Size–Frequency Distribution Characteristic of Fatalities Due to Workplace Accidents and Industry Dependency
Abstract
1. Introduction
1.1. Power-Law Distribution and the Self-Organized Criticality
1.2. Statistical Analysis of Workplace Accidents in Industries
2. Data Statistics and Analytical Processing
2.1. Statistics of Accident Data
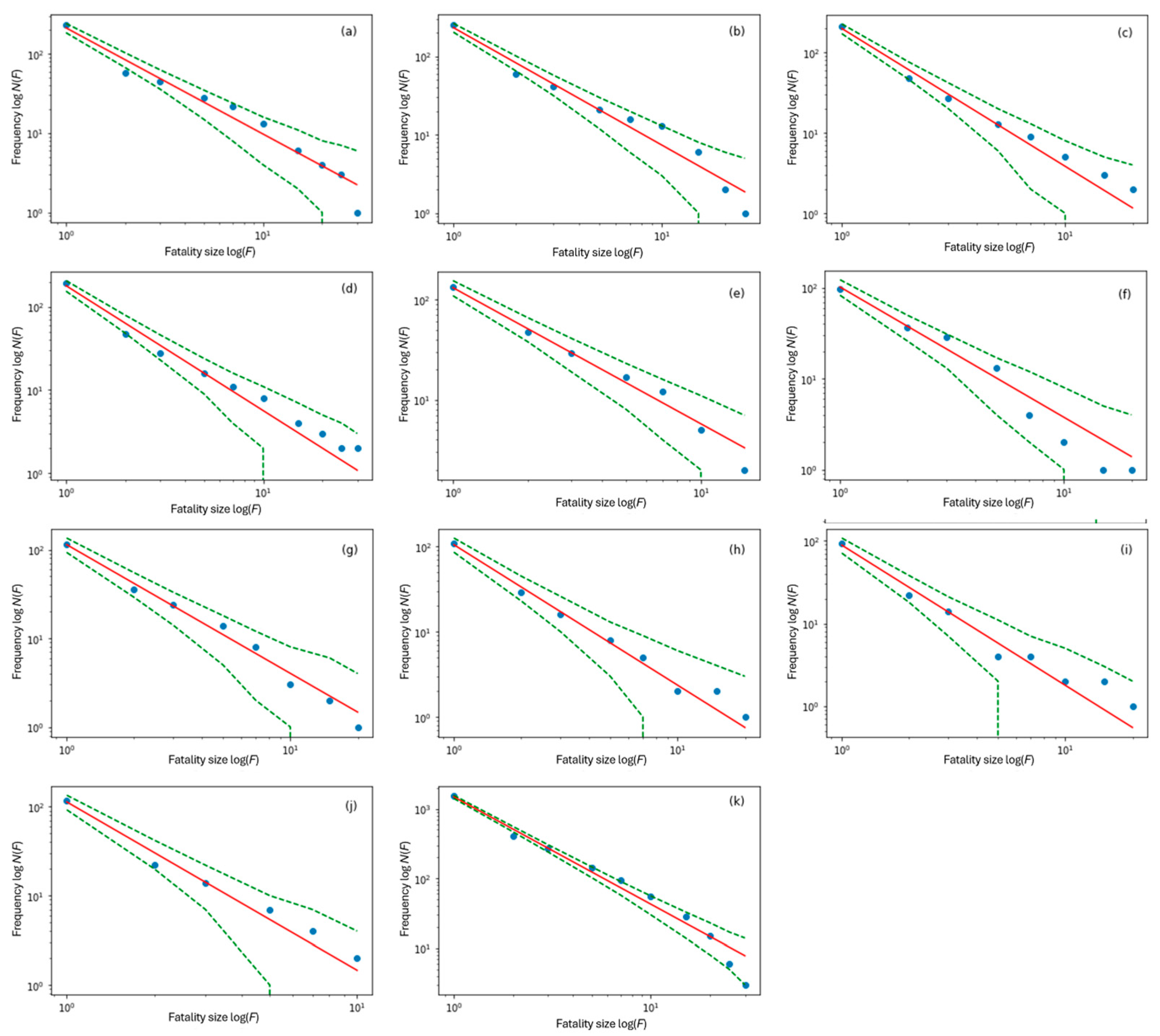
2.2. Testing the Power-Law Hypothesis
2.3. Methodology and Results of Data Fitting
2.4. Industry Dependency of the Power-Law Distribution of Workplace Accidents
2.5. Temporal Variation in the Power-Law Exponent of Workplace Accidents
3. Results
3.1. SOC of Workplace Accidents
3.2. Revisiting Heinrich’s Law
3.3. Limitations of This Study
4. Conclusions
Supplementary Materials
Author Contributions
Funding
Data Availability Statement
Conflicts of Interest
References
- Beskardes, G.D.; Weiss, C.J.; Everett, M.E. Estimating the Power-Law Distribution of Earth Electrical Conductivity from Low-Frequency, Controlled-Source Electromagnetic Responses. Geophys. J. Int. 2017, 208, 639–651. [Google Scholar] [CrossRef]
- Kurgansky, M.V. Statistical Distribution of Atmospheric Dust Devils on Earth and Mars. Bound.-Layer Meteorol. 2022, 184, 381–400. [Google Scholar] [CrossRef]
- Etro, F.; Stepanova, E. Power-Laws in Art. Phys. A Stat. Mech. Its Appl. 2018, 506, 217–220. [Google Scholar] [CrossRef]
- Salahshour, M. Predator-Prey Power Laws: Trophic Interactions Give Rise to Scale-Invariant Ecosystems. New J. Phys. 2023, 25, 123012. [Google Scholar] [CrossRef]
- Chol-jun, K. Distribution in the Geometrically Growing System and Its Evolution. Chaos Interdiscip. J. Nonlinear Sci. 2024, 34, 103148. [Google Scholar] [CrossRef]
- Gontis, V. Modeling Double Stochastic Opinion Dynamics with Fractional Inflow of New Opinions. Fractal Fract. 2024, 8, 513. [Google Scholar] [CrossRef]
- Tenreiro Machado, J.A.; Pinto, C.M.A.; Lopes, A.M. Power Law and Entropy Analysis of Catastrophic Phenomena. Math. Probl. Eng. 2013, 2013, 562320. [Google Scholar] [CrossRef]
- Silva, R.; Silva, J.R.P.; Anselmo, D.H.A.L.; Alcaniz, J.S.; da Silva, W.J.C.; Costa, M.O. An Alternative Description of Power Law Correlations in DNA Sequences. Phys. A Stat. Mech. Its Appl. 2020, 545, 123735. [Google Scholar] [CrossRef]
