Maximum Expiratory Flow of Children and Adolescents Living at Moderate Altitudes: Proposed Reference Values
Abstract
1. Introduction
2. Materials and Methods
2.1. Type of Study and Sample
2.2. Procedures
2.3. Statistics
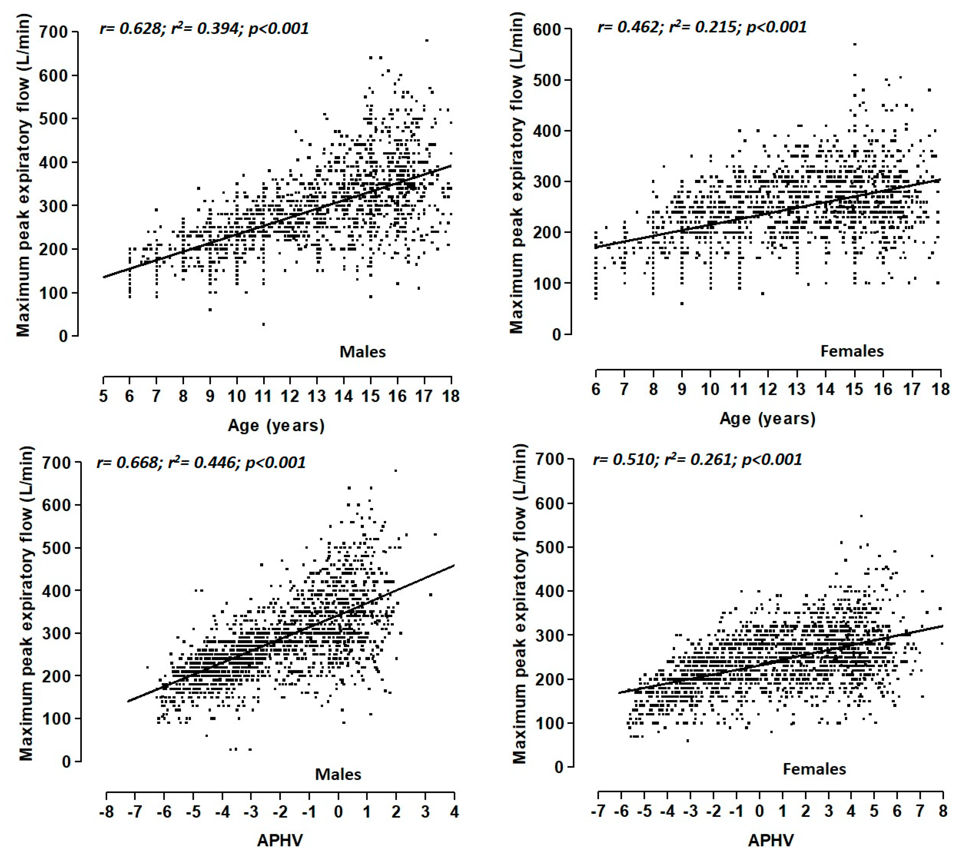
3. Results
4. Discussion
5. Conclusions
Author Contributions
Funding
Institutional Review Board Statement
Informed Consent Statement
Data Availability Statement
Conflicts of Interest
References
- Radziavicius, F.; Martins, L.C.; Radziavicius, C.; Valenti, V.; Siqueira, A.; de Souza, C.; de Abreu, L. Peak expiratory flow values are higher in older and taller healthy male children: An observational study. Clin. Investig. Med. 2010, 33, E92–E98. [Google Scholar] [CrossRef]
- Mehta, B.; Garg, K.; Ambwani, S.; Bhandari, B.; Bhagat, O.L. Peak Expiratory Flow Rate: A Useful Tool for Early Detection of Airway Obstruction in School Children. Open Med. J. 2016, 3, 159–165. [Google Scholar] [CrossRef]
- Subbarao, P.; Lebecque, P.; Corey, M.; Coates, A.L. Comparision of spirometric reference values. Pediatr. Pulmonol. 2004, 37, 515–522. [Google Scholar] [CrossRef]
- Siew-Mooi, C.; Yook-Chin, C.; Lentjes, M.; Luben, R.; Wareham, N.; Kay-Tee, K. FEV1 and total Cardiovascular mortality and morbidity over an 18 years follow-up Population-Based Prospective EPIC-NORFOLK Study. BMC Public Health 2019, 19, 501. [Google Scholar]
- García-Río, F.; Calle, M.; Burgos, F.; Casand, P.; Campo, F.; Galdiz, J.; Ginerg, J.; González-Mangado, N.; Ortega, F.; Puente Maestu, L. Espirometría. Arch. Bronconeumol. 2013, 49, 388–401. [Google Scholar] [CrossRef] [PubMed]
- Cobos Barroso, N.; Reverté Bover, C.; Liñán Cortés, S. Evaluación de dos medidores portátiles de flujo espiratorio máximo y valores de referencia para escolares de 6 a 16 años. An. Esp. Pediatr. 1996, 45, 619–625. [Google Scholar] [PubMed]
- Bianchi, C.; Baiardi, P. Cough peak flows: Standard values for children and adolescents. Am. J. Phys. Med. Rehabil. 2008, 87, 461–467. [Google Scholar] [CrossRef] [PubMed]
- Cossio-Bolanos, M.; Andruske, C.; Arruda, M.; Sulla-Torres, T.; Pacheco-Carrillo, J.; Urra-Albornoz, C.; Gomez-Campos, R. Reference norms for evaluating maximum expiratory flow of children and adolescents of the Maule Region in Chile. PeerJ 2018, 6, e5157. [Google Scholar] [CrossRef]
- Stanojevic, S.; Wade, A.; Stocks, J. Reference values for lung function: Past, present and future. Eur. Respir. J. 2010, 36, 12–19. [Google Scholar] [CrossRef] [PubMed]
