Suitability of Ultra-Short-Term Heart Rate Variability in Military Trainees
Abstract
1. Introduction
2. Materials and Methods
2.1. Study Design
2.2. Participants
2.3. Laboratory Measures
2.3.1. Body Composition
2.3.2. Heart Rate Variability
2.4. Statistical Analysis
3. Results
4. Discussion
5. Conclusions
Author Contributions
Funding
Acknowledgments
Conflicts of Interest
References
- Thayer, J.F.; Yamamoto, S.S.; Brosschot, J.F. The relationship of autonomic imbalance, heart rate variability and cardiovascular disease risk factors. Int. J. Cardiol. 2010, 141, 122–131. [Google Scholar] [CrossRef] [PubMed]
- Wulsin, L.R.; Horn, P.S.; Perry, J.L.; Massaro, J.M.; D’Agostino, R.B. Autonomic imbalance as a predictor of metabolic risks, cardiovascular disease, diabetes, and mortality. J. Clin. Endocrinol. Metab. 2015, 100, 2443–2448. [Google Scholar] [CrossRef] [PubMed]
- Thayer, J.F.; Hansen, A.L.; Saus-Rose, E.; Johnsen, B.H. Heart rate variability, prefrontal neural function, and cognitive performance: The neurovisceral integration perspective on self-regulation, adaptation, and health. Ann. Behav. Med. 2009, 37, 141–153. [Google Scholar] [CrossRef]
- Plews, D.J.; Laursen, P.B.; Kilding, A.E.; Buchheit, M. Evaluating training adaptation with heart-rate measures: A methodological comparison. Int. J. Sports Physiol. Perform. 2013, 8, 688–691. [Google Scholar] [CrossRef] [PubMed]
- Tulppo, M.P.; Kiviniemi, A.M.; Junttila, M.J.; Huikuri, H.V. Home monitoring of heart rate as a predictor of imminent cardiovascular events. Front. Physiol. 2019, 10, 341. [Google Scholar] [CrossRef]
- Flatt, A.A.; Esco, M.R. Heart rate variability stabilization in athletes: Towards more convenient data acquisition. Clin. Physiol. Funct. Imaging 2015, 36, 331–336. [Google Scholar] [CrossRef]
- Krejčí, J.; Botek, M.; McKune, A.J. Stabilization period before capturing an ultra-short vagal index can be shortened to 60 s in endurance athletes and to 90 s in university students. PLoS ONE 2018, 13, e0205115. [Google Scholar] [CrossRef]
- Pereira, L.A.; Flatt, A.A.; Ramirez-Campillo, R.; LoTurco, I.; Nakamura, F.Y. Assessing shortened field-based heart-rate-variability-data acquisition in team-sport athletes. Int. J. Sports Physiol. Perform. 2016, 11, 154–158. [Google Scholar] [CrossRef]
- Esco, M.R.; Flatt, A.A. Ultra-short-term heart rate variability indexes at rest and post-exercise in athletes: Evaluating the agreement with accepted recommendations. J. Sports Sci. Med. 2014, 13, 535–541. [Google Scholar]
