Steric Effects on Space Electroosmotic Thrusters in Soft Nanochannels
Abstract
:1. Introduction
2. Mathematical Modeling
2.1. Electric Potential Distribution
2.2. Velocity Field Analysis
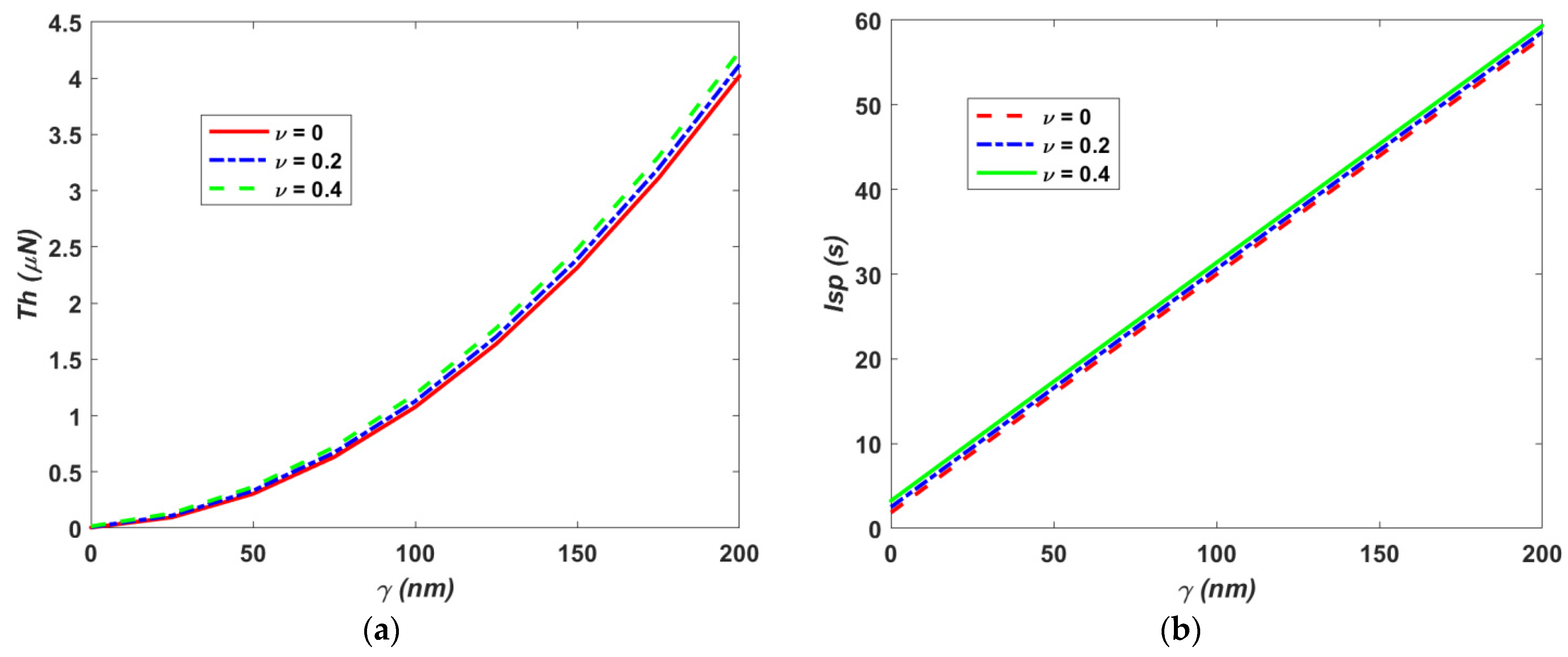
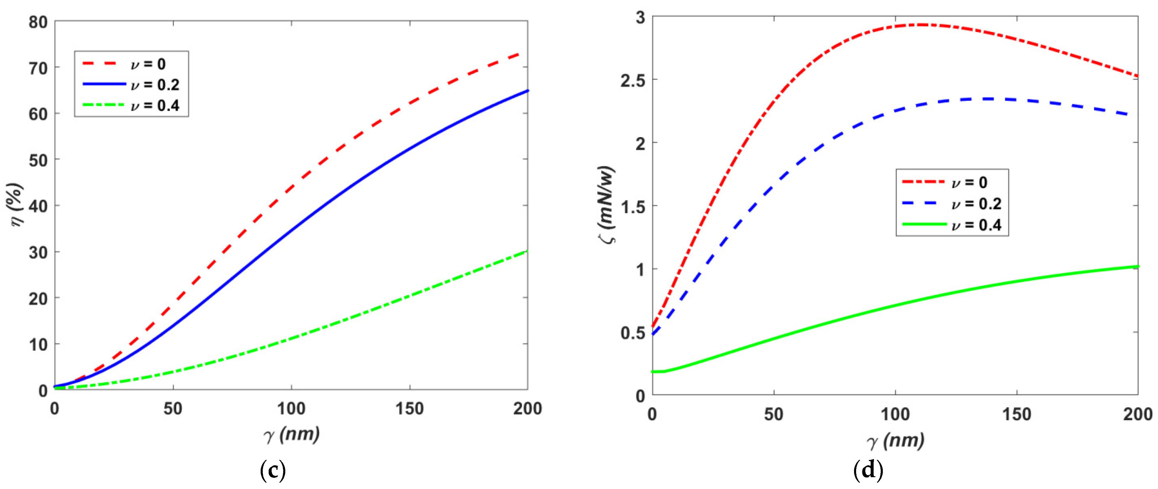
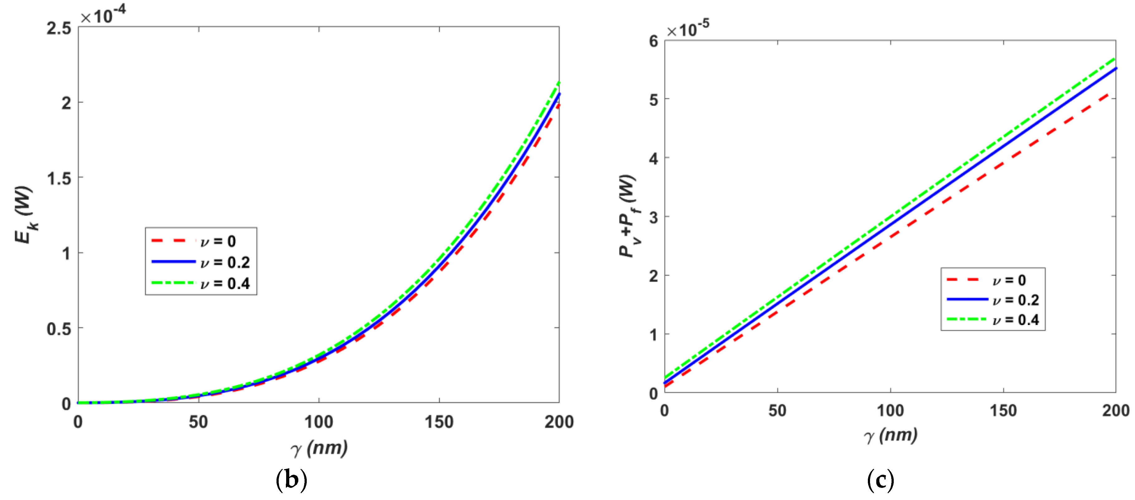
3. Thruster Performance Analysis
3.1. Thrust
3.2. Specific Impulse
3.3. Efficiency
3.4. Thrust-to-Power Ratio
4. Numerical Method
5. Results and Discussion
6. Experiment Design
7. Conclusions
Author Contributions
Funding
Institutional Review Board Statement
Informed Consent Statement
Data Availability Statement
Acknowledgments
Conflicts of Interest
References
- Smith, R.S. Control of deep-space formation-flying spacecraft, relative sensing and switched information. J. Guid. Control. Dyn. 2005, 28, 106–114. [Google Scholar] [CrossRef]
- Mueller, J.; Chakraborty, I.; Bame, D.; Tang, W. Vaporizing liquid microthruster concept: Preliminary results of initial feasibility studies. Micropropuls. Small Spacecr. 2000, 187, 215–230. [Google Scholar]
- Wright, W.P.; Ferrer, P. Electric micropropulsion systems. Prog. Aerosp. Sci. 2015, 74, 48–61. [Google Scholar] [CrossRef]
- De Groot, W. Propulsion options for primary thrust and attitude control of microspacecraft. Microsatellites Res. Tools COSPAR Colloq. Ser. 1999, 10, 200–209. [Google Scholar]
- Diez, F.J.; Hernaiz, G.; Miranda, J.J.; Sureda, M. On the capabilities of nano electrokinetic thrusters for space propulsion. Acta Astronaut. 2013, 83, 97–107. [Google Scholar] [CrossRef]
- Huang, K.H.; Huang, H.F. Two-liquid electroosmotic thrusters for micro propulsion application. Phys. Fluids 2019, 31, 122003. [Google Scholar]
- Yang, R.J.; Fu, L.M.; Lin, Y.C. Electroosmotic flow in microchannels. J. Colloid Interface Sci. 2001, 239, 98–105. [Google Scholar] [CrossRef] [PubMed]
- Xuan, X.C.; Li, D.Q. Electroosmotic flow in microchannels with arbitrary geometry and arbitrary distribution of wall charge. J. Colloid Interface Sci. 2005, 289, 291–303. [Google Scholar] [CrossRef]
- Jian, Y.J.; Yang, L.G.; Liu, Q.S. Time periodic electroosmotic flow through a microannulus. Phys. Fluids 2010, 22, 04200. [Google Scholar] [CrossRef]
- Bera, S.; Bhattacharyya, S. On mixed electroosmotic pressure driven flow and mass transport in microchannels. Int. J. Eng Sci. 2013, 62, 165–176. [Google Scholar] [CrossRef]