- Missagia, S.; Amaral, C.; Santos de Jesus, I.A.; Arbex, M.; Santos, U.; Saldiva de André, C.D.; André, P.A.; do Nascimento Saldiva, P.H.; Martins, L.C.; Ferreira Braga, A.L.; et al. Evaluation of peak expiratory flow in adolescents and its association with inhalable particulate in a Brazilian medium-sized city. Rev. Bras. Epidemiol. 2018, 21, e180009. [Google Scholar] [CrossRef] [PubMed]
- Grissom, C.K.; Jones, B. Respiratory Health Benefits and Risks of Living at Moderate Altitude. High Alt. Med. Biol. 2018, 19, 109–115. [Google Scholar] [CrossRef]
- Quanjer, P.H.; Stanojevic, S.; Cole, T.J.; Baur, X.; Hall, G.L.; Culver, B.H.; Enright, P.L.; Hankinson, J.L.; Ip, M.S.; Zheng, J.; et al. Multi-ethnic reference values for spirometry for the 3-95 years age range: The Global Lung Function 2012 equations. Eur. Respir. J. 2012, 40, 1324–1343. [Google Scholar] [CrossRef]
- Cossio-Bolaños, M.; Gómez Campos, R.; Andruske, C.; Viveros Flores, A.; Luarte-Rocha, C.; Olivares, P.; Garcia-Rubio, J.; Arruda, M. Physical Growth, Biological Age, and Nutritional Transitions of Adolescents Living at Moderate Altitudes in Peru. Int. J. Environ. Res. Public Health 2015, 12, 12082–12094. [Google Scholar] [CrossRef]
- Ross, W.D.; Marfell-Jones, M.J. Kinanthropometry. In Physiological Testing of Elite Athlete; MacDougall, J.D., Wenger, H.A., Geeny, H.J., Eds.; Human Kinetics: London, UK, 1991; pp. 223–308. [Google Scholar]
- Quanjer, P.H.; Tammeling, G.J.; Cotes, J.E.; Pedersen, O.F.; Peslin, R.; Yernault, J.C. Lung volumes and forced ventilator flows; 1993 update. Report Working Party “Standardization of Lung Function Tests”, European Coal and Steel Community, and European Respiratory Society. Eur. Respir. J. 1993, 6 (Suppl. 16), 5–40. [Google Scholar] [CrossRef] [PubMed]
- Mirwald, R.L.; Baxter-Jones, A.D.G.; Bailey, D.A.; Beunen, G.P. An assessment of maturity from anthropometric measurements. Med. Sci. Sports Exerc. 2002, 34, 689–694. [Google Scholar] [PubMed]
- Cole, T.J.; Bellizzi, M.C.; Flegal, K.M.; Dietz, W.H. Establishing a standard definition for child overweight and obesity worldwide: International survey. BMJ 2000, 320, 1240–1243. [Google Scholar] [CrossRef] [PubMed]
- Pan, H.; Cole, T.J. LMS Chartmaker. 2006. Available online: http://www.healthforallchildren.co.uk (accessed on 28 March 2015).