- Nakamura, F.Y.; Flatt, A.A.; Pereira, L.A.; Ramirez-Campillo, R.; LoTurco, I.; Esco, M.R. Ultra-short-term heart rate variability is sensitive to training effects in team sports players. J. Sports Sci. Med. 2015, 14, 602–605. [Google Scholar]
- González-Fimbres, R.A.; Hernandez-Cruz, G.; Flatt, A.A. Ultrashort versus criterion heart rate variability among international-level girls’ field hockey players. Int. J. Sports Physiol. Perf. 2020. [Google Scholar] [CrossRef]
- Nussinovitch, U.; Elishkevitz, K.P.; Katz, K.; Nussinovitch, M.; Segev, S.; Volovitz, B.; Nussinovitch, N. Reliability of ultra-short ECG indices for heart rate variability. Ann. Noninvasive Electrocardiol. 2011, 16, 117–122. [Google Scholar] [CrossRef] [PubMed]
- Castaldo, R.; Montesinos, L.; Melillo, P.; James, C.; Pecchia, L. Ultra-short term HRV features as surrogates of short term HRV: A case study on mental stress detection in real life. BMC Med. Inform. Decis. Mak. 2019, 19, 12. [Google Scholar] [CrossRef]
- Nussinovitch, U.; Cohen, O.; Kaminer, K.; Ilani, J.; Nussinovitch, N. Evaluating reliability of ultra-short ECG indices of heart rate variability in diabetes mellitus patients. J. Diabetes Complicat. 2012, 26, 450–453. [Google Scholar] [CrossRef]
- Pecchia, L.; Castaldo, R.; Montesinos, L.; Melillo, P. Are ultra-short heart rate variability features good surrogates of short-term ones? State-of-the-art review and recommendations. Heal. Technol. Lett. 2018, 5, 94–100. [Google Scholar] [CrossRef] [PubMed]
- Chen, G.-Y.; Hsiao, T.-J.; Lo, H.-M.; Kuo, C.-D. Abdominal obesity is associated with autonomic nervous derangement in healthy Asian obese subjects. Clin. Nutr. 2008, 27, 212–217. [Google Scholar] [CrossRef]
- Karason, K.; Mølgaard, H.; Wikstrand, J.; Sjöström, L. Heart rate variability in obesity and the effect of weight loss. Am. J. Cardiol. 1999, 83, 1242–1247. [Google Scholar] [CrossRef]
- Voulgari, C.; Pagoni, S.; Vinik, A.; Poirier, P. Exercise improves cardiac autonomic function in obesity and diabetes. Metabolism 2013, 62, 609–621. [Google Scholar] [CrossRef]
- Duarte, A.F.; Morgado, J.J. Effects of patrol operation on hydration status and autonomic modulation of heart rate of Brazilian peacekeepers in Haiti. J. Strength Cond. Res. 2015, 29, S82–S87. [Google Scholar] [CrossRef]
- Jouanin, J.-C.; Dussault, C.; Pérès, M.; Satabin, P.; Piérard, C.; Guézennec, C.Y. Analysis of heart rate variability after a ranger training course. Mil. Med. 2004, 169, 583–587. [Google Scholar] [CrossRef][Green Version]
