An Evaluation Study of a New Designed Oscillating Hydraulic Trainer of Neck
Abstract
1. Introduction
Design
2. Materials and Methods
2.1. Subjects
2.2. Apparatus
2.2.1. Neck Strength Training Trainers
The Simple Hat Trainer (HATT)
The Traditional Weight Trainer (TWT)
The Oscillating Hydraulic Trainer (OHT)
The Mobile Phone
2.2.2. Data Acquisition Equipment
2.3. Experimental Procedure
2.3.1. Selection of Target Muscles
2.3.2. Maximal Isometric Voluntary Contraction and sEMG Collection
2.3.3. Selection of Training Load
2.3.4. Experiment of Neck Flexion and Extension
2.3.5. Subjective Evaluation of Product Usability
2.4. Data Processing
2.4.1. The sEMG Signals
Normalized Root Mean Square of sEMG (RMS%)
Duration (D) and Peak Timing (PT)
2.4.2. Subjective Evaluation of Product Usability
3. Results
3.1. The sEMG Original Signals
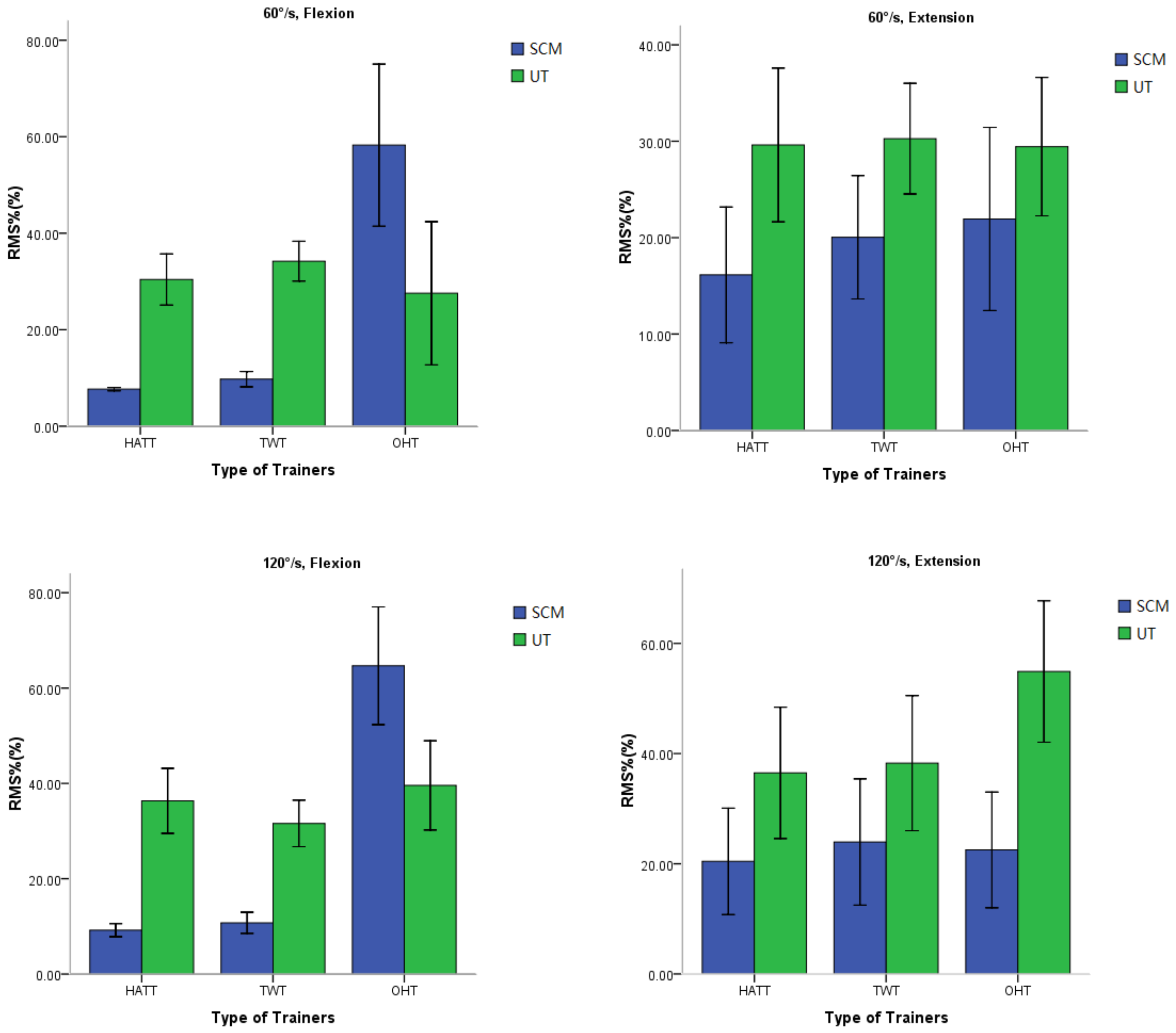
3.2. The Muscle Activation Intensity
3.3. The Muscle Activation Pattern
3.4. Subjective Evaluations of Product Usability
4. Discussion
4.1. The Muscle Activation Intensity
4.2. The Muscle Activation Pattern
4.3. Subjective Assessment of Satisfaction
5. Conclusions and Future Prospects
Author Contributions
Funding
Institutional Review Board Statement
Informed Consent Statement
Data Availability Statement
Acknowledgments
Conflicts of Interest
References
- Elliott, J.; Heron, N.; Versteegh, T.; Gilchrist, I.A.; Webb, M.; Archbold, P.; Hart, N.D.; Peek, K. Injury Reduction Programs for Reducing the Incidence of Sport-Related Head and Neck Injuries Including Concussion: A Systematic Review. Sports Med. 2021, 51, 2373–2388. [Google Scholar] [CrossRef] [PubMed]
- Hoy, D.; March, L.; Woolf, A.; Blyth, F.; Brooks, P.; Smith, E.; Vos, T.; Barendregt, J.; Blore, J.; Murray, C.; et al. The global burden of neck pain: Estimates from the Global Burden of Disease 2010 study. Ann. Rheum. Dis. 2014, 73, 1309–1315. [Google Scholar] [CrossRef] [PubMed]
- Sitthipornvorakul, E.; Janwantanakul, P.; Purepong, N.; Pensri, P.; van der Beek, A.J. The association between physical activity and neck and low back pain: A systematic review. Eur. Spine J. 2011, 20, 677–689. [Google Scholar] [CrossRef] [PubMed]
- Cote, P.; van der Velde, G.; Cassidy, J.D.; Carroll, L.J.; Hogg-Johnson, S.; Holm, L.W.; Carragee, E.J.; Haldeman, S.; Nordin, M.; Hurwitz, E.L.; et al. The burden and determinants of neck pain in workers—Results of the bone and joint decade 2000–2010 task force on neck pain and its associated disorders. Eur. Spine J. 2008, 17, S60–S74. [Google Scholar] [CrossRef]
