Electrodes for Paracetamol Sensing Modified with Bismuth Oxide and Oxynitrate Heterostructures: An Experimental and Computational Study
Abstract
1. Introduction
2. Materials and Methods
2.1. Materials
2.2. Bismuth Subnitrate Heterostructures Synthesis
2.3. Working Electrode Modification
2.4. Electrochemical Measurements
2.5. Computational Study
3. Results
3.1. Characterization of Bismuth-Based Heterostructures through Raman Spectroscopy
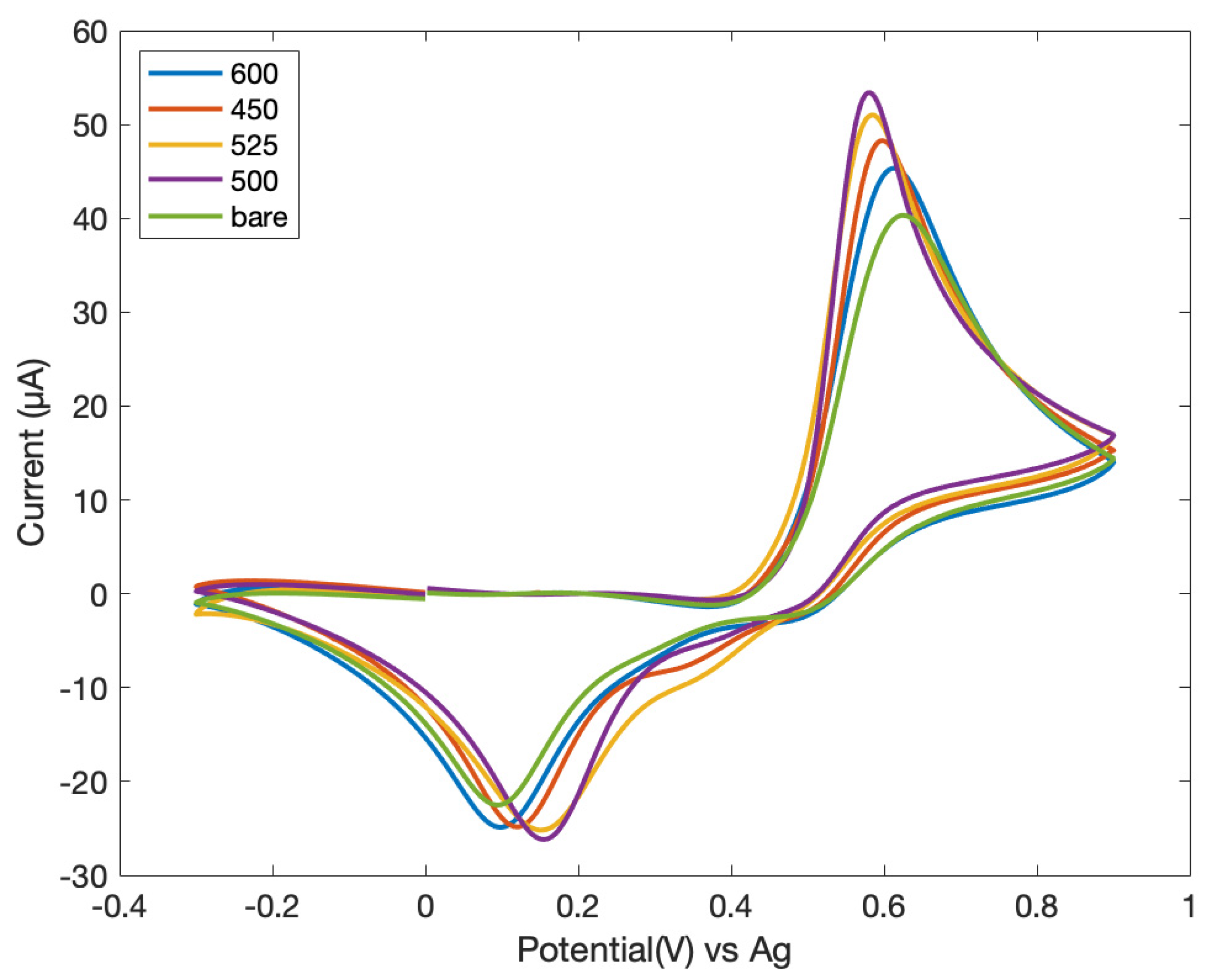
3.2. Electrochemical Measurements
3.3. Computational Study
4. Conclusions
Author Contributions
Funding
Data Availability Statement
Conflicts of Interest
References
- Chiam, E.; Weinberg, L.; Bellomo, R. Paracetamol: A review with specific focus on the haemodynamic effects of intravenous administration. Heart Lung Vessel. 2015, 7, 121. [Google Scholar]
- Przybyła, G.W.; Szychowski, K.A.; Gmiński, J. Paracetamol—An old drug with new mechanisms of action. Clin. Exp. Pharmacol. Physiol. 2021, 48, 3–19. [Google Scholar] [CrossRef] [PubMed]
- Graham, G.G.; Scott, K.F. Mechanism of action of paracetamol. Am. J. Ther. 2005, 12, 46–55. [Google Scholar] [CrossRef]
- Graham, G.G.; Davies, M.J.; Day, R.O.; Mohamudally, A.; Scott, K.F. The modern pharmacology of paracetamol: Therapeutic actions, mechanism of action, metabolism, toxicity and recent pharmacological findings. Inflammopharmacology 2013, 21, 201–232. [Google Scholar] [CrossRef] [PubMed]
- Stravitz, R.T.; Lee, W.M. Acute liver failure. Lancet 2019, 394, 869–881. [Google Scholar] [CrossRef]
- Murray, K.E.; Thomas, S.M.; Bodour, A.A. Prioritizing research for trace pollutants and emerging contaminants in the freshwater environment. Environ. Pollut. 2010, 158, 3462–3471. [Google Scholar] [CrossRef]
- Żur, J.; Piński, A.; Marchlewicz, A.; Hupert-Kocurek, K.; Wojcieszyńska, D.; Guzik, U. Organic micropollutants paracetamol and ibuprofen—Toxicity, biodegradation, and genetic background of their utilization by bacteria. Environ. Sci. Pollut. Res. 2018, 25, 21498–21524. [Google Scholar] [CrossRef]
- Gogate, P.R.; Pandit, A.B. A review of imperative technologies for wastewater treatment I: Oxidation technologies at ambient conditions. Adv. Environ. Res. 2004, 8, 501–551. [Google Scholar] [CrossRef]