- Huovinen, J.; Kyröläinen, H.; Linnamo, V.; Tanskanen, M.; Kinnunen, H.; Häkkinen, K.; Tulppo, M. Cardiac autonomic function reveals adaptation to military training. Eur. J. Sport Sci. 2011, 11, 231–240. [Google Scholar] [CrossRef]
- Minassian, A.; Maihofer, A.X.; Baker, D.G.; Nievergelt, C.M.; Geyer, M.A.; Risbrough, V.B. Association of predeployment heart rate variability with risk of postdeployment posttraumatic stress disorder in active-duty marines. JAMA Psychiatry 2015, 72, 979–986. [Google Scholar] [CrossRef] [PubMed]
- Lake, J. The integrative management of PTSD: A review of conventional and CAM approaches used to prevent and treat PTSD with emphasis on military personnel. Adv. Integr. Med. 2015, 2, 13–23. [Google Scholar] [CrossRef]
- Vasold, K.L.; Parks, A.C.; Phelan, D.M.L.; Pontifex, M.B.; Pivarnik, J.M. Reliability and validity of commercially available low-cost bioelectrical impedance analysis. Int. J. Sport Nutr. Exerc. Metab. 2019, 29, 1–5. [Google Scholar] [CrossRef]
- Alkahtani, S.A. A cross-sectional study on sarcopenia using different methods: Reference values for healthy Saudi young men. BMC Musculoskelet. Disord. 2017, 18, 119. [Google Scholar] [CrossRef]
- Alkahtani, S.A.; Flatt, A.A.; Kanas, J.; Aldyel, A.; Habib, S.S. Role of type and volume of recreational physical activity on heart rate variability in men. Int. J. Environ. Res. Public Heal. 2020, 17, 2719. [Google Scholar] [CrossRef] [PubMed]
- Esacha, J.; Barabach, S.; Statkiewicz-Barabach, G.; Sacha, K.; Müller, A.; Piskorski, J.; Barthel, P.; Schmidt, G. How to strengthen or weaken the HRV dependence on heart rate-Description of the method and its perspectives. Int. J. Cardiol. 2013, 168, 1660–1663. [Google Scholar] [CrossRef]
- Hopkins, W.G.; Marshall, S.W.; Batterham, A.M.; Hanin, J. Progressive statistics for studies in sports medicine and exercise science. Med. Sci. Sports Exerc. 2009, 41, 3–13. [Google Scholar] [CrossRef] [PubMed]
- Botek, M.; Krejčí, J.; Neuls, F.; Novotny, J. Effect of modified method of autonomic nervous system activity assessment on results of heart rate variability analysis. Acta Gymnica 2013, 43, 39–46. [Google Scholar] [CrossRef]
- Nakamura, F.Y.; A Pereira, L.; Abad, C.C.C.; Cruz, I.F.; A Flatt, A.; Esco, M.R.; LoTurco, I. Adequacy of the ultra-short-term HRV to assess adaptive processes in youth female basketball players. J. Hum. Kinet. 2017, 56, 73–80. [Google Scholar] [CrossRef]