- Schoenberg, J.B.; Beck, G.J.; Bouhuys, A. Growth and decay of pulmonary function in healthy blacks and whites. Respir. Physiol. 1978, 33, 367–393. [Google Scholar] [CrossRef]
- Ip, M.S.; Karlberg, E.M.; Karlberg, J.P.; Luk, K.D.; Leong, J.C. Lung function reference values in Chinese children and adolescents in Hong Kong. I. Spirometric values and comparison with other populations. Am. J. Respir. Crit. Care Med. 2000, 162, 424–429. [Google Scholar] [CrossRef] [PubMed]
- Connett, G.J.; Quak, S.H.; Wong, M.L.; Teo, J.; Lee, B.W. Lung function reference values in Singaporean children aged 6e18 years. Thorax 1994, 49, 901–905. [Google Scholar] [CrossRef] [PubMed][Green Version]
- Díaz-Bonilla, E.; Torres-Galvis, C.; Gómez-Campos, R.; Arruda, M.; Pacheco-Carrillo, J.; Cossio-Bolaños, M.A. Weight, height and body mass index of children and adolescents of moderate altitude in Colombia. Arch. Argent. De Pediatr. 2018, 116, e241–e250. [Google Scholar]
- Chong, E.; Ensom, M.H. Peak expiratory flow rate and premenstrual symptoms in healthy nonasthmatic women. Pharmacotherapy 2000, 20, 1409–1416. [Google Scholar] [CrossRef] [PubMed]
- Cossio-Bolaños, M.; Lee-Andruske, C.; Arruda, M.; Luarte-Rocha, C.; Almonacid-Fierro, A.; Gómez-Campos, R. Hand grip strength and maximum peak expiratory flow: Determinants of bone mineral density of adolescent students. BMC Pediatr. 2018, 18, 2–8. [Google Scholar] [CrossRef] [PubMed]
- Quanjer, P.H.; Stanojevic, S.; Stocks, J.; Hall, G.L.; Prasad, K.V.; Cole, T.; Rosenthal, M.; Perez-Padilla, R.; Hankinson, J.L.; Falaschetti, E.; et al. Changes in the FEV1/FVC ratio during childhood and adolescence: An intercontinental study. Eur. Respir. J. 2010, 36, 1391–1399. [Google Scholar] [CrossRef] [PubMed]
- Tomalak, W.; Pogorzelski, A.; Prusak, J. Normal values for maximal static inspiratory and expiratory pressures in healthy children. Pediatr. Pulmonol. 2002, 34, 42–46. [Google Scholar] [CrossRef] [PubMed]
- Miller, M.R.; Hankinson, J.; Brusasco, V.; Burgos, F.; Casaburi, R.; Coates, A.; Crapo, R.; Enright, P.; van der Grinten, C.P.; Gustafsson, P.; et al. ATS/ERS Task Force. Standartisation of Spirometry. Eur. Respir. J. 2005, 26, 319–338. [Google Scholar] [CrossRef]