- Merciai, R.; Guasch, H.; Kumar, A.; Sabater, S.; García-Berthou, E. Trace metal concentration and fish size: Variation among fish species in a Mediterranean river. Ecotoxicol. Environ. Saf. 2014, 107, 154–161. [Google Scholar] [CrossRef]
- Elersek, T.; Milavec, S.; Korošec, M.; Brezovsek, P.; Negreira, N.; Zonja, B.; de Alda, M.L.; Barceló, D.; Heath, E.; Ščančar, J. Toxicity of the mixture of selected antineoplastic drugs against aquatic primary producers. Environ. Sci. Pollut. Res. 2016, 23, 14780–14790. [Google Scholar] [CrossRef]
- Alanazi, K.; Cruz, A.G.; Di Masi, S.; Voorhaar, A.; Ahmad, O.S.; Cowen, T.; Piletska, E.; Langford, N.; Coats, T.J.; Sims, M.R. Disposable paracetamol sensor based on electroactive molecularly imprinted polymer nanoparticles for plasma monitoring. Sens. Actuators B Chem. 2021, 329, 129128. [Google Scholar] [CrossRef]
- Claussen, J.; Shi, J.; Rout, C.S.; Artiles, M.; Roushar, M.; Stensberg, M.; Porterfield, D.M.; Fisher, T. Nano-sized biosensors for medical applications. In Biosensors for Medical Applications; Elsevier: Amsterdam, The Netherlands, 2012; pp. 65–102. [Google Scholar]
- Maduraiveeran, G.; Jin, W. Nanomaterials based electrochemical sensor and biosensor platforms for environmental applications. Trends Environ. Anal. Chem. 2017, 13, 10–23. [Google Scholar] [CrossRef]
- Roduner, E. Size matters: Why nanomaterials are different. Chem. Soc. Rev. 2006, 35, 583–592. [Google Scholar] [CrossRef] [PubMed]
- Sasidharan, S.; Raj, S.; Sonawane, S.; Sonawane, S.; Pinjari, D.; Pandit, A.; Saudagar, P. Nanomaterial synthesis: Chemical and biological route and applications. In Nanomaterials Synthesis; Elsevier: Amsterdam, The Netherlands, 2019; pp. 27–51. [Google Scholar]
- Kang, X.; Wang, J.; Wu, H.; Liu, J.; Aksay, I.A.; Lin, Y. A graphene-based electrochemical sensor for sensitive detection of paracetamol. Talanta 2010, 81, 754–759. [Google Scholar] [CrossRef]
- Li, Z.-Y.; Gao, D.-Y.; Wu, Z.-Y.; Zhao, S. Simultaneous electrochemical detection of levodapa, paracetamol and l-tyrosine based on multi-walled carbon nanotubes. RSC Adv. 2020, 10, 14218–14224. [Google Scholar] [CrossRef]
- Annadurai, K.; Sudha, V.; Murugadoss, G.; Thangamuthu, R. Electrochemical sensor based on hydrothermally prepared nickel oxide for the determination of 4-acetaminophen in paracetamol tablets and human blood serum samples. J. Alloys Compd. 2021, 852, 156911. [Google Scholar] [CrossRef]