- Frutiger, M.; Borotkanics, R.J. Systematic Review and Meta-Analysis Suggest Strength Training and Workplace Modifications May Reduce Neck Pain in Office Workers. Pain. Pract. 2021, 21, 100–131. [Google Scholar] [CrossRef] [PubMed]
- Kirkwood, G.; Hughes, T.C.; Pollock, A.M. Results on sports-related injuries in children from NHS emergency care dataset Oxfordshire pilot: An ecological study. J. R. Soc. Med. 2019, 112, 109–118. [Google Scholar] [CrossRef]
- McIntosh, A.S.; McCrory, P. Preventing head and neck injury. Br. J. Sports Med. 2005, 39, 314–318. [Google Scholar] [CrossRef]
- Rintala, H.; Hakkinen, A.; Siitonen, S.; Kyrolainen, H. Relationships Between Physical Fitness, Demands of Flight Duty, and Musculoskeletal Symptoms Among Military Pilots. Mil. Med. 2015, 180, 1233–1238. [Google Scholar] [CrossRef]
- Verde, P.; Trivelloni, P.; Angelino, G.; Morgagni, F.; Tomao, E. Neck Pain in F-16 vs. Typhoon Fighter Pilots. Aerosp. Med. Hum. Perf. 2015, 86, 402–406. [Google Scholar] [CrossRef]
- Peek, K. The measurement of neck strength: A guide for sports medicine clinicians. Phys. Ther. Sport 2022, 55, 282–288. [Google Scholar] [CrossRef]
- Taylor, M.K.; Hodgdon, J.A.; Griswold, L.; Miller, A.; Roberts, D.E.; Escamilla, R.F. Cervical resistance training: Effects on isometric and dynamic strength. Aviat. Space Envir. Md. 2006, 77, 1131–1135. [Google Scholar]
- Alricsson, M.; Harms-Ringdahl, K.; Larsson, B.; Linder, J.; Werner, S. Neck muscle strength and endurance in fighter pilots: Effects of a supervised training program. Aviat. Space Envir. Md. 2004, 75, 23–28. [Google Scholar]
- Naish, R.; Burnett, A.; Burrows, S.; Andrews, W.; Appleby, B. Can a Specific Neck Strengthening Program Decrease Cervical Spine Injuries in a Men’s Professional Rugby Union Team? A Retrospective Analysis. J. Sport. Sci. Med. 2013, 12, 542–550. [Google Scholar]
- Stump, J.; Rash, G.; Semon, J.; Christian, W.; Miller, K. A comparison of 2 modes of cervical exercise in adolescent male-athletes. J. Manip. Physiol. Ther. 1993, 16, 155–160. [Google Scholar]
- Andersen, L.L.; Jorgensen, M.B.; Blangsted, A.K.; Pedersen, M.T.; Hansen, E.A.; Sjogaard, G. A randomized controlled intervention trial to relieve and prevent neck/shoulder pain. Med. Sci. Sport Exer. 2008, 40, 983–990. [Google Scholar] [CrossRef] [PubMed]
- Bernaards, C.M.; Ariens, G.A.; Knol, D.L.; Hildebrandt, V.H. The effectiveness of a work style intervention and a lifestyle physical activity intervention on the recovery from neck and upper limb symptoms in computer workers. Pain 2007, 132, 142–153. [Google Scholar] [CrossRef]
