of the project team for their dedication and efforts, as well as the teachers and schools for their help.
Conflicts of Interest
The authors declare no conflicts of interest.
References
- Wang, S.; Jia, H.; Abualigah, L.; Liu, Q.; Zheng, R. An improved hybrid aquila optimizer and harris hawks algorithm for solving industrial engineering optimization problems. Processes 2021, 9, 1551. [Google Scholar] [CrossRef]
- Kalananda, V.K.R.A.; Komanapalli, V.L.N. A combinatorial social group whale optimization algorithm for numerical and engineering optimization problems. Appl. Soft Comput. 2021, 99, 106903. [Google Scholar] [CrossRef]
- Kamboj, V.K.; Nandi, A.; Bhadoria, A.; Sehgal, S. An intensify Harris Hawks optimizer for numerical and engineering optimization problems. Appl. Soft Comput. 2020, 89, 106018. [Google Scholar] [CrossRef]
- Han, X.; Yue, L.; Dong, Y.; Xu, Q.; Xie, G.; Xu, X. Efficient hybrid algorithm based on moth search and fireworks algorithm for solving numerical and constrained engineering optimization problems. J. Supercomput. 2020, 76, 9404–9429. [Google Scholar] [CrossRef]
- Kumar, D.; Gandhi, B.R.; Bhattacharjya, R.K. Firefly algorithm and its applications in engineering optimization. In Nature-Inspired Methods for Metaheuristics Optimization: Algorithms and Applications in Science and Engineering; Springer: Berlin/Heidelberg, Germany, 2020; pp. 93–103. [Google Scholar]
- Castellanos, A.; Cruz-Reyes, L.; Fernández, E.; Rivera, G.; Gomez-Santillan, C.; Rangel-Valdez, N. Hybridisation of swarm intelligence algorithms with multi-criteria ordinal classification: A strategy to address many-objective optimisation. Mathematics 2022, 10, 322. [Google Scholar] [CrossRef]
- Emambocus, B.A.S.; Jasser, M.B.; Amphawan, A. A survey on the optimization of artificial neural networks using swarm intelligence algorithms. IEEE Access 2023, 11, 1280–1294. [Google Scholar] [CrossRef]
- Tang, J.; Liu, G.; Pan, Q. A review on representative swarm intelligence algorithms for solving optimization problems: Applications and trends. IEEE/CAA J. Autom. Sin. 2021, 8, 1627–1643. [Google Scholar] [CrossRef]
- Yao, L.; Yuan, P.; Tsai, C.Y.; Zhang, T.; Lu, Y.; Ding, S. ESO: An Enhanced Snake Optimizer for Real-world Engineering Problems. Expert Syst. Appl. 2023, 230, 120594. [Google Scholar] [CrossRef]
- Fei, T.; Wang, H.; Liu, L.; Zhang, L.; Wu, K.; Guo, J. Research on multi-strategy improved sparrow search optimization algorithm. Math. Biosci. Eng. MBE 2023, 20, 17220–17241. [Google Scholar] [CrossRef] [PubMed]
- Yang, C.; Yang, H.; Zhu, D.; Hu, Y.; Zhang, Y.; Ma, H.; Huang, Z. Chaotic sparrow search algorithm with manta ray spiral foraging for engineering optimization. Syst. Sci. Control Eng. 2023, 11, 2249021. [Google Scholar] [CrossRef]
- Zeng, N.; Song, D.; Li, H.; You, Y.; Liu, Y.; Alsaadi, F.E. A competitive mechanism integrated multi-objective whale optimization algorithm with differential evolution. Neurocomputing 2021, 432, 170–182. [Google Scholar] [CrossRef]
- Li, Y.; Liang, X.; Liu, J.; Zhou, H. Solving engineering optimization problems based on improved balanced optimizer algorithm. Comput. Integr. Manuf. Syst. 2023, 1–34. [Google Scholar]
- Wang, K.; Liu, J.; Li, W.; Tan, W.; Qin, T.; Yang, J. Multi-strategy Improved Hunter Prey Optimization Algorithm. Comput. Eng. Sci. 2024, 1–13. [Google Scholar]
- Xue, J.; Shen, B. Dung beetle optimizer: A new meta-heuristic algorithm for global optimization. J. Supercomput. 2023, 79, 7305–7336. [Google Scholar] [CrossRef]
- Qin, G.U.O.; Qiaoxian, Z.H.E.N.G. Multi-strategy improved dung beetle optimizer and its application. J. Front. Comput. Sci. Technol. 2024, 1–22. [Google Scholar]
- Li, L.; Liu, L.; Shao, Y.; Zhang, X.; Chen, Y.; Guo, C.; Nian, H. Enhancing Swarm Intelligence for Obstacle Avoidance with Multi-Strategy and Improved Dung Beetle Optimization Algorithm in Mobile Robot Navigation. Electronics 2023, 12, 4462. [Google Scholar] [CrossRef]
- Zhang, H.; Zhang, R. A Multi-Strategy Enhanced Dung Beetle Optimization Algorithm and Its Application in Engineering. Preprints 2024, 2024020368. [Google Scholar] [CrossRef]
- Zhu, F.; Li, G.; Tang, H.; Li, Y.; Lv, X.; Wang, X. Dung beetle optimization algorithm based on quantum computing and multi-strategy fusion for solving engineering problems. Expert Syst. Appl. 2024, 236, 121219. [Google Scholar] [CrossRef]
- Zilong, W.; Peng, S. A multi-strategy dung beetle optimization algorithm for optimizing constrained engineering problems. IEEE Access 2023, 11, 98805–98817. [Google Scholar] [CrossRef]
