Effects of Agility Training with a Light-Based System on Balance and Functional Performance in Individuals with Parkinson’s Disease
Abstract
1. Introduction
- To assess whether light-based agility training improves balance in people with Parkinson’s disease and which aspects of balance are affected.
- To examine effects on functional performance, specifically, transfer ability, walking speed, and turning.
- To evaluate how motivated participants view this type of training and whether motivation changes over time.
2. Materials and Methods
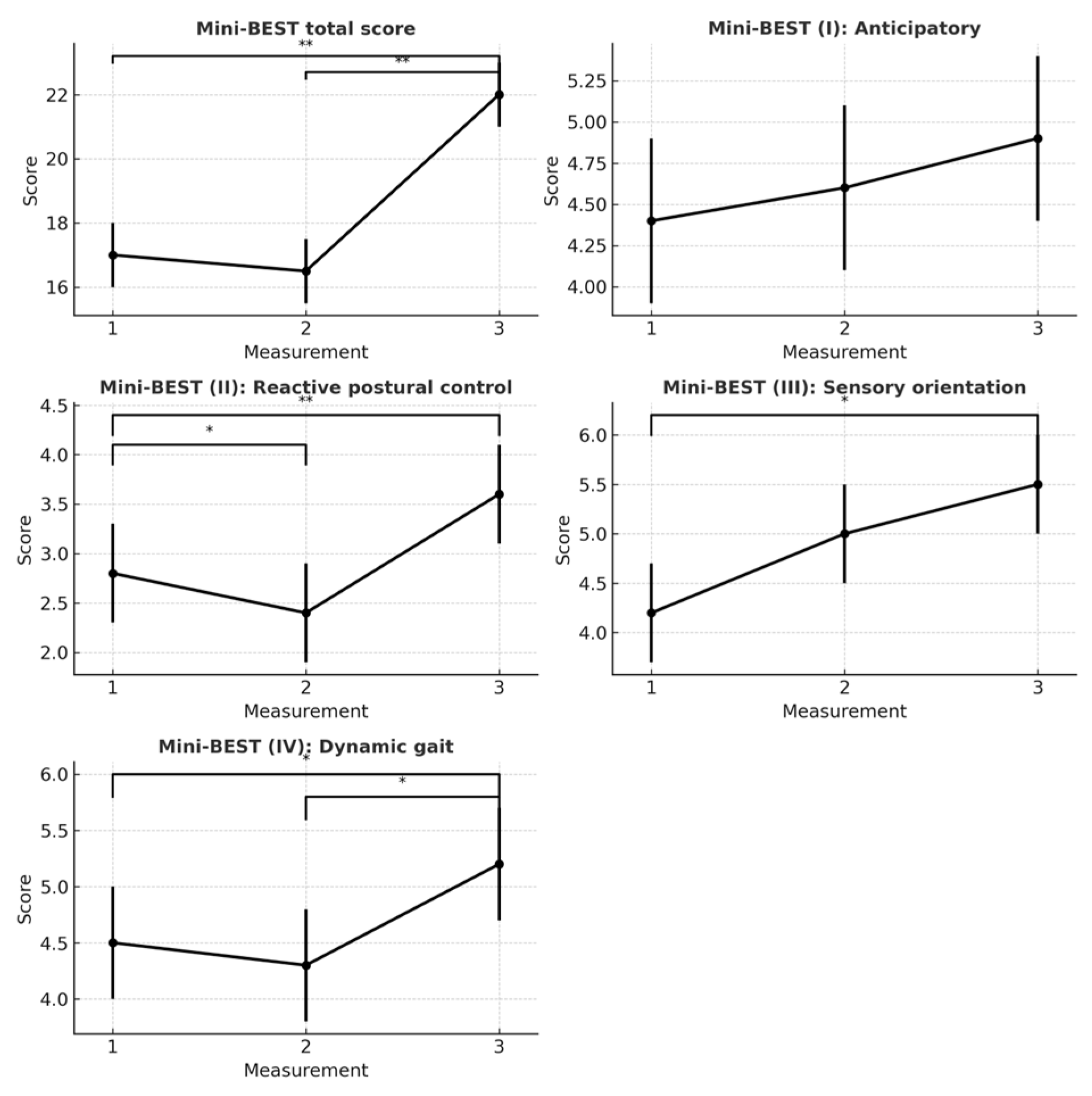
3. Results
4. Discussion
4.1. Effect on Balance
4.2. Effect on Functional Performance
4.3. Effect on Motivation
4.4. Strengths and Limitations
5. Conclusions
Author Contributions
Funding
Institutional Review Board Statement
Informed Consent Statement
Data Availability Statement
Conflicts of Interest
References
- Balestrino, R.; Schapira, A.H.V. Parkinson disease. Eur. J. Neurol. 2020, 27, 27–42. [Google Scholar] [CrossRef]
- Deliz, J.R.; Tanner, C.M.; Gonzalez-Latapi, P. Epidemiology of Parkinson’s Disease: An Update. Curr. Neurol. Neurosci. Rep. 2024, 24, 163–179. [Google Scholar] [CrossRef]
- Magrinelli, F.; Picelli, A.; Tocco, P.; Federico, A.; Roncari, L.; Smania, N.; Zanette, G.; Tamburin, S. Pathophysiology of Motor Dysfunction in Parkinson’s Disease as the Rationale for Drug Treatment and Rehabilitation. Park. Dis. 2016, 2016, 9832839. [Google Scholar] [CrossRef]
- Morris, M.; Iansek, R.; Matyas, T.; Summers, J. Abnormalities in the stride length-cadence relation in parkinsonian gait. Mov. Disord. 1998, 13, 61–69. [Google Scholar] [CrossRef] [PubMed]
- Morris, M.E.; Iansek, R.; Matyas, T.A.; Summers, J.J. Ability to modulate walking cadence remains intact in Parkinson’s disease. J. Neurol. Neurosurg. Psychiatry 1994, 57, 1532–1534. [Google Scholar] [CrossRef] [PubMed]
- Kang, G.A.; Bronstein, J.M.; Masterman, D.L.; Redelings, M.; Crum, J.A.; Ritz, B. Clinical characteristics in early Parkinson’s disease in a central California population-based study. Mov. Disord. 2005, 20, 1133–1142. [Google Scholar] [CrossRef] [PubMed]
- Weintraub, D.; Aarsland, D.; Chaudhuri, K.R.; Dobkin, R.D.; Leentjens, A.F.G.; Rodriguez-Violante, M.; Schrag, A. The neuropsychiatry of parkinson’s disease: Advances and challenges. Lancet Neurol. 2022, 21, 89–102. [Google Scholar] [CrossRef]
- van Nimwegen, M.; Speelman, A.D.; Hofman-van Rossum, E.J.M.; Overeem, S.; Deeg, D.J.H.; Borm, G.F.; van der Horst, M.H.L.; Bloem, B.R.; Munneke, M. Physical inactivity in Parkinson’s disease. J. Neurol. 2011, 258, 2214–2221. [Google Scholar] [CrossRef]
- Marinelli, L.; Currà, A.; Trompetto, C.; Capello, E.; Serrati, C.; Fattapposta, F.; Pelosin, E.; Phadke, C.; Aymard, C.; Puce, L.; et al. Spasticity and spastic dystonia: The two faces of velocity-dependent hypertonia. J. Electromyogr. Kinesiol. 2017, 37, 84–89. [Google Scholar] [CrossRef]