- Wang, Z.; Wei, Z.; Sun, K.; He, S.; Wang, H.; Xu, Q.; Chen, M. Chaotic Flows with Special Equilibria. Eur. Phys. J.-Spec. Top. 2020, 229, 905–919. [Google Scholar] [CrossRef]
- Zuo, Z.; Liu, G.; Li, H. Research on Inspection and Certification Industry Based on Dissipative Structure Theory. Therm. Sci. 2019, 23, 2839–2848. [Google Scholar] [CrossRef]
- Haken, H.; Portugali, J. Information and Self-Organization II: Steady State and Phase Transition. Entropy 2021, 23, 707. [Google Scholar] [CrossRef]
- Gauthier, Y. The Construction of Chaos Theory. Found. Sci. 2009, 14, 153–165. [Google Scholar] [CrossRef]
- Schwab, D.J.; Nemenman, I.; Mehta, P. Zipf’s Law and Criticality in Multivariate Data without Fine-Tuning. Phys. Rev. Lett. 2014, 113, 068102. [Google Scholar] [CrossRef] [PubMed]
- Bak, P.; Tang, C.; Wiesenfeld, K. Self-Organized Criticality: An Explanation of the 1/f Noise. Phys. Rev. Lett. 1987, 59, 381–384. [Google Scholar] [CrossRef]
- Gutenberg, B.; Richter, C.F. Frequency of Earthquakes in California. Bull. Seismol. Soc. Am. 1944, 34, 185–188. [Google Scholar] [CrossRef]
- Fung, I.W.H.; Tam, V.W.Y.; Lo, T.Y.; Lu, L.L.H. Developing a Risk Assessment Model for Construction Safety. Int. J. Proj. Manag. 2010, 28, 593–600. [Google Scholar] [CrossRef]
- Shahsavari, S.; Mohammadi, A.; Mostafaei, S.; Zereshki, E.; Tabatabaei, S.M.; Zhaleh, M.; Shahsavari, M.; Zeini, F. Analysis of Injuries and Deaths from Road Traffic Accidents in Iran: Bivariate Regression Approach. BMC Emerg. Med. 2022, 22, 130. [Google Scholar] [CrossRef]
- Lim, K.-K. Analysis of Railroad Accident Prediction Using Zero-Truncated Negative Binomial Regression and Artificial Neural Network Model: A Case Study of National Railroad in South Korea. KSCE J. Civ. Eng. 2023, 27, 333–344. [Google Scholar] [CrossRef]
- Wang, J.; Zhou, Y.; Zhuang, L.; Shi, L.; Zhang, S. A Model of Maritime Accidents Prediction Based on Multi-Factor Time Series Analysis. J. Mar. Eng. Technol. 2023, 22, 153–165. [Google Scholar] [CrossRef]
- Heinrich, H.W. Industrial Accident Prevention. A Scientific Approach; Mcgraw-Hill Book Company Inc.: New York, NY, USA; London, UK, 1941. [Google Scholar]
- Yorio, P.L.; Moore, S.M. Examining Factors That Influence the Existence of Heinrich’s Safety Triangle Using Site-Specific H&S Data from More than 25,000 Establishments. Risk Anal. 2018, 38, 839–852. [Google Scholar] [CrossRef]