- Zhang, Y.; Li, T.; Ma, T.; Yang, D.; Sun, X. Short-Term Photovoltaic Power Prediction Based on Extreme Learning Machine with Improved Dung Beetle Optimization Algorithm. Energies 2024, 17, 960. [Google Scholar] [CrossRef]
- Cui, Z.; Zhang, J.; Wang, Y.; Cao, Y.; Cai, X.; Zhang, W.; Chen, J. A pigeon-inspired optimization algorithm for many-objective optimization problems. Sci. China Inf. Sci. 2019, 62, 70212. [Google Scholar] [CrossRef]
- Mirjalili, S.; Lewis, A. The whale optimization algorithm. Adv. Eng. Softw. 2016, 95, 51–67. [Google Scholar] [CrossRef]
- Arora, S.; Singh, S. Butterfly optimization algorithm: A novel approach for global optimization. Soft Comput. 2019, 23, 715–734. [Google Scholar] [CrossRef]
- Mirjalili, S. SCA: A sine cosine algorithm for solving optimization problems. Knowl.-Based Syst. 2016, 96, 120–133. [Google Scholar] [CrossRef]
- Dehghani, M.; Montazeri, Z.; Trojovská, E.; Trojovský, P. Coati Optimization Algorithm: A new bioinspired metaheuristic algorithm for solving optimization problems. Knowl.-Based Syst. 2023, 259, 110011. [Google Scholar] [CrossRef]
- Bertsimas, D.; Tsitsiklis, J. Simulated annealing. Stat. Sci. 1993, 8, 10–15. [Google Scholar] [CrossRef]
- Yildirim, A.E.; Karci, A. Application of three bar truss problem among engineering design optimization problems using artificial atom algorithm. In Proceedings of the 2018 International Conference on Artificial Intelligence and Data Processing (IDAP), Malatya, Turkey, 28–30 September 2018; pp. 1–5. [Google Scholar]
- Tzanetos, A.; Blondin, M. A qualitative systematic review of metaheuristics applied to tension/compression spring design problem: Current situation, recommendations, and research direction. Eng. Appl. Artif. Intell. 2023, 118, 105521. [Google Scholar] [CrossRef]
- Moss, D.R. Pressure Vessel Design Manual; Elsevier: Amsterdam, The Netherlands, 2004. [Google Scholar]
- Friswell, M.I.; Adhikari, S. Sensor shape design for piezoelectric cantilever beams to harvest vibration energy. J. Appl. Phys. 2010, 108, 014901. [Google Scholar] [CrossRef]
- Wu, G.; Mallipeddi, R.; Suganthan, P.N. Problem definitions and evaluation criteria for the CEC 2017 competition on constrained real-parameter optimization. In National University of Defense Technology, Changsha, Hunan, PR China and Kyungpook National University, Daegu, South Korea and Nanyang Technological University, Singapore, Technical Report; 2017. Available online: https://www.researchgate.net/publication/317228117_Problem_Definitions_and_Evaluation_Criteria_for_the_CEC_2017_Competition_and_Special_Session_on_Constrained_Single_Objective_Real-Parameter_Optimization (accessed on 1 March 2024).
- Salgotra, R.; Singh, U.; Saha, S. Improved cuckoo search with better search capabilities for solving CEC2017 benchmark problems. In Proceedings of the 2018 IEEE Congress on Evolutionary Computation (CEC), Rio de Janeiro, Brazil, 8–13 July 2018; pp. 1–7. [Google Scholar]
- Kreischer, V.; Magalhães, T.T.; Barbosa, H.J.C.; Krempser, E. Evaluation of bound constraints handling methods in differential evolution using the cec2017 benchmark. In Proceedings of the XIII Brazilian Congress on Computational Intelligence, Rio de Janeiro, Brazil, 30 October–1 November 2017. [Google Scholar]
- Cheng, R.; Li, M.; Tian, Y.; Zhang, X.; Yang, S.; Jin, Y.; Yao, X. Benchmark functions for CEC’2017 competition on evolutionary many-objective optimization. In Proceedings of the 2017 IEEE Congress on Evolutionary Computation (CEC), Donostia/San Sebastian, Spain, 5–8 June 2017; pp. 1–20. [Google Scholar]
- Wilcoxon, F.; Katti, S.K.; Wilcox, R.A. Critical values and probability levels for the Wilcoxon rank sum test and the Wilcoxon signed rank test. Sel. Tables Math. Stat. 1970, 1, 171–259. [Google Scholar]
- Zimmerman, D.W.; Zumbo, B.D. Relative power of the Wilcoxon test, the Friedman test, and repeated-measures ANOVA on ranks. J. Exp. Educ. 1993, 62, 75–86. [Google Scholar] [CrossRef]
Disclaimer/Publisher’s Note: The statements, opinions and data contained in all publications are solely those of the individual author(s) and contributor(s) and not of MDPI and/or the editor(s). MDPI and/or the editor(s) disclaim responsibility for any injury to people or property resulting from any ideas, methods, instructions or products referred to in the content. |
© 2024 by the authors. Licensee MDPI, Basel, Switzerland. This article is an open access article distributed under the terms and conditions of the Creative Commons Attribution (CC BY) license (https://creativecommons.org/licenses/by/4.0/).