- Lum, S.; Kirkby, J.; Welsh, L.; Marlow, N.; Hennessy, E.; Stocks, J. Nature and severity of lung function abnormalities in extremely pre-term children at 11 years of age. Eur. Respir. J. 2010, 37, 1199–1207. [Google Scholar] [CrossRef]
- Holguera, R.; Turrión Nieves, A.; Rodríguez Torres, R.; Alonso, M.C. Asociación de la masa muscular determinada mediante DEXA con los resultados espirométricos de individuos sanos. Arch. Bronconeumol. 2017, 53, 375–380. [Google Scholar] [CrossRef]
- Pellegrino, R.; Viegi, G.; Brusasco, V.; Crapo, R.O.; Burgos, F.; Casaburi, R.; Coates, A.; van der Grinten, C.P.M.; Gustafsson, P.; Hankinson, J.; et al. Interpretative strategies for lung function tests. Eur. Respir. J. 2005, 26, 948–968. [Google Scholar] [CrossRef]



| Ages (years) | N | Weight (kg) | Standing Height (cm) | Sitting Height (cm) | BMI | APHV | MEF (L/min) | ||||||
|---|---|---|---|---|---|---|---|---|---|---|---|---|---|
| X | SD | X | SD | X | SD | X | SD | X | DE | X | SD | ||
| Males | |||||||||||||
| 6.0–6.9 | 59 | 26.7 | 5.5 | 121.4 | 5.3 | 64.8 | 4.0 | 18.1 | 3.2 | −5.9 | 0.3 | 159.8 | 38.1 |
| 7.0–7.9 | 85 | 25.9 | 5.7 | 125.3 | 5.7 | 66.1 | 3.5 | 16.4 | 3.1 | −5.4 | 0.3 | 171.7 | 45.4 |
| 8.0–8.9 | 136 | 30.4 | 7.3 | 129.3 | 5.5 | 69.0 | 3.4 | 18.1 | 3.8 | −4.8 | 0.3 | 206.2 | 35.9 |
| 9.0–9.9 | 166 | 34.5 | 9.0 | 133.6 | 6.3 | 71.2 | 4.1 | 19.1 | 3.7 | −4.2 * | 0.4 | 214.1 | 48.2 |
| 10.0–10.9 | 194 | 39.5 | 9.6 | 139.7 | 6.9 | 74.1 | 4.4 | 20.1 | 4.0 | −3.5 * | 0.4 | 235.0 | 45.8 |
| 11.0–11.9 | 176 | 44.2 | 10.2 | 144.3 | 6.8 | 75.3 | 3.6 | 21.1 | 4.2 | −3.0 * | 0.4 | 263.0 | 50.0 |
| 12.0–12.9 | 166 | 44.0 | 10.1 | 148.2 | 8.0 | 77.1 | 4.3 | 19.9 | 3.6 | −2.3 * | 0.5 | 286.8 * | 61.1 |
| 13.0–13.9 | 199 | 49.0 | 10.7 | 154.5 | 8.4 | 80.4 | 4.3 | 20.5 | 3.8 | −1.5 * | 0.5 | 305.5 * | 69.8 |
| 14.0–14.9 | 209 | 55.8 * | 12.7 | 161.3 * | 7.7 | 83.9 | 4.9 | 21.4 | 4.1 | −0.6 * | 0.7 | 329.4 * | 84.8 |
| 15.0–15.9 | 211 | 60.5 * | 12.8 | 165.6 * | 6.7 | 85.5 * | 4.6 | 22.0 | 4.1 | 0.1 * | 0.6 | 344.2 * | 102.3 |
| 16.0–16.9 | 192 | 59.9 * | 11.5 | 166.9 * | 6.1 | 86.3 * | 3.9 | 21.5 | 3.7 | 0.6 * | 0.6 | 354.3 * | 94.0 |
| 17.0–17.9 | 71 | 59.9 * | 9.5 | 168.6 * | 5.6 | 87.0 * | 4.9 | 21.1 * | 3.2 | 1.2 * | 0.8 | 351.5 * | 110.5 |
| Total | 1864 | 46.5 | 15.4 | 149.4 | 16.1 | 78.1 | 8.0 | 20.3 | 4.1 | −2.1 | 2.1 | 284.3 | 94.2 |