- Munoz, M.L.; Van Roon, A.; Riese, H.; Thio, C.; Oostenbroek, E.; Westrik, I.; De Geus, E.J.C.; Gansevoort, R.; Lefrandt, J.; Nolte, I.M.; et al. Validity of (ultra-)short recordings for heart rate variability measurements. PLoS ONE 2015, 10, e0138921. [Google Scholar] [CrossRef] [PubMed]
- Esco, M.R.; Williford, H.N.; Flatt, A.A.; Freeborn, T.J.; Nakamura, F.Y. Ultra-shortened time-domain HRV parameters at rest and following exercise in athletes: An alternative to frequency computation of sympathovagal balance. Eur. J. Appl. Physiol. Occup. Physiol. 2017, 118, 175–184. [Google Scholar] [CrossRef]
- Sztajzel, J.; Golay, A.; Makoundou, V.; Lehmann, T.N.O.; Barthassat, V.; Sievert, K.; Pataky, Z.; Assimacopoulos-Jeannet, F.; Bobbioni-Harsch, E. Impact of body fat mass extent on cardiac autonomic alterations in women. Eur. J. Clin. Investig. 2009, 39, 649–656. [Google Scholar] [CrossRef]
- Kim, J.A.; Park, Y.G.; Cho, K.-H.; Hong, M.-H.; Han, H.C.; Choi, Y.-S.; Yoon, D. Heart rate variability and obesity indices: Emphasis on the response to noise and standing. J. Am. Board Fam. Pr. 2005, 18, 97–103. [Google Scholar] [CrossRef] [PubMed]
- Poliakova, N.; Després, J.-P.; Bergeron, J.; Alméras, N.; Tremblay, A.; Poirier, P. Influence of obesity indices, metabolic parameters and age on cardiac autonomic function in abdominally obese men. Metabolism 2012, 61, 1270–1279. [Google Scholar] [CrossRef] [PubMed]
- Andrew, M.E.; Shengqiao, L.; Wactawski-Wende, J.; Dorn, J.P.; Mnatsakanova, A.; Charles, L.E.; Fekedulegn, D.; Miller, D.B.; Violanti, J.M.; Burchfiel, C.M.; et al. Adiposity, muscle, and physical activity: Predictors of perturbations in heart rate variability. Am. J. Hum. Biol. 2013, 25, 370–377. [Google Scholar] [CrossRef] [PubMed]
- Rossi, F.E.; Ricci-Vitor, A.L.; Sabino, J.P.; Vanderlei, L.C.M.; Freitas, I.F. Autonomic modulation and its relation with body composition in swimmers. J. Strength Cond. Res. 2014, 28, 2047–2053. [Google Scholar] [CrossRef] [PubMed]

| Variable | Mean ± SD | p | Effect Size | Typical Error | ICC (95% CI) | Bias ± 1.96 SD |
|---|---|---|---|---|---|---|
| RR Criterion (ms) | 966.4 ± 86.4 | - | - | - | - | - |
| RR 0–1 (ms) | 968.6 ± 86.7 | 0.99 | 0.03 | 28.3 | 0.95 (0.88, 0.97) | −2.3 ± 78.4 |
| RR 1–2 (ms) | 969.0 ± 86.9 | 0.99 | 0.03 | 21.0 | 0.97 (0.94, 0.99) | −2.7 ± 58.1 |
| RR 2–3 (ms) | 963.6 ± 87.1 | 0.99 | −0.03 | 20.4 | 0.97 (0.94, 0.99) | 2.7 ± 56.7 |