- Manuele, F.A. Reviewing Heinrich: Dislodging Two Myths From the Practice of Safety. Prof. Saf. 2011, 56, 52–61. [Google Scholar]
- Anderson, M.; Denkl, M. The Heinrich Accident Triangle—Too Simplistic A Model for HSE Management in the 21st Century? In Proceedings of the SPE International Conference on Health, Safety and Environment in Oil and Gas Exploration and Production, Rio de Janeiro, Brazil, 12–14 April 2010. [Google Scholar]
- Taxis, K.; Gallivan, S.; Barber, N.; Franklin, B. Can the Heinrich Ratio Be Used to Predict Harm from Medication Errors? University of Birmingham: Birmingham, UK, 2006. [Google Scholar]
- Mauro, J.C.; Diehl, B.; Marcellin, R.F.; Vaughn, D.J. Workplace Accidents and Self-Organized Criticality. Phys. A Stat. Mech. Its Appl. 2018, 506, 284–289. [Google Scholar] [CrossRef]
- Lopes, A.M.; Machado, J.A.T. Power Law Behavior and Self-Similarity in Modern Industrial Accidents. Int. J. Bifurc. Chaos 2015, 25, 1550004. [Google Scholar] [CrossRef]
- Lu, S.; Liang, C.; Song, W.; Zhang, H. Frequency-Size Distribution and Time-Scaling Property of High-Casualty Fires in China: Analysis and Comparison. Saf. Sci. 2013, 51, 209–216. [Google Scholar] [CrossRef]
- Sui, Z.; Wen, Y.; Huang, Y.; Song, R.; Piera, M.A. Maritime Accidents in the Yangtze River: A Time Series Analysis for 2011–2020. Accid. Anal. Prev. 2023, 180, 106901. [Google Scholar] [CrossRef]
- Doss, K.; Hanshew, A.S.; Mauro, J.C. Signatures of Criticality in Mining Accidents and Recurrent Neural Network Forecasting Model. Phys. A Stat. Mech. Its Appl. 2020, 537, 122656. [Google Scholar] [CrossRef]
- Moos, C.; Bontognali, Z.; Dorren, L.; Jaboyedoff, M.; Hantz, D. Estimating Rockfall and Block Volume Scenarios Based on a Straightforward Rockfall Frequency Model. Eng. Geol. 2022, 309, 106828. [Google Scholar] [CrossRef]
- Clauset, A.; Shalizi, C.R.; Newman, M.E.J. Power-Law Distributions in Empirical Data. SIAM Rev. 2009, 51, 661–703. [Google Scholar] [CrossRef]
- Chen, D.; Xia, C.; Liu, H.; Liu, X.; Du, K. Research on b Value Estimation Based on Apparent Amplitude-Frequency Distribution in Rock Acoustic Emission Tests. Mathematics 2022, 10, 3202. [Google Scholar] [CrossRef]
- Greenhough, J.; Main, I.G. A Poisson Model for Earthquake Frequency Uncertainties in Seismic Hazard Analysis. Geophys. Res. Lett. 2008, 35, 2008GL035353. [Google Scholar] [CrossRef]
