Abstract
Conducting polymers are used in a wide range of applications, especially in the design and development of electrochemical sensors. Their main advantage, in this context, is their ability to efficiently modify an electrode surface using the direct polymerization of a suitable monomer in an electrochemical cell, or by physical coating. Additionally, the conducting polymers can be mixed with further materials (metal nanoparticles, carbonaceous materials) to enhance conductivity and analytical features (linear range, limit of detection, sensitivity, and selectivity). Due to their characteristics, conducting polymer-based amperometric sensors are applied to the determination of different organic and inorganic analytes. A view of recent advances in this field focusing on pyrrole, thiophene, and 3,4-ethylenedioxythiophene as starting materials is reported.
1. Introduction
Conducting polymers (CPs) are a wide and well-known class of materials that, according to IUPAC, can be defined as polymeric materials that exhibit bulk electric conductivity [1]. Because of their electrical, magnetic, and optical properties induced by doping/dedoping processes, CPs have been used in different technological applications, including rechargeable batteries [2,3,4], photosensitive devices [5,6,7,8,9,10,11], biomedicine [12,13], and sensors [14,15,16,17,18,19,20,21]. The synthesis of CPs can be performed using the chemical as well as the electrochemical route. The classical synthetic approach usually allows us to obtain large amounts of polymer with a defined structure starting from the corresponding monomer(s). The chemically synthetized CPs can be used as modifying agent of electrode surfaces by a drop-coating approach. On the other hand, the electrochemical synthetic approach shows some interesting advantages, resulting in the development of a polymer film on an electrode surface. Especially, the thickness of the film can be tuned by monitoring the deposition charge, the growth of the film can be followed by (spectro)electrochemical techniques, and the film can be characterized on the electrode surface without further modification procedures [22,23,24]. Additionally, the in situ modification of the electrode surface by the CP-film allows it to be used as it is in specific applications, including electrochemical sensors. According to the response mechanism, electrochemical sensors can be classified into potentiometric, amperometric, and impedimetric sensors. Some recent advances in each of these classes can be found in references [25,26,27,28,29,30,31,32,33,34,35,36,37]. Although impedimetric sensors are often more sensitive than amperometric ones, these are commonly preferred due to the easier performance of the amperometry measure, as well as current data collection and interpretation [38]. The wide class of amperometric sensors usually also includes voltammetric sensors, even if in this last case current values are measured at a varying potential instead of at a fixed potential [39]. Sampling current at a fixed potential allows to perform the analytical experiment in a “continuous step”, with current increases (or decreases) observed when the analyte concentration changes. Instead, a voltammetric experiment requires a new potential scan for each change in concentration. In this context, amperometric sensors have attracted a large interest due to the possibility to design them as portable, easy-to-prepare low-cost tools able to give rapid analytical responses with high selectivity, high sensitivity, and low detection limit. In the development of amperometric sensors, CPs can be successfully adopted as chemical transducers facilitating the electron transfer process due to their extended charge delocalization. Moreover, in the specific case of biosensors, CPs can act also as immobilizing agent of the biological receptor on the electrode surface, assuring high selectivity, and long life and efficiency to the final device.
Amperometric sensors have been reported in the determination of different analytes, beginning with the oxygen probe proposed by Clark about 70 years ago [40]. Hitherto, a large part of amperometric sensors have been devoted to the detection of H2O2. In this context, a wide variability of materials has been proposed, including CP-based options. Furthermore, in recent years, several papers concerning different amperometric sensing of different analytes have been published. In particular, great attention has been dedicated to chemical species of biomedical interest like glucose, ascorbic acid, neurotransmitters, and biological markers, as well as analytes of environmental interest like phosphate and nitrite ions, metal ions, and pesticides.
On the other hand, research in the field of amperometric sensors has been focused on materials suitable to enhance their analytical performances. Combinations of CPs used as modifying agents for electrode surfaces with different components have been proposed, including carbon nanotubes and graphene-based materials, metal (nano)particles, organic, and inorganic materials. The most common CPs investigated and reported in the development of amperometric sensors are originated from a heterocyclic ring, especially pyrrole (Py) and thiophene (Th) and the thiophene derivative EDOT (3,4-ethylenedioxythiophene) (Figure 1), but further precursors have been considered over the years. The main advantage of the basic structures of Py and Th is the possibility to modify the features of the monomer and of the corresponding polymer by different modes. First, various substituents can be inserted on the C3 and C4 positions of the ring, so tuning conductivity and chemical behavior of the resulting CP. The substituents can simply include alkyl chains or acid/base functionalities, as well as more complex structures as hetero-aromatic systems able to coordinate metal ions. These (modified or un-modified) starting materials can be combined to different substrates like different monomers to give a copolymer as a final material. The co-monomer selected can be a CP-precursor itself, but this is not mandatory. Also (metal)nanoparticles and/or carbonaceous materials (carbon nanotubes, graphene, and graphene oxide) can be mixed to the starting monomer or to the resulting CP to enhance the conductivity characteristics of the electrode surface.
Figure 1.
Common monomers as precursors of CPs.
A review on the application of CPs in the amperometric sensor can be focused on the analyte or, as an alternative, on the sensor material and its modification or combination with different components. Here the second option has been chosen, with a specific attention to three out of different monomers that can originate a conducting polymer, namely pyrrole (Py), thiophene (Th), and 3,4-ethylenedioxythiophene (EDOT). Although these monomers and the resulting CPs are rather common, their characteristic can be modified, making them still relevant in the field.
2. Pyrrole
In the wide class of CPs, polypyrrole is probably the most investigated in sensor applications, mainly because of the high solubility in water of pyrrole and its compatibility to biological systems. In the last 15 years, a great number of research papers have been published concerning the different uses of polypyrrole-derivatives in sensing. Table 1 summarizes the materials, analytes, and analytical performances of the literature papers.
Pyrrole monomers can be the object of structural modification to give the corresponding polymer form, and functionalization can also be performed on the heteroatom of the pyrrole ring. Possible and required modifications arise, in most cases, from added components in the structure of the sensor. Moreover, pyrrole can be combined with other polymerizable species, originating complex structures with mixed features. A strict classification among sensor materials containing polypyrrole (unmodified or functionalized) alone or in combination with different components is not easy, because often a complex combination with carbonaceous materials and/or metal centers is observed. Here, a division of sensor materials according to the main feature acting toward the modification of pyrrole is adopted.
2.1. Unmodified Py, Ring Functionalization, and Copolymer Materials
Usually, the application of films of polypyrrole requires taking care to avoid the overoxidation of the heteroatomic rings to maintain the conjugated system along the polymer chain. Nevertheless, overoxidation of polypyrrole, while resulting in a loss in conductivity, enables the polymer film to gain selective properties ascribed to the presence of carbonyl groups in some heterocyclic rings. On these bases, overoxidation of an unsubstituted polypyrrole film was proposed for the amperometric sensing of H2O2 and proved to be surprisingly effective [41]. In particular, a thin film (about 10 nm) was obtained in potentiostatic conditions in K2HPO4 aqueous solution. The author suggests that the high sensibility and selectivity of the sensor are due to the low thickness of the film. For this reason, the film works as a permselective membrane, although no biocatalytic component is present. Furthermore, the sensor showed a fast and selective response to H2O2.
Due to its features, overoxidized polypyrrole has been successfully applied in molecularly imprinted polymers (MIPs) arrangements. The performances of the resulting sensors depend on the polymerization/overoxidation conditions, including monomer concentration, applied potential, and the supporting electrolyte used in the polymerization step [42,43]. The polymerization pyrrole is conducted electrochemically in the presence of the target species, which is removed in the overoxidation step. Suitable cavities in the polymer matrix are thus made available with size, shape, and functional groups complementary to the template, thus concurring to the selectivity of the resulting sensor [44]. In this context, an amperometric sensor for sulfadimethoxine (a sulfonamide antibiotic) was reported by Turco et al. [45]. The sensor exhibited a linear range from 0.15 to 3.7 mM, and a limit of detection of 70 μM was achieved in the determination of the target analyte, demonstrating a good selectivity.
To achieve a specific goal, the sensor’s performances are often improved by modifying the conducting film. An apparently simple, but effective, modification has been reported using mesoporous silica in a polypyrrole-based biosensor for the determination of H2O2. Polymerization of pyrrole was performed using classical chemical synthesis in an aqueous solution with FeCl3 as an oxidant and using mesoporous silica as a component of the reaction mixture. The obtained silica-PPy dispersion was dropped onto a glassy carbon electrode, and then a specific receptor (in this case, hemoglobin) was immobilized by physical absorption. In such an arrangement, mesoporous silica allows us to obtain a uniform layer of conducting polymer that in turn efficiently catalyzes the reduction of H2O2. This sensor showed good stability and reproducibility, and LoD was 0.01 mM in the detection of hydrogen peroxidase [46].
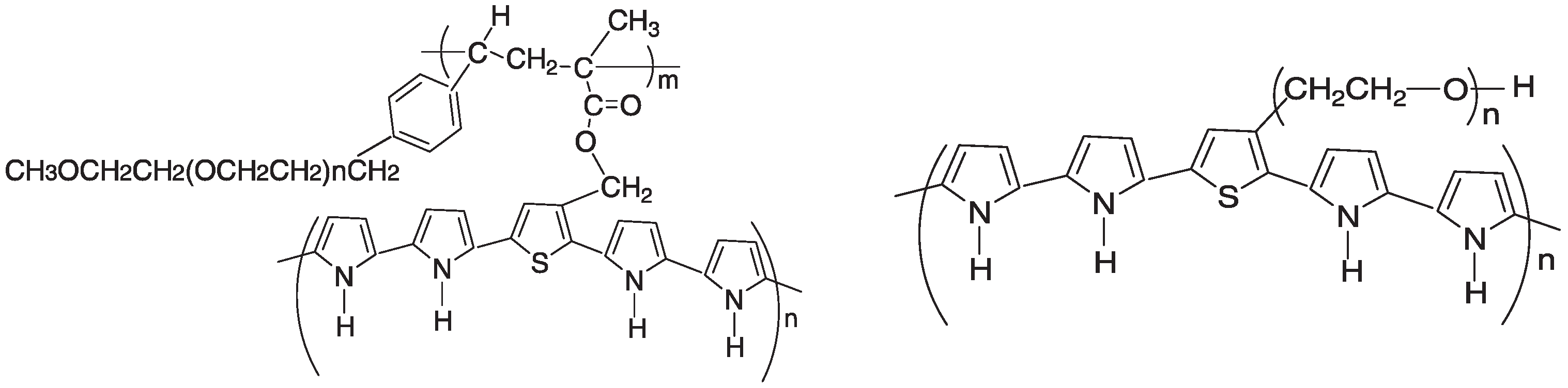
Specific attention has been aimed at sensors for the detection of analytes of interest to human health. This is the case of cholesterol, whose high values in human blood cause clinical disorders in the cardio circulatory system. In this context, an enzyme-based sensor has been proposed by Yildiz and coworkers [47], where the enzyme cholesterol oxidase was entrapped into polypyrrole chains during the electrochemical polymerization of a pyrrole-containing species (Figure 2). The analytical response was performed by monitoring H2O2 at a proper oxidation potential (0.7 V vs. Ag/AgCl) in the absence of a redox mediator. Such a sensor shows satisfactory kinetic and analytical parameters, but poor stability, which may be due to inadequate enzyme immobilization.
Figure 2.
Structure of PPy-based co-polymers able to entrap cholesterol oxidase enzyme (reprinted from ref. [47] with the permission of Taylor & Francis).
In some cases, a specific functionalization of the nitrogen atom in the pyrrole ring has been proposed. Baur et al. adopted this solution to obtain an affinity biosensor using the biotin–avidin interaction [48]. In this case, a pyrrole-nitrilotriacetic acid was electrochemically polymerized on a platinum electrode. Then, the coordination of Cu2+ was achieved by immersing the CP-modified electrode in a CuCl2 aqueous solution. A further coordination process on the same Cu2+ center finally permitted to immobilize a biotinylated enzyme (glucose oxidase (GOx) or polyphenol oxidase). Such an arrangement (Figure 3) induces a highly efficient immobilization procedure, comparable to the classical affinity interaction biotin–avidin. The reported sensor was tested in the detection of glucose and catechol, with a sensitivity of 0.6 mA mol−1 L cm−2 and 656 mA mol−1 L cm−2, respectively, and a maximum current density of 13.2 μA cm−2 for glucose and 25.4 μA cm−2 for catechol.
Figure 3.
Immobilization of a biotinylated enzyme on a P(Py-nitriloacetic acid)-Cu2+ (reprinted from ref. [48] with the permission of Elsevier).
Functionalization of a pyrrole ring achieved with redox substituents, like a ferrocene unit, proved to be an efficient approach to facilitate the development of a fast-response and long-life biosensor. On the other hand, a quite simple approach like copolymerization usually makes easier the synthesis of a polymer film. On these bases, a copolymer made up of ferrocene-pyrrole, pyrrole, and pyrrole–propanoic-acid monomers was designed and electrochemically obtained on a glassy carbon electrode in p-toluene sulfonic acid sodium salt [49]. The resulting film was then used as immobilizing matrix for GOx (Figure 4). The presence of -COOH groups in the copolymer structure promotes the enzyme covalent binding, ensuring reproducible behavior and allowing for multiple uses of the biosensor. To enforce the immobilization of GOx, a classical coupling procedure using CMC (1-cyclohexyl-3-(2-morpholinoethyl)-carbodiimide metho-p-toluenesulfonate) was adopted. Glucose was measured at +0.38 V vs. Ag/AgCl in a phosphate-buffered solution at pH 7.0, with linear range (1.0–4.0 mM) comparable to other pyrrole-based glucose biosensors.
Figure 4.
(A) Synthesis of ferrocene-pyrroles polymer. (B) Immobilization of glucose oxidase enzyme onto a polymer film (reprinted from ref. [49] with the permission of Elsevier).
A similar approach has been performed using the copolymerization of pyrrole with a pyrrole-phenyl-ferrocenecarboxylate, where the ferrocene unit acts as a redox mediator (Figure 5). The co-polymerization was carried out in a potentiostatic mode on an ITO surface in an aqueous solution containing the monomers as well as glucose oxidase as a biological receptor to give an amperometric biosensor for glucose detection. The ferrocene redox unit has the main role to promote an efficient electron transfer process, thus inducing a faster and more sensitive response, avoiding the use of a redox mediator into the analyte solution [50]. Furthermore, the immobilization of the enzyme was particularly effective because of the encapsulation process taking place along with the polymerization.
Figure 5.
4−(1H−pyrrol−1−yl)phenyl ferrocenecarboxylate (FcPy, on the left) and scheme of the GOx-P(Py-FcPy)/ITO biosensor (on the right) (reprinted from ref. [50] with the permission of Elsevier).
An alternative approach for encapsulation of an enzyme in a polypyrrole-based biosensor was proposed. Unlike as usual, the enzyme GOx was firstly deposited on graphite electrodes and immobilized by glutaraldehyde (Immobilization of enzymes by cross-linking with glutaraldehyde is one of the most used techniques in the construction of biosensors. Details in this regard are out of the scope of this review, but a few of the literature contributions are easily available). Then, the GOx-modified electrode was immersed in an aqueous solution containing both glucose and a polymerizable monomer (pyrrole or aniline), properly buffering pH [51]. The presence of atmospheric O2 induces a catalytic reaction forming H2O2 that works as polymerization initiator. Polypyrrole (as well as polyaniline) films entrapping the enzyme are then formed, and the enzymatic biosensors are applied to the determination of glucose. The authors evidence that in this arrangement, the CP-membrane acts as a permselective membrane, lowering the influence of interfering species (mainly ascorbic and uric acid). Furthermore, the stability of the biosensor appears higher than more classical approaches.
A GOx-initiated polymerization of pyrrole was also reported by Camurlu and coworkers [52], which proposed an amperometric glucose biosensor using whole cells of Aspergillus niger instead of the GOx usually extracted from this fungus. Polypyrrole was obtained using in situ polymerization within the cellular membrane anchored on a GCE. The presence of the conducting polymer allows for an enhancement of analytical performances compared to an analogous sensor made up of the cells only, lowering the detection limit (A. niger 0.036 mM, PPy-A. niger 0.005 mM) through an easy and biocompatible method.
Organized structures as dendrimers were also exploited in GOx-based amperometric sensors. Amidoamine-pyrrole dendrimers (pyrrole-PAMAM, Figure 6) were linked to a gold electrode surface, properly functionalized with 3-mercaptopropionic acid (MPA), using a carbodiimide (EDC) as coupling reagent between the -COOH groups of MPA and the -NH2 groups of the dendrimers. GOx was then immobilized, applying a constant potential (0.8 V vs. Ag/AgCl) to the so-modified electrode immersed in an aqueous solution containing pyrrole, GOx, and p-toluene sulphonic acid sodium salt [53]. The amperometric sensing of glucose was investigated at 0.7 V in phosphate-buffered solution at pH 7.5 (following the increasing in H2O2 concentration as product of the electrocatalytic reaction), showing a good linearity in the range 0.5–5.5 mM. The sensor was also tested against interferences from uric acid, ascorbic acid, and acetaminophen, with relative error lower than 4% in current measurement.
Figure 6.
Pyrrole-PAMAM dendrimer (reproduced from ref. [53] with the permission of Elsevier).