| RR 3–4 (ms) | 965.8 ± 90.0 | 0.99 | −0.01 | 21.0 | 0.97 (0.94, 0.99) | 0.5 ± 58.2 |
| RR 4–5 (ms) | 962.2 ± 86.4 | 0.98 | −0.05 | 13.8 | 0.99 (0.97, 0.99) | 4.2 ± 38.3 |
| RMSSD Criterion (ms) | 58.2 ± 21.5 | - | - | - | - | - |
| RMSSD 0–1 (ms) | 66.1 ± 24.5 | 0.14 | 0.34 | 15.3 | 0.85 (0.64, 0.93) | −7.9 ± 30.0 |
| RMSSD 1–2 (ms) | 63.7 ± 27.1 | 0.78 | 0.22 | 10.3 | 0.89 (0.77, 0.95) | −5.5 ± 28.6 |
| RMSSD 2–3 (ms) | 58.8 ± 25.0 | 0.99 | 0.03 | 8.4 | 0.93 (0.86, 0.97) | −0.6 ± 23.2 |
| RMSSD 3–4 (ms) | 58.5 ± 21.8 | 0.99 | 0.01 | 9.7 | 0.89 (0.77, 0.95) | −0.3 ± 26.8 |
| RMSSD 4–5 (ms) | 60.9 ± 24.9 | 0.89 | 0.12 | 6.8 | 0.95 (0.90, 0.98) | −2.7 ± 18.8 |
| RMSSD: RR Criterion | 6.0 ± 2.1 | - | - | - | - | - |
| RMSSD: RR 0–1 | 6.8 ± 2.4 | 0.16 | 0.35 | 1.1 | 0.83 (0.60, 0.92) | −0.8 ± 3.1 |
| RMSSD: RR 1–2 | 6.5 ± 2.6 | 0.99 | 0.21 | 1.0 | 0.88 (0.74, 0.94) | −0.5 ± 2.9 |
| RMSSD: RR 2–3 | 6.0 ± 2.5 | 0.99 | 0.00 | 0.9 | 0.91 (0.82, 0.96) | −0.1 ± 2.5 |
| RMSSD: RR 3–4 | 6.0 ± 2.2 | 0.99 | 0.00 | 1.1 | 0.86 (0.71, 0.94) | −0.0 ± 3.0 |
| RMSSD: RR 4–5 | 6.3 ± 2.5 | 0.99 | 0.13 | 0.7 | 0.95 (0.89, 0.98) | −0.3 ± 1.9 |
| SDNN Criterion (ms) | 57.8 ± 18.9 | - | - | - | - | - |
| SDNN 0–1 (ms) | 59.3 ± 23.3 | 0.99 | 0.07 | 11.3 | 0.84 (0.65, 0.92) | −1.4 ± 31.4 |
| SDNN 1–2 (ms) | 57.8 ± 21.7 | 0.99 | 0.00 | 10.3 | 0.86 (0.69, 0.93) | 0.0 ± 28.6 |
| SDNN 2–3 (ms) | 51.0 ± 21.3 | 0.13 | −0.34 | 9.2 | 0.86 (0.66, 0.94) | 6.8 ± 25.4 |
| SDNN 3–4 (ms) | 55.2 ± 20.0 | 0.99 | −0.13 | 8.7 | 0.89 (0.76, 0.95) | 2.6 ± 24.1 |
| SDNN 4–5 (ms) | 56.0 ± 21.6 | 0.99 | −0.09 | 9.0 | 0.89 (0.77, 0.95) | 1.9 ± 24.9 |
| SDNN: RR Criterion | 5.9 ± 1.8 | - | - | - | - | - |
| SDNN: RR 0–1 | 6.1 ± 2.2 | 0.99 | 0.09 | 1.1 | 0.83 (0.63, 0.92) | −0.1 ± 3.0 |
| SDNN: RR 1–2 | 5.9 ± 2.1 | 0.99 | 0.00 | 1.0 | 0.83 (0.64, 0.92) | 0.0 ± 2.9 |
| SDNN: RR 2–3 | 5.2 ± 2.1 | 0.13 | −0.36 | 0.9 | 0.84 (0.60, 0.93) | 0.7 ± 2.6 |
| SDNN: RR 3–4 | 5.7 ± 1.9 | 0.99 | −0.11 | 0.9 | 0.86 (0.71, 0.94) | 0.3 ± 2.5 |
| SDNN: RR 4–5 | 5.8 ± 2.1 | 0.99 | −0.05 | 0.9 | 0.86 (0.71, 0.94) | 0.1 ± 2.5 |
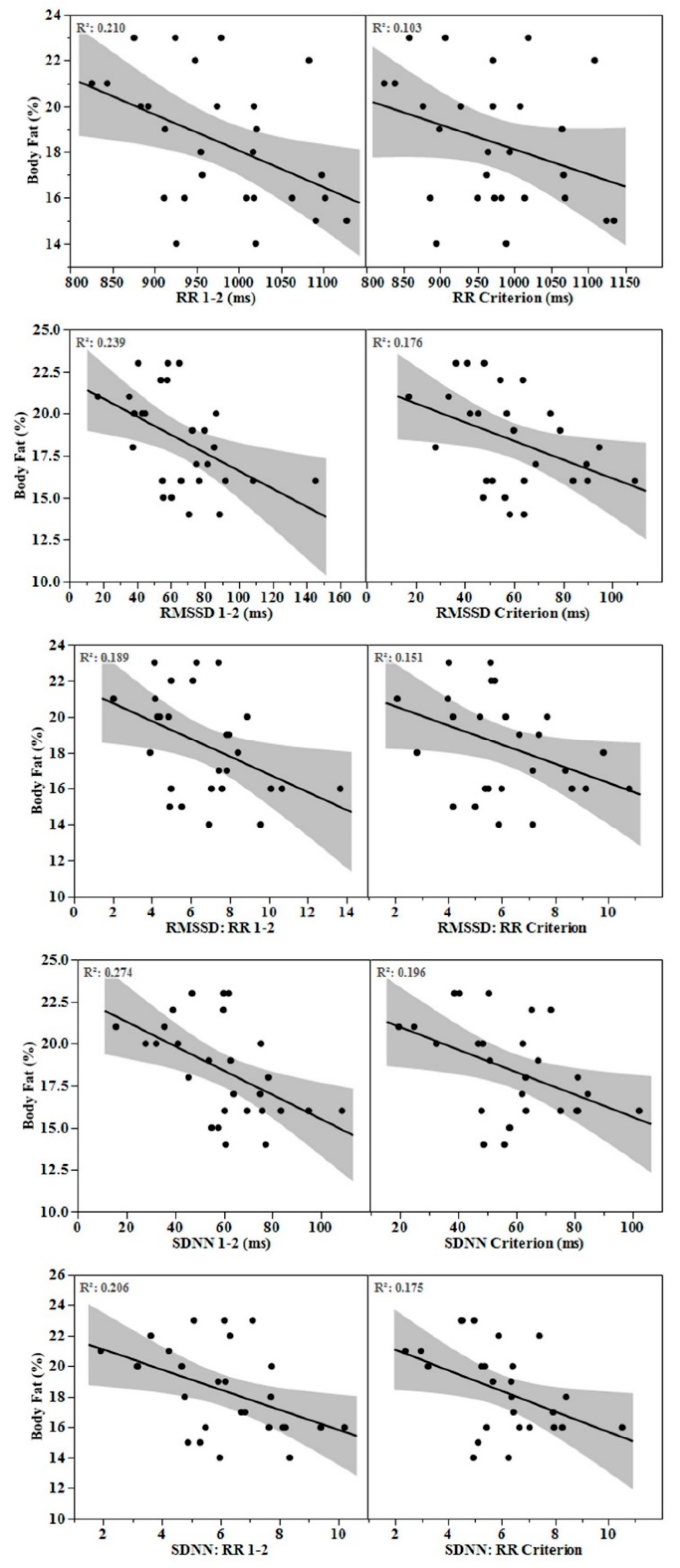
| Variable | Body Fat (%) | Fat Mass (kg) | Fat-Free Mass (kg) |
|---|---|---|---|
| RR Criterion (ms) | −0.321 | −0.453 * | −0.112 |
| RR 0–1 (ms) | −0.407 * | −0.506 ** | −0.116 |
| RR 1–2 (ms) | −0.458 * | −0.555 ** | −0.147 |
| RR 2–3 (ms) | −0.405 * | −0.500 ** | −0.087 |
| RR 3–4 (ms) | −0.371 | −0.471 * | −0.066 |