- Zebis, M.K.; Andersen, L.L.; Pedersen, M.T.; Mortensen, P.; Andersen, C.H.; Pedersen, M.M.; Boysen, M.; Roessler, K.K.; Hannerz, H.; Mortensen, O.S.; et al. Implementation of neck/shoulder exercises for pain relief among industrial workers: A randomized controlled trial. BMC Musculoskel. Dis. 2011, 12, 205. [Google Scholar] [CrossRef]
- Sovelius, R.; Oksa, J.; Rintala, H.; Huhtala, H.; Ylinen, J.; Siitonen, S. Trampoline exercise vs. strength training to reduce neck strain in fighter pilots. Aviat. Space Envir. Md. 2006, 77, 20–25. [Google Scholar]
- Murray, M.; Lange, B.; Søgaard, K.; Sjøgaard, G. The Effect of Physical Exercise Training on Neck and Shoulder Muscle Function Among Military Helicopter Pilots and Crew: A Secondary Analysis of a Randomized Controlled Trial. Front. Public Health 2020, 8, 546286. [Google Scholar] [CrossRef]
- Harrison, M.F.; Forde, K.A.; Albert, W.J.; Croll, J.C.; Neary, J.P. Posture and Helmet Load Influences on Neck Muscle Activation. Aerosp. Med. Hum. Perf. 2016, 87, 48–53. [Google Scholar] [CrossRef]
- Wang, Y.; Wu, J.; Yang, H.; Tang, Z.; Chai, G. Evaluation of a New Rotator Cuff Trainer Based on Oscillating Hydraulic Damping. Healthcare 2020, 8, 24. [Google Scholar] [CrossRef] [PubMed]
- Ren, Y.; Wu, S. Usability evaluation and application of multi-joint active and passive trainer based on user experience. J. Graph. 2021, 42, 325–331. [Google Scholar]
- Longo, S.; Tanda, M.G.; Chiapponi, L. Problems in Hydraulics and Fluid Mechanics; Springer: Berlin/Heidelberg, Germany, 2021. [Google Scholar]
- Yang, H.; Wu, J.; Tang, Z. The Characteristics and Developmental Designing Prospects of Common Strength Equipment in China’s Fitness Path. Packag. Eng. 2017, 38, 43–47. [Google Scholar] [CrossRef]
- Keshner, E.A.; Campbell, D.; Katz, R.T.; Peterson, B.W. Neck muscle activation patterns in humans during isometric head stabilization. Exp. Brain Res. 1989, 75, 335–344. [Google Scholar] [CrossRef] [PubMed]
- GB10000-1988; Human Dimensions of Chinese Adults; China. China State Bureau of Technology Supervision: Beijing, China, 1989. Available online: https://wenku.baidu.com/view/4e23160a79563c1ec5da719c.html (accessed on 10 May 2022).
- Sommerich, C.M.; Joines, S.M.B.; Hermans, V.; Moon, S.D. Use of surface electromyography to estimate neck muscle activity. J. Electromyogr. Kinesiol. 2000, 10, 377–398. [Google Scholar] [CrossRef] [PubMed]
