Comparison of Non-Newtonian Models of One-Dimensional Hemodynamics
Abstract
1. Introduction
2. Non-Newtonian Models of One-Dimensional Hemodynamics
2.1. Non-Newtonian Models of Blood Flow
2.2. Dimensionless Parameters
3. Solution of the Problem for the Semi-Infinite Interval
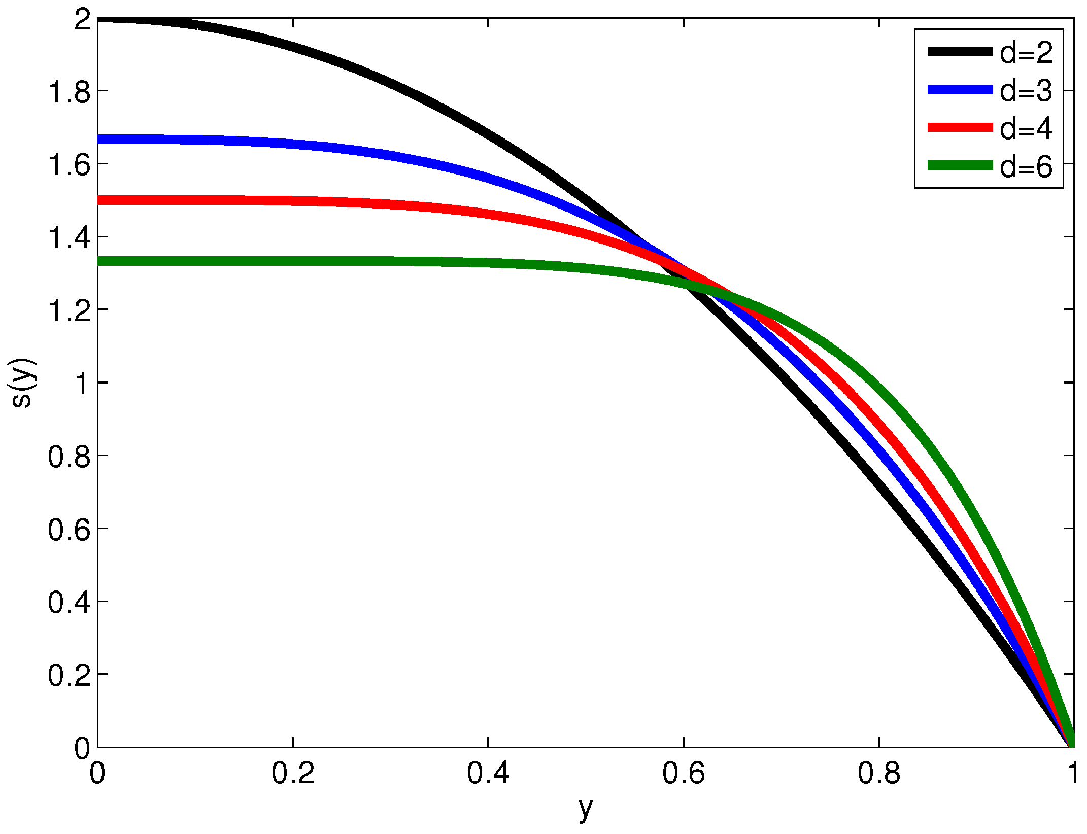
3.1. Perturbation Method
3.2. Comparison of Solutions
4. Conclusions
Funding
Institutional Review Board Statement
Informed Consent Statement
Acknowledgments
Conflicts of Interest
References
- Dobroserdova, T.; Liang, F.; Panasenko, G.; Vassilevski, Y. Multiscale models of blood flow in the compliant aortic bifurcation. Appl. Math. 2019, 93, 98–104. [Google Scholar] [CrossRef]
- Quarteroni, A.; Manzoni, A.; Vergara, C. The cardiovascular system: Mathematical modelling, numerical algorithms and clinical applications. Acta Numer. 2017, 26, 365–590. [Google Scholar] [CrossRef]
- Boileau, E.; Nithiarasu, P.; Blanco, P.J.; Muller, L.O.; Fossan, F.E.; Hellevik, L.R.; Donders, W.P.; Huberts, W.; Willemet, M.; Alastruey, J. A benchmark study of numerical schemes for one-dimensional arterial blood flow modeling. Int. J. Numer. Methods Biomed. Eng. 2015, 31, 1–33. [Google Scholar] [CrossRef] [PubMed]
- Puelz, C.; Canic, S.; Riviere, B.; Rusin, C.G. Comparison of reduced models for blood flow using Runge–Kutta discontinuous Galerkin methods. Appl. Numer. Mathet. 2017, 115, 114–141. [Google Scholar] [CrossRef]
- Marchandise, E.; Willemet, M.; Lacroix, V. A numerical hemodynamic tool for predictive vascular surgery. Med. Eng. Phys. 2009, 31, 131–144. [Google Scholar] [CrossRef]
- Formaggia, L.; Lamponi, D.; Quarteroni, A. One-dimensional models for blood flow in arteries. J. Eng. Math. 2003, 47, 251–276. [Google Scholar] [CrossRef]
- Canic, S.; Kim, E.H. Mathematical analysis of the quasilinear effects in a hyperbolic model blood flow through compliant axi-symmetric vessels. Math. Methods Appl. Sci. 2003, 26, 1161–1186. [Google Scholar] [CrossRef]
- Xiao, N.; Alastruey, J.; Figueroa, C. A systematic comparison between 1-D and 3-D hemodynamics in compliant arterial models. Int. J. Numer. Methods Biomed. Eng. 2014, 30, 203–231. [Google Scholar] [CrossRef]
- Cho, Y.I.; Kensey, K.R. Effects of the non-Newtonian viscosity of blood on flows in a diseased arterial vessel. Part 1: Steady ows. Biorheology 1991, 28, 241–262. [Google Scholar] [CrossRef] [PubMed]
- Charm, S.; Kurland, G. Viscometry of human blood for shear rates of 0-100,000 sec-1. Nature 1965, 206, 617–618. [Google Scholar] [CrossRef] [PubMed]
- Huang, C.; Siskovic, N.; Robertson, R.; Fabisiak, W.; Smitherberg, E.; Copley, A. Quantitative characterization of thixotropy of whole human blood. Biorheology 1975, 12, 279–282. [Google Scholar] [CrossRef]
- Thurston, G. Viscoelasticity of human blood. Biophys. J. 1972, 12, 1205–1217. [Google Scholar] [CrossRef]
- Ghigo, A.R.; Lagree, P.-Y.; Fullana, J.-M. A time-dependent non-Newtonian extension of a 1D blood flow model. J. Non-Newton. Fluid Mech. 2018, 253, 36–49. [Google Scholar] [CrossRef]