- Ganguly, S.; Sarkar, S.; Hota, T.K.; Mishra, M. Thermally developing combined electroosmotic and pressure-driven flow of nanofluids in a microchannel under the effect of magnetic field. Chem. Eng. Sci. 2015, 126, 10–21. [Google Scholar] [CrossRef]
- Ohshima, H. Dynamic electrophoretic mobility of a soft particle. J. Colloid Interface Sci. 2001, 233, 142–152. [Google Scholar] [CrossRef] [PubMed]
- Ohshima, H. Electrophoretic mobility of a soft particle in a salt-free medium. J. Colloid Interface Sci. 2004, 269, 255–258. [Google Scholar] [CrossRef]
- Ohshima, H. Theory of electrostatics and electrokinetics of soft particles. Sci. Technol. Adv. Mater. 2009, 10, 063001. [Google Scholar] [CrossRef]
- Ohshima, H. Electrical phenomena in a suspension of soft particles. Soft Matter 2012, 8, 3511–3514. [Google Scholar] [CrossRef]
- Kimiko, M.; Hiroyuki, O. Soft particle analysis of electrokinetics of biological cells and their model systems. Sci. Technol. Adv. Mater. 2011, 12, 023001. [Google Scholar]
- Barbati, A.C.; Kirby, B.J. Soft diffuse interfaces in electrokinetics-theory and experiment for transport in charged diffuse layers. Soft Matter 2012, 8, 10598–10613. [Google Scholar] [CrossRef]
- Balasubramanian, S.; Kaushik, P.; Mondal, P.K. Dynamics of viscoelastic fluid in a rotating soft microchannel. Phys. Fluids 2020, 32, 112003. [Google Scholar] [CrossRef]
- Chen, G.; Das, S. Streaming potential and electroviscous effects in soft nanochannels beyond Debye-Hückel linearization. J. Colloid Interface Sci. 2015, 445, 357–363. [Google Scholar] [CrossRef]
- Zheng, J.X.; Jian, Y.J. Electroosmotic thrusters in soft nanochannels for space propulsion. Phys. Fluids 2020, 32, 122005. [Google Scholar] [CrossRef]
- Zheng, J.X.; Jian, Y.J. Space Electroosmotic Thrusters in Ion Partitioning Soft Nanochannels. Micromachines 2021, 12, 777. [Google Scholar] [CrossRef]
- Poddar, A.; Maity, D.; Bandopadhyay, A.; Chakraborty, S. Electrokinetics in polyelectrolyte grafted nanofluidic channels modulated by the ion partitioning effect. Soft Matter 2016, 12, 5968–5978. [Google Scholar] [CrossRef]
- Mahapatra, P.; Gopmanda, P.P.; Duval, J.F.L. Effects of dielectric gradients-mediated ions partitioning on the electrophoresis of composite soft particles: An analytical theory. Electrophoresis 2021, 42, 153–162. [Google Scholar] [CrossRef]