- Lascurain-Aguirrebena, I.; Newham, D.J.; Irazusta, J.; Seco, J.; Critchley, D.J. Reliability of a Method to Measure Neck Surface Electromyography, Kinematics, and Pain Occurrence in Participants with Neck Pain. J. Manip. Physiol. Ther. 2018, 41, 413–424. [Google Scholar] [CrossRef] [PubMed]
- Tang, Z.; Sun, S.; Wang, J.; Zhang, K. An ergonomics evaluation of the vibration backpack harness system in walking. Int. J. Ind. Ergon. 2014, 44, 753–760. [Google Scholar] [CrossRef]
- Zatsiorsky, V.M.; Kraemer, W.J. Krafttraining. Praxis Und Wissenschaft; Meyer & Meyer: Aachen, Germany, 2008. [Google Scholar]
- Santos Nascimento, V.Y.; Barbosa Torres, R.J.; Beltrao, N.B.; dos Santos, P.S.; Torres Piraua, A.L.; Alves de Oliveira, V.M.; Pitangui, A.C.R.; de Araujo, R.C. Shoulder Muscle Activation Levels During Exercises with Axial and Rotational Load on Stable and Unstable Surfaces. J. Appl. Biomech. 2017, 33, 118–123. [Google Scholar] [CrossRef]
- Forgas, J.P.; Moylan, S. After the Movies. Personal. Soc. Psychol. Bull. 2016, 13, 467–477. [Google Scholar] [CrossRef]
- Burnett, A.F.; Naumann, F.L.; Price, R.S.; Sanders, R.H. A comparison of training methods to increase neck muscle strength. Work Reading Mass. 2005, 25, 205–210. [Google Scholar]
- Hrysomallis, C. Neck Muscular Strength, Training, Performance and Sport Injury Risk: A Review. Sports Med. 2016, 46, 1111–1124. [Google Scholar] [CrossRef] [PubMed]
- Andersen, C.H.; Jensen, R.H.; Dalager, T.; Zebis, M.K.; Sjogaard, G.; Andersen, L.L. Effect of resistance training on headache symptoms in adults: Secondary analysis of a RCT. Musculoskelet. Sci. Pract. 2017, 32, 38–43. [Google Scholar] [CrossRef] [PubMed]
- Orizio, C.; Perini, R.; Veicsteinas, A. Changes of muscular sound during sustained isometric contraction up to exhaustion. J. Appl. Physiol. 1989, 66, 1593–1598. [Google Scholar] [CrossRef]
- Sbriccoli, P.; Bazzucchi, I.; Rosponi, A.; Bernardi, M.; De Vito, G.; Felici, F. Amplitude and spectral characteristics of biceps Brachii sEMG depend upon speed of isometric force generation. J. Electromyogr. Kinesiol. 2003, 13, 139–147. [Google Scholar] [CrossRef] [PubMed]
- Rocha, V.A.; Bottaro, M.; Pereira, M.C.; Ferreira, J.B.; Carmo, J.; Brown, L.E.; Nascimento, F.A.O. Reliability of normalized surface electromyographic signals of maximal upper-body isokinetic strength. Isokinet. Exerc. Sci. 2015, 23, 7–15. [Google Scholar] [CrossRef]
- McManus, L.; Hu, X.G.; Rymer, W.Z.; Lowery, M.M.; Suresh, N.L. Changes in motor unit behavior following isometric fatigue of the first dorsal interosseous muscle. J. Neurophysiol. 2015, 113, 3186–3196. [Google Scholar] [CrossRef]