- Li, Y.P. Fitting Power-Law Frequency Distribution with a Modified Maximum Likelihood Estimator. Acta Astron. Sin. 2014, 55, 437–443. [Google Scholar]
- Liu, X.; Han, M.; He, W.; Li, X.; Chen, D. A New b Value Estimation Method in Rock Acoustic Emission Testing. JGR Solid Earth 2020, 125, e2020JB019658. [Google Scholar] [CrossRef]
- Chen, D.; Liu, X.; He, W.; Xia, C.; Gong, F.; Li, X.; Cao, X. Effect of Attenuation on Amplitude Distribution and b Value in Rock Acoustic Emission Tests. Geophys. J. Int. 2022, 229, 933–947. [Google Scholar] [CrossRef]
- Cheng, Y.-P.; Fu, J.-H.; Yu, Q.-X. Development of Gas Extraction Technology in Coal Mines of China. Caikuang Yu Anquan Gongcheng Xuebao/J. Min. Saf. Eng. 2009, 26, 127–139. [Google Scholar]
- Shao, B.; Hu, Z.; Liu, Q.; Chen, S.; He, W. Fatal Accident Patterns of Building Construction Activities in China. Saf. Sci. 2019, 111, 253–263. [Google Scholar] [CrossRef]
- Wang, B.; Li, D.; Wu, C. Characteristics of Hazardous Chemical Accidents during Hot Season in China from 1989 to 2019: A Statistical Investigation. Saf. Sci. 2020, 129, 104788. [Google Scholar] [CrossRef]
- Zhou, K.; Xiao, L.; Lin, Y.; Yuan, D.; Wang, J. A Statistical Analysis of Hazardous Chemical Fatalities (HCFs) in China between 2015 and 2021. Sustainability 2022, 14, 2435. [Google Scholar] [CrossRef]
- Bak, P. The Discovery of Self-Organized Criticality. In How Nature Works: The Science of Self-Organized Criticality; Bak, P., Ed.; Springer: New York, NY, USA, 1996; pp. 33–48. ISBN 978-1-4757-5426-1. [Google Scholar]
- Hergarten, S.; Neugebauer, H.J. Self-Organized Criticality in Landsliding Processes. In Process Modelling and Landform Evolution; Hergarten, S., Neugebauer, H.J., Eds.; Lecture Notes in Earth Sciences; Springer: Berlin/Heidelberg, Germany, 1999; pp. 231–249. ISBN 978-3-540-68307-0. [Google Scholar]
- Malamud, B.D.; Turcotte, D.L. Self-Organized Criticality Applied to Natural Hazards. Nat. Hazards 1999, 20, 93–116. [Google Scholar] [CrossRef]
- Hui, X.; Ma, F.; Zhao, H.; Xu, J. Monitoring and Statistical Analysis of Mine Subsidence at Three Metal Mines in China. Bull. Eng. Geol. Environ. 2019, 78, 3983–4001. [Google Scholar] [CrossRef]
- Ghil, M.; Yiou, P.; Hallegatte, S.; Malamud, B.D.; Naveau, P.; Soloviev, A.; Friederichs, P.; Keilis-Borok, V.; Kondrashov, D.; Kossobokov, V.; et al. Extreme Events: Dynamics, Statistics and Prediction. Nonlinear Process. Geophys. 2011, 18, 295–350. [Google Scholar] [CrossRef]