- Gijsen, F.J.H.; Allanic, E.; van de Vosse, F.N.; Janssen, J.D. The influence of non-Newtonian property of blood on the flow in large arteries: Unsteady flow in a 90∘ curved tube. J. Biomech. 1999, 32, 705–713. [Google Scholar] [CrossRef]
- Irgens, F. Rheology and Non-Newtonian Fluids; Springer: Berlin, Germany, 2014. [Google Scholar]
- Abbasian, M.; Shams, M.; Valizadeh, Z.; Moshfegh, A.; Javadzadegan, A.; Cheng, S. Effects of different non-Newtonian models on unsteady blood flow hemodynamics in patient-specific arterial models with in-vivo validation. Comput. Methods Programs Biomed. 2020, 186, 105185. [Google Scholar] [CrossRef]
- Karimi, S.; Dabagh, M.; Vasava, P.; Dadvar, M.; Dabir, B.; Jalali, P. Effect of rheological models on the hemodynamics within human aorta: CFD study on CT image-based geometry. J. Non-Newton. Fluid Mech. 2014, 207, 42–52. [Google Scholar] [CrossRef]
- Razavi, A.; Shirani, E.; Sadeghi, M.R. Numerical simulation of blood pulsatile flow in a stenosed carotid artery using different rheological models. J. Biomech. 2011, 44, 2021–2030. [Google Scholar] [CrossRef] [PubMed]
- Doost, S.N.; Zhong, L.; Su, B.; Morsi, Y.S. The numerical analysis of non- Newtonian blood flow in human patient-specific left ventricle. Comput. Programs Biomed. 2016, 127, 232–247. [Google Scholar] [CrossRef]
- Molla, M.M.; Paul, M.C. LES of non-Newtonian physiological blood flow in a model of arterial stenosis. Med. Eng. Phys. 2012, 34, 1079–1087. [Google Scholar] [CrossRef]
- Ameenuddin, M.; Anand, M.; Massoudi, M. Effects of shear-dependent viscosity and hematocrit on blood flow. Appl. Math. Comput. 2019, 356, 299–311. [Google Scholar] [CrossRef]
- Soulis, J.V.; Giannoglou, G.D.; Chatzizisis, Y.S.; Seralidou, K.V.; Parcharidis, G.E.; Louridas, G.E. Non-Newtonian models for molecular viscosity and wall shear stress in a 3D reconstructed human left coronary artery. Med. Eng. Phys. 2008, 30, 9–19. [Google Scholar] [CrossRef] [PubMed]
- Iasiello, M.; Vafai, K.; Andreozzi, A.; Bianco, N. Analysis of non-Newtonian effects within an aorta-iliac bifurcation region. J. Biomech. 2017, 64, 153–163. [Google Scholar] [CrossRef] [PubMed]
- Caballero, A.B.; Lain, S. Numerical simulation of non-Newtonian blood flow dynamics in human thoracic aorta. Comput. Methods Biomech. Biomed. Eng. 2015, 18, 1200–1216. [Google Scholar] [CrossRef]
- Moradicheghamahi, J.; Sadeghiseraji, J.; Jahangiri, M. Numerical solution of the pulsatile, non-Newtonian and turbulent blood ow in a patient specific elastic carotid artery. Int. J. Mech. Sci. 2019, 150, 393–403. [Google Scholar] [CrossRef]
- Tu, C.; Deville, M. Pulsatile flow of non-Newtonian fluids through arterial stenoses. J. Biomech. 1996, 29, 899–908. [Google Scholar] [CrossRef]
- O’Callaghan, S.; Walsh, M.; McGloughlin, T. Numerical modelling of Newtonian and non-Newtonian representation of blood in a distal end-to-side vascular bypass graft anastomosis. Med. Eng. Phys. 2006, 28, 70–74. [Google Scholar] [CrossRef]