- Calabrò, R.S.; Naro, A.; Filoni, S.; Pullia, M.; Billeri, L.; Tomasello, P.; Portaro, S.; Di Lorenzo, G.; Tomaino, C.; Bramanti, P. Walking to your right music: A randomized controlled trial on the novel use of treadmill plus music in Parkinson’s disease. J. Neuroeng. Rehabil. 2019, 16, 68. [Google Scholar] [CrossRef]
- Corcos, D.M.; Robichaud, J.A.; David, F.J.; Leurgans, S.E.; Vaillancourt, D.E.; Poon, C.; Rafferty, M.R.; Kohrt, W.M.; Comella, C.L. A two-year randomized controlled trial of progressive resistance exercise for Parkinson’s disease. Mov. Disord. 2013, 28, 1230–1240. [Google Scholar] [CrossRef]
- Paillard, T.; Rolland, Y.; de Barreto, P.S. Protective effects of physical exercise in Alzheimer’s disease and Parkinson’s disease: A narrative review. J. Clin. Neurol. 2015, 11, 212–219. [Google Scholar] [CrossRef]
- Petzinger, G.M.; Fisher, B.E.; McEwen, S.; Beeler, J.A.; Walsh, J.P.; Jakowec, M.W. Exercise-enhanced neuroplasticity targeting motor and cognitive circuitry in Parkinson’s disease. Lancet Neurol. 2013, 12, 716–726. [Google Scholar] [CrossRef] [PubMed]
- van der Kolk, N.M.; de Vries, N.M.; Kessels, R.P.C.; Joosten, H.; Zwinderman, A.H.; Post, B.; Bloem, B.R. Effectiveness of home-based and remotely supervised aerobic exercise in Parkinson’s disease: A double-blind, randomised controlled trial. Lancet Neurol. 2019, 18, 998–1008. [Google Scholar] [CrossRef]
- Doyon, J.; Penhune, V.; Ungerleider, L.G. Distinct contribution of the cortico-striatal and cortico-cerebellar systems to motor skill learning. Neuropsychologia 2003, 41, 252–262. [Google Scholar] [CrossRef] [PubMed]
- Ebersbach, G.; Ebersbach, A.; Edler, D.; Kaufhold, O.; Kusch, M.; Kupsch, A.; Wissel, J. Comparing exercise in Parkinson’s disease—The Berlin LSVT®BIG study. Mov. Disord. 2010, 25, 1902–1908. [Google Scholar] [CrossRef]
- Osborne, J.A.; Botkin, R.; Colon-Semenza, C.; DeAngelis, T.R.; Gallardo, O.G.; Kosakowski, H.; Martello, J.; Pradhan, S.; Rafferty, M.; Readinger, J.L.; et al. Physical Therapist Management of Parkinson Disease: A Clinical Practice Guideline From the American Physical Therapy Association. Phys. Ther. 2022, 102, pzab302. [Google Scholar] [CrossRef]
- Kadivar, Z.; Corcos, D.M.; Foto, J.; Hondzinski, J.M. Effect of step training and rhythmic auditory stimulation on functional performance in parkinson patients. Neurorehabilit. Neural Repair 2011, 25, 626–635. [Google Scholar] [CrossRef]
- Lockhart, T.; Frames, C.; Olson, M.; Moon, S.H.; Peterson, D.; Lieberman, A. Effects of protective step training on proactive and reactive motor adaptations in Parkinson’s disease patients. Front. Neurol. 2023, 14, 1211441. [Google Scholar] [CrossRef] [PubMed]