- Veloso, A.; Cheng, X.; Kerman, K. Electrochemical biosensors for medical applications. In Biosensors for Medical Applications; Elsevier: Amsterdam, The Netherlands, 2012; pp. 3–40. [Google Scholar]
- Wu, W.; Huang, Z.-H.; Lim, T.-T. Recent development of mixed metal oxide anodes for electrochemical oxidation of organic pollutants in water. Appl. Catal. A Gen. 2014, 480, 58–78. [Google Scholar] [CrossRef]
- Xie, C.; Yan, D.; Chen, W.; Zou, Y.; Chen, R.; Zang, S.; Wang, Y.; Yao, X.; Wang, S. Insight into the design of defect electrocatalysts: From electronic structure to adsorption energy. Mater. Today 2019, 31, 47–68. [Google Scholar] [CrossRef]
- Bartoli, M.; Jagdale, P.; Tagliaferro, A. A Short Review on Biomedical Applications of Nanostructured Bismuth Oxide and Related Nanomaterials. Materials 2020, 13, 5234. [Google Scholar] [CrossRef]
- Gadhi, T.A.; Hernández, S.; Castellino, M.; Jagdale, P.; Husak, T.; Hernández-Gordillo, A.; Tagliaferro, A.; Russo, N. Insights on the role of β-Bi2O3/Bi5O7NO3 heterostructures synthesized by a scalable solid-state method for the sunlight-driven photocatalytic degradation of dyes. Catal. Today 2019, 321–322, 135–145. [Google Scholar] [CrossRef]
- Kodama, H. Synthesis of a new compound, Bi5O7NO3, by thermal decomposition. J. Solid State Chem. 1994, 112, 27–30. [Google Scholar] [CrossRef]
- Madagalam, M.; Bartoli, M.; Tagliaferro, A.; Carrara, S. Bismuth-nanocomposites modified SPCEs for non-enzymatic electrochemical sensors. IEEE Sens. J. 2021, 21, 11155–11162. [Google Scholar] [CrossRef]
- Bard, A.J.; Faulkner, L.R. Electrochemical Methods: Fundamentals and Applications; Wiley: New York, NY, USA, 1980. [Google Scholar]
- Harwig, H. On the Structure of Bismuthsesquioxide: The α, β, γ, and δ-Phase. Z. Für Anorg. Allg. Chem. 1978, 444, 151–166. [Google Scholar] [CrossRef]
- Ziegler, P.; Ströbele, M.; Meyer, H.-J. Crystal structure of pentabismuth heptaoxide nitrate, Bi5O7NO3. Z. Für Krist. New Cryst. Struct. 2004, 219, 91–92. [Google Scholar] [CrossRef][Green Version]
- Syrovaya, A.O.; Levashova, O.L.; Andreeva, S.V. Investigation of quantum-chemical properties of paracetamol. J. Chem. Pharm. Res. 2015, 7, 307–311. [Google Scholar]
- Marcus, R.A. Chemical and electrochemical electron-transfer theory. Annu. Rev. Phys. Chem. 1964, 15, 155–196. [Google Scholar] [CrossRef]