- Maurya, S.K.; Gopmandal, P.P.; Bhattacharyya, S.; Ohshima, H. Ion partitioning effect on the electrophoresis of a soft particle with hydrophobic core. Phys. Rev. E 2018, 98, 023103. [Google Scholar] [CrossRef]
- Maurya, S.K.; Gopmandal, P.P.; Ohshima, H.; Duval, J.F.L. Electrophoresis of composite soft particles with differentiated core and shell permeabilities to ions and fluid flow. J. Colloid Interface Sci. 2020, 558, 280–290. [Google Scholar] [CrossRef] [PubMed]
- Donath, E.; Voigt, A. Steaming current and streaming potential on structured surfaces. J. Colloid Interface Sci. 1986, 109, 122–139. [Google Scholar] [CrossRef]
- Chanda, S.; Sinha, S.; Das, S. Steaming potential and electroviscous effects in soft nanochannels: Towards designing more efficient nanofluidic electrochemomechanical energy converters. Soft Matter 2014, 10, 7558–7568. [Google Scholar] [CrossRef] [PubMed]
- Matin, M.H.; Ohshima, H. Combined electroosmotically and pressure driven flow in soft nanofluidics. J. Colloid Interface Sci. 2015, 460, 361–369. [Google Scholar] [CrossRef] [PubMed]
- Gopmandal, P.P.; De, S.; Bhattacharyya, S.; Ohshima, H. Impact of ion-steric and ion-partitioning effects on electrophoresis of soft particles. Phys. Rev. E 2020, 102, 032601. [Google Scholar] [CrossRef] [PubMed]
- Kilic, M.S.; Bazant, M.Z.; Ajdari, A. Steric effects in the dynamics of electrolytes at large applied voltages. I. Double-layer charging. Phys. Rev. E 2007, 75, 021502. [Google Scholar] [CrossRef] [Green Version]
- Pandey, D.; Bhattacharyya, S. Influence of finite ion size and dielectric decrement on the ion current rectification in a single conical nanopore. Phys. Fluids 2021, 33, 062006. [Google Scholar] [CrossRef]
- Kumar, B.; Gopmandal, P.P.; Sinha, R.K.; Ohshima, H. Electrophoresis of hydrophilic/hydrophobic rigid colloid with effects of relaxation and ion size. Electrophoresis 2019, 40, 1282–1292. [Google Scholar] [CrossRef] [PubMed]
- Yazdi, A.A.; Sadeghi, A.; Saidi, M.H. Steric effects on electrokinetic flow of non-linear biofluids. Colloids Surf A Physicochem. Eng. Asp. 2015, 484, 394–401. [Google Scholar] [CrossRef]
- Sin, J.-S.; Kim, U.-H. Ion size effect on electrostatic and electroosmotic properties in soft nanochannels with pH-dependent charge density. Phys. Chem. Chem. Phys. 2018, 20, 22961. [Google Scholar] [CrossRef]
- Xing, J.N.; Jian, Y.J. Steric effects on electroosmotic flow in soft nanochannels. Meccanica 2018, 53, 135–144. [Google Scholar] [CrossRef]