- Malamud, B.D.; Turcotte, D.L. The Applicability of Power-Law Frequency Statistics to Floods. J. Hydrol. 2006, 322, 168–180. [Google Scholar] [CrossRef]
- Johnson, A. Examining the foundation: Were Herbert William Heinrich’s theories valid, and do they still matter? Saf. + Health Mag. 2011, 184, 62. [Google Scholar]
- Bonsu, J.; van Dyk, W.; Franzidis, J.-P.; Petersen, F.; Isafiade, A. A Systems Approach to Mining Safety: An Application of the Swiss Cheese Model. J. S. Afr. Inst. Min. Metall. 2016, 116, 776–784. [Google Scholar] [CrossRef]
- Chen, P.; Fu, G.; Wang, Y.; Meng, H.; Lv, M. Accident Causation Models: A Comparison of SCM and 24Model. Proc. Inst. Mech. Eng. Part O J. Risk Reliab. 2023, 237, 810–822. [Google Scholar] [CrossRef]
- Howard, R.; Dimick, J.B. Human Factors and Principles of Patient Safety: The James Reason Model. In Principles of Perioperative Safety and Efficiency; Hoballah, J.J., Kaafarani, H.M., Tsoulfas, G., Eds.; Springer International Publishing: Cham, Switzerland, 2024; pp. 3–15. ISBN 978-3-031-41089-5. [Google Scholar]









| Year | Fatality Number/F | ||||||||||
|---|---|---|---|---|---|---|---|---|---|---|---|
| ≥1 | ≥2 | ≥3 | ≥5 | ≥7 | ≥10 | ≥15 | ≥20 | ≥25 | ≥30 | ||
| Frequency /N(F) | 2022 | 118 | 22 | 14 | 7 | 4 | 2 | 0 | 0 | 0 | 0 |
| 2021 | 93 | 22 | 14 | 4 | 4 | 2 | 2 | 1 | 0 | 0 | |
| 2020 | 109 | 29 | 16 | 8 | 5 | 2 | 2 | 1 | 0 | 0 | |
| 2019 | 116 | 36 | 24 | 14 | 8 | 3 | 2 | 1 | 0 | 0 | |
| 2018 | 98 | 37 | 29 | 13 | 4 | 2 | 1 | 1 | 0 | 0 | |
| 2017 | 133 | 47 | 29 | 17 | 12 | 5 | 2 | 0 | 0 | 0 | |
| 2016 | 195 | 47 | 28 | 16 | 11 | 8 | 4 | 3 | 2 | 2 | |
| 2015 | 210 | 48 | 27 | 13 | 9 | 5 | 3 | 2 | 0 | 0 | |
| 2014 | 251 | 59 | 41 | 21 | 16 | 13 | 6 | 2 | 1 | 0 | |
| 2013 | 231 | 58 | 45 | 28 | 22 | 13 | 6 | 4 | 3 | 1 | |
| Total | 1554 | 405 | 267 | 141 | 95 | 55 | 28 | 15 | 6 | 3 | |
| Year | Fatality Number/F | ||||||||||
|---|---|---|---|---|---|---|---|---|---|---|---|
| ≥1 | ≥2 | ≥3 | ≥5 | ≥7 | ≥10 | ≥15 | ≥20 | ≥25 | ≥30 | ||
| Frequency /N(F) | 2022 | 94 | 58 | 28 | 5 | 2 | 1 | 1 | 0 | 0 | 0 |
| 2021 | 108 | 73 | 37 | 9 | 3 | 1 | 1 | 1 | 1 | 0 | |
| 2020 | 144 | 74 | 40 | 9 | 4 | 2 | 2 | 1 | 0 | 0 | |