- Johnston, B.M.; Johnston, P.R.; Corney, S.; Kilpatrick, D. Non-Newtonian blood flow in human right coronary arteries: Steady state simulations. J. Biomech. 2004, 37, 709–720. [Google Scholar] [CrossRef]
- Morbiducci, U.; Gallo, D.; Massai, D.; Ponzini, R.; Deriu, M.A.; Antiga, L.; Redaelli, A.; Montevecchi, F.M. On the importance of blood rheology for bulk flow in hemodynamic models of the carotid bifurcation. J. Biomech. 2011, 44, 2427–2438. [Google Scholar] [CrossRef]
- Tabakova, S.; Nikolova, E.; Radev, S. Carreau model for oscillatory blood flow in a tube. AIP Conf. Proc. 2014, 1629, 336–343. [Google Scholar]
- Boyd, J.; Buick, J.M.; Green, S. Analysis of the Casson and Carreau–Yasuda non-Newtonian blood models in steady and oscillatory flows using the lattice Boltzmann method. Phys. Fluids 2007, 19, 093103. [Google Scholar] [CrossRef]
- Elhanafy, A.; Guaily, A.; Elsaid, A. Numerical simulation of blood flow in abdominal aortic aneurysms: Effects of blood shear-thinning and viscoelastic properties. Math. Comput. Simul. 2019, 160, 55–71. [Google Scholar] [CrossRef]
- Vimmir, J.; Jonasova, A. Non-Newtonian effects of blood flow in complete coronary and femoral bypasses. Math. Comput. Simul. 2010, 80, 1324–1336. [Google Scholar] [CrossRef]
- Leuprecht, A.; Perktold, K. Computer simulation of non-Newtonian effects on blood flow in large arteries. Comput. Methods Biomech. Biomed. Eng. 2001, 4, 149–163. [Google Scholar] [CrossRef] [PubMed]
- Rabby, M.G.; Razzak, A.; Molla, M.M. Pulsatile non-Newtonian blood flow through a model of arterial stenosis. Procedia Eng. 2013, 56, 225–231. [Google Scholar] [CrossRef]
- Iasiello, M.; Vafai, K.; Andreozzi, A.; Bianco, N. Analysis of non-Newtonian effects on low-density lipoprotein accumulation in an artery. J. Biomech. 2016, 49, 1437–1446. [Google Scholar] [CrossRef] [PubMed]
- Yeleswarapu, K.K.; Kameneva, M.V.; Rajagopal, K.R.; Antaki, J.F. The flow of blood in tubes: Theory and experiment. Mech. Res. Commun. 1998, 25, 257–262. [Google Scholar] [CrossRef]
- Nandakumar, N.; Sahn, K.C.; Anand, M. Pulsatile flow of a shear thinning model for blood through a two-dimensional stenosed vessel. Eur. J. Mech. 2015, 49, 29–35. [Google Scholar] [CrossRef]
- Deyranlou, A.; Niazmand, H.; Sadeghi, M.-R. Low-density lipoprotein accumulation within a carotid artery with multilayer elastic porous wall: Fluid-structure interaction and non-Newtonian considerations. J. Biomech. 2015, 48, 2948–2959. [Google Scholar] [CrossRef]
- Ameenuddin, M.; Anand, M. CFD analysis of hemodynamics in idealized abdominal aorta-renal artery junction: Preliminary study to locate atherosclerotic plague. Comput. Res. Model. 2019, 11, 695–706. [Google Scholar] [CrossRef]
- van Wyk, S.; Wittberg, L.P.; Bulusu, K.V.; Fuchs, L.; Plesniak, M.W. Non-Newtonian perspectives on pulsatile blood-analog flows in a curved artery model. Phys. Fluids 2015, 27, 071901. [Google Scholar] [CrossRef]
- Elhanafy, A.; Elsaid, A.; Guaily, A. Numerical investigation of hematocrit variation effect on blood flow in an arterial segment with variable stenosis degree. J. Mol. Liquids 2020, 313, 113550. [Google Scholar] [CrossRef]