| RR 4–5 (ms) | −0.371 | −0.492 ** | −0.128 |
| RMSSD Criterion (ms) | −0.420 * | −0.487 * | −0.149 |
| RMSSD 0–1 (ms) | −0.401 * | −0.364 | −0.052 |
| RMSSD 1–2 (ms) | −0.489 ** | −0.445 * | −0.042 |
| RMSSD 2–3 (ms) | −0.377 | −0.384 * | −0.103 |
| RMSSD 3–4 (ms) | −0.351 | −0.320 | −0.051 |
| RMSSD 4–5 (ms) | −0.310 | −0.395 * | −0.217 |
| RMSSD: RR Criterion | −0.389 * | −0.427 * | −0.126 |
| RMSSD: RR 0–1 | −0.319 | −0.250 | −0.009 |
| RMSSD: RR 1–2 | −0.435 * | −0.383 * | −0.008 |
| RMSSD: RR 2–3 | −0.326 | −0.307 | −0.070 |
| RMSSD: RR 3–4 | −0.272 | −0.210 | −0.015 |
| RMSSD: RR 4–5 | −0.256 | −0.314 | −0.182 |
| SDNN Criterion (ms) | −0.442 * | −0.515 ** | −0.114 |
| SDNN 0–1 (ms) | −0.426 * | −0.416 * | −0.062 |
| SDNN 1–2 (ms) | −0.523 ** | −0.479 * | −0.020 |
| SDNN 2–3 (ms) | −0.417 * | −0.401 * | −0.034 |
| SDNN 3–4 (ms) | −0.445 * | −0.472 * | −0.072 |
| SDNN 4–5 (ms) | −0.252 | −0.385 * | −0.207 |
| SDNN: RR Criterion | −0.418 * | −0.460 * | −0.086 |
| SDNN: RR 0–1 | −0.367 | −0.337 | −0.041 |
| SDNN: RR 1–2 | −0.454 * | −0.386 * | −0.018 |
| SDNN: RR 2–3 | −0.374 | −0.333 | −0.001 |
| SDNN: RR 3–4 | −0.391 * | −0.398 * | −0.053 |
| SDNN: RR 4–5 | −0.203 | −0.313 | −0.180 |
Publisher’s Note: MDPI stays neutral with regard to jurisdictional claims in published maps and institutional affiliations. |
© 2020 by the authors. Licensee MDPI, Basel, Switzerland. This article is an open access article distributed under the terms and conditions of the Creative Commons Attribution (CC BY) license (http://creativecommons.org/licenses/by/4.0/).
Share and Cite
Alalyan, M.J.; Alkahtani, S.A.; Habib, S.S.; Flatt, A.A. Suitability of Ultra-Short-Term Heart Rate Variability in Military Trainees. Healthcare 2020, 8, 409. https://doi.org/10.3390/healthcare8040409
Alalyan MJ, Alkahtani SA, Habib SS, Flatt AA. Suitability of Ultra-Short-Term Heart Rate Variability in Military Trainees. Healthcare. 2020; 8(4):409. https://doi.org/10.3390/healthcare8040409
Chicago/Turabian StyleAlalyan, Mubarak J., Shaea A. Alkahtani, Syed Shahid Habib, and Andrew A. Flatt. 2020. "Suitability of Ultra-Short-Term Heart Rate Variability in Military Trainees" Healthcare 8, no. 4: 409. https://doi.org/10.3390/healthcare8040409
APA StyleAlalyan, M. J., Alkahtani, S. A., Habib, S. S., & Flatt, A. A. (2020). Suitability of Ultra-Short-Term Heart Rate Variability in Military Trainees. Healthcare, 8(4), 409. https://doi.org/10.3390/healthcare8040409