Among biosensors for inorganic analytes, the amperometric detection of phosphate was reported using polypyrrole. Lawal and Adeloju [54] entrapped xanthine oxidase (XOD), in combination with purine nucleoside phosphorylase (PNP) and K4Fe(CN)6, in a polypyrrole film obtained using galvanostatic polymerization. An analogous potentiometric bilayer sensor was prepared, where a PPy-NO3-Fe(CN)64− inner film was combined to a PNP-XOD couple immobilized with the classical BSA-glutaraldehyde (BSA = bovine serum albumin) approach. The performances of the amperometric and potentiometric biosensors were compared. The detection limit and linear concentration range were found to be 20 µM and 20–200 µM for the potentiometric sensor, and 10 μM and 0.1–1 mM for the amperometric one, respectively.
A fascinating approach in the development of biosensors involves the use of plant tissues as biological receptors, rather than enzymes. An example was reported by Zavar et al. [55], requiring the deposit of a thick section of banana pulp on a graphite disk, followed by the electrodeposition of a polypyrrole film cycling the potential between −0.7 and 1.3 V in an aqueous solution containing a pyrrole monomer and LiClO4 as the supporting electrolyte. Such a device was used in detecting salicylic acid in real samples (plasma, milk) using DPV, with a linear concentration range between 1 × 10−7 and 1 × 10−4 M and a detection limit of 8.9 × 10−8 M.
A simple non-enzymatic sensor for urea was designed by coating a Pt electrode with an electro-generated polypyrrole film in a solution containing sodium dodecylsulphate as a supporting electrolyte [56]. Measurements of the current were performed in mildly acidic conditions, and interference from ascorbic acid, uric acid, sodium chloride, and calcium chloride were investigated. Chronoamperometry responses were recorded at −0.4 V vs. SCE, corresponding to the reduction of ammonium ions. Response time was highly satisfactory (lower than 1 s), as well as the linear range (80–1440 µM), sensitivity (1.11 µA µM−1 cm−2), and detection limit (40 µM).
Applications of biosensors in detecting organic pesticides are also reported. In particular, a biosensor based on acetylcholinesterase entrapped in an electrogenerated film of polypyrrole proved to be efficient in revealing organophosphate and organocarbamate pesticides, with a detection limit of 1.1 ppb and 0.12 ppb, respectively. The storage at 0 °C in dry conditions permits us to retain 70% of the original activity of the biosensor for 4 months [57]. Acetylcholinesterase in the detection of organophosphorus pesticides was also used combined with a composite gold nanoparticles/polypyrrole/reduced graphene oxide [58]. The biosensor was prepared using a multistep approach: (i) electropolymerization of pyrrole on glassy carbon electrode from an aqueous suspension containing the monomer and reduced graphene oxide; (ii) electrodeposition of gold nanoparticles using electrodeposition from an aqueous solution of 0.1% HAuCl4·4H2O; and (iii) galvanostatic deposition of acetylcholinesterase from a buffer solution containing the enzyme and (NH4)2SiF6 that acted as precursor of a silica matrix to stabilize the structure of the biosensor. The biosensor behavior was characterized by high stability, retaining 90% of the initial current response over a 30 days period. Moreover, the biosensor showed a fast response towards selected pesticides in a concentration range 1.0 nM–5 μM, and a detection limit of 0.5 nM.
A pH-insensitive amperometric sensor for the detection of dissolved oxygen was proposed adopting a methylene blue-pyrrole copolymer electrogenerated on Au electrode surface in an aqueous buffer solution. Because of the pH dependence of methylene blue and its polymer form, pyrrole was used as a co-monomer. The sensor was proposed to be used in biological investigations, thanks to its stability (18 days) and sensitivity (256.335 μA mM−1 cm−2) performances, wide linear range (15–285 μA), and low detection limit (1.47 μM) [59].
Polypyrrole-based biosensors were also applied for the study of some pathologies. For instance, a screen-printed electrode (SPE) surface was modified with a polypyrrole film obtained using cyclic voltammetry polymerization of 1H-pyrrole-1-propanoic acid in LiClO4/acetonitrile solution [60]. The film was then functionalized with a β-cyclodextrin, immobilized with the classical EDC/NHS (EDC = 1-Ethyl-3-(3-dimethylamino-propyl)carbodiimide), NHS = N-hydroxysuccinimide) approach. Finally, an ADA-CMC-GLI (ADA = adamantane, CMC = carboxymethylcellulose, GLI = gliadin) was anchored to the modified SPE in a supramolecular arrangement. The sensor was incubated with an anti-gliadin antibody and was tested for the investigation of celiac disease, showing good sensitivity (0.45 μA mL μg−1) and a low detection limit (33 ng mL−1) in a linear range 0–10 μg mL−1.
The development of sensors for biomedical applications often suffers from fouling troubles due to the specific biological components. To overcome this problem, an elegant solution was proposed using a polypyrrole film generated with cyclic voltammetry on a gold electrode surface and modified with polyethylene glycol. A poly-histidine modified aptamer was then immobilized on this platform using a ANTA/Cu2+ complex (ANTA = N-(5-amino-1-carboxypentyl)iminodiacetic acid) as linkage, and the resulting aptasensor was finally tested in the detection of a biomarker for prostate cancer using SWV [61]. The described sensor showed detection limits of 0.15 fM and 1.4 fM in a phosphate buffer and human plasma, respectively. The authors declare that the proposed approach can be successfully adopted for other cancer biomarkers by using suitable aptamers.
MOFs (Metal Organic Frameworks) modified with conducting polypyrrole were also recently developed for the detection of Pb(II) and Cu(II) [62]. Pyrrole was chemically polymerized in an aqueous solution containing a ZIF (Zeolitic imidazolate framework)-type MOF, and the composite was then functionalized with phytic acid and deposited on a GCE surface at −1.0 V vs. SCE. Pb(II) and Cu(II) were simultaneously detected using differential pulse voltammetry (−0.6 V and −0.1 V, respectively), with a linear range 0.02–600 μM for Pb(II) and 0.2–600 μM for Cu(II). Detection limits were found to be 0.0029 μM and 0.0148 μM, respectively. The sensor proved to be stable for 40 days, and was successfully tested on real samples (lake water, orange juice, and honey samples). Finally, the effect of a series of interferent metal ions was studied, evidencing a high selectivity of the sensor towards Pb(II) and Cu(II).
2.2. Metal-Containing Polypyrrole
Performances of PPy-based sensors can also be modified using specific counterions. In this context, polyoxometalates have been used as dopant anions of a polypyrrole film obtained using electrochemical polymerization of the monomer at a constant potential (+0.65 V vs. Ag/AgCl) in a solution containing a potassium salt of Fe3+-, Cu2+-, and Co2+-substituted polyoxometalates as well [63]. The resulting amperometric sensors were used for detection of H2O2, showing a good stability in the pH range 2–7. Limits of detection were found in the range between 0.3 and 0.6 μM (depending on the different polyoxometalate) and a linear range between 0.1 and 2 mM.
Multicomponent composites have often been proposed to improve the analytical performances of CP-based electrochemical sensors. Usually, the development of such tools requires at least two steps. However, a one-step synthetic approach was applied to a multi-component nanocomposite including polypyrrole and gold nanoparticles, generated using Prussian blue as a catalyst (Figure 7). The nanocomposite was then dropped onto a glassy carbon electrode to obtain an amperometric sensor for determination of H2O2. The sensor showed a good linearity in the range 2.5 × 10−9–1.2 × 10−6 M and a detection limit of 8.3 × 10−10 M [64].
Figure 7.
Synthesis of the Au/PPy/Prussian blue nanocomposite (reprinted from ref. [64] with the permission of Elsevier).
A further approach using polypyrrole m (M = Ag, Au) nanoplates was proposed to electrochemically detect H2O2 and dopamine. Polypyrrole nanoplates were obtained using the chemical oxidation of pyrrole with ammonium peroxydisulfate. Ag- and Au-nanoparticles were formed by the chemical reduction of silver nitrate and chloroauric solutions, respectively. Then, polypyrrole nanoplates were added to the solution. The resulting composites were dropped on the surface of a glassy carbon electrode. Such an arrangement allowed us to develop a non-enzymatic polypyrrole-Ag and polypyrrole-Au sensor for hydrogen peroxide and for dopamine, respectively. Sensing H2O2 was shown to be linear between 0.01 mM and 3.01 mM with a detection limit of 1.8 μM, whereas sensing dopamine was linear in the range 1 μM–5.201 mM with a detection limit of 0.36 μM [65].
A quite uncommon approach to the biosensing of glucose involves the encapsulation of glucose oxidase enzyme in a magnetic layer made up of a composite Fe3O4/poly(pyrrole-N-propylsulfonic acid) [66]. The enzyme-composite arrangement was immobilized on a magnetic glassy carbon surface, giving an amperometric biosensor for glucose, tested in serum samples. The biosensor showed fast response time (4 s), a linear range between 5 × 10−4 and 3.5 mM and a detection limit of 0.2 µM. Furthermore, interferences from uric acid, ascorbic acid, and fructose were investigated, evidencing a high selectivity of the proposed sensor.
Again, in the context of nanocomposites containing magnetic Fe3O4 and polypyrrole, a glucose oxidase biosensor using a metal-organic framework was proposed [67]. The preparation of the biosensor was quite simple but efficient: Fe3O4 nanoparticles, prepared using hydrothermal method, were suspended in a hydroalcoholic solution where the chemical polymerization of pyrrole with FeCl3 was carried out. Then, the magnetic Fe3O4/PPy nanocomposite was suspended in a methanol solution containing Zn(NO3)2 and 2-methylimidazole, and the resulting Fe3O4/PPy/MOF was immersed in a glucose oxidase solution (Figure 8). The GOx-nanocomposite was dropped on a glassy carbon electrode surface and covered with a Nafion solution. The sensor showed a linear response in the range 1 μM–2 mM with a detection limit of 0.333 μM. Selectivity was also tested, showing no interferences from fructose, lactose, and sucrose, as well as ascorbic acid, uric acid, salicylic acid, and dopamine. Finally, recovery tests on real samples (human serum) were performed, suggesting a possible application in practical analysis.
Figure 8.
Synthesis of the Fe3O4/PPy/MOF/GOx nanocomposite (reprinted from ref. [67] with the permission of Elsevier).
As reported above, quite often, amperometric sensors for molecules of biological interest do not use a biological recognition element, but substitute it with some synthetic arrangement like, for instance, metal nanoparticles combined with conducting polymers. A similar configuration was adopted for a glucose-sensor, where pyrrole was chemically polymerized on ZnFe2O4 nanoparticles with ammonium persulfate as oxidizing agent. A glassy carbon electrode surface was modified with the composite [68]. The sensor showed a high electrocatalytic activity, as suggested by the enhanced value of the anodic current in the oxidation of glucose compared to an unmodified glassy carbon electrode, or to the same electrode modified solely with ZnFe2O4 nanoparticles instead of the composite. The response was linear in the range 0.1–0.8 mM, where the sensitivity was 145.36 μA mM−1 and the detection limit 0.1 mM.
The analogue nanocomposite containing polypyrrole and CuFe2O4 in a non-enzymatic sensor for the detection of glucose was proposed by the same Authors [69]. Thanks to the structural arrangement of the nanoparticles, the sensor showed a high catalytic surface, allowing us to reach a high sensitivity (637.76 μA mM−1) and low detection limit (0.1 μM) in a concentration range between 20 μM and 5.6 mM.
Recently, cashew gum polysaccharide (CGP) has been proposed as a doping agent for chemically generated polypyrrole films [70]. The electrocatalytic activity of this composite can be further enhanced with the addiction of magnetite nanoparticles (MN), which are able to act as a protective agent towards the CP film, improving the stability of the polaron state. The electrode surface was prepared mixing the PPy(CGP)-MN with carbon paste, resulting in a highly specific non-enzymatic sensor for H2O2.
In the field of sensors for the detection of tumor markers, an amperometric immunosensor made up of a conductive hydrogel polypyrrole-polythionine-gold particles-GOx has been reported [71]. The hydrogel was obtained by mixing two solutions containing: (i) pyrrole and thionine monomers and glucose oxidase, and (ii) ammonium persulfate and tetrachloroauric acid as co-oxidizing agents. The resulting solution was dropped on a GCE surface and left to dry. Then, the formation of a Au film was induced by applying a constant potential of −0.2 V vs. Ag/AgCl to the modified electrode immersed in a HAuCl4 solution. Finally, the electrode was dipped in anti-NSE (NSE = neuron specific enolase) solution that was immobilized with 1% BSA. The current signal at 0.0 V was used to detect NSE as cancer marker, with a linear range between 100 ng mL−1 and 1 pg mL−1 and a detection limit of 0.65 pg mL−1.
In the field of biomarkers of environmental interest, a sensor for the electrochemical detection of xanthine has been reported, where the most interesting aspect is maybe the electrode substrate. Indeed, the potentiodynamic polymerization of pyrrole was performed on a pencil graphite electrode (PGE). The polymer film was functionalized with Ag-doped ZnO nanoparticles, and xanthine oxidase was finally immobilized on the modified electrode (Figure 9) [72]. The presence of the nanoparticles in the polymer structure causes an increase in the active surface, giving a highly sensitive and selective sensor, with analytical performances better than the analogous system previously reported.
Figure 9.
Scheme of the modification of a PGE (reprinted from ref. [72] with the permission of Elsevier).
Recently, a polypyrrole-based composite has been proposed to overcome poor performances of sensors in detection of pollutants as hydroquinone (HQ). A nanocomposite consisting of porous silicon (PSi) nanoparticles, commercial polypyrrole-carbon black (PPy-C), and palladium nanoparticles (NPs) was deposited onto a glassy carbon electrode surface. The resulting Pd@PSi-PPy-C/GCE sensor [73] shows a good electrocatalytic activity towards HQ detection, with high sensitivity, low detection limit, and wide linear range. The authors suggest that this approach can be applied to the development of electrochemical sensors for the detection of environmental pollutants.
Overoxidized PPy (OPPy) has also been employed in conjunction with metal nanoparticles, serving as an efficient immobilization membrane for electrochemical biosensors. The surface area of OPPy films can be enhanced by combining them with metal NPs, improving the electron transfer rate and the catalytic activity in the resulting sensors. Usually, a PPy film is electrogenerated using cyclic voltammetry on an electrode surface. Then, it is overoxidized by applying a suitable anodic potential. Metal NPs are added before or after the electrochemical polymerization of pyrrole. In this context, an OPPy-AuNPs arrangement was used in a glucose amperometric biosensor where AuNPs were deposited on a OPPy film [74]. The GOx/AuNPs/OPPy/Au glucose sensor showed a low detection limit (40 μM) and good selectivity.
Composites of OPPy-metal NPs are also used in the field of MIP sensors. In this case, the electrochemical polymerization of the monomer can be carried out on a metal-NPs layer, and the molecular imprinting feature is assured by the presence of the target analyte in the pyrrole solution. The following overoxidation process removes the entrapped template, giving the final sensor. This approach has been proposed in the development of a sensor for the detection of a vasodilatory drug (Vardenafil), with a wide linear range and low detection limit [75].
2.3. Polypyrrole–Carbonaceous-Materials Composites
An effective approach to improve the conductivity features of CPs is achieved by mixing them with carbonaceous materials like carbon nanotubes or graphene (also as oxide or reduced oxide). In this context, a tetrafluoborate pyrrole-alkylammonium salt (Figure 10) was polymerized at a constant potential value in an aqueous dispersion containing pyrrole-alkylammonium and multi-walled carbon nanotubes (MWCNTs). The obtained homogeneous dispersion was used as a coating on a platinum electrode. Fe(CN)63−/4− was then adsorbed on the modified electrode to give an anion-exchange sensor for the determination of heparin. DPV experiments allowed us to detect the analyte in a linear range between 0.1 and 8.0 µM and a detection limit of 0.1 µM [76].
Figure 10.
Pyrrole-alkylammonium cation cited in ref. [76].
Again, an enzyme-activated chemical polymerization of pyrrole in the presence of redox mediators of natural origin like acetosyringone, syringaldehyde, or vanillin was adopted to obtain polypyrrole particles with high electrocatalytic activity [77]. Furthermore, the presence of chondroitin sulfate as a dopant and template during the polymerization induces an enhancement of electrical conductivity of the polymer. When the polypyrrole nanoparticles synthetized in the presence of vanillin and of chondroitin sulfate were used to modify a carbon nanotube screen-printed electrode (CNT-SPE) for the detection of uric acid, a sensor with high performances was obtained. In these conditions, a linear range between 5 and 97 μM was achieved, with a sensitivity of 47 μA mM−1. Furthermore, the selectivity does not suffer from the presence of ascorbic acid, whereas dopamine interferes in the determination of uric acid when they both are present in the same concentration.
The use of MWCNTs combined with polypyrrole has been applied to the determination of specific drugs or of their antagonists in pharmacological studies. In particular, a layer-by-layer approach was adopted in developing a pyrrole-based sensor for the revealing of naltrexone, a known medication in the treatment of opioid dependence [78]. Glassy carbon was used as an electrode surface and properly modified with a thin film of MWCNTs. Then, pyrrole was polymerized using cyclic voltammetry in an aqueous solution also containing Nitrazin Yellow as a dopant anion. In comparison with analogue systems using inorganic anions as dopants, Nitrazin Yellow is suggested to give long-time stability and reproducibility in the voltammetric measurement of naltrexone.