| Females | |||||||||||||
| 6.0–6.9 | 60 | 24.4 | 4.6 | 118.7 | 5.0 | 62.9 | 2.9 | 17.4 | 3.6 | −5.3 | 0.3 | 133.2 | 45.6 |
| 7.0–7.9 | 76 | 25.7 | 5.3 | 124.2 | 7.0 | 65.4 | 4.0 | 16.7 | 3.4 | −4.5 | 0.4 | 158.2 | 36.1 |
| 8.0–8.9 | 148 | 30.8 | 8.0 | 129.4 | 7.1 | 68.8 | 3.8 | 18.2 | 4.0 | −3.5 | 0.5 | 191.2 | 43.3 |
| 9.0–9.9 | 179 | 33.5 | 9.0 | 134.5 | 7.6 | 71.2 | 4.3 | 18.4 | 3.8 | −2.5 | 0.6 | 209.0 | 48.3 |
| 10.0–10.9 | 199 | 36.6 | 11.2 | 139.2 | 7.2 | 73.2 | 4.2 | 18.7 | 5.1 | −1.5 | 0.7 | 226.7 | 50.7 |
| 11.0–11.9 | 208 | 44.3 | 9.8 | 145.1 | 6.4 | 75.5 | 4.7 | 21.0 | 4.3 | −0.4 | 0.7 | 244.9 | 58.5 |
| 12.0–12.9 | 189 | 45.5 | 10.0 | 148.3 | 6.3 | 78.0 | 3.4 | 20.5 | 3.6 | 0.8 | 0.7 | 260.0 | 54.3 |
| 13.0–13.9 | 219 | 49.5 | 11.0 | 151.7 | 6.0 | 80.6 | 3.3 | 21.4 | 4.0 | 1.8 | 0.8 | 259.1 | 62.1 |
| 14.0–14.9 | 245 | 52.5 | 8.6 | 154.3 | 6.0 | 82.0 | 3.0 | 22.1 | 3.3 | 3.0 | 0.7 | 269.4 | 52.6 |
| 15.0–15.9 | 235 | 53.8 | 9.3 | 156.6 | 6.2 | 83.1 | 3.5 | 21.9 | 3.7 | 3.9 | 0.7 | 275.9 | 74.4 |
| 16.0–16.9 | 218 | 53.1 | 7.8 | 157.1 | 5.9 | 82.9 | 3.2 | 21.5 | 2.9 | 4.7 | 0.7 | 269.4 | 70.1 |
| 17.0–17.9 | 69 | 57.1 | 9.7 | 157.6 | 7.1 | 83.1 | 5.4 | 23.0 | 3.3 | 5.7 | 1.0 | 276.0 | 77.3 |
| Total | 2045 | 44.6 | 13.3 | 146.2 | 12.6 | 77.2 | 7.0 | 20.5 | 4.2 | 0.8 | 3.1 | 244.3 | 68.4 |
| Group | L | M | S | P5 | P10 | P15 | P50 | P85 | P90 | P95 | L | M | S | P5 | P10 | P15 | P50 | P85 | P90 | P95 |
|---|---|---|---|---|---|---|---|---|---|---|---|---|---|---|---|---|---|---|---|---|
| Males | Females | |||||||||||||||||||
| Ages (years) | ||||||||||||||||||||
| 6.0–6.9 | 1.23 | 163 | 0.21 | 103 | 117 | 126 | 163 | 197 | 205 | 217 | 1.18 | 139 | 0.25 | 79 | 93 | 102 | 139 | 175 | 184 | 196 |
| 7.0–7.9 | 1.22 | 182 | 0.21 | 117 | 132 | 142 | 182 | 220 | 229 | 242 | 1.15 | 164 | 0.24 | 96 | 111 | 121 | 164 | 205 | 214 | 228 |
| 8.0–8.9 | 1.20 | 200 | 0.20 | 131 | 147 | 157 | 200 | 242 | 251 | 265 | 1.13 | 188 | 0.24 | 113 | 130 | 141 | 188 | 233 | 244 | 260 |
| 9.0–9.9 | 1.18 | 218 | 0.20 | 143 | 160 | 171 | 218 | 263 | 273 | 289 | 1.12 | 210 | 0.23 | 128 | 146 | 159 | 210 | 259 | 271 | 288 |
| 10.0–10.9 | 1.13 | 237 | 0.20 | 156 | 174 | 186 | 237 | 287 | 298 | 315 | 1.10 | 229 | 0.23 | 141 | 161 | 174 | 229 | 282 | 294 | 313 |