- Pelicioni, P.H.S.; Lord, S.R.; Menant, J.C.; Chaplin, C.; Canning, C.; Brodie, M.A.; Sturnieks, D.L.; Okubo, Y. Combined Reactive and Volitional Step Training Improves Balance Recovery and Stepping Reaction Time in People With Parkinson’s Disease: A Randomised Controlled Trial. Neurorehabilit. Neural Repair 2023, 37, 694–704. [Google Scholar] [CrossRef]
- Protas, E.J.; Mitchell, K.; Williams, A.; Qureshy, H.; Caroline, K.; Lai, E.C. Gait and step training to reduce falls in Parkinson’s disease. Neurorehabilitation 2005, 20, 183–190. [Google Scholar] [CrossRef]
- Tinuan, J.; Bhidayasiri, R.; Chuensiri, N.; Khongprasert, S. Step Training Using a Multi-Visual-Cue Mat to Improve Gait in People with Parkinson’s Disease: A Feasibility Study. J. Exerc. Physiol. Online 2024, 27, 27–42. [Google Scholar]
- Hoffman, J.R. Evaluation of a Reactive Agility Assessment Device in Youth Football Players. J. Strength Cond. Res. 2020, 34, 3311–3315. [Google Scholar] [CrossRef] [PubMed]
- Torre, M.M.; Langeard, A.; Hugues, N.; Laurin, J.; Temprado, J.-J. Comparison of three physical—Cognitive training programs in healthy older adults: A study protocol for a monocentric randomized trial. Brain Sci. 2021, 11, 66. [Google Scholar] [CrossRef]
- Goetz, C.G.; Poewe, W.; Rascol, O.; Sampaio, C.; Stebbins, G.T.; Fahn, S.; Lang, A.E.; Martinez-Martin, P.; Tilley, B.; Hilten, B.V. The Unified Parkinson’s Disease Rating Scale (UPDRS): Status and recommendations. Mov. Disord. 2003, 18, 738–750. [Google Scholar] [CrossRef]
- Hoehn, M.M.; Yahr, M.D. Parkinsonism. Neurology 1967, 17, 427. [Google Scholar] [CrossRef]
- Grimby, G.; Börjesson, M.; Jonsdottir, I.H.; Schnohr, P.; Thelle, D.S.; Saltin, B. The “Saltin–Grimby Physical Activity Level Scale” and its application to health research. Scand. J. Med. Sci. Sports 2015, 25 (Suppl. S4), 119–125. [Google Scholar] [CrossRef]
- Horak, F.B.; Wrisley, D.M.; Frank, J. The Balance Evaluation Systems Test (BESTest) to Differentiate Balance Deficits. Phys. Ther. 2009, 89, 484–498. [Google Scholar] [CrossRef] [PubMed]
- Potter, K.; Brandfass, K. The Mini-Balance Evaluation Systems Test (Mini-BESTest). J. Physiother. 2015, 61, 225. [Google Scholar] [CrossRef]
- da Silva, B.A.; Faria, C.; Santos, M.P.; Swarowsky, A. Assessing Timed Up and Go in Parkinson’s disease: Reliability and validity of Timed Up and Go Assessment of biomechanical strategies. J. Rehabil. Med. 2017, 49, 723–731. [Google Scholar] [CrossRef]
- Duncan, R.P.; Leddy, A.L.; Earhart, G.M. Five Times Sit-to-Stand Test Performance in Parkinson’s Disease. Arch. Phys. Med. Rehabil. 2011, 92, 1431–1436. [Google Scholar] [CrossRef]
- Bohannon, R.W.; Andrews, A.W.; Thomas, M.W. Walking Speed: Reference Values and Correlates for Older Adults. J. Orthop. Sports Phys. Ther. 1996, 24, 86–90. [Google Scholar] [CrossRef] [PubMed]