Multi-walled carbon nanotubes have also been successfully adopted as an anchoring surface for chemically synthetized polypyrrole in the non-enzymatic detection of lactic acid in human sweat [79]. The selectivity of the sensor against neutral and cationic species results from the p-type nature of the polypyrrole structure. Its analytical behavior was investigated using chronoamperometry at 0.68 V (vs. Ag/AgCl) as a working potential in a three-electrode electrochemical cell in a 0.1 M Na2SO4 aqueous solution. Sensitivity (2.9 μA mM−1 cm−2) and detection limit (51 μM) were satisfactory in comparison with enzyme-based sensors.
A polypyrrole-based molecularly imprinted polymer was combined to reduced graphene oxide and nickel nanoparticles in the development of a sensor for the determination of myo-inositol, a cyclic polyalcohol used in the treatment of cardiovascular diseases, Alzheimer’s, diabetes, and renal pathologies. The MIP was prepared using potentiodynamic polymerization of pyrrole in a solution also containing myo-inositol on a glassy carbon electrode previously modified using the electrodeposition of reduced graphene oxide and nickel nanoparticles [80]. The MIP sensor was investigated using differential pulse voltammetry, showing a linear response between 1.0 × 10−10 and 1.0 × 10−8 mol L−1 myo-inositol concentration, a detection limit of 7.6 × 10−11 mol L−1, and a sensitivity of 4.5 μA cm−2 μmol−1. A good selectivity was evidenced in presence of L-arabitol, D-mannitol, erythritol, and glucose. The sensor was successfully tested in real samples (sugarcane vinasse) without pre-treatment.
A further improvement in the electron transfer process can be achieved using MWCNTs and overoxidized polypyrrole (instead of polypyrrole itself). Quite usually, carbon nanotubes are deposited on an electrode surface as a first layer where the polymerization of pyrrole is performed. Afterwards, the polypyrrole film is overoxidized and, if that is the case, further modified to give the final sensor. This approach was used by Yu et al. [81], who proposed an OPPy-CuO/MWCNTs composite in a non-enzymatic amperometric sensor for glucose, with good performances in linear range (2.0 × 10−7–2.0 × 10−3 mol L−1) and detection limit (50 nM).
Overoxidized polypyrrole was also used with a MIP configuration in the detection of sulfamethoxazole (SMX) [82]. A layer of MWCNTs on a graphite electrode surface was the substrate selected to increase the effective surface area of the electrode. The electrochemical synthesis of OPPy was carried out in a single step in a cell containing SMX. The target analyte was finally removed by cycling the potential between 0.2 and 1.3 V (vs. Ag/AgCl). Low detection limit (413 nM) and wide linear range (1.99–10.88 μM) were achieved by DPV analysis.
Also, electrochemical-reduced graphene oxide (ERGO) was adopted as a conducting surface for the electropolymerization of polypyrrole, followed by electrochemical overoxidation. The resulting OPPy/ERGO/GCE amperometric sensor was applied to the determination of dopamine, with a wide linear range (0.4–517 mM) and a low detection limit (0.2 μM) [83].
As evidenced in Table 1, different options containing polypyrrole as electrode-modifying materials in the development of amperometric sensors are possible, the use of overoxidized polypyrrole films included. The analytes of main interest are H2O2 and glucose. However, analytes of specific biomedical and environmental relevance are investigated in this context.
Table 1.
Polypyrrole-based amperometric sensors.
Table 1.
Polypyrrole-based amperometric sensors.
| Sensor Composition | Analyte Detected/ Application | Electrochemical Technique | Linear Range | LoD | Sensitivity | Ref. |
|---|---|---|---|---|---|---|
| OPPy/Pt | H2O2 | CA (RDE) | 700 nA μM−1 cm−2 | [41] | ||
| OPPy(SDM-MIP)/Au | Sulfadimethoxine | CA | 0.15–3.7 mM | 70 μM | [45] | |
| Hb/MS-PPy/GCE | H2O2 | CA | 0.01–1.2 mM | 0.01 mM | - | [46] |
| ChOx/PEO-co-PPy/Pt ChOx/CP-co-PPy/Pt | cholesterol | CA | 13.32 μA mM−1 cm−2 11.87 μA mM−1 cm−2 | [47] | ||
| GOx-biotinylated/PPy-NTA-Cu2+/Pt | glucose catechol | CA | 0.6 mA mol−1 L cm−2 656 mA mol−1 L cm−2 | [48] | ||
| GOx/Py/Py-CO2H/Py-Fc/GCE | glucose | CA | 1.0–4.0 mM | 6.9 μM | 1.796 μA mM−1 cm−2 | [49] |
| GOx/P(Py-FcPy)/ITO | glucose | CA | up to 16.8 mM | 0.17 mM | 19.21 μA mM−1 | [50] |
| GOx/GCE/PPy | glucose | CA | [51] | |||
| Asp. Niger/PPy/GCE | glucose | CA | 0.01–0.05 mM | 0.005 mM | 27.25±1.84 μA mM−1 cm−2 | [52] |
| GOx/Py-PAMAM/MPA-Au | glucose | CA | 0.5–5.5 mM | 3.4–9.6 μM | 10–16 μA mM−1 | [53] |
| PPy-PNP-XOD-Fe(CN)64− | phosphate | CA | 0.1–1 mM | 10 μM | [54] | |
| PPy/banana pulp/graphite disk | salicylic acid | DPV | 1 × 10−7–1 × 10−4 M | 8.9 × 10−8 M | [55] | |
| PPy-SDS/Pt | urea | CA | 80–1440 µM | 40 µM | 1.11 µA µM−1 cm−2 | [56] |
| AChE/PPy/Pt | Organophosphate and organocarbamate pesticides | CA | 1.1 ppb (organophosphate) 0.12 ppb (organocarbamate) | [57] | ||
| AChE/AuNPs/PPy-rGO/GCE | organophosphorus pesticides | CA | 1.0 nM–5 μM | 0.5 nM | [58] | |
| P(MB-co-Py)/Au | dissolved O2 | CA | 15–285 μA | 1.47 μM | 256.335 μA mM−1 cm−2 | [59] |
| ADA-CMC-GLI/β-CD/P(Py-propanoic acid)/SPE | celiac disease | CA | 0–10 μg mL−1 | 33 ng mL−1 | 0.45 μA mL μg−1 | [60] |
| His-tagged-aptamer/ANTA/Cu2+/PEG/PPy/Au | prostate cancer | SWV | 0.15 fM (phosphate buffer) 1.4 fM (human plasma) | [61] | ||
| PA/PPy/MOF/GCE | Pb(II) Cu(II) | DPV | 0.02–600 μM 0.2–600 μM | 0.0029 μM 0.0148 μM | [62] | |
| POMs-PPy/GCE (M = Cu2+, Fe3+) | H2O2 | CA | 0.1–2 mM | 0.3 μM (Cu2+), 0.06 μM (Fe3+) | [63] | |
| Au-PPy/PB/GCE | H2O2 | DPV | 2.5 × 10−9–1.2 × 10−6 M | 8.3 × 10−10 M | [64] | |
| PPyNPT-Ag/GCE PPyNPT-Au/GCE | H2O2 dopamine | CA | 0.01–3.01 mM 1 μM–5.201 mM | 1.8 μM 0.36 μM | [65] | |
| GOx/Fe3O4/poly(pyrrole-N-propylsulfonic acid)/MGCE | glucose | CA | 0.0005–3.5 mM | 0.2 µM | [66] | |
| GOx/Fe3O4/PPy/MOF/GCE | glucose | CA | 1 μM–2 mM | 0.333 μM | [67] | |
| ZnFe2O4/PPy/GCE | glucose | CA | 0.1–0.8 mM | 0.1 mM | 145.36 μA mM−1 | [68] |
| CuFe2O4/PPy/GCE | glucose | CA | 20 μM–5.6 mM | 0.1 μM | 637.76 μA mM−1 | [69] |
| PPy(CGP)-MN/GCE | H2O2 | CA | 0.1–0.9 mmol L−1 | 0.072 mmol L−1 | 0.28 μmol L−1 | [70] |
| NSE/GOx-PPy-Pthionine-AuNPs/GCE | tumor marker (neuron-specific enolase, NSE) | CA | 1 pg mL−1–100 ng mL−1 | 0.65 pg mL−1 | [71] | |
| XOD/Ag-ZnO/PPy/PGE | xanthine | CA | 0.06–0.6 μM | 0.07 μM | 0.03 μA mM−1 | [72] |
| Pd@PSi-PPy-C/GCE | hydroquinone | CA | 1–450 μM | 0.074 μM | 3.0156 μA μM−1 cm−2 | [73] |
| GOx/AuNPs/OPPy/Au | glucose | CA | 0–2.6 mM | 40 μM | 8.09 μA/mM | [74] |
| OPPy-MIP/PtNPs/Pt | Vardenafil | DPV | 1 × 10−12–5 × 10−8 M | 0.2 × 10−12 M | [75] | |
| Fe(CN)63−/4−/polyA2-MWCNTs/Pt | heparin | DPV | 0.1–0.8 μM | 0.1 μM | - | [76] |
| PPy/CNT (PPy: enzyme-mediated synthesis) | uric acid | CA | 5–97 μM | 47 μA mM−1 | [77] | |
| PPy-NY/MWCNT/GCE | naltrexone | LSV | 4.0 × 10−8–1 × 10−5 mol L−1 | 12 nmol L−1 | [78] | |
| MWCNTs/PPy | lactic acid | CA | 51 μM | 2.9 μAmM−1 cm−2 | [79] | |
| PPy-MIP/NiNPs/rGO/GCE | myo-inositol | DPV | 1 × 10−10–1 × 10−8 mol L−1 | 7.6 × 10−11 mol L−1 | 4.5 μA cm−2 μmol−1 | [80] |
| CuO/OPPy/MWCNTs/CCE | glucose | CA | 0.20 μM–2.0 mM | 50 nM | 3922.6 μA mM−1 cm−2 | [81] |
| OPPy(SMX-MIP)/MWCNT/GCE | sulfamethoxazole | DPV | 1.99–10.88 μM | 413 nM | [82] | |
| OPPy/ERGO/GCE | dopamine | CA DPV | 0.4–517 μM 2.0–160 μM | 0.2 μM 0.5 μM | [83] |
AChE = acetylcholinesterase; ADA = adamantane carboxylic acid; ANTA = N-(5-Amino-1-carboxypentyl)iminodiacetic acid; CA = chronoamperometry; CCE = carbon ceramic electrode; CMC = carboxymethylcellulose; DPV = differential pulse voltammetry; GCE = glassy carbon electrode; GLI = gliadine; GOx = glucose oxidase; Hb = hemoglobin; ITO = indium-tin oxide; MB = methylene blue; MGCE = magnetic glassy carbon electrode; MIP = molecularly imprinted polymer; MN = magnetite nanoparticles; MPA = 3-mercaptopropionic acid; MS = mesoporous silica; MWCNTs = multi-walled carbon nanotubes; NPT = nanoplates; NSE = neuron specific enolase; NTA = nitriloacetic acid; NY = nitrazin yellow; OPPy = overoxidized polypyrrole; PA = phytic acid; PB = prussian blue; PEO-co-PPy and CP-co-PPy = thiophene capped poly(ethyleneoxide)/polypyrrole and 3-methylthienyl methacrylate-co-p-vinyl benzyloxy poly(ethyleneoxide)/polypyrrole; PGE = pencil graphite electrode; PNP = purine nucleoside phosphorylase; polyA2 = poly(pyrrole-alkylammonium); POMs = polyoxometalates; Py-CO2H = 3-(1H-pyrrol-1-yl)propanoic acid; Py-PAMAM = amidoamine-pyrrole dendrimers; RDE = rotating disk electrode; rGO = reduced graphene oxide; SDS = sodium dodecylsulphate; SPE = screen-printed electrode; XOD = xanthine oxidase. Analytical parameters are reported as in the original scientific papers.
3. Thiophene
The synthetic flexibility of thiophene derivatives is often exploited in developing technological devices, allowing us to design new species according to specific requirements. The synthetic functionalization of the thiophene ring leads to fascinating structures suitable to act as an efficient modifying agent for electrode surfaces, as well as an immobilizing agent for specific components of a sensor, such as a biological component. As in the case of PPy-based amperometric sensors, thiophene species are often doped with different materials (metal particles, graphene, and carbon nanotubes) to enhance their conductivity or their analytical features (sensitivity, detection limit, linear range, and lifetime).
Papers cited in this review in the context of PTh-based amperometric sensors are reported in summary in Table 2.
Table 2.
Polythiophene-based amperometric sensors.
3.1. Unmodified Thiophene, Ring Functionalization, and Copolymer Materials
Poly(thiophene-boronic acid) was applied to a GOx-biosensor for the determination of glucose. The specific arrangement of this sensor includes: (i) the obtainment of the conducting polymer film using electrochemical copolymerization on a glassy carbon electrode from thiophene and its 3-boronic acid derivative (PTBA); (ii) the functionalization of the polymer film with the redox cofactor flavin adenine dinucleotide (FAD); and (iii) the immobilization of GOx on the modified electrode surface through the FAD-link (Figure 11). Authors evidence that such an arrangement allows for a highly efficient reconstitution of the apo-GOx, enhancing the electrocatalytic activity of the enzyme, then leading to excellent performances from the biosensor [84].
Figure 11.
Preparation of the GC/PTBA/FAD/apo-GOx sensor (reprinted from ref. [84] with the permission of Elsevier).
Unsubstituted and 4,4′-substituted bithiophenes have been also proposed in the development of GOx-biosensors. The monomers 2,2′-bithiophene and 4,4′-bis(2-methyl-3-butyn-2-ol)-2,2′-bithiophene (Figure 12) were polymerized on a platinum disk electrode by applying a proper potential during a time interval suitable to obtain a film with an adequate thickness. The modified electrodes were then applied to the detection of glucose in aqueous solutions and in real samples. The analytical results evidenced the role of the tridimensional structure of polymer films in the effectiveness of biosensors [18].
Figure 12.
2,2′-Bithiophene (2,2′-BT) and 4,4′-bis(2-methyl-3-butyn-2-ol)-2,2′-bithiophene (4,4′-bBT) (reproduced from ref. [18] under the Creative Commons Attribution License).
The same 4,4′-bithiophene derivative was tested in the amperometric detection of epinephrine [20]. Tyrosinase was immobilized onto the polymer film using glutaraldehyde as a cross-linker. The efficiency of the charge transfer process, as well as the effective immobilization of the enzyme, are attributed to the presence of an -ethynyl linker in the bithiophene structure. Detection of the analyte using differential pulse voltammetry was characterized by a wide linear range (1–20 μM and 30–200 μM) and a low detection limit (0.18 nM).
Again in the field of glucose biosensors, a thiophene-based monomer (4-(2,5-di(thiophen-2-yl)-1H-pyrrol-1-yl)benzenamine, SNS-NH2, Figure 13) was polymerized using cyclic voltammetry and used as an immobilizing agent for GOx on a graphite electrode. Then, a phosphate buffer aqueous solution containing a poly(phosphazene) derivative (obtained through a classical synthetic route), GOx, and glutaraldehyde as cross-linking agents were dripped on the CP film. The high flexibility of poly(phosphazene), and the interaction between its -CHO groups and the -NH2 functionalities of the CP, allowed us to enhance the efficiency of immobilization of the enzyme and the stability of the whole system, thus improving the analytical performances of the biosensor. The behavior towards interferences (ascorbic acid, cholesterol, and urea) was also tested, showing a high selectivity level [85].
Figure 13.
(4-(2,5-di(thiophen-2-yl)-1H-pyrrol-1-yl)benzenamine, SNS-NH2 (reproduced from J. Electroanal. Chem. 2008, 612, 247–256 with the permission of Elsevier).
The same monomer (SNS-NH2) used in a copolymer with its ferrocene-functionalized form (SNS-NH-Fc) was proposed (Figure 14) in GOx-based biosensors again. This arrangement has some advantages. In fact, the immobilization of the enzyme is performed through covalent bindings with terminal amino-groups of the polymer. Moreover, no external redox mediator is required thanks to the presence of ferrocene units along the structure of the polymer film [86].
Figure 14.
Thiophene-pyrrolyl monomer and its ferrocenyl-derivative (reproduced from ref. [86] under the Creative Commons Attribution License).
Determination of polyphenols is another topic widely investigated through biosensors using laccase enzyme. A quite simple modification of a glassy carbon electrode with an electro-generated poly(3-methylthiophene) film allowed us to determine catechol using differential pulse voltammetry with analytical performances comparable to or better than the analogue biosensor reported in the literature until that moment. In particular, the lifetime of this sensor was particularly high (60 days) with 83% of its activity. The efficient behavior can be ascribed to the polymerization approach, where the CP film is obtained in a propylene carbonate solution containing laccase, allowing for an optimal immobilization of the enzyme [87].