- Yang, H.; Rong, W.J.T. The Resistance Specificity of sEMG Parameters Under Non-fatigue Contractions. J. Beijing Sport Univ. 2012, 35, 59–61+68. [Google Scholar] [CrossRef]
- Wirianski, A.; Deall, S.; Whittle, T.; Wong, M.; Murray, G.M.; Peck, C.C. Isotonic resistance jaw exercise alters jaw muscle coordination during jaw movements. J. Oral Rehabil. 2014, 41, 353–366. [Google Scholar] [CrossRef]
- Young, W.; Cormack, S.; Crichton, M. Which Jump Variables Should Be Used to Assess Explosive Leg Muscle Function? Int. J. Sport. Physiol. Perform. 2011, 6, 51–57. [Google Scholar] [CrossRef]
- Thng, S.; Pearson, S.; Rathbone, E.; Keogh, J.W.L. Longitudinal tracking of body composition, lower limb force-time characteristics and swimming start performance in high performance swimmers. Int. J. Sport. Sci. Coach. 2022, 17, 83–94. [Google Scholar] [CrossRef]
- Abernethy, B. Anticipation in squash: Differences in advance cue utilization between expert and novice players. J. Sport. Sci. 1990, 8, 17–34. [Google Scholar] [CrossRef] [PubMed]
- Chini, G.; Silvetti, A.; Vitalone, R.; Di Muzio, V.; Lucertini, M.; Lucertini, E.; Draicchio, F. Neck and Shoulder Muscle Fatigue in High Performance Aircrafts Pilots: Effects of a Training Program (Part 2). In Proceedings of the 10th International Conference on Applied Human Factors and Ergonomics (AHFE), Washington, DC, USA, 24–28 July 2019; pp. 430–442. [Google Scholar]
- Shackel, B. Usability—Context, framework, definition, design and evaluation. Interact. Comput. 2009, 21, 339–346. [Google Scholar] [CrossRef]
- Chowdhury, A.; Karmakar, S.; Reddy, S.M.; Ghosh, S.; Chakrabarti, D. Usability is more valuable predictor than product personality for product choice in human-product physical interaction. Int. J. Ind. Ergon. 2014, 44, 697–705. [Google Scholar] [CrossRef]
- Harris-Adamson, C.; Chen, B.; Janowitz, I.; Rempel, D.M. Ergonomic evaluation of an alternative tool for cake decorating. Int. J. Ind. Ergon. 2017, 57, 63–67. [Google Scholar] [CrossRef]











| Level-1 | Level-2 | Weight | Level-3 | Weight |
|---|---|---|---|---|
| Product Usability A | Apparent Usability (A1) | 0.143 | Aesthetically pleasing (A11) | 0.267 |
| Coordination (A12) | 0.332 | |||
| Texture (A13) | 0.401 | |||
| Performing Usability (A2) | 0.429 | Controllability (A21) | 0.114 | |
| Easy to adjust (A22) | 0.085 | |||
| Fault tolerance (A23) | 0.033 | |||
| Efficiency (A24) | 0.265 | |||
| Man–machine (A25) | 0.503 | |||
| Perceived Usability (A3) | 0.428 | Satisfaction (A31) | 0.176 | |
| Reliability (A32) | 0.385 | |||