| 2019 | 163 | 94 | 50 | 16 | 9 | 4 | 2 | 1 | 1 | 1 | |
| 2018 | 204 | 124 | 59 | 18 | 7 | 2 | 2 | 1 | 0 | 0 | |
| 2017 | 175 | 88 | 46 | 15 | 6 | 2 | 0 | 0 | 0 | 0 | |
| 2016 | 246 | 121 | 48 | 13 | 2 | 1 | 0 | 0 | 0 | 0 | |
| 2015 | 224 | 118 | 52 | 10 | 7 | 2 | 1 | 0 | 0 | 0 | |
| 2014 | 127 | 67 | 23 | 9 | 5 | 3 | 2 | 1 | 1 | 1 | |
| 2013 | 118 | 68 | 41 | 14 | 8 | 2 | 2 | 1 | 1 | 1 | |
| Total | 1603 | 885 | 424 | 118 | 53 | 20 | 13 | 6 | 4 | 3 | |
| Year | Fatality Number/F | ||||||||||
|---|---|---|---|---|---|---|---|---|---|---|---|
| ≥1 | ≥2 | ≥3 | ≥5 | ≥7 | ≥10 | ≥15 | ≥20 | ≥25 | ≥30 | ||
| Frequency /N(F) | 2022 | 122 | 88 | 66 | 19 | 11 | 4 | 3 | 3 | 2 | 1 |
| 2021 | 145 | 122 | 98 | 41 | 16 | 9 | 2 | 1 | 1 | 1 | |
| 2020 | 164 | 132 | 91 | 30 | 18 | 3 | 2 | 1 | 0 | 0 | |
| 2019 | 198 | 172 | 119 | 42 | 12 | 5 | 2 | 2 | 1 | 1 | |
| 2018 | 212 | 191 | 150 | 67 | 28 | 9 | 4 | 0 | 0 | 0 | |
| 2017 | 287 | 232 | 176 | 75 | 31 | 16 | 4 | 2 | 2 | 2 | |
| 2016 | 358 | 317 | 220 | 90 | 37 | 14 | 7 | 3 | 3 | 1 | |
| 2015 | 453 | 411 | 292 | 128 | 53 | 21 | 9 | 9 | 3 | 3 | |
| 2014 | 462 | 398 | 291 | 117 | 41 | 12 | 3 | 2 | 2 | 2 | |
| 2013 | 494 | 395 | 295 | 128 | 61 | 22 | 5 | 0 | 0 | 0 | |
| Total | 2895 | 2458 | 1798 | 737 | 308 | 115 | 41 | 23 | 14 | 11 | |
| Year | Fatality Number/F | ||||||||||
|---|---|---|---|---|---|---|---|---|---|---|---|
| ≥1 | ≥2 | ≥3 | ≥5 | ≥7 | ≥10 | ≥15 | ≥20 | ≥25 | ≥30 | ||
| Frequency /N(F) | 2019 | 749 | 85 | 27 | 7 | 3 | 2 | 0 | 0 | 0 | 0 |
| 2018 | 741 | 65 | 21 | 3 | 2 | 1 | 0 | 0 | 0 | 0 | |
| 2017 | 690 | 71 | 24 | 4 | 3 | 0 | 0 | 0 | 0 | 0 | |
| 2016 | 620 | 61 | 27 | 3 | 1 | 0 | 0 | 0 | 0 | 0 | |
| 2015 | 437 | 71 | 22 | 3 | 2 | 0 | 0 | 0 | 0 | 0 | |
| 2014 | 516 | 79 | 28 | 5 | 1 | 1 | 0 | 0 | 0 | 0 | |
| 2013 | 525 | 93 | 25 | 9 | 2 | 0 | 0 | 0 | 0 | 0 | |
| 2012 | 478 | 74 | 28 | 5 | 3 | 1 | 1 | 0 | 0 | 0 | |
| Total | 4756 | 599 | 202 | 39 | 17 | 5 | 1 | 0 | 0 | 0 | |
| Name | Function | Logarithmic |
|---|---|---|
| Power-law | ||
| Exponential | ||
| Stretched exponential | ||
| Log-normal |
| Year | Fmin | e | Std Err | [0.025 | 0.975] | Variation (%) | R2 |
|---|---|---|---|---|---|---|---|
| 2013 | 1.000 | 1.3389 | 0.062 | 1.216 | 1.461 | 13.808 | 0.9187 |
| 2014 | 1.000 | 1.5000 | 0.070 | 1.363 | 1.638 | 3.4380 | 0.9280 |
| 2015 | 1.000 | 1.7151 | 0.092 | 1.536 | 1.895 | 10.409 | 0.9346 |