- Wu, W.-T.; Aubry, N.; Antaki, J.F.; Massoudi, M. Simulation of blood flow in a sudden expansion channel and a coronary artery. J. Comput. Appl. Math. 2020, 376, 112856. [Google Scholar] [CrossRef]
- Perdikaris, P.; Grinberg, L.; Karniadakis, G.E. An effective fractal-tree closure model for simulating blood flow in large arterial networks. Ann. Biomed. Eng. 2015, 43, 1432–1442. [Google Scholar] [CrossRef] [PubMed]
- Sochi, T. The flow of power law fluids in elastic vessels and porous media. Comput. Biomech. Biomed. Eng. 2016, 19, 324–329. [Google Scholar] [CrossRef][Green Version]
- Razavi, M.S.; Shirani, E. Development of a general methods for designing microvascular using distribution of wall shear stress. J. Biomech. 2013, 46, 2303–2309. [Google Scholar] [CrossRef]
- Kim, S.; Cho, Y.I.; Jeon, A.H.; Hogenauer, B.; Kensey, K.R. A new method for blood viscosity measurement. J. Non-Newton. Fluid Mech. 2000, 94, 47–56. [Google Scholar] [CrossRef]
- Myers, T.G. Application of non-Newtonian models to thin film flow. Phys. Rev. E 2015, 72, 066302. [Google Scholar] [CrossRef]
- Skiadopoulos, A.; Neofytou, P.; Housiadas, C. Comparison of blood rheological models in patient specific cardiovascular system simulations. J. Hydrodyn. 2017, 29, 293–304. [Google Scholar] [CrossRef]
- Caro, C.G.; Pedley, T.J.; Schroter, R.C.; Seed, W.A. The Mechanics of the Circulation; Cambridge University Press: Cambridge, UK, 2011. [Google Scholar]







| Model | |
|---|---|
| Newtonian | |
| Power Law | |
| Carreau | |
| Carreau–Yasuda | |
| Cross | |
| Simplified Cross | |
| Modified Cross | |
| Yeleswarapu | |
| Modified Yeleswarapu | |
| Quemada | , |
| Model | |
|---|---|
| Newtonian | , , , |
| Power Law | , , |
| Carreau | , |
| , , , | |
| , , | |
| Carreau–Yasuda | , |
| , , , | |
| , , | |
| Cross | , |
| , , , | |
| , , | |
| Simplified Cross | , |
| , , , | |
| , , | |
| Modified Cross | , |
| , , , | |
| , , | |
| Yeleswarapu | , |
| , , , | |
| , , | |
| Quemada | |
| , | |
| , |
Publisher’s Note: MDPI stays neutral with regard to jurisdictional claims in published maps and institutional affiliations. |
© 2021 by the author. Licensee MDPI, Basel, Switzerland. This article is an open access article distributed under the terms and conditions of the Creative Commons Attribution (CC BY) license (https://creativecommons.org/licenses/by/4.0/).
Share and Cite
Krivovichev, G.V. Comparison of Non-Newtonian Models of One-Dimensional Hemodynamics. Mathematics 2021, 9, 2459. https://doi.org/10.3390/math9192459
Krivovichev GV. Comparison of Non-Newtonian Models of One-Dimensional Hemodynamics. Mathematics. 2021; 9(19):2459. https://doi.org/10.3390/math9192459
Chicago/Turabian StyleKrivovichev, Gerasim Vladimirovich. 2021. "Comparison of Non-Newtonian Models of One-Dimensional Hemodynamics" Mathematics 9, no. 19: 2459. https://doi.org/10.3390/math9192459
APA StyleKrivovichev, G. V. (2021). Comparison of Non-Newtonian Models of One-Dimensional Hemodynamics. Mathematics, 9(19), 2459. https://doi.org/10.3390/math9192459