- Bandopadhyay, A.; Chakraborty, S. Steric-effect induced alterations in streaming potential and energy transfer efficiency of non-Newtonian fluids in narrow con-finements. Langmuir 2011, 27, 12243–12252. [Google Scholar] [CrossRef]
- Sin, J.S.; Im, S.J.; Kim, K.I. Asymmetric electrostatic properties of an electric double layer: A generalized Poisson-Boltzmann approach taking into account non-uniform size effects and water polarization. Electrochim. Acta 2015, 153, 531–539. [Google Scholar] [CrossRef]
- Kim, E.Y.; Kim, S.C. Electric double layer for a size-asymmetric electrolyte around a spherical colloid. J. Chem. Phys. 2014, 140, 154703. [Google Scholar] [CrossRef]
- Gupta, A.; Rallabandi, B.; Stone, H.A. Diffusiophoretic and diffusioosmotic velocities for mixtures of valence-asymmetric electrolytes. Phys. Rev. Fluids 2019, 4, 043702. [Google Scholar] [CrossRef]
- Goebel, D.M.; Katz, I. Fundamentals of Electric Propulsion: Ion. and Hall Thrusters; John Wiley & Sons: Hoboken, NJ, USA, 2008. [Google Scholar]
- Hey, F.G. Micro Newton Thruster Development; Springer: Berlin/Heidelberg, Germany, 2017. [Google Scholar]
- Levine, S.; Marriott, J.R.; Neale, G.; Epstein, N. Theory of electrokinetic flow in fine cylindrical capillaries at high zeta-potentials. J. Colloid Interface Sci. 1975, 52, 136–149. [Google Scholar] [CrossRef]
- Zhao, G.P.; Jian, Y.J. Thermal transport of combined electroosmotically and pressure driven nanofluid flow in soft nanochannels. J. Therm. Anal. Calorim. 2019, 135, 379–391. [Google Scholar] [CrossRef]
- Xie, Z.Y.; Jian, Y.J. Rotating electroosmotic flow of power-law fluids at high zeta potentials. Colloids Surf. A Phys. Eng. Asp. 2014, 461, 231–239. [Google Scholar] [CrossRef]
- Jian, Y.J.; Su, J.; Chang, L.; Liu, Q.S.; He, G.W. Transient electroosmotic flow of general Maxwell fluids through a slit microchannel. Z. Angew. Math. Phys. 2014, 65, 435–447. [Google Scholar] [CrossRef] [Green Version]
- Das, S.; Chakraborty, S. Steric-effect-induced enhancement of electrical-double-layer overlapping phenomena. Phys. Rev. E 2011, 84, 012501. [Google Scholar]
- Chanda, S.; Das, S. Effect of finite ion sizes in an electrostatic potential distribution for a charged soft surface in contact with an electrolyte solution. Phys. Rev. E 2014, 89, 012307. [Google Scholar] [CrossRef]