Pyranose oxidase has been proposed in a biosensor for detection of glucose, showing high stability and high affinity towards glucose compared to glucose oxidase. The film was obtained on a gold electrode using potentiodynamic polymerization of 4,7-bis(thieno[3,2-b]thiophen-2-yl)benzo[c][1,2,5] selenadiazole (Figure 15). The enzyme was then immobilized through physical absorption with glutaraldehyde. The CP film has proved to be efficient in immobilizing pyranose oxidase, allowing us to reach LoD and sensitivity values comparable to analogous systems containing the more frequently used glucose oxidase [88].
Figure 15.
4,7-bis(thieno[3,2-b]thiophen-2-yl)benzo[c][1,2,5] selenadiazole (reproduced from ref. [88] with the permission of Elsevier).
As in ref. [85], the thiophene ring can also be included in combined symmetrical structures containing pyrrole rings as well. This is the case reported by Ak and coworkers [89], where two dithiophene-pyrrole frameworks were symmetrically linked through an isophthalamide unit functionalized with two amide groups. The resulting monomer (BTP) was polymerized on a graphite electrode surface using cyclic voltammetry in 0.1 M LiClO4-MeCN solvent system, then a glucose oxidase aqueous solution was dropped on the poly(BTP) film and immobilized by using glutaraldehyde. The performances of this biosensor are ascribed to the high planarity of the poly(BTP) structure, arising from interchain interactions through hydrogen bonds between -N-H groups. The poly(BTP)/GOx enzyme sensor shows a limit of detection of 0.034 mM and a sensitivity of 9.43 μA mM−1 cm−2 and, most of all, a stability of the response longer than 6 weeks.
An interesting example has been proposed for the photoelectrochemical determination of L-cysteine by using TiO2/polythiophene. The composite was obtained using a classical synthetic route and casted onto a FTO (fluorine-tin oxide) substrate as an ultrathin (1 nm) layer. This quite simple arrangement appears to guarantee, at the same time, an efficient behavior both in conductivity and in light absorption, allowing us to reach 12.6 μM LoD in amperometric detection, with a linear range over a magnitude order (0.06–0.5 mM) [90].
Nano-metal alloys are also used instead of a single metal, as in the case of enzymatic and non-enzymatic glucose sensors recently reported. A Au-Ni dendrite layer was electrochemically formed on a screen-printed carbon electrode, 2,2′:5′,2′-terthiophene-3′-benzoic acid was polymerized on it using cyclic voltammetry, and GOx was immobilized with EDC/NHS. LoD 0.29 μM was achieved, and application to human blood samples are reported and compared with commercially available devices [91].
A thiophene-based structure incorporating a Se-derivative has been electrochemically copolymerized with pyrrole-3-carboxylic acid (Figure 16) to immobilize alcohol oxidase. The covalent linkage between the carboxylic groups of the copolymer and the amino groups of the enzyme assures an efficient anchoring of alcohol oxidase and, as a consequence, a satisfactory reliability of the biosensor [92].
Figure 16.
Scheme of the electrochemical co-polymerization of the monomers TBeSe and P3CA (reproduced from ref. [92] with permission of Elsevier).
Carboxylic and amino substituents on a terthiophene skeleton (Figure 17) were also used in anchoring NAD+ and lactate dehydrogenase, respectively. The detection of lactate was used as a marker for the presence of specific cancer cell lines (MCF-7) [93].
Figure 17.
Chemical structure of 3-(((2,2′:5′,2″-terthiophen)-3′-yl)-5-aminobenzoic acid.
3.2. Metal-Containing-Polythiophene
As seen above, the insertion of a carboxylic function on the heteroatomic ring is a useful approach to the functionalization of thiophene-based frameworks. In this context, a poly(terthiophene-3′-carboxylic acid) (PTTCA) was doped with CdS nanoparticles in an immunosensor for the amperometric detection of chloramphenicol. The sensor was prepared with a step-by-step electrochemical procedure on a glassy carbon electrode. The electrode surface was first modified using the potentiodynamic deposition of gold nanoparticles from a HAuCl4 solution in 0.5 M H2SO4. The Au-functionalized electrode was then covered with a conducting film of PTTCA obtained using cycling voltammetry [94]. The modification of the electrode was completed using a second layer of gold nanoparticles and a layer of CdS nanoparticles, and the immobilization of anti-chloramphenicol acetyl transferase (anti-CAT) (Figure 18). The sensor was tested in chloramphenicol detection, showing a wide linear range between 50–950 pg/mL, low detection limit (45 pg/mL), low interferences from other similar antibiotics, and a long-term stability.
Figure 18.
Scheme of the preparation of the AuNPs/PTTCA/CdS-based immunosensor (reprinted from ref. [94] with the permission of Elsevier).
Again in the field of immunosensors, poly-[2,5-di-(2-thienyl)-1H-pyrrole-1-(p-benzoic acid)] (pDPB, Figure 19) was used in a biosensor for neomycin [95]. A glassy carbon electrode was modified using a linear sweep deposition of gold nanoparticles. Then, DPB was polymerized using cyclic voltammetry, and the film was activated with EDC/NHS. Monoclonal anti-neomycin was immobilized as primary antibody, and the sandwich-type immunosensor was completed with a secondary antibody anchored to a MWCNT-AuNPs system connected to hydrazine, working analogously to a specific enzyme. Hydrazine catalyzes a reduction in hydrogen peroxide (target species for the presence of neomycin), and the effective immobilization achieved through the CP allowed us to reach an LoD value comparable with the literature data.
Figure 19.
Monomer unit of poly[2,5-di-(2-thienyl)-1H-pyrrole-1-(p-benzoic acid)] (reproduced from ref. [95] with the permission of Elsevier).
Doping polythiophenes with metal nanoparticles has proved to be efficient in determination of pollutants in environmental systems. Poly(thiophene-3-acetic-acid) was doped with Pd nanoparticles to modify a glassy carbon electrode, which was hence used in the determination of hydrazine. Poly(thiophene) and Pd were deposited on the electrode surface through two separate electrochemical steps, in potentiostatic conditions, in an acetonitrile and aqueous H2SO4 solution, respectively. The electrocatalytic activity of the metal–CP composite, due to a large effective surface area resulting from the porous structure, led to a quite simple amperometric sensor for hydrazine with satisfactory analytic performances: linearity ranging over more than three magnitude orders (8.0 × 10−9–1.0 × 10−5 mol/L) and a detection limit of 2.67 × 10−9 mol/L, and satisfactory values for reproducibility, long term stability, and selectivity [96].
In medical applications, CPs have a significant role due to their flexibility, especially interesting when applied to in vivo measurements. In particular, analysis of components in the human blood allows us to monitor some pathologies such as diabetes. In this context, determination of glycated hemoglobin is usually performed using different methods (especially chromatographic methods), all requiring pre-treatment of the blood sample and expensive and time-consuming analysis. Hence, the development of alternative devices is one of the more frequently investigated research topics. A poly(terthiophene benzoic acid) film was doped with gold nanoparticles on a screen-printed carbon electrode. A composite film was grown in a two-step procedure, including linear sweep voltammetry for gold nanoparticles’ deposition and cyclic voltammetry for terthiophene polymerization. The functionalization of the film with aminophenyl boronic acid (Figure 20) allows for an efficient detection of glycated hemoglobin as a marker for the diagnosis of diabetes [97].
Figure 20.
Structure of the SPCE/AuNPs/poly(terthiophene)/boronic acid (reprinted from ref. [97] with the permission of the American Chemical Society).
Silver nanowires (NWs) were used as a doping agent for a conducting polymer based on a thieno–thiophene derivative (Figure 21) in the determination of paraoxon, a common organophosphorus pesticide. The selective component of the biosensor was butyrylcholinesterase enzyme (BChE), cross-linked on the sensor surface with glutaraldehyde. The effectiveness of the enzyme immobilization is ascribable to the presence of alkyl chains on the CP skeleton, which are able to interact with the hydrophobic component of the enzyme. In addition, AgNWs immobilized on the polymer film surface increase the effective sensor area, making the electron transfer easier. Consequently, a highly stable amperometric biosensor was obtained, with a LoD of 0.212 μM [98].
Figure 21.
Chemical structure of 5,6-bis(octyloxy)-4,7-di(thieno[3][3,2-b]thiophen-2-yl)benzo[c][1,2,5]oxoadiazole), TTBO (reproduced from ref. [98] with the permission of Elsevier).
CP-based amperometric biosensors in cancer diseases are also reported. In this context, biocompatibility is a highly desirable feature, and monoclonal antibodies are often used as a receptor. An example was proposed using a composite made up of gold nanoparticles and poly(terthiophene-3′-benzoic acid) formed on a glassy carbon electrode. -COOH groups were activated, as usual, with EDC and NHS. Then, the monoclonal antibody was immobilized. Tests were performed in biological fluids, showing the ability of the proposed biosensor to detect metastatic cells in the early stages [99,100,101].
The ability of metal nanoparticles to enhance the electron transfer rate can also be used in the detection of neurotransmitters. For instance, a biosensor for Rocuronium (a neuromuscular blocker used in surgery) was developed using gold nanoparticles as a doping agent in the electrochemical polymerization of 3′-(2-aminopyrimidyl)-2,2′:5′,2″-terthiophene. Then, phosphatidylinositol lipid was immobilized through the interactions of amino functional groups of the CP with the activated hydroxyl groups of the lipid. Next, porous carbon was added to the NPs/CP/lipid arrangement to increase the surface area of the sensor, and finally, Nafion was drop-coated as protection against interferences. The detection limit in the order of a few ppb was achieved [102].
Nanocomposites containing metal oxides and conducting polymers have been successfully used in non-enzymatic amperometric sensors, thus avoiding the well-known troubles connected to an efficient and long-term immobilization of the enzyme onto the electrode surface. For this purpose, CP can be obtained using electrochemical or chemical synthesis in a solution containing the metal oxide (or its precursor). The (obvious) advantage of the electrochemical approach is the modification of the electrode surface at the same time of the conducting film growth. However, chemically synthetized CP–metal-oxide composites have been effectively immobilized on an electrode surface using drop-coating. This last approach was recently adopted by Rashed et al. [103], who used a suspension of CuO nanopowder mixed with a chemically synthetized polythiophene as a modifying agent of a glassy carbon electrode for selective detection of H2O2. High catalytic activity due to the metal oxide nanoparticles results in very good analytical performances of the sensor referring to sensitivity (442.25 μA mM−1 cm−2), linear range (0.02–3.3 mM), and detection limit (3.86 μM).
Metal-containing CPs where the metal center is included in the monomer structure through a coordinating substituent have been tested in the development of amperometric sensors. From a general point of view, combining the conjugate structure of a conducting polymer with a metal center usually makes the charge transfer more efficient, with positive effects on the analytical performances of the sensor. In this context, a terthiophene fragment has been properly functionalized with a terpyridine substituent able to coordinate Ru(II) as a metal center. The coordination sphere of the metal center was completed using a further terpyridine ligand bearing a -COOH substituent on every pyridine ring [16]. The resulting Ru(II)-complex was polymerized on a glassy carbon or gold electrode surface. Then, the selected enzyme (tyrosinase) was anchored to the polymer film using glutaraldehyde as coupling agent. The obtained biosensors were tested towards the detection of epinephrine, showing satisfactory analytical performances (limit of detection, linear range, sensitivity, and selectivity).
3.3. Polythiophene-Carbonaceous Materials Composites
Combinations of poly(thiophene) derivatives with carbon nanotubes were adopted in amperometric devices using enzymes to detect different analytes. Often, a such arrangement allows us to obtain a water-soluble system able to mix with a proper enzyme, giving a homogeneous solution that can be dropped on an electrode surface. This approach was applied in biosensors for glucose, where an adequate tuning of the nanotubes’ concentration resulted in a high surface area, then leading to an enhanced selectivity. Two different 3-substitued thiophenes were selected as starting materials, evidencing that a proper choice in the conducting polymer allowed us to reduce specific interferences in real samples [104].
The use of GOx as a recognition unit is without any doubt one of the most common examples of enzyme-based biosensors. The main differences among the various studies reported in recent years concern the arrangement of the matrix where the enzyme is located, and which acts as an immobilizing agent for the enzyme. In this context, carbon nanotubes were often used to enhance the electroactivity of the conducting polymer films. This is the case of a thiophene derivative (4-(4,7-di(thiophen-2-yl)-1H-benzo[d]imidazol-2-yl)benzaldehyde, BIBA, Figure 22) containing in its structure an aldehyde functional group that guarantees an efficient immobilization of glucose oxidase on the polymer film through covalent binding. The arrangement of the biosensor occurs in different steps: (i) modification of a graphite rod electrode with MWCNT nanofibers; (ii) polymerization of the thiophene monomer on the MWCNT surface using cyclic voltammetry; and (iii) immobilization of the enzyme with the further help of glutaraldehyde [105].
Figure 22.
4-(4,7-di(thiophen-2-yl)-1H-benzo[d]imidazol-2-yl)benzaldehyde, BIBA (reproduced from ref. [105] with the permission of the American Chemical Society).
Biosensors are also used in medical applications, for instance, in the detection of specific cells of interest in cancer therapy. This is the case of an amperometric sensor aiming to sense a so-called permeability glycoprotein as a marker of cancer cells resistant to several chemotherapic drugs [106]. The fabrication of the biosensor was performed in different steps on a glassy carbon electrode surface. In a first step, the electrode surface was modified using the potentiostatic deposition of gold nanoparticles. Then, a conducting polymer film was formed using the electrochemical polymerization of a terthiophene-3′-benzoic acid. The -COOH groups were properly activated with the classical EDC/NHS approach, allowing for the immobilization of the glycoprotein through covalent bonding, with the final help of BSA to stabilize the device. The modified electrode was then incubated with MDR (multidrug-resistance) cancer cells, and finally with a dispersion of a composite containing amino-phenylboronic acid (APBA), MWCNT, and hydrazine sulphate. The sensor showed higher selectivity than classical immunosensors, with a great interest in miniaturized systems.
A quite simple and efficient GOx-based amperometric biosensor was developed using a thiophene commercial substrate (2,5-di(2-thienyl)thieno[3,2-b]thiophene, Figure 23) [21]. The film obtained using potentiostatic polymerization on a glassy carbon electrode was modified by dropping a methanol suspension of graphene oxide on it, and GOx was finally immobilized through a carbodiimide reagent (CMC). The resulting biosensor proved to be suitable for the determination of glucose in beverages, showing a linear dynamic range in the range of 0.2–10 mM, a detection limit of 0.036 mM, and a sensitivity of 9.4 µA mM−1 cm−2.
Figure 23.
Chemical structure of 2,5-di(2-thienyl)thieno[3,2-b]thiophene (dTT-bT) (reproduced from ref. [21] under Creative Commons Attribution License).
4. 3,4-Ethylene-Dioxythiophene (EDOT)
One of the most common conducting polymers used as a modifying agent for electrode surfaces in amperometric sensors is poly(3,4-ethylene-dioxythiophene), or PEDOT. The interest towards PEDOT arises from its high stability, as well as its ability to promote high-speed electron transfer processes, resulting in a good electrocatalytic effect.
Unlike most of the thiophene derivatives able to give the corresponding CPs, EDOT is characterized by a noteworthy solubility in water. Such a feature is especially useful in the preparation of electrochemical biosensors, which requires the simultaneous presence of a biological component as a receptor and of an element that can act as a transducer and as an immobilizing agent. CPs are often used as a modifying agent of electrode surfaces and can immobilize different chemical or biological components. In the case of electrochemical biosensors, when the conducting polymer can be obtained from an aqueous solution, immobilization and electropolymerization can be carried out in the same step, allowing for a more efficient result. According to the specific properties required, EDOT, as well as most of the CPs precursors, can be also used in a proper functionalized configuration. In this context, several scientific papers have been published in the last 15 years reporting the application of PEDOT-based materials in amperometric sensors, and some of them are here reported and summarized in Table 3.
Table 3.
PEDOT-based amperometric sensors.
4.1. Unmodified EDOT, Ring Functionalization, and Copolymer Materials
The deep flexibility of the CPs’ structure allows us to adapt them to multiple devices. For example, Son and coworkers [107] used PEDOT entrapped in a polycarbonate template membrane to immobilize enzymes like tyrosinase in a microtubule structure (Figure 24). The obtained sensor can be used in the determination of phenolic substrates in waste waters. Amperometric detection of catechol is reported with a linear range up to 6 μM and sensitivity of 3.1 μA/μM·cm2.
Figure 24.
Schematic structure of the PEDOT-based microtubule apparatus reported in ref. [107] (reprinted with permission of Taylor & Francis).
A beta-cyclodextrin was used to modify the properties of a PEDOT:PSS film. The PEDOT film was dropped on a glass substrate, then immersed in a β-cyclodextrin solution. The electrode obtained was used in a three-electrode electrochemical cell as sensor for dopamine and catechol detection [108]. The authors evidence that this sensor allows us to not use more expensive materials, such as ITO or platinum, as an electrode surface, retaining good analytical performances in terms of the detection limit for dopamine (9.596 nM) and for catechol (0.0275 μM) in phosphate-buffered solution (pH 7.4). The sensor was tested in real samples measurements (human serum for dopamine and tap water and river water for catechol, respectively) with satisfactory recovery (from 99.4% to 100.23%) comparable to the results obtained using UV-Vis determination.