| 2016 | 1.000 | 1.5010 | 0.078 | 1.348 | 1.654 | 3.3730 | 0.9214 |
| 2017 | 1.000 | 1.3574 | 0.092 | 1.177 | 1.538 | 12.617 | 0.8922 |
| 2018 | 1.000 | 1.4351 | 0.105 | 1.230 | 1.640 | 7.6160 | 0.8788 |
| 2019 | 1.000 | 1.4521 | 0.101 | 1.255 | 1.649 | 6.5210 | 0.8964 |
| 2020 | 1.000 | 1.6494 | 0.120 | 1.413 | 1.885 | 6.1800 | 0.9033 |
| 2021 | 1.000 | 1.6969 | 0.136 | 1.431 | 1.963 | 9.2380 | 0.8876 |
| 2022 | 1.000 | 1.8876 | 0.146 | 1.601 | 2.175 | 21.514 | 0.8986 |
| Mean | 1.5534 | 9.4710 | |||||
| Variance | 0.0282 | ||||||
| Total | 1.000 | 1.5422 | 0.028 | 1.487 | 1.597 | 0.9800 |
| Year | Fmin | e | Std Err | [0.025 | 0.975] | Variation (%) | R2 |
|---|---|---|---|---|---|---|---|
| 2013 | 2.000 | 1.7733 | 0.151 | 1.476 | 2.070 | 17.767 | 0.8730 |
| 2014 | 2.000 | 1.8870 | 0.178 | 1.539 | 2.235 | 12.495 | 0.8586 |
| 2015 | 2.000 | 2.4070 | 0.188 | 2.038 | 2.776 | 11.619 | 0.9165 |
| 2016 | 2.000 | 2.6698 | 0.220 | 2.239 | 3.101 | 23.806 | 0.9142 |
| 2017 | 2.000 | 2.0660 | 0.196 | 1.682 | 2.450 | 4.1930 | 0.8673 |
| 2018 | 2.000 | 2.1902 | 0.157 | 1.882 | 2.498 | 1.5660 | 0.9209 |
| 2019 | 2.000 | 1.8815 | 0.141 | 1.606 | 2.157 | 12.750 | 0.9054 |
| 2020 | 2.000 | 2.0897 | 0.191 | 1.714 | 2.465 | 3.0950 | 0.8760 |
| 2021 | 2.000 | 2.1886 | 0.198 | 1.800 | 2.577 | 1.4910 | 0.8858 |
| 2022 | 2.000 | 2.4113 | 0.267 | 1.888 | 2.934 | 11.819 | 0.8629 |
| Mean | 2.1564 | ||||||
| Variance | 0.0882 | ||||||
| Total | 2.000 | 2.1841 | 0.056 | 2.075 | 2.293 | 1.2845 | 0.9824 |
| Year | Fmin | e | Std Err | [0.025 | 0.975] | Variation (%) | R2 |
|---|---|---|---|---|---|---|---|
| 2013 | 3.000 | 2.0525 | 0.105 | 1.846 | 2.259 | 4.4190 | 0.9299 |
| 2014 | 3.000 | 2.3808 | 0.106 | 2.174 | 2.588 | 10.869 | 0.9521 |
| 2015 | 3.000 | 2.0211 | 0.087 | 1.850 | 2.192 | 5.8820 | 0.9497 |
| 2016 | 3.000 | 2.1402 | 0.108 | 1.929 | 2.351 | 0.3350 | 0.9451 |
| 2017 | 3.000 | 2.0781 | 0.116 | 1.851 | 2.305 | 3.2270 | 0.9328 |
| 2018 | 3.000 | 2.0818 | 0.149 | 1.789 | 2.375 | 3.0550 | 0.8972 |
| 2019 | 3.000 | 2.3927 | 0.170 | 2.060 | 2.726 | 11.423 | 0.9194 |
| 2020 | 3.000 | 2.2901 | 0.198 | 1.902 | 2.678 | 6.6450 | 0.8856 |
| 2021 | 3.000 | 2.1177 | 0.159 | 1.807 | 2.429 | 1.3830 | 0.9040 |
| 2022 | 3.000 | 1.9188 | 0.183 | 1.561 | 2.277 | 10.645 | 0.8401 |
| Mean | 2.1474 | ||||||
| Variance | 0.0222 | ||||||