| Comfortability (A33) | 0.439 |
| Parameter | 60°/s | 120°/s | Angular Speed | Trainer Type | Speed × Type | |||||||
|---|---|---|---|---|---|---|---|---|---|---|---|---|
| HATT | TWT | OHT | HATT | TWT | OHT | p-Value | η2 | p-Value | η2 | p-Value | η2 | |
| RMS% 1 | 21.24 ± 13.82 | 23.57 ± 12.10 | 34.30 ± 24.02 | 25.62 ± 17.31 | 26.14 ± 16.94 | 45.42 ± 23.64 | 0.000 | 0.371 | 0.000 | 0.285 | 0.001 | 0.173 |
| D 2 | 1721 ± 123 | 1719 ± 128 | 1498 ± 121 | 875 ± 132 | 895 ± 161 | 981 ± 78 | 0.000 | 0.984 | 0.180 | 0.144 | 0.000 | 0.574 |
| PT 3 | 40.68 ± 4.69 | 42.32 ± 2.25 | 48.64 ± 2.57 | 36.07 ± 6.48 | 39.04 ± 4.15 | 45.14 ± 4.92 | 0.004 | 0.535 | 0.000 | 0.681 | 0.753 | 0.026 |
| HATT | TWT | OHT | F | p-Value | |
|---|---|---|---|---|---|
| Apparent usability | 3.27 ± 0.95 | 3.71 ± 0.87 | 3.83 ± 0.49 | 1.610 | 0.215 |
| Performing usability | 3.24 ± 1.09 | 3.58 ± 0.51 | 4.18 ± 0.47 | 4.902 | 0.014 |
| Perceived usability | 3.51 ± 0.84 | 3.57 ± 0.67 | 3.91 ± 0.51 | 1.175 | 0.322 |
| Product usability | 3.36 ± 0.91 | 3.59 ± 0.46 | 4.01 ± 0.35 | 3.370 | 0.047 |
Disclaimer/Publisher’s Note: The statements, opinions and data contained in all publications are solely those of the individual author(s) and contributor(s) and not of MDPI and/or the editor(s). MDPI and/or the editor(s) disclaim responsibility for any injury to people or property resulting from any ideas, methods, instructions or products referred to in the content. |
© 2023 by the authors. Licensee MDPI, Basel, Switzerland. This article is an open access article distributed under the terms and conditions of the Creative Commons Attribution (CC BY) license (https://creativecommons.org/licenses/by/4.0/).
Share and Cite
Yang, H.; Lv, Y.; Chen, S.; Xing, B.; Wu, J. An Evaluation Study of a New Designed Oscillating Hydraulic Trainer of Neck. Healthcare 2023, 11, 1518. https://doi.org/10.3390/healthcare11101518
Yang H, Lv Y, Chen S, Xing B, Wu J. An Evaluation Study of a New Designed Oscillating Hydraulic Trainer of Neck. Healthcare. 2023; 11(10):1518. https://doi.org/10.3390/healthcare11101518
Chicago/Turabian StyleYang, Hongchun, Yawei Lv, Sisi Chen, Baixi Xing, and Jianfeng Wu. 2023. "An Evaluation Study of a New Designed Oscillating Hydraulic Trainer of Neck" Healthcare 11, no. 10: 1518. https://doi.org/10.3390/healthcare11101518
APA StyleYang, H., Lv, Y., Chen, S., Xing, B., & Wu, J. (2023). An Evaluation Study of a New Designed Oscillating Hydraulic Trainer of Neck. Healthcare, 11(10), 1518. https://doi.org/10.3390/healthcare11101518