Toppare and coworkers [109] constructed and tested CP-based biosensors for the determination of alcohol content in distilled beverages. In their work, the authors used the classical PEDOT, its analogue poly(3,4-ethylenedioxypyrrole) (PEDOP), and the well-known polypyrrole (PPy). A common characteristic of the three monomers (EDOT, EDOP, and pyrrole) is their solubility in aqueous solvent, so their polymerization was carried out in a phosphate buffer containing alcohol oxidase (AlcOx) as a biological component. In this way, the biosensor was obtained in a single step with electrochemical polymerization, and incorporating the enzyme happened in a one-pot approach. Among the three structures tested, PEDOT/AlcOx showed the highest affinity, and PEDOP/AlcOx showed the highest stability. pH and temperature conditions were optimized, and the amount of immobilized enzyme was calculated. Interference effects were also investigated for glucose, acetic acid, citric acid, and L-ascorbic acid.
An analogue approach was proposed encapsulating galactose oxidase in a PEDOT-based tubular structure (Figure 25) [110]. EDOT was polymerized using cyclic voltammetry on an ITO/PC (indium tin oxide/polycarbonate) assembly acting as a working electrode. Then, a phosphate-buffered solution containing the enzyme was dropped on the top of the tubule, and the system was properly closed. The obtained amperometric biosensor showed good sensitivity (6.37 μA/mM cm2) and short response times (30–40 s), with a linear range of 0.1–1 mM and a LoD = 0.01 mM in the determination of galactose. Storing the sensor at 4 °C for a week led to it retaining about 80% of its sensitivity.
Figure 25.
PEDOT-based tubular cell system (reprinted from ref. [110] with permission of John Wiley and Sons).
In order to adapt the sensors’ development to the opportunity to obtain more and more flexible devices, different approaches have been adopted. In some cases, an electrochemical response can be coupled to an optical response, thus improving the performances and the applicability of the device. An example of this type of arrangement is reported by Gu and coworkers [111], who proposed a biosensor for glucose on a SiO2 template entrapping a polyacrylamide hydrogel. In turn, hydrogel acts as a network hosting chemically obtained PEDOT, and finally glucose oxidase (GOx) was bound with the activation of the amide functional groups. This flexible configuration has proved to be conveniently applied to typical glucose-assay biosensors, and the combination of optical and amperometric sensing enable adequate linear range (1–12 mM) and control of interferences.
Due to the interest towards amperometric sensors in a diagnostic system, research is often supported with technology to make available devices to use in vivo. Microneedles arrays arranged in a “smart patch” are an interesting example proposed for the detection of glucose in blood. The device was developed using glucose oxidase immobilized on a PEDOT film, with FAD (flavin adenosine dinucleotide) as a co-factor for the conversion of glucose into gluconic acid and hydrogen peroxide. PEDOT allows us to transduce the signal using a low voltage in a safe manner for patients. The platinum-coated stainless-steel needles in the array were modified with a film PEDOT obtained using electrochemical polymerization in the presence of GOx. Analytical performances were in agreement with the actual needs for continuous monitoring of glucose level in human blood, with linear range 2–24 × 10−3 M. The authors also performed tests on the long-term stability in wet and dry conditions [112].
Metal complexes of EDOT-derivatives with transition metal ions are used as modifying agents of electrode surfaces in developing amperometric sensors. In this context, a Pd(II) complex of 1,3-bis(2-pyridylimino)isoindoline bearing an EDOT unit as substituent was electrochemically co-polymerized with a thiophene-pyrrole derivative on a glassy carbon electrode (Figure 26) [113]. The biosensor obtained using the immobilization of glucose oxidase with a classical cross-linking procedure with glutaraldehyde was tested in the determination of glucose. The behavior of the biosensor was studied according to the oxygen consumption in a phosphate buffer (pH 6.0, E = −0.7 V vs. Ag/AgCl) with a linear range between 0.25 mM and 2.5 mM and a detection limit of 0.176 mM.
Figure 26.
Polymerization and co-polymerization route for EDOT-PdBPI (reprinted from ref. [113] with the permission of Elsevier).
Ferrocenyl derivatives were often used in combination with PEDOT films properly deposited on an electrode surface. A double-step electrochemical polymerization of EDOT and of N-ferrocenyl-3-(1H-pyrrol-1-yl)aniline on a graphite rod in a propylene carbonate/LiClO4 solvent system was applied. On the bilayer arrangement obtained, glucose oxidase was immobilized through the classical cross-linking with glutaraldehyde. The authors evidence that the preliminary deposition of a PEDOT film favors an adequate deposition of a sterically bulky species as the ferrocenyl derivative here considered. On the other hand, N-ferrocenyl-3-(1H-pyrrol-1-yl)aniline has proved to allow good performances in terms of detection limit and sensitivity (54 μM and 112.2 μA/mM cm2, respectively) in detection of glucose. The sensor was finally tested in commercially available beverages (ice tea, lemonade, and milk samples), leading to an accurate detection of glucose concentration with relative error between 2.61 and 3.95% [114].
PEDOT has been modified performing its electrochemical synthesis on a glassy carbon electrode in an aqueous solution containing nano-sized hydroxyapatite bearing carboxyl substituents. Based on the reticular structure of the conducting polymer nanocomposite and of its high conductivity, the electrode was used as a sensor for the determination of nitrites in water, with a specific attention to ocean water samples. The amperometric response has proven to be satisfactory, in particular with regard to the detection limit (83 nM), reproducibility, and stability of the device [115].
Ionic liquids (ILs) have also been used in PEDOT-based nanocomposites to improve the catalytic performances of conducting polymers in sensing different analytes. These materials are of particular interest in a screen-printed electrode, due to the possibility to obtain thin films in a relatively easy way. In particular, a screen-printed carbon electrode was modified by drop-coating with a mixture of commercial PEDOT:PSS and 1-ethyl-3-methylimidazolium tetrafluoroborate IL, and optimization of the ratio CP/IL was investigated. The sensor was characterized by electrochemical and surface analysis techniques, then was applied to the amperometric detection of catechol in natural water samples. The main advantage of this sensor is due to the possibility to use it as disposable sensor, with adequate selectivity and sensitivity [116].
Due to their role in the nervous system of mammalians, neurotransmitters are a class of analytes of particular interest in sensing. Low levels in their concentration may cause diseases such as Parkinson’s and Alzheimer’s, as well as some types of cancer. Their determination is therefore of the utmost importance, and efficient, fast, and sensitive methods have been developed. In this context, electrochemical sensors may give a significant contribution. In this context, a PEDOT-based sensor has been developed for the detection of dopamine. The PEDOT structure was functionalized with a ferrocene substituent, thus including a redox mediator in the structure of the conducting polymer. An ITO electrode was modified, obtaining a stable and reproducible arrangement. Detection tests of dopamine were performed with a linear range between 0.01 and 0.9 mM, a sensitivity of 196 mA M−1 cm−2, and a LoD of 1 μM [117].
The determination of ascorbic acid is often subjected to interferences mainly from uric acid. Lowering the interferents’ undesired effects can be achieved using a proper modification of the electrode surface. With the aim of improving selectivity, PEDOT can be adequately functionalized or mixed with different materials. A quite simple but efficient functionalization is reported by Gros and coworkers [118], who developed an amperometric sensor by performing the electropolymerization of EDOT on a glassy carbon surface previously functionalized with a thiophenylbenzene diazonium layer. They observed that the optimum approach for satisfying analytical performances is obtained using the deposition of a diazonium layer in galvanostatic conditions and of PEDOT using cyclic voltammetry. The diazonium layer was proven to increase the stability of the sensor compared to PEDOT alone. Ascorbic and uric acids were determined with 250 mV of difference in potential value. Analytical performances in terms of sensitivity, detection limit, and linear range were comparable to the literature data. Lifetimes were also satisfactory.
A “molecularly imprinted polymer” approach was applied to detect lignin using a PEDOT-PAAT (AAT = 3-acetic acid thiophene) copolymer obtained using galvanostatic synthesis on a glassy carbon electrode from a dichloromethane solution containing 2,2′-methylene-bis-(2-methoxy-4-methylphenol) as a template, in addition to the monomers EDOT and AAT. The template was then washed off with a mixed MeOH:CH3COOH solvent, leading to the MIP-sensor. The detection of lignin was performed based on the cyclic voltametric response, choosing a potential value corresponding to the oxidation of phenolic groups of lignin (+0.88 V vs. Ag/AgCl). This approach allowed us to distinguish the differences in concentration of two magnitude orders, which are adequate for the object of the research aimed at lignin determination as an undesired product in the cellulose industry [119].
To modify a PEDOT structure and address its behavior against a specific analyte, it can be combined with a zeolitic framework. In particular, a carbon cloth electrode was coated with a composite material of molybdenum zeolitic imidazolate framework and PEDOT and used as an amperometric sensor for hydroxylamine. The zeolitic fragment has proved to be a main component to enhance selectivity towards amine molecules. The sensing of hydroxylamine was carried out with low interferences from several interfering species, and the sensor was tested in real samples (tap, ground, and drinking water). Stability, reproducibility, recovery, linear range, and detection limit were reported, suggesting the possibility of using metal-zeolitic materials in sensing applications [120].
The influence of buffer solutions (phosphate or citrate) was investigated in PEDOT:PSS hydrogels that were chemically synthetized [121]. A glassy carbon electrode was modified by the deposition of the hydrogel and, next, the immobilization of horseradish peroxidase in phosphate or citrate buffer solution using a Nafion-ethanol solution to enhance the stability of the enzyme on the sensor surface. The authors proved that the buffer nature influences the swelling of the hydrogel, affecting the performances of the device. The sensor was tested towards hydrogen peroxide, showing good features in the phosphate buffer arrangement (sensitivity 3.5 μA mM−1, linear range 0.4–10 mM, and detection limit 4.5 × 10−5 M).
In the field of electrochemical biosensors, direct electron transfer (DET) enzymes facilitate the direct detection of the target analyte (rather than a sub-product such as hydrogen peroxide) without an additional redox mediator. In this context, a DET enzyme (Lactazyme, a neutral lactase) has been recently proposed in the amperometry determination of L-lactate [122]. The sensor was prepared by mixing PEDOT:PSS with an enzyme solution and then anchoring the mixture on an electrode surface by cross-linking it with a hydrogel. A screen-printed carbon and a platinum-metallized epoxy microneedle were used as electrode surfaces. The biosensors showed good analytical performance, and were applied to the detection of lactate in blood and in interstitial dermal fluid, respectively.
4.2. Metal-Containing-PEDOT
An appealing way aimed to modify the structure and properties of the conducting polymer is by incorporating nanoparticles to increase the conductivity of the polymer film. For this purpose, silver nanoparticles are often used.
Regarding this, Chen and coworkers [123] report an amperometric sensor for NADH based on a Ag/PEDOTSDS (SDS = sodium dodecyl sulfate) film. The PEDOT film was formed on a glassy carbon electrode using cyclic voltammetry in an aqueous solution, and then modified by incorporating silver nanoparticles using a potentiostatic deposition. Afterwards, the negatively charged PEDOTSDS-nanoAg coating was functionalized by dipping it in a solution of positively charged Meldola Blue (MDB) acting as an efficient redox mediator (Figure 27). The obtained sensor shows a significative decrease of 650 mV in overpotential in the electrocatalytic oxidation of NADH, performing the electrochemical detection at −0.05 V vs. Ag/AgCl. Furthermore, a linear range between 10 and 560 μM and a detection limit of 0.1 μM is reported.
Figure 27.
Schematic structure of the GC/PEDOTSDS/MDB/nano-Ag sensor reported in ref. [123].
Composite materials containing PEDOT and metal nanoparticles were also obtained using electrochemical polymerization from an EDOT aqueous solution, including gold nanoclusters on a glassy carbon electrode. The sensor was used for the amperometric determination of nitrite in tap water [124]. The performances of this arrangement evidenced a good catalytic activity attributable to the gold nanoclusters, a low detection limit (17 nM), a wide linear range (0.05–2600 μM), and the absence of interferences like dopamine, ascorbic acid, and uric acid.
Silver nanoparticles were again used as a doping agent for PEDOT, casting a PEDOT:PSS properly modified using treatment with sulfuric acid on a glass substrate instead of a glassy carbon or ITO electrode. The authors note that this method can effectively determine nitrite [125], with a linear range of 0.5–3400 μM and a detection limit of 0.34 μM. These features are comparable to those obtained using sensors that use more expensive ITO or GC substrate. Furthermore, the sensor proposed proved to have an accuracy comparable with UV-Vis spectrophotometry and a significant absence of interferences.
The doping of PEDOT with metal-containing nanomaterials are often approached to customize the sensing properties. In a recent paper [126], MnO2 nanoflowers were added to an EDOT aqueous solution, and a potentiostatic polymerization on a glassy carbon electrode was performed. The MnO2-modified conducting film was applied in the amperometric detection of paracetamol. The thickness of the film (related to deposition times) and MnO2 concentration during the polymerization step, as well as the pH during the analytical determination of paracetamol, were optimized. The enhanced surface area deriving from the presence of the nanomaterial allowed us to obtain a good-performing sensor. Amperometric sensing of paracetamol was carried out at 0.45 V vs. SCE in phosphate buffer (pH 6.4), with a low detection limit (31 nM), linear range between 0.06 and 435 μM, and good accuracy and reproducibility. Moreover, the performances are comparable with those typical of the UV-Vis method.
Again, concerning enzymeless amperometric sensors based on PEDOT modified with metal nanoparticles, Yang et al. [127] report the use of copper nanoparticles in sensors for glucose. An EDOT solution containing phytic acid was polymerized using cyclic voltammetry on a glassy carbon electrode. The modified electrode was then immersed in a new solution containing CuSO4, and copper nanoparticles were deposited scanning the potential between −1.3 and 0.4 V (vs. SCE) for 12 cycles. Surface characterization showed a homogeneous nanostructure in the PEDOT/phytic acid substrate, suitable for the ordered allocation of copper nanoparticles. This structure showed a high catalytic activity for the amperometric detection of glucose, being careful to adopt the optimized experimental conditions in terms of thickness of the PEDOT/phytic acid film, the concentration of phytic acid, and the applied potential. Glucose detection was performed in an alkaline solution at 0.55 V, based on the oxidation of Cu(0) to Cu(II) and then to Cu(III), and finally the oxidation of glucose to glucolactone with a corresponding reduction Cu(III)→Cu(II). This sensor was tested in terms of linear range (5 μM–0.403 mM), sensitivity (79.27 μA μM−1 cm−1), and detection limit (0.278 μM), as well as its behavior towards interferences. In this last context, the authors proved that the sensor is highly specific in the detection of glucose. Finally, the PEDOT/Cu-nanoparticles sensor was applied to detection of glucose in human blood samples, showing good recoveries (97.6–103.3%).
A PEDOT:PSS/graphene composite has been reported for the electrochemical sensing of glucose and pH in a multifunctional approach [128]. The amperometric detection of glucose was performed by modifying the PEDOT-graphene substrate with platinum and palladium nanoparticles, whereas polyaniline was used as a modifying agent for pH detection. The device was tested in monitoring glucose and pH in human perspiration, and the results suggest an interesting application of these kinds of sensors in monitoring physiological parameters.
PEDOT-based organic electrochemical transistors were used in the amperometric detection of glucose and lactate. Glucose oxidase and lactate oxidase enzymes were immobilized in a Ni/Al-layered double hydroxide through electrodeposition using an optimal low amount of enzyme. This arrangement makes the sensor work with a linear range between 0.1 and 8.0 mM for glucose and between 0.05 and 8.0 mM for lactate, and a detection limit of 0.02 mM and 0.04 mM for glucose and lactate, respectively. The sensor proved to be adequate to the detection of glucose and lactate in real samples such as saliva, where typical concentrations are 0.1–0.5 mM for glucose and 0.1–2.5 mM for lactate [129].
Determination of ascorbic acid was also investigated with a PEDOT-based sensor modified with M hexacyanoferrate (M = Ni, Cu, Mn). In particular, PEDOT-Ni(hexacyanoferrate) and PEDOT-Cu(hexacyanoferrate) systems allowed us to determine ascorbic acid with a linear range up to two orders of magnitude (5 × 10−6–3 × 10−4 M and 1.8 × 10−3–1.8 × 10−2 M, respectively). Amperometric responses carried out at +0.6 V vs. Ag/AgCl showed that no interference arose from the presence of uric acid and dopamine [130].
Doping of PEDOT:PSS with ZnO was applied to the determination of a toxic compound such as hydrazine. The sensor was obtained using inkjet printing of a PEDOT:PSS/ZnO/Nafion mixture on a paper substrate, giving a low-cost and flexible device. ZnO catalyzes the oxidation of hydrazine, allowing for its amperometric detection with a satisfying sensitivity (0.14 μA μM−1 cm−2) and a linear range between 10 and 500 μM. The authors suggest that an analogue approach can be applied to the detection of other toxic compounds [131].
4.3. PEDOT-Carbonaceous Materials Composites
As evidenced previously in the present review, a useful modification of a conducting polymer structure can be obtained by incorporating different materials such as graphene oxide (GO). GO is used in composite materials containing CPs in sensors due to its ability to keep carbon sheet of the graphene structure well stacked, thus avoiding undesirable agglomeration of the carbon sheets. Furthermore, GO can easily be dispersed in aqueous solvents interacting with a few functional groups. To obtain PEDOT/GO hybrid films, an electrochemical polymerization is usually performed using cyclic voltammetry in a monomer (aqueous) solution containing dispersed GO. This approach was used by Lei, Hao, and coworkers [132] when developing a sensor where the PEDOT/GO composite was electrodeposited on a glassy carbon electrode. The GCE/PEDOT/GO sensor was applied to the electrochemical determination of hydroquinone and catechol, showing good electrocatalytic activity. The optimization of experimental conditions (pH, number of cycles in the polymerization step) allowed us to achieve wide linear ranges (2.5–200 μM for hydroquinone, 2–400 μM for catechol), a low detection limit (1.6 μM for both hydroquinone and catechol), and good reproducibility and stability.