- Soke, F.; Guclu-Gunduz, A.; Ozkan, T.; Ozkul, C.; Gulsen, C.; Kocer, B. Reliability and validity of the timed 360° turn test in people with Parkinson’s disease. Eur. Geriatr. Med. 2020, 11, 417–426. [Google Scholar] [CrossRef]
- de-Oliveira, L.A.; Matos, M.V.; Fernandes, I.G.S.; Nascimento, D.A.; da Silva-Grigoletto, M.E. Test-Retest Reliability of a Visual-Cognitive Technology (BlazePod™) to Measure Response Time. J. Sports Sci. Med. 2021, 20, 179–180. [Google Scholar] [CrossRef] [PubMed]
- Carr, J.; Shepherd, R.; Canning, C. Parkinson’s disease. In Neurological Rehabilitation: Optimizing Motor Performance, 2nd ed.; Carr, J., Shepherd, R., Eds.; Churchill Livingsone: London, UK, 2010; pp. 307–328. [Google Scholar]
- Monaghan, A.S.; Finley, J.M.; Mehta, S.H.; Peterson, D.S. Assessing the impact of dual-task reactive step practice in people with Parkinson’s disease: A feasibility study. Hum. Mov. Sci. 2021, 80, 102876. [Google Scholar] [CrossRef]
- Behrman, A.L.; Cauraugh, J.H.; Light, K.E. Practice as an intervention to improve speeded motor performance and motor learning in Parkinson’s disease. J. Neurol. Sci. 2000, 174, 127–136. [Google Scholar] [CrossRef] [PubMed]
- Kann, S.J.; Chang, C.; Manza, P.; Leung, H.-C. Akinetic rigid symptoms are associated with decline in a cortical motor network in Parkinson’s disease. Npj Park. Dis. 2020, 6, 19. [Google Scholar] [CrossRef] [PubMed]
- Xu, T.; Wang, S.; Lalchandani, R.R.; Ding, J.B. Motor learning in animal models of Parkinson’s disease: Aberrant synaptic plasticity in the motor cortex. Mov. Disord. 2017, 32, 487–497. [Google Scholar] [CrossRef]
- Okubo, Y.; Schoene, D.; Lord, S.R. Step training improves reaction time, gait and balance and reduces falls in older people: A systematic review and meta-analysis. Br. J. Sports Med. 2017, 51, 586. [Google Scholar] [CrossRef]
- Podsiadlo, D.; Richardson, S. The Timed “Up & Go”: A Test of Basic Functional Mobility for Frail Elderly Persons. J. Am. Geriatr. Soc. 1991, 39, 142–148. [Google Scholar] [CrossRef]
- Garcia, J.A.; Schoene, D.; Lord, S.R.; Delbaere, K.; Valenzuela, T.; Navarro, K.F. A Bespoke Kinect Stepping Exergame for Improving Physical and Cognitive Function in Older People: A Pilot Study. Games Health J. 2016, 5, 382–388. [Google Scholar] [CrossRef] [PubMed]
- Lai, C.-H.; Peng, C.-W.; Chen, Y.-L.; Huang, C.-P.; Hsiao, Y.-L.; Chen, S.-C. Effects of interactive video-game based system exercise on the balance of the elderly. Gait Posture 2013, 37, 511–515. [Google Scholar] [CrossRef] [PubMed]
- Olson, M.; Lockhart, T.E.; Lieberman, A. Motor Learning Deficits in Parkinson’s Disease (PD) and Their Effect on Training Response in Gait and Balance: A Narrative Review. Front. Neurol. 2019, 10, 62. [Google Scholar] [CrossRef] [PubMed]