| Total | 3.000 | 2.1879 | 0.038 | 2.113 | 2.263 | 1.8660 | 0.9846 |
| Year | Fmin | e | Std Err | [0.025 | 0.975] | Variation (%) | R2 |
|---|---|---|---|---|---|---|---|
| 2012 | 1.000 | 2.6482 | 0.107 | 2.438 | 2.858 | 9.4600 | 0.9797 |
| 2013 | 1.000 | 2.6261 | 0.105 | 2.420 | 2.833 | 10.216 | 0.9778 |
| 2014 | 1.000 | 2.7524 | 0.110 | 2.536 | 2.968 | 5.8980 | 0.9809 |
| 2015 | 1.000 | 2.7417 | 0.122 | 2.502 | 2.981 | 6.2630 | 0.9759 |
| 2016 | 1.000 | 3.1454 | 0.125 | 2.900 | 3.391 | 7.5390 | 0.9825 |
| 2017 | 1.000 | 3.1412 | 0.119 | 2.909 | 3.374 | 7.3950 | 0.9846 |
| 2018 | 1.000 | 3.3450 | 0.124 | 3.101 | 3.589 | 14.363 | 0.9870 |
| 2019 | 1.000 | 2.9990 | 0.104 | 2.794 | 3.204 | 2.5330 | 0.9856 |
| Mean | 2.9249 | ||||||
| Variance | 0.0633 | ||||||
| Total | 1.000 | 2.9442 | 0.040 | 2.866 | 3.022 | 0.6598 | 0.9972 |
Disclaimer/Publisher’s Note: The statements, opinions and data contained in all publications are solely those of the individual author(s) and contributor(s) and not of MDPI and/or the editor(s). MDPI and/or the editor(s) disclaim responsibility for any injury to people or property resulting from any ideas, methods, instructions or products referred to in the content. |
© 2025 by the authors. Licensee MDPI, Basel, Switzerland. This article is an open access article distributed under the terms and conditions of the Creative Commons Attribution (CC BY) license (https://creativecommons.org/licenses/by/4.0/).
Share and Cite
Zhou, F.; Liu, X.; Wang, F. Size–Frequency Distribution Characteristic of Fatalities Due to Workplace Accidents and Industry Dependency. Mathematics 2025, 13, 2021. https://doi.org/10.3390/math13122021
Zhou F, Liu X, Wang F. Size–Frequency Distribution Characteristic of Fatalities Due to Workplace Accidents and Industry Dependency. Mathematics. 2025; 13(12):2021. https://doi.org/10.3390/math13122021
Chicago/Turabian StyleZhou, Fang, Xiling Liu, and Fuxiang Wang. 2025. "Size–Frequency Distribution Characteristic of Fatalities Due to Workplace Accidents and Industry Dependency" Mathematics 13, no. 12: 2021. https://doi.org/10.3390/math13122021
APA StyleZhou, F., Liu, X., & Wang, F. (2025). Size–Frequency Distribution Characteristic of Fatalities Due to Workplace Accidents and Industry Dependency. Mathematics, 13(12), 2021. https://doi.org/10.3390/math13122021