Graphene oxide was used to dope PEDOT (electrochemically synthetized on a glassy carbon electrode) in sensors for ascorbic acid, dopamine, and uric acid. Linear ranges, detection limits, and selectivity evidenced that such a configuration can act as a good model system for the simultaneous detection of physiological analytes [133].
Composite materials containing PEDOT were investigated in association with nanomaterials to increase the sensibility and detection limits, and reduced graphene oxide and gold nanoparticles as modifying systems for electrode surfaces are widely used. In this context, a screen-printed gold electrode was modified by drop-casting a suspension containing a composite of PEDOT, reduced graphene oxide, and gold nanoparticles. Then, horseradish peroxidase (HRP) was immobilized on the electrode using a classical cross-linking approach. Finally, the biosensor was used in the amperometric detection of hydrogen peroxide in milk samples. This PEDOT-based biosensor showed high sensitivity, a wide linear range, a low detection limit, high stability, and low level of interferences [134].
An efficient approach in developing ready-to-use sensors is the screen-printed technology. For instance, a graphene-PEDOT:PSS solution was drop-coated on a screen-printed carbon electrode, and then glucose oxidase was immobilized on it by a classical cross-linking with glutaraldehyde. The analytical determination of glucose was carried out using chronoamperometry with an enhanced sensitivity (7.23 μA/mM) and detection limit (0.3 μM) compared to the analogue arrangement without graphene, as well as stability on the time scale of about 30 days [135].
Although a large part of the research on sensors is focused on biosensors, attention is also aimed at sensors containing a specific arrangement which does not include a biological element. In this context, hydroquinone is an analyte of interest; in fact, its use in some cosmetic products as bleaching agent is allowed only under medical supervision. Its determination was performed using DPV on a carbon paste electrode (CPE) modified by dropping a suspension of a mixture of chemically polymerized EDOT and carbon nanotube (CN). The catalytic activity of the PEDOT/CNT/CPE arrangement allows us to carry out the detection of hydroquinone at a potential value significantly lower than the bare CPE, with good analytical performances (LoD 0.3 μM, linear range from 1.1 to 125 μM) and high stability [136].
PEDOT was also used when combined to carbon nanotubes (CNTs) to obtain a so-called conducting paper electrode where a carcinoembryonic antibody monoclonal was immobilized through a classical EDC-NHS coupling approach. This amperometric sensor was tested to detect the corresponding antigen as a cancer biomarker, reaching a high sensitivity (7.8 μA ng−1 mL cm−2) in a concentration range between 2 and 15 ng mL−1, typical of the antigen in physiological conditions [137].
The use of nanomaterials in sensors is particularly appealing, often as doping components for a conducting polymer substrate. Nanocrystalline cellulose (NCC) was used as dopant for PEDOT, both in chemical and in electrochemical polymerization. Surface and FT-IR characterization of the chemical synthetized PEDOT/nanocellulose composite allowed us to confirm the incorporation of nanocellulose as a dopant in the PEDOT structure. On the other hand, the EIS investigation of the PEDOT/NCC/carbon paste electrode evidenced its enhanced charge transfer property compared to the analogous system without the nano component. The modified electrode was tested as a sensor for dopamine; its low detection limit (69 nM) makes it a promising candidate for an easy and low-cost sensor [138].
The presence of nitrite is often investigated because of its hazardousness for human health due to its ability to react with amines, leading to nitrosamines (well known as carcinogenic substances), as well as with hemoglobin, causing hypoxia of tissues. Nitrites’ determination has been carried out with a modified glassy carbon electrode, on which an aqueous solution containing EDOT and carbon quantum dots was polymerized using chronoamperometry. The determination of nitrites was performed in a phosphate buffer (pH 7.4). The assembly of the sensor surface, where quantum dots are uniformly distributed in the conducting polymer structure, led to a device with good analytical performances in terms of linear range and detection limit, and which is improvable with regard to sensitivity [139].
5. Conclusions
Although polypyrrole, polythiophene, and PEDOT are among the most investigated in the class of conducting polymers, they are still of wide use in the field of amperometric sensors. Indeed, a crossed inquiry in common research engines from 2010 to date gave us a result 130 scientific articles including the use of PPy, PTh, and PEDOT in this context (Chart 1). Their structural features join to the possibility of mixing with different materials able to enhance their conductivity, therefore improving the analytical performances of the resulting sensors. The selected examples in this review demonstrate the diverse use of conducting polymers (CPs) in amperometric sensors, ranging from straightforward to more complex configurations. From a general point of view, the primary objective of modifying the base structure of a polymer film is to enhance its electron transfer and catalytic activity. This enhancement is often achieved by incorporating metal nanoparticles and carbon nanomaterials, such as nanotubes and graphene oxides, into the sensor design. However, simple modifications to the polymer structure itself, such as the overoxidation of pyrrole, can also impart desirable features like selectivity. Moreover, ensuring the stability of the sensor is crucial, particularly in the field of biosensors, where the efficient immobilization of enzymes significantly influences the analytical performance of the device. Excellent stability has been achieved through appropriate functionalization of polythiophene films by means of the formation of a covalent bond between the enzyme and the polymer chain. Furthermore, solubility of the monomer in water is a pivotal requisite in some cases. In this context, pyrrole and EDOT are favored over thiophene as starting materials for amperometric sensors.
Chart 1.
Distribution of scientific articles regarding the use of PPy, PTh, and PEDOT in amperometric sensors from 2010 to date.
Furthermore, their design flexibility allows these materials to be used in the detection of different organic and inorganic analytes. The widest applications of CP-based amperometric sensors are surely towards hydrogen peroxide and glucose. However, further classes of analytes have been explored, including neurotransmitters, alcohols, drugs, potentially toxic chemical species, and cancer cells. In a few cases, a lack of rigor is noticed about analytical data (LoD values equal to the lower limit of the linear range, or the lower limit of the linear range equal to zero). However, the range of potential analytes can be surely increased, mainly regarding health and environment contexts. Also, the choice of materials that can be combined to CPs to improve the analytical efficiency of the sensors can be extended. Good results are usually reported in regard to sensitivity, detection limit, and linearity range. Specific attention can be aimed at designing sensors that are ever more stable and reproducible.
Funding
This research received no external funding.
Institutional Review Board Statement
Not applicable.
Informed Consent Statement
Not applicable.
Conflicts of Interest
The authors declare no conflicts of interest.
List of Acronyms
| BSA | bovine serum albumin |
| CMC | 1-cyclohexyl-3-(2-morpholinoethyl)-carbodiimide metho-p-toluenesulfonate (see the details in the text for different meanings) |
| CNT | carbon nanotubes |
| CP | conducting polymer |
| EDOT | 3,4-ethylenedioxythiophene |
| GC/GCE | glassy carbon electrode |
| GO/rGO | graphene oxide/reduced graphene oxide |
| GOx | glucose oxidase |
| Lox | lactate oxidase |
| MIP | molecularly imprinted polymer |
| MOF | metal-organic framework |
| MWCNT | multiwalled carbon nanotubes |
| NADH | reduced nicotinamide adenine dinucleotide |
| NP | nanoparticle |
| NPT | nanoplate |
| NW | nanowire |
| Py | pyrrole |
| SDS | sodium dodecyl sulphate |
| SPE | screen-printed electrode |
| Th | thiophene |
| XOD | xanthine oxidase |
References
- IUPAC Compendium of Chemical Terminology Gold Book; Version 2.3.3. 2014. Available online: https://old.goldbook.iupac.org/pdf/goldbook.pdf (accessed on 9 May 2024).
- Hong, X.; Liu, Y.; Li, Y.; Wang, X.; Fu, J.; Wang, X. Application Progress of Polyaniline, Polypyrrole and Polythiophene in Lithium-Sulfur Batteries Xiaodong. Polymers 2020, 12, 331. [Google Scholar] [CrossRef]
- Kondratiev, V.V.; Holze, R. Intrinsically conducting polymers and their combinations with redox-active molecules for rechargeable battery electrodes: An update. Chem. Pap. 2021, 75, 4981–5007. [Google Scholar] [CrossRef]
- Bhosale, M.E.; Chae, S.; Kim, J.M.; Choi, J.Y. Organic small molecules and polymers as an electrode material for rechargeable lithium ion batteries. J. Mater. Chem. A 2018, 6, 19885–19911. [Google Scholar] [CrossRef]
- Jiang, Y.; Liu, T.; Zhou, Y. Recent Advances of Synthesis, Properties, Film Fabrication Methods, Modifications of Poly(3,4-ethylenedioxythiophene), and Applications in Solution-Processed Photovoltaics. Adv. Funct. Mater. 2020, 30, 2006213. [Google Scholar] [CrossRef]
- Saranya, K.; Rameez, M.; Subramania, A. Developments in conducting polymer based counter electrodes for dye-sensitized solar cells—An overview. Eur. Polym. J. 2015, 66, 207–227. [Google Scholar] [CrossRef]
- Manca, P.; Pilo, M.I.; Sanna, G.; Bergamini, G.; Ceroni, P.; Boaretto, R.; Caramori, S. Heteroleptic Ru (II)-terpyridine complex and its metal-containing conducting polymer: Synthesis and characterization. Synth. Met. 2015, 200, 109–116. [Google Scholar] [CrossRef]
- Bergamini, G.; Boselli, L.; Ceroni, P.; Manca, P.; Sanna, G.; Pilo, M. Terthiophene appended with terpyridine units as receptors for Protons and Zn2+ ions: Photoinduced energy and electron transfer processes. Eur. J. Inorg. Chem. 2011, 2011, 4590–4595. [Google Scholar] [CrossRef]
- Logothetidis, S. Flexible organic electronic devices: Materials, process and applications. Mater. Sci. Eng. B Solid-State Mater. Adv. Technol. 2008, 152, 96–104. [Google Scholar] [CrossRef]
- Roncali, J. Molecular engineering of the band gap of π-conjugated systems: Facing technological applications. Macromol. Rapid Commun. 2007, 28, 1761–1775. [Google Scholar] [CrossRef]
- Saito, Y.; Azechi, T.; Kitamura, T.; Hasegawa, Y.; Wada, Y.; Yanagida, S. Photo-sensitizing ruthenium complexes for solid state dye solar cells in combination with conducting polymers as hole conductors. Coord. Chem. Rev. 2004, 248, 1469–1478. [Google Scholar] [CrossRef]
- Ning, C.; Zhou, Z.; Tan, G.; Zhu, Y.; Mao, C. Electroactive polymers for tissue regeneration: Developments and perspectives. Prog. Polym. Sci. 2018, 81, 144–162. [Google Scholar] [CrossRef]
- Stejskal, J.; Sapurina, I.; Vilčáková, J.; Humpolíček, P.; Truong, T.H.; Shishov, M.A.; Trchová, M.; Kopecký, D.; Kolská, Z.; Prokeš, J.; et al. Conducting polypyrrole-coated macroporous melamine sponges: A simple toy or an advanced material? Chem. Pap. 2021, 75, 5035–5055. [Google Scholar] [CrossRef]
- Dzulkurnain, N.A.; Mokhtar, M.; Rashid, J.I.A.; Knight, V.F.; Wan Yunus, W.M.Z.; Ong, K.K.; Mohd Kasim, N.A.; Mohd Noor, S.A. A review on impedimetric and voltammetric analysis based on polypyrrole conducting polymers for electrochemical sensing applications. Polymers 2021, 13, 2728. [Google Scholar] [CrossRef]
- Lu, H.; Li, X.; Lei, Q. Conjugated Conductive Polymer Materials and its Applications: A Mini-Review. Front. Chem. 2021, 9, 6–11. [Google Scholar] [CrossRef]
- Meloni, F.; Pilo, M.I.; Sanna, G.; Spano, N.; Zucca, A. Ru(terpy)-Based Conducting Polymer in Electrochemical Biosensing of Epinephrine. Appl. Sci. 2021, 11, 2065. [Google Scholar] [CrossRef]
- Meloni, F.; Spychalska, K.; Zając, D.; Pilo, M.I.; Zucca, A.; Cabaj, J. Application of a Thiadiazole-derivative in a Tyrosinase-based Amperometric Biosensor for Epinephrine Detection. Electroanalysis 2021, 33, 1639–1645. [Google Scholar] [CrossRef]
- Pilo, M.; Farre, R.; Lachowicz, J.I.; Masolo, E.; Panzanelli, A.; Sanna, G.; Senes, N.; Sobral, A.; Spano, N. Design of Amperometric Biosensors for the Detection of Glucose Prepared by Immobilization of Glucose Oxidase on Conducting (Poly)Thiophene Films. J. Anal. Methods Chem. 2018, 2018, 1849439. [Google Scholar] [CrossRef]
- Ramanavicius, S.; Ramanavicius, A. Conducting polymers in the design of biosensors and biofuel cells. Polymers 2021, 13, 49. [Google Scholar] [CrossRef]
- Baluta, S.; Meloni, F.; Halicka, K.; Szyszka, A.; Zucca, A.; Pilo, M.I.; Cabaj, J. Differential pulse voltammetry and chronoamperometry as analytical tools for epinephrine detection using a tyrosinase-based electrochemical biosensor. RSC Adv. 2022, 12, 25342–25353. [Google Scholar] [CrossRef]
- Pilo, M.I.; Baluta, S.; Loria, A.C.; Sanna, G.; Spano, N. Poly(Thiophene)/Graphene Oxide-Modified Electrodes for Amperometric Glucose Biosensing. Nanomaterials 2022, 12, 2840. [Google Scholar] [CrossRef]
- Lange, U.; Roznyatovskaya, N.V.; Mirsky, V.M. Conducting polymers in chemical sensors and arrays. Anal. Chim. Acta 2008, 614, 1–26. [Google Scholar] [CrossRef]
- Cosnier, S.; Holzinger, M. Electrosynthesized polymers for biosensing. Chem. Soc. Rev. 2011, 40, 2146–2156. [Google Scholar] [CrossRef]
- Inzelt, G. Conducting Polymers A New Era in Electrochemistry, 2nd ed.; Springer: Berlin/Heidelberg, Germany, 2012; ISBN 978-3-642-27621-7. [Google Scholar]
- Alnuwaiser, M.A.; Rabia, M. Simple potentiometry and cyclic voltammetry techniques for sensing Hg2+ ions in water using a promising flower-shaped WS2-WO3/poly-2-aminobenzene-1-thiol nanocomposite thin film electrode. RSC Adv. 2024, 14, 3878–3887. [Google Scholar] [CrossRef] [PubMed]
- Yalcin, B.; Coldur, F.; Caglar, B.; Topcu, C. A PVC-Membrane Cationic Surfactant Sensitive Potentiometric Sensor: Potentiometric Determination of Dodecyltrimethyl Ammonium Ion. ChemistrySelect 2023, 8, e202302187. [Google Scholar] [CrossRef]