| 11.0–11.9 | 1.05 | 260 | 0.21 | 169 | 189 | 203 | 260 | 316 | 329 | 349 | 1.05 | 244 | 0.23 | 153 | 173 | 187 | 244 | 301 | 314 | 334 |
| 12.0–12.9 | 0.97 | 283 | 0.22 | 181 | 204 | 219 | 283 | 348 | 364 | 387 | 0.96 | 255 | 0.23 | 161 | 182 | 196 | 255 | 315 | 330 | 351 |
| 13.0–13.9 | 0.88 | 306 | 0.24 | 191 | 215 | 232 | 306 | 381 | 399 | 426 | 0.86 | 262 | 0.23 | 166 | 186 | 201 | 262 | 326 | 341 | 364 |
| 14.0–14.9 | 0.82 | 325 | 0.25 | 196 | 224 | 243 | 325 | 412 | 433 | 464 | 0.75 | 267 | 0.24 | 168 | 189 | 203 | 267 | 334 | 351 | 376 |
| 15.0–15.9 | 0.79 | 341 | 0.27 | 198 | 228 | 249 | 341 | 438 | 462 | 497 | 0.64 | 269 | 0.25 | 168 | 189 | 204 | 269 | 342 | 360 | 387 |
| 16.0–16.9 | 0.81 | 352 | 0.28 | 196 | 229 | 252 | 352 | 459 | 485 | 524 | 0.54 | 270 | 0.26 | 166 | 187 | 202 | 270 | 346 | 366 | 395 |
| 17.0–17.9 | 0.85 | 362 | 0.30 | 191 | 227 | 252 | 362 | 477 | 505 | 547 | 0.45 | 269 | 0.27 | 164 | 185 | 200 | 269 | 350 | 371 | 403 |
| APHV | ||||||||||||||||||||
| −6 | 0.36 | 163 | 0.26 | 103 | 115 | 124 | 163 | 210 | 223 | 242 | 0.79 | 124 | 0.24 | 77 | 87 | 94 | 124 | 156 | 163 | 175 |
| −5 | 0.51 | 191 | 0.24 | 123 | 136 | 146 | 191 | 241 | 254 | 273 | 0.92 | 148 | 0.23 | 92 | 104 | 113 | 148 | 185 | 193 | 206 |
| −4 | 0.62 | 221 | 0.23 | 145 | 160 | 171 | 221 | 276 | 289 | 310 | 1.03 | 174 | 0.23 | 108 | 123 | 133 | 174 | 215 | 224 | 239 |
| −3 | 0.71 | 252 | 0.22 | 165 | 183 | 196 | 252 | 312 | 327 | 349 | 1.12 | 198 | 0.22 | 124 | 141 | 152 | 198 | 244 | 254 | 270 |
| −2 | 0.77 | 283 | 0.23 | 182 | 204 | 218 | 283 | 350 | 367 | 392 | 1.18 | 219 | 0.22 | 137 | 156 | 168 | 219 | 269 | 280 | 297 |
| −1 | 0.81 | 312 | 0.24 | 196 | 220 | 237 | 312 | 390 | 409 | 438 | 1.20 | 236 | 0.22 | 147 | 168 | 181 | 236 | 288 | 300 | 318 |
| 0 | 0.85 | 342 | 0.25 | 204 | 234 | 254 | 342 | 433 | 455 | 488 | 1.18 | 248 | 0.22 | 155 | 177 | 191 | 248 | 303 | 316 | 335 |
| 1 | 0.98 | 369 | 0.27 | 205 | 241 | 266 | 369 | 474 | 499 | 535 | 1.12 | 256 | 0.22 | 161 | 182 | 197 | 256 | 314 | 328 | 348 |
| 2 | 1.24 | 393 | 0.29 | 190 | 238 | 269 | 393 | 509 | 535 | 573 | 1.02 | 262 | 0.23 | 165 | 186 | 201 | 262 | 323 | 338 | 359 |