- Pompeu, J.E.; Mendes, F.A.D.S.; Silva, K.G.D.; Lobo, A.M.; Oliveira, T.D.P.; Zomignani, A.P.; Piemonte, M.E.P. Effect of Nintendo Wii™-based motor and cognitive training on activities of daily living in patients with Parkinson’s disease: A randomised clinical trial. Physiotherapy 2012, 98, 196–204. [Google Scholar] [CrossRef]

| Inclusion Criteria | Exclusion Criteria |
|---|---|
| Hoehn and Yahr stage II–III | Other neurological disorders (e.g., stroke, multiple sclerosis) |
| Akinetic–rigid subtype confirmed by neurologist | Severe musculoskeletal disorders afffecting gait, balance, or rising from a chair |
UPDRS thresholds:
| Significant cardiovascular disease limiting safe participation Severe visual impairment interfering with mobility tasks History of brain surgery |
| Variable | Mean (SD) | Min | Max | 95% CI |
|---|---|---|---|---|
| Age (years) | 74.9 (3.57) | 69 | 81 | 73.3–76.4 |
| Height (cm) | 173 (7.63) | 165 | 187 | 169–176 |
| Weight (kg) | 82.6 (4.98) | 79 | 94 | 80.5–84.7 |
| HY stage | 2.86 (0.36) | 2 | 3 | 2.7–3.01 |
| Falls past year | 1.00 (1.73) | 0 | 5 | 0.26–1.74 |
| Disease duration (years) | 7.57 (2.50) | 3 | 11 | 6.5–8.64 |
| SGPALS | 2.29 (0.90) | 1 | 3 | 1.9–2.29 |
Disclaimer/Publisher’s Note: The statements, opinions and data contained in all publications are solely those of the individual author(s) and contributor(s) and not of MDPI and/or the editor(s). MDPI and/or the editor(s) disclaim responsibility for any injury to people or property resulting from any ideas, methods, instructions or products referred to in the content. |
© 2025 by the authors. Licensee MDPI, Basel, Switzerland. This article is an open access article distributed under the terms and conditions of the Creative Commons Attribution (CC BY) license (https://creativecommons.org/licenses/by/4.0/).
Share and Cite
Holmarsdottir, T.R.; Sigurgeirsson, A.T.; Agustsson, A. Effects of Agility Training with a Light-Based System on Balance and Functional Performance in Individuals with Parkinson’s Disease. Healthcare 2025, 13, 2559. https://doi.org/10.3390/healthcare13202559
Holmarsdottir TR, Sigurgeirsson AT, Agustsson A. Effects of Agility Training with a Light-Based System on Balance and Functional Performance in Individuals with Parkinson’s Disease. Healthcare. 2025; 13(20):2559. https://doi.org/10.3390/healthcare13202559
Chicago/Turabian StyleHolmarsdottir, Thelma Rut, Andri Thor Sigurgeirsson, and Atli Agustsson. 2025. "Effects of Agility Training with a Light-Based System on Balance and Functional Performance in Individuals with Parkinson’s Disease" Healthcare 13, no. 20: 2559. https://doi.org/10.3390/healthcare13202559
APA StyleHolmarsdottir, T. R., Sigurgeirsson, A. T., & Agustsson, A. (2025). Effects of Agility Training with a Light-Based System on Balance and Functional Performance in Individuals with Parkinson’s Disease. Healthcare, 13(20), 2559. https://doi.org/10.3390/healthcare13202559