- Toniolo, R.; Dossi, N.; Giannilivigni, E.; Fattori, A.; Svigelj, R.; Bontempelli, G.; Giacomino, A.; Daniele, S. Modified Screen Printed Electrode Suitable for Electrochemical Measurements in Gas Phase. Anal. Chem. 2020, 92, 3689–3696. [Google Scholar] [CrossRef] [PubMed]
- Svigelj, R.; Dossi, N.; Grazioli, C.; Toniolo, R. Paper-based aptamer-antibody biosensor for gluten detection in a deep eutectic solvent (DES). Anal. Bioanal. Chem. 2022, 414, 3341–3348. [Google Scholar] [CrossRef]
- Svigelj, R.; Zuliani, I.; Grazioli, C.; Dossi, N.; Toniolo, R. An Effective Label-Free Electrochemical Aptasensor Based on Gold Nanoparticles for Gluten Detection. Nanomaterials 2022, 12, 987. [Google Scholar] [CrossRef]
- Almehizia, A.A.; Naglah, A.M.; Alanazi, M.G.; El-Galil, E.; Amr, A.; Kamel, A.H. Potentiometric planar platforms modified with a multiwalled carbon nanotube/polyaniline nanocomposite and based on imprinted polymers for erythromycin assessment. RSC Adv. 2023, 13, 35926–35936. [Google Scholar] [CrossRef]
- Wang, K.; Liang, R.; Qin, W. Thin membrane-based potentiometric sensors for sensitive detection of polyions. Anal. Methods 2022, 14, 4008–4013. [Google Scholar] [CrossRef] [PubMed]
- Demkiv, O.; Nogala, W.; Stasyuk, N.; Klepach, H.; Danysh, T.; Gonchar, M. Highly sensitive amperometric sensors based on laccase-mimetic nanozymes for the detection of dopamine. RSC Adv. 2024, 14, 5472–5478. [Google Scholar] [CrossRef] [PubMed]
- Jayaraman, S.; Rajarathinam, T.; Jang, H.G.; Thirumalai, D.; Lee, J.; Paik, H.J.; Chang, S.C. Ruthenium-Anchored Carbon Sphere-Customized Sensor for the Selective Amperometric Detection of Melatonin. Biosensors 2023, 13, 936. [Google Scholar] [CrossRef]
- Marco, A.; Canals, A.; Morallón, E.; Aguirre, M.Á. Electrochemical Sensor for the Determination of Methylthiouracil in Meat Samples. Sensors 2022, 22, 8842. [Google Scholar] [CrossRef]
- Gričar, E.; Kalcher, K.; Genorio, B.; Kolar, M. Highly sensitive amperometric detection of hydrogen peroxide in saliva based on n-doped graphene nanoribbons and mno2 modified carbon paste electrodes. Sensors 2021, 21, 8301. [Google Scholar] [CrossRef]
- Caetano, K.d.S.; Lieberknecht, G.; Benvenutti, E.V.; Pereira, M.B.; Hinrichs, R.; Hertz, P.F.; Rodrigues, R.C.; de Menezes, E.W.; Arenas, L.T.; Costa, T.M.H. Sol-gel immobilization of lipase enzyme on FTO modified with silica-zirconia and gold nanoparticles films for design of triglyceride impedimetric biosensor. Electrochim. Acta 2024, 483, 143997. [Google Scholar] [CrossRef]
- Feroze, M.T.; Doonyapisut, D.; Gudal, C.C.; Kim, B.; Chung, C.H. Impedimetric sensing platform for sensitive carbendazim detection using MOCVD-synthesized copper graphene. Microchim. Acta 2023, 190, 489. [Google Scholar] [CrossRef]
- Magar, H.S.; Hassan, R.Y.A.; Mulchandani, A. Electrochemical impedance spectroscopy (EIS): Principles, construction, and biosensing applications. Sensors 2021, 21, 6578. [Google Scholar] [CrossRef]
- Hulanicki, A.; Głab, S.; Ingman, F. Chemical Sensors. Definitions and Classification. Pure Appl. Chem. 1991, 63, 1247–1250. [Google Scholar]
- Clark, L.C.; Lyons, C. Electrode systems for continuous monitoring in cardiovascular surgery. Ann. N. Y. Acad. Sci. 1962, 102, 29–45. [Google Scholar] [CrossRef]
- Debiemme-Chouvy, C. A very thin overoxidized polypyrrole membrane as coating for fast time response and selective H2O2 amperometric sensor. Biosens. Bioelectron. 2010, 25, 2454–2457. [Google Scholar] [CrossRef]
- Kan, X.; Xing, Z.; Zhu, A.; Zhao, Z.; Xu, G.; Li, C.; Zhou, H. Molecularly imprinted polymers based electrochemical sensor for bovine hemoglobin recognition. Sens. Actuators B Chem. 2012, 168, 395–401. [Google Scholar] [CrossRef]
- Deore, B.; Chen, Z.; Nagaoka, T. Potential-induced enantioselective uptake of amino acid into molecularly imprinted overoxidized polypyrrole. Anal. Chem. 2000, 72, 3989–3994. [Google Scholar] [CrossRef]
- Ramanavičius, A.; Ramanavičiene, A.; Malinauskas, A. Electrochemical sensors based on conducting polymer-polypyrrole. Electrochim. Acta 2006, 51, 6025–6037. [Google Scholar] [CrossRef]
- Turco, A.; Corvaglia, S.; Mazzotta, E. Electrochemical sensor for sulfadimethoxine based on molecularly imprinted polypyrrole: Study of imprinting parameters. Biosens. Bioelectron. 2015, 63, 240–247. [Google Scholar] [CrossRef]
- Han, X.; Zhu, Y.; Yang, X.; Luan, S. In situ polymerization of pyrrole in mesoporous silica and application to electrode modification. Int. J. Polym. Anal. Charact. 2010, 15, 155–165. [Google Scholar] [CrossRef]
- Yildiz, H.B.; Demirkol, D.O.; Sayin, S.; Yilmaz, M.; Koysuren, O.; Kamaci, M. New amperometric cholesterol biosensors using poly(ethyleneoxide) conducting polymers. J. Macromol. Sci. Part A Pure Appl. Chem. 2013, 50, 1075–1084. [Google Scholar] [CrossRef]
- Baur, J.; Holzinger, M.; Gondran, C.; Cosnier, S. Immobilization of biotinylated biomolecules onto electropolymerized poly(pyrrole-nitrilotriacetic acid)-Cu2+ film. Electrochem. Commun. 2010, 12, 1287–1290. [Google Scholar] [CrossRef]
- Şenel, M. Construction of reagentless glucose biosensor based on ferrocene conjugated polypyrrole. Synth. Met. 2011, 161, 1861–1868. [Google Scholar] [CrossRef]
- Palomera, N.; Vera, J.L.; Meléndez, E.; Ramirez-Vick, J.E.; Tomar, M.S.; Arya, S.K.; Singh, S.P. Redox active poly(pyrrole-N-ferrocene-pyrrole) copolymer based mediator-less biosensors. J. Electroanal. Chem. 2011, 658, 33–37. [Google Scholar] [CrossRef]
- Kausaite-Minkstimiene, A.; Mazeiko, V.; Ramanaviciene, A.; Ramanavicius, A. Evaluation of amperometric glucose biosensors based on glucose oxidase encapsulated within enzymatically synthesized polyaniline and polypyrrole. Sens. Actuators B Chem. 2011, 158, 278–285. [Google Scholar] [CrossRef]
- Apetrei, R.M.; Cârâc, G.; Bahrim, G.; Camurlu, P. Sensitivity enhancement for microbial biosensors through cell Self-Coating with polypyrrole. Int. J. Polym. Mater. Polym. Biomater. 2019, 68, 1058–1067. [Google Scholar] [CrossRef]
- Şenel, M.; Nergiz, C. Development of a novel amperometric glucose biosensor based on copolymer of pyrrole-PAMAM dendrimers. Synth. Met. 2012, 162, 688–694. [Google Scholar] [CrossRef]
- Lawal, A.T.; Adeloju, S.B. Polypyrrole based amperometric and potentiometric phosphate biosensors: A comparative study B. Biosens. Bioelectron. 2013, 40, 377–384. [Google Scholar] [CrossRef]
- Zavar, M.H.A.; Heydari, S.; Rounaghi, G.H. Electrochemical Determination of Salicylic Acid at a New Biosensor Based on Polypyrrole-Banana Tissue Composite. Arab. J. Sci. Eng. 2013, 38, 29–36. [Google Scholar] [CrossRef]
- Mondal, S.; Sangaranarayanan, M.V. A novel non-enzymatic sensor for urea using a polypyrrole-coated platinum electrode. Sens. Actuators B Chem. 2013, 177, 478–486. [Google Scholar] [CrossRef]
- Dutta, R.; Puzari, P. Amperometric biosensing of organophosphate and organocarbamate pesticides utilizing polypyrrole entrapped acetylcholinesterase electrode. Biosens. Bioelectron. 2014, 52, 166–172. [Google Scholar] [CrossRef]
- Yang, Y.; Asiri, A.M.; Du, D.; Lin, Y. Acetylcholinesterase biosensor based on a gold nanoparticle-polypyrrole-reduced graphene oxide nanocomposite modified electrode for the amperometric detection of organophosphorus pesticides. Analyst 2014, 139, 3055–3060. [Google Scholar] [CrossRef]
- Ng, S.R.; Pang, H.; Chen, P.; Li, C.M.; O’Hare, D. A Novel Electroactive Polymer for pH-independent Oxygen Sensing. Electroanalysis 2015, 27, 2745–2752. [Google Scholar] [CrossRef]
- Wajs, E.; Fernández, N.; Fragoso, A. Supramolecular biosensors based on electropolymerised pyrrole-cyclodextrin modified surfaces for antibody detection. Analyst 2016, 141, 3274–3279. [Google Scholar] [CrossRef]
- Jolly, P.; Miodek, A.; Yang, D.K.; Chen, L.C.; Lloyd, M.D.; Estrela, P. Electro-Engineered Polymeric Films for the Development of Sensitive Aptasensors for Prostate Cancer Marker Detection. ACS Sens. 2016, 1, 1308–1314. [Google Scholar] [CrossRef]
- Zhang, W.; Fan, S.; Li, X.; Liu, S.; Duan, D.; Leng, L.; Cui, C.; Zhang, Y.; Qu, L. Electrochemical determination of lead(II) and copper(II) by using phytic acid and polypyrrole functionalized metal-organic frameworks. Microchim. Acta 2020, 187, 69. [Google Scholar] [CrossRef]
- Anwar, N.; Vagin, M.; Laffir, F.; Armstrong, G.; Dickinson, C.; McCormac, T. Transition metal ion-substituted polyoxometalates entrapped in polypyrrole as an electrochemical sensor for hydrogen peroxide. Analyst 2012, 137, 624–630. [Google Scholar] [CrossRef]
- Lu, X.; Li, Y.; Zhang, X.; Du, J.; Zhou, X.; Xue, Z.; Liu, X. A simple and an efficient strategy to synthesize multi-component nanocomposites for biosensor applications. Anal. Chim. Acta 2012, 711, 40–45. [Google Scholar] [CrossRef]
- Ding, J.; Zhang, K.; Wei, G.; Su, Z. Fabrication of polypyrrole nanoplates decorated with silver and gold nanoparticles for sensor applications. RSC Adv. 2015, 5, 69745–69752. [Google Scholar] [CrossRef]
- Yang, Z.; Zhang, C.; Zhang, J.; Huang, L. Development of magnetic single-enzyme nanoparticles aselectrochemical sensor for glucose determination. Electrochim. Acta 2013, 111, 25–30. [Google Scholar] [CrossRef]
- Hou, C.; Zhao, D.; Wang, Y.; Zhang, S.; Li, S. Preparation of magnetic Fe3O4/PPy@ZIF-8 nanocomposite for glucose oxidase immobilization and used as glucose electrochemical biosensor. J. Electroanal. Chem. 2018, 822, 50–56. [Google Scholar] [CrossRef]
- Shahnavaz, Z.; Lorestani, F.; Alias, Y.; Woi, P.M. Polypyrrole-ZnFe 2 O 4 magnetic nano-composite with core-shell structure for glucose sensing. Appl. Surf. Sci. 2014, 317, 622–629. [Google Scholar] [CrossRef]
- Shahnavaz, Z.; Lorestani, F.; Meng, W.P.; Alias, Y. Core-shell–CuFe2O4/PPy nanocomposite enzyme-free sensor for detection of glucose. J. Solid State Electrochem. 2015, 19, 1223–1233. [Google Scholar] [CrossRef]
- Oliveira, M.R.F.; Herrasti, P.; Furtado, R.F.; Melo, A.M.A.; Alves, C.R. Polymeric Composite including Magnetite Nanoparticles for Hydrogen Peroxide Detection. Chemosensors 2023, 11, 323. [Google Scholar] [CrossRef]
- Wang, H.; Ma, Z. A cascade reaction signal-amplified amperometric immunosensor platform for ultrasensitive detection of tumour marker. Sens. Actuators B Chem. 2018, 254, 642–647. [Google Scholar] [CrossRef]
- Sahyar, B.Y.; Kaplan, M.; Ozsoz, M.; Celik, E.; Otles, S. Electrochemical xanthine detection by enzymatic method based on Ag doped ZnO nanoparticles by using polypyrrole. Bioelectrochemistry 2019, 130, 107327. [Google Scholar] [CrossRef]
- Alrashidi, A.; El-Sherif, A.M.; Ahmed, J.; Faisal, M.; Alsaiari, M.; Algethami, J.S.; Moustafa, M.I.; Abahussain, A.A.M.; Harraz, F.A. A Sensitive Hydroquinone Amperometric Sensor Based on a Novel Palladium Nanoparticle/Porous Silicon/Polypyrrole-Carbon Black Nanocomposite. Biosensors 2023, 13, 178. [Google Scholar] [CrossRef] [PubMed]
- Zhang, B.L.; Yang, Y.; Zhao, Z.Q.; Guo, X.D. A gold nanoparticles deposited polymer microneedle enzymatic biosensor for glucose sensing. Electrochim. Acta 2020, 358, 136917. [Google Scholar] [CrossRef]
- Kamal Ahmed, R.; Saad, E.M.; Fahmy, H.M.; El Nashar, R.M. Design and application of molecularly imprinted Polypyrrole/Platinum nanoparticles modified platinum sensor for the electrochemical detection of Vardenafil. Microchem. J. 2021, 171, 106771. [Google Scholar] [CrossRef]
- Ding, S.N.; Chen, J.F.; Xia, J.; Wang, Y.H.; Cosnier, S. Voltammetric detection of heparin based on anion exchange at electropolymeric film of pyrrole-alkylammonium cationic surfactant and MWCNTs composite. Electrochem. Commun. 2013, 34, 339–343. [Google Scholar] [CrossRef]
- Grijalva-Bustamante, G.A.; Evans-Villegas, A.G.; Del Castillo-Castro, T.; Castillo-Ortega, M.M.; Cruz-Silva, R.; Huerta, F.; Morallón, E. Enzyme mediated synthesis of polypyrrole in the presence of chondroitin sulfate and redox mediators of natural origin. Mater. Sci. Eng. C 2016, 63, 650–656. [Google Scholar] [CrossRef]
- Shahrokhian, S.; Kamalzadeh, Z.; Saberi, R.S. Application of glassy carbon electrode modified with a bilayer of multiwalled carbon nanotube and polypyrrole doped with Nitrazine Yellow for voltammetric determination of naltrexone. Electroanalysis 2011, 23, 2925–2934. [Google Scholar] [CrossRef]
- Choi, Y.M.; Lim, H.; Lee, H.N.; Park, Y.M.; Park, J.S.; Kim, H.J. Selective Nonenzymatic Amperometric Detection of Lactic Acid in Human Sweat Utilizing a Multi-Walled Carbon Nanotube (MWCNT)-Polypyrrole Core-Shell Nanowire. Biosensors 2020, 10, 111. [Google Scholar] [CrossRef]
- Beluomini, M.A.; da Silva, J.L.; Stradiotto, N.R. Amperometric determination of myo-inositol by using a glassy carbon electrode modified with molecularly imprinted polypyrrole, reduced graphene oxide and nickel nanoparticles. Microchim. Acta 2018, 185, 170. [Google Scholar] [CrossRef] [PubMed]
- Yu, H.; Jian, X.; Jin, J.; Zheng, X.C.; Liu, R.T.; Qi, G.C. Nonenzymatic sensing of glucose using a carbon ceramic electrode modified with a composite film made from copper oxide, overoxidized polypyrrole and multi-walled carbon nanotubes. Microchim. Acta 2015, 182, 157–165. [Google Scholar] [CrossRef]
- Turco, A.; Corvaglia, S.; Pompa, P.P.; Malitesta, C. An innovative and simple all electrochemical approach to functionalize electrodes with a carbon nanotubes/polypyrrole molecularly imprinted nanocomposite and its application for sulfamethoxazole analysis. J. Colloid Interface Sci. 2021, 599, 676–685. [Google Scholar] [CrossRef]
- Chen, X.; Li, D.; Ma, W.; Yang, T.; Zhang, Y.; Zhang, D. Preparation of a glassy carbon electrode modified with reduced graphene oxide and overoxidized electropolymerized polypyrrole, and its application to the determination of dopamine in the presence of ascorbic acid and uric acid. Microchim. Acta 2019, 186, 407. [Google Scholar] [CrossRef] [PubMed]
- Şenel, M.; Dervisevic, M.; Çevik, E. A novel amperometric glucose biosensor based on reconstitution of glucose oxidase on thiophene-3-boronic acid polymer layer. Curr. Appl. Phys. 2013, 13, 1199–1204. [Google Scholar] [CrossRef]
- Ucan, D.; Kanik, F.E.; Karatas, Y.; Toppare, L. Synthesis and characterization of a novel polyphosphazene and its application to biosensor in combination with a conducting polymer. Sens. Actuators B Chem. 2014, 201, 545–554. [Google Scholar] [CrossRef]
- Ayranci, R.; Demirkol, D.O.; Ak, M.; Timur, S. Ferrocene-functionalized 4-(2,5-Di(thiophen-2-yl)-1H-pyrrol-1-yl)aniline: A novel design in conducting polymer-based electrochemical biosensors. Sensors 2015, 15, 1389–1403. [Google Scholar] [CrossRef] [PubMed]