| 3 | 1.58 | 416 | 0.31 | 143 | 220 | 264 | 416 | 540 | 567 | 606 | 0.86 | 267 | 0.23 | 168 | 190 | 204 | 267 | 332 | 348 | 371 |
| 4 | 0.68 | 271 | 0.24 | 171 | 192 | 207 | 271 | 341 | 359 | 385 | ||||||||||
| 5 | 0.48 | 275 | 0.25 | 174 | 194 | 209 | 275 | 350 | 370 | 399 | ||||||||||
| 6 | 0.29 | 278 | 0.26 | 177 | 196 | 210 | 278 | 359 | 381 | 415 | ||||||||||
| 7 | 0.10 | 280 | 0.27 | 179 | 198 | 212 | 281 | 369 | 393 | 432 | ||||||||||
| 8 | −0.09 | 283 | 0.28 | 181 | 200 | 213 | 283 | 379 | 407 | 452 | ||||||||||
Publisher’s Note: MDPI stays neutral with regard to jurisdictional claims in published maps and institutional affiliations. |
© 2021 by the authors. Licensee MDPI, Basel, Switzerland. This article is an open access article distributed under the terms and conditions of the Creative Commons Attribution (CC BY) license (http://creativecommons.org/licenses/by/4.0/).
Share and Cite
Cossio-Bolaños, M.; Vidal-Espinoza, R.; Castelli Correia de Campos, L.F.; Urzua-Alul, L.; Fuentes-López, J.D.; Sulla-Torres, J.; Andruske, C.L.; Gomez-Campos, R. Maximum Expiratory Flow of Children and Adolescents Living at Moderate Altitudes: Proposed Reference Values. Healthcare 2021, 9, 264. https://doi.org/10.3390/healthcare9030264
Cossio-Bolaños M, Vidal-Espinoza R, Castelli Correia de Campos LF, Urzua-Alul L, Fuentes-López JD, Sulla-Torres J, Andruske CL, Gomez-Campos R. Maximum Expiratory Flow of Children and Adolescents Living at Moderate Altitudes: Proposed Reference Values. Healthcare. 2021; 9(3):264. https://doi.org/10.3390/healthcare9030264
Chicago/Turabian StyleCossio-Bolaños, Marco, Rubén Vidal-Espinoza, Luis Felipe Castelli Correia de Campos, Luis Urzua-Alul, José Damián Fuentes-López, Jose Sulla-Torres, Cynthia Lee Andruske, and Rossana Gomez-Campos. 2021. "Maximum Expiratory Flow of Children and Adolescents Living at Moderate Altitudes: Proposed Reference Values" Healthcare 9, no. 3: 264. https://doi.org/10.3390/healthcare9030264
APA StyleCossio-Bolaños, M., Vidal-Espinoza, R., Castelli Correia de Campos, L. F., Urzua-Alul, L., Fuentes-López, J. D., Sulla-Torres, J., Andruske, C. L., & Gomez-Campos, R. (2021). Maximum Expiratory Flow of Children and Adolescents Living at Moderate Altitudes: Proposed Reference Values. Healthcare, 9(3), 264. https://doi.org/10.3390/healthcare9030264