- Joseph, S.; Aluru, N.R. Hierarchical multiscale simulation of electrokinetic transport in silica nanochannels at the point of zero charge. Langmuir 2006, 22, 9041–9051. [Google Scholar] [CrossRef] [PubMed]
- Das, S. Electric-double-layer potential distribution in multiple-layer immiscible electrolytes: Effect of finite ion sizes. Phys. Rev. E 2012, 85, 012502. [Google Scholar] [CrossRef]
- Jimenez, E.; Escandón, J.; Méndez, F.; Bautista, O. Combined viscoelectric and steric effects on the electroosmotic flow in nano/microchannels with heterogeneous zeta potentials. Colloids Surf. A 2019, 577, 347–359. [Google Scholar] [CrossRef]
- Luo, J.; Chen, L.-S.; Duan, H.-Z.; Gong, Y.-G.; Hu, S.; Ji, J.; Liu, Q.; Mei, J.; Milyukov, V.; Sazhin, M.; et al. TianQin: A space-borne gravitational wave detector. Class. Quantum Gravity 2016, 33, 035010. [Google Scholar] [CrossRef] [Green Version]







| Parameters | Single Thruster Performances | ||||||||||
|---|---|---|---|---|---|---|---|---|---|---|---|
| Design | ν | λ* (nm) | λ*FCL (nm) | γ* (nm) | Isp* (s) | Th* (μN) | η (mN/W) | ζ* (%) | Pj* (mW) | Ek* (mW) | Pv* + Pf* (mW) |
| EOT1 | 0 | 7.5 | 25 | 150 | 42.3 | 1.8 | 2.9 | 62 | 4.1 × 10−3 | 3.9 × 10−2 | 1.9 × 10−2 |
| EOT2 | 0.2 | 7.5 | 25 | 150 | 42.6 | 1.9 | 2.8 | 61 | 5.6 × 10−3 | 4 × 10−2 | 2 × 10−2 |
| EOT3 | 0.2 | 7.5 | 15 | 180 | 51.4 | 2.3 | 2.5 | 65 | 1.1 × 10−2 | 7 × 10−2 | 2.4 × 10−2 |
Publisher’s Note: MDPI stays neutral with regard to jurisdictional claims in published maps and institutional affiliations. |
© 2021 by the authors. Licensee MDPI, Basel, Switzerland. This article is an open access article distributed under the terms and conditions of the Creative Commons Attribution (CC BY) license (https://creativecommons.org/licenses/by/4.0/).
Share and Cite
Zheng, J.; Jia, B.; Jian, Y. Steric Effects on Space Electroosmotic Thrusters in Soft Nanochannels. Mathematics 2021, 9, 1916. https://doi.org/10.3390/math9161916
Zheng J, Jia B, Jian Y. Steric Effects on Space Electroosmotic Thrusters in Soft Nanochannels. Mathematics. 2021; 9(16):1916. https://doi.org/10.3390/math9161916
Chicago/Turabian StyleZheng, Jiaxuan, Beinan Jia, and Yongjun Jian. 2021. "Steric Effects on Space Electroosmotic Thrusters in Soft Nanochannels" Mathematics 9, no. 16: 1916. https://doi.org/10.3390/math9161916
APA StyleZheng, J., Jia, B., & Jian, Y. (2021). Steric Effects on Space Electroosmotic Thrusters in Soft Nanochannels. Mathematics, 9(16), 1916. https://doi.org/10.3390/math9161916