- Sethuraman, V.; Muthuraja, P.; Sethupathy, M.; Manisankar, P. Development of biosensor for catechol using electrosynthesized poly(3-methylthiophene) and incorporation of LAC simultaneously. Electroanalysis 2014, 26, 1958–1965. [Google Scholar] [CrossRef]
- Gokoglan, T.C.; Soylemez, S.; Kesik, M.; Toksabay, S.; Toppare, L. Selenium containing conducting polymer based pyranose oxidase biosensor for glucose detection. Food Chem. 2015, 172, 219–224. [Google Scholar] [CrossRef]
- Soganci, T.; Soyleyici, H.C.; Demirkol, D.O.; Ak, M.; Timur, S. Use of Super-Structural Conducting Polymer as Functional Immobilization Matrix in Biosensor Design. J. Electrochem. Soc. 2018, 165, B22–B26. [Google Scholar] [CrossRef]
- Wang, Y.; Wang, W.; Wang, S.; Chu, W.; Wei, T.; Tao, H.; Zhang, C.; Sun, Y. Enhanced photoelectrochemical detection of l-cysteine based on the ultrathin polythiophene layer sensitized anatase TiO2 on F-doped tin oxide substrates. Sens. Actuators B Chem. 2016, 232, 448–453. [Google Scholar] [CrossRef]
- Lee, W.C.; Kim, K.B.; Gurudatt, N.G.; Hussain, K.K.; Choi, C.S.; Park, D.S.; Shim, Y.B. Comparison of enzymatic and non-enzymatic glucose sensors based on hierarchical Au-Ni alloy with conductive polymer. Biosens. Bioelectron. 2019, 130, 48–54. [Google Scholar] [CrossRef]
- Soylemez, S.; Goker, S.; Toppare, L. A promising enzyme anchoring probe for selective ethanol sensing in beverages. Int. J. Biol. Macromol. 2019, 133, 1228–1235. [Google Scholar] [CrossRef]
- Hussain, K.K.; Gurudatt, N.G.; Akthar, M.H.; Seo, K.D.; Park, D.S.; Shim, Y.B. Nano-biosensor for the in vitro lactate detection using bi-functionalized conducting polymer/N, S-doped carbon; the effect of αCHC inhibitor on lactate level in cancer cell lines. Biosens. Bioelectron. 2020, 155, 112094. [Google Scholar] [CrossRef] [PubMed]
- Kim, D.M.; Rahmanb, M.A.; Do, M.H.; Ban, C.; Shim, Y.B. An amperometric chloramphenicol immunosensor based on cadmium sulfide nanoparticles modified-dendrimer bonded conducting polymer. Biosens. Bioelectron. 2010, 25, 1781–1788. [Google Scholar] [CrossRef] [PubMed]
- Zhu, Y.; Son, J.I.; Shim, Y.B. Amplification strategy based on gold nanoparticle-decorated carbon nanotubes for neomycin immunosensors. Biosens. Bioelectron. 2010, 26, 1002–1008. [Google Scholar] [CrossRef] [PubMed]
- Zhang, O.; Yu, H.M.; Lu, L.M.; Wen, Y.P.; Duan, X.M.; Xu, J.K. Poly(thiophene-3-acetic acid)-palladium nanoparticle composite modified electrodes for supersensitive determination of hydrazine. Chin. J. Polym. Sci. 2013, 31, 419–426. [Google Scholar] [CrossRef]
- Kim, D.M.; Shim, Y.B. Disposable amperometric glycated hemoglobin sensor for the finger prick blood test. Anal. Chem. 2013, 85, 6536–6543. [Google Scholar] [CrossRef] [PubMed]
- Turan, J.; Kesik, M.; Soylemez, S.; Goker, S.; Coskun, S.; Unalan, H.E.; Toppare, L. An effective surface design based on a conjugated polymer and silver nanowires for the detection of paraoxon in tap water and milk. Sens. Actuators B Chem. 2016, 228, 278–286. [Google Scholar] [CrossRef]
- Pallela, R.; Chandra, P.; Noh, H.B.; Shim, Y.B. An amperometric nanobiosensor using a biocompatible conjugate for early detection of metastatic cancer cells in biological fluid. Biosens. Bioelectron. 2016, 85, 883–890. [Google Scholar] [CrossRef]
- Hussain, K.K.; Gurudatt, N.G.; Mir, T.A.; Shim, Y.B. Amperometric sensing of HIF1α expressed in cancer cells and the effect of hypoxic mimicking agents. Biosens. Bioelectron. 2016, 83, 312–318. [Google Scholar] [CrossRef] [PubMed]
- Akhtar, M.H.; Hussain, K.K.; Gurudatt, N.G.; Shim, Y.B. Detection of Ca2+-induced acetylcholine released from leukemic T-cells using an amperometric microfluidic sensor. Biosens. Bioelectron. 2017, 98, 364–370. [Google Scholar] [CrossRef]
- Chung, S.; Hwang, B.Y.; Naveen, M.H.; Shim, Y.B. Detection of Rocuronium in Whole Blood Using a Lipid-bonded Conducting Polymer and Porous Carbon Composite Electrode. Electroanalysis 2018, 30, 1425–1431. [Google Scholar] [CrossRef]
- Rashed, M.A.; Ahmed, J.; Faisal, M.; Alsareii, S.A.; Jalalah, M.; Tirth, V.; Harraz, F.A. Surface modification of CuO nanoparticles with conducting polythiophene as a non-enzymatic amperometric sensor for sensitive and selective determination of hydrogen peroxide. Surf. Interfaces 2022, 31, 101998. [Google Scholar] [CrossRef]
- Pang, X.; Imin, P.; Zhitomirsky, I.; Adronov, A. Conjugated polyelectrolyte complexes with single-walled carbon nanotubes for amperometric detection of glucose with inherent anti-interference properties. J. Mater. Chem. 2012, 22, 9147–9154. [Google Scholar] [CrossRef]
- Demirci Uzun, S.; Kayaci, F.; Uyar, T.; Timur, S.; Toppare, L. Bioactive surface design based on functional composite electrospun nanofibers for biomolecule immobilization and biosensor applications. ACS Appl. Mater. Interfaces 2014, 6, 5235–5243. [Google Scholar] [CrossRef] [PubMed]
- Chandra, P.; Noh, H.B.; Pallela, R.; Shim, Y.B. Ultrasensitive detection of drug resistant cancer cells in biological matrixes using an amperometric nanobiosensor. Biosens. Bioelectron. 2015, 70, 418–425. [Google Scholar] [CrossRef]
- Baek, S.; Lee, Y.; Son, Y. Amperometric phenol sensors employing conducting polymer microtubule structure. Mol. Cryst. Liq. Cryst. 2010, 519, 69–76. [Google Scholar] [CrossRef]
- Qian, Y.; Ma, C.; Zhang, S.; Gao, J.; Liu, M.; Xie, K.; Wang, S.; Sun, K.; Song, H. High performance electrochemical electrode based on polymeric composite film for sensing of dopamine and catechol. Sens. Actuators B Chem. 2018, 255, 1655–1662. [Google Scholar] [CrossRef]
- Türkarslan, Ö.; Böyükbayram, A.E.; Toppare, L. Amperometric alcohol biosensors based on conducting polymers: Polypyrrole, poly(3,4-ethylenedioxythiophene) and poly(3,4-ethylenedioxypyrrole). Synth. Met. 2010, 160, 808–813. [Google Scholar] [CrossRef]
- Lee, K.N.; Lee, Y.; Son, Y. Enhanced sensitivity of a galactose biosensor fabricated with a bundle of conducting polymer microtubules. Electroanalysis 2011, 23, 2125–2130. [Google Scholar] [CrossRef]
- Jin, L.; Zhao, Y.; Liu, X.; Wang, Y.; Ye, B.; Xie, Z.; Gu, Z. Dual signal glucose reporter based on inverse opal conducting hydrogel films. Soft Matter 2012, 8, 4911–4917. [Google Scholar] [CrossRef]
- Invernale, M.A.; Tang, B.C.; York, R.L.; Le, L.; Hou, D.Y.; Anderson, D.G. Microneedle Electrodes Toward an Amperometric Glucose-Sensing Smart Patch. Adv. Healthc. Mater. 2014, 3, 338–342. [Google Scholar] [CrossRef]
- Tekbaşoğlu, T.Y.; Soganci, T.; Ak, M.; Koca, A.; Şener, M.K. Enhancing biosensor properties of conducting polymers via copolymerization: Synthesis of EDOT-substituted bis(2-pyridylimino)isoindolato-palladium complex and electrochemical sensing of glucose by its copolymerized film. Biosens. Bioelectron. 2017, 87, 81–88. [Google Scholar] [CrossRef] [PubMed]
- Kaya, H.Z.; Söylemez, S.; Udum, Y.A.; Toppare, L. Application of an Efficient Amperometric Glucose Sensing Electrode Based on a Bilayer Polymer Film Platform. J. Electrochem. Soc. 2018, 165, B939–B945. [Google Scholar] [CrossRef]
- Wang, G.; Han, R.; Feng, X.; Li, Y.; Lin, J.; Luo, X. A glassy carbon electrode modified with poly(3,4-ethylenedioxythiophene) doped with nano-sized hydroxyapatite for amperometric determination of nitrite. Microchim. Acta 2017, 184, 1721–1727. [Google Scholar] [CrossRef]
- Krampa, F.D.; Aniweh, Y.; Awandare, G.A.; Kanyong, P. A disposable amperometric sensor based on high-performance PEDOT:PSS/Ionic liquid nanocomposite thin film-modified screen-printed electrode for the analysis of catechol in natural water samples. Sensors 2017, 17, 1716. [Google Scholar] [CrossRef] [PubMed]
- Scavetta, E.; Mazzoni, R.; Mariani, F.; Margutta, R.G.; Bonfiglio, A.; Demelas, M.; Fiorilli, S.; Marzocchi, M.; Fraboni, B. Dopamine amperometric detection at a ferrocene clicked PEDOT:PSS coated electrode. J. Mater. Chem. B 2014, 2, 2861–2867. [Google Scholar] [CrossRef] [PubMed]
- Richard, W.; Evrard, D.; Gros, P. A Novel Electrochemical Sensor Based on a Mixed Diazonium/PEDOT Surface Functionalization for the Simultaneous Assay of Ascorbic and Uric Acids. Towards an Improvement in Amperometric Response Stability. Electroanalysis 2014, 26, 1390–1399. [Google Scholar] [CrossRef]
- Gonzalez-Vogel, A.; Fogde, A.; Crestini, C.; Sandberg, T.; Huynh, T.P.; Bobacka, J. Molecularly imprinted conducting polymer for determination of a condensed lignin marker. Sens. Actuators B Chem. 2019, 295, 186–193. [Google Scholar] [CrossRef]
- Liang, C.; Zhang, F.; Lin, H.; Jiang, C.; Guo, W.; Fan, S.; Qu, F. An innovative sensor for hydroxylamine determination: Using molybdenum hybrid zeolitic imidazolate framework–conducting polymer composite as electrocatalyst. Electrochim. Acta 2019, 327, 134945. [Google Scholar] [CrossRef]
- Słoniewska, A.; Kasztelan, M.; Berbeć, S.; Pałys, B. Influence of buffer solution on structure and electrochemical properties of poly(3,4-ethylenedioxythiophene)/poly(styrenesulfonate) hydrogels. Synth. Met. 2020, 263, 116363. [Google Scholar] [CrossRef]
- Kurzhals, S.; Melnik, E.; Plata, P.; Cihan, E.; Herzog, P.; Felice, A.; Bocchino, A.; O’mahony, C.; Mutinati, G.C.; Hainberger, R. Detection of Lactate via Amperometric Sensors Modified With Direct Electron Transfer Enzyme Containing PEDOT:PSS and Hydrogel Inks. IEEE Sens. Lett. 2023, 7, 4503104. [Google Scholar] [CrossRef]
- Balamurugan, A.; Ho, K.C.; Chen, S.M.; Huang, T.Y. Electrochemical sensing of NADH based on Meldola Blue immobilized silver nanoparticle-conducting polymer electrode. Colloids Surfaces A Physicochem. Eng. Asp. 2010, 362, 1–7. [Google Scholar] [CrossRef]
- Fan, X.; Lin, P.; Liang, S.; Hui, N.; Zhang, R.; Feng, J.; Xu, G. Gold nanoclusters doped poly(3,4-ethylenedioxythiophene) for highly sensitive electrochemical sensing of nitrite. Ionics 2017, 23, 997–1003. [Google Scholar] [CrossRef]
- Pang, D.; Ma, C.; Chen, D.; Shen, Y.; Zhu, W.; Gao, J.; Song, H.; Zhang, X.; Zhang, S. Silver nanoparticle-functionalized poly (3, 4-ethylenedioxythiophene): Polystyrene film on glass substrate for electrochemical determination of nitrite. Org. Electron. 2019, 75, 105374. [Google Scholar] [CrossRef]
- Xu, Z.; Teng, H.; Song, J.; Gao, F.; Ma, L.; Xu, G.; Luo, X. A nanocomposite consisting of MnO2 nanoflowers and the conducting polymer PEDOT for highly sensitive amperometric detection of paracetamol. Microchim. Acta 2019, 186, 499. [Google Scholar] [CrossRef] [PubMed]
- Yang, L.; Wang, H.; Lü, H.; Hui, N. Phytic acid doped poly(3,4-ethylenedioxythiophene) modified with copper nanoparticles for enzymeless amperometric sensing of glucose. Microchim. Acta 2020, 187, 49. [Google Scholar] [CrossRef] [PubMed]
- Zahed, M.A.; Barman, S.C.; Das, P.S.; Sharifuzzaman, M.; Yoon, H.S.; Yoon, S.H.; Park, J.Y. Highly flexible and conductive poly (3, 4-ethylene dioxythiophene)-poly (styrene sulfonate) anchored 3-dimensional porous graphene network-based electrochemical biosensor for glucose and pH detection in human perspiration. Biosens. Bioelectron. 2020, 160, 112220. [Google Scholar] [CrossRef] [PubMed]
- Gualandi, I.; Tessarolo, M.; Mariani, F.; Arcangeli, D.; Possanzini, L.; Tonelli, D.; Fraboni, B.; Scavetta, E. Layered double hydroxide-modified organic electrochemical transistor for glucose and lactate biosensing. Sensors 2020, 20, 3453. [Google Scholar] [CrossRef] [PubMed]
- Chen, T.-W.; Tsai, T.-H.; Chen, S.-M. Metal Hexacyanoferrate with Conducting Polymer Composite Film Modification Electrodes for Selectively Determination of AA, DA and UA. ECS Trans. 2010, 33, 141–146. [Google Scholar] [CrossRef]
- Beduk, T.; Bihar, E.; Surya, S.G.; Castillo, A.N.; Inal, S.; Salama, K.N. A paper-based inkjet-printed PEDOT:PSS/ZnO sol-gel hydrazine sensor. Sens. Actuators B Chem. 2020, 306, 127539. [Google Scholar] [CrossRef]
- Si, W.; Lei, W.; Zhang, Y.; Xia, M.; Wang, F.; Hao, Q. Electrodeposition of graphene oxide doped poly(3,4-ethylenedioxythiophene) film and its electrochemical sensing of catechol and hydroquinone. Electrochim. Acta 2012, 85, 295–301. [Google Scholar] [CrossRef]
- Li, D.; Liu, M.; Zhan, Y.; Su, Q.; Zhang, Y.; Zhang, D. Electrodeposited poly(3,4-ethylenedioxythiophene) doped with graphene oxide for the simultaneous voltammetric determination of ascorbic acid, dopamine and uric acid. Microchim. Acta 2020, 187, 94. [Google Scholar] [CrossRef]
- Mercante, L.A.; Facure, M.H.M.; Sanfelice, R.C.; Migliorini, F.L.; Mattoso, L.H.C.; Correa, D.S. One-pot preparation of PEDOT:PSS-reduced graphene decorated with Au nanoparticles for enzymatic electrochemical sensing of H2O2. Appl. Surf. Sci. 2017, 407, 162–170. [Google Scholar] [CrossRef]
- Wisitsoraat, A.; Pakapongpan, S.; Sriprachuabwong, C.; Phokharatkul, D.; Sritongkham, P.; Lomas, T.; Tuantranont, A. Graphene-PEDOT:PSS on screen printed carbon electrode for enzymatic biosensing. J. Electroanal. Chem. 2013, 704, 208–213. [Google Scholar] [CrossRef]
- Xu, G.; Li, B.; Luo, X. Carbon nanotube doped poly(3,4-ethylenedioxythiophene) for the electrocatalytic oxidation and detection of hydroquinone. Sens. Actuators B Chem. 2013, 176, 69–74. [Google Scholar] [CrossRef]
- Kumar, S.; Willander, M.; Sharma, J.G.; Malhotra, B.D. A solution processed carbon nanotube modified conducting paper sensor for cancer detection. J. Mater. Chem. B 2015, 3, 9305–9314. [Google Scholar] [CrossRef]
- Fan, J.; Shao, W.; Xu, G.; Cui, X.T.; Luo, X. Preparation and electrochemical catalytic application of nanocrystalline cellulose doped poly(3,4-ethylenedioxythiophene) conducting polymer nanocomposites. RSC Adv. 2014, 4, 24328–24333. [Google Scholar] [CrossRef]
- Jiao, M.; Li, Z.; Li, Y.; Cui, M.; Luo, X. Poly(3,4-ethylenedioxythiophene) doped with engineered carbon quantum dots for enhanced amperometric detection of nitrite. Microchim. Acta 2018, 185, 249. [Google Scholar] [CrossRef]
Disclaimer/Publisher’s Note: The statements, opinions and data contained in all publications are solely those of the individual author(s) and contributor(s) and not of MDPI and/or the editor(s). MDPI and/or the editor(s) disclaim responsibility for any injury to people or property resulting from any ideas, methods, instructions or products referred to in the content. |
© 2024 by the authors. Licensee MDPI, Basel, Switzerland. This article is an open access article distributed under the terms and conditions of the Creative Commons Attribution (CC BY) license (https://creativecommons.org/licenses/by/4.0/).



