- Tachiya, M. Generalization of the Marcus equation for the electron-transfer rate. J. Phys. Chem. 1993, 97, 5911–5916. [Google Scholar] [CrossRef]
- Xu, M.; Larentzos, J.P.; Roshdy, M.; Criscenti, L.J.; Allen, H.C. Aqueous divalent metal–nitrate interactions: Hydration versus ion pairing. Phys. Chem. Chem. Phys. 2008, 10, 4793–4801. [Google Scholar] [CrossRef]
- Madelung, O.; Rössler, U.; Schulz, M. Bismuth oxide (Bi2O3) IR absorption bands, Raman spectra. In Non-Tetrahedrally Bonded Elements and Binary Compounds I; Springer: Berlin, Germany, 1998; pp. 1–4. [Google Scholar]
- Hardcastle, F.D.; Wachs, I.E. The molecular structure of bismuth oxide by Raman spectroscopy. J. Solid State Chem. 1992, 97, 319–331. [Google Scholar] [CrossRef]
- Balint, R.; Bartoli, M.; Jagdale, P.; Tagliaferro, A.; Memon, A.S.; Rovere, M.; Martin, M. Defective Bismuth Oxide as Effective Adsorbent for Arsenic Removal from Water and Wastewater. Toxics 2021, 9, 158. [Google Scholar] [CrossRef]
- Miner, D.J.; Rice, J.R.; Riggin, R.M.; Kissinger, P.T. Voltammetry of acetaminophen and its metabolites. Anal. Chem. 1981, 53, 2258–2263. [Google Scholar] [CrossRef]
- Nematollahi, D.; Shayani-Jam, H.; Alimoradi, M.; Niroomand, S. Electrochemical oxidation of acetaminophen in aqueous solutions: Kinetic evaluation of hydrolysis, hydroxylation and dimerization processes. Electrochim. Acta 2009, 54, 7407–7415. [Google Scholar] [CrossRef]
- Elgrishi, N.; Rountree, K.J.; McCarthy, B.D.; Rountree, E.S.; Eisenhart, T.T.; Dempsey, J.L. A practical beginner’s guide to cyclic voltammetry. J. Chem. Educ. 2018, 95, 197–206. [Google Scholar] [CrossRef]
- Mirceski, V.; Stojanov, L.; Ogorevc, B. Step potential as a diagnostic tool in square-wave voltammetry of quasi-reversible electrochemical processes. Electrochim. Acta 2019, 327, 134997. [Google Scholar] [CrossRef]
- Laviron, E. General expression of the linear potential sweep voltammogram in the case of diffusionless electrochemical systems. J. Electroanal. Chem. Interfacial Electrochem. 1979, 101, 19–28. [Google Scholar] [CrossRef]
- Wu, J.; Chen, T.; Zhu, C.; Du, J.; Huang, L.; Yan, J.; Cai, D.; Guan, C.; Pan, C. Rational Construction of a WS2/CoS2 Heterostructure Electrocatalyst for Efficient Hydrogen Evolution at All pH Values. ACS Sustain. Chem. Eng. 2020, 8, 4474–4480. [Google Scholar] [CrossRef]
- Wu, Y.; Li, F.; Chen, W.; Xiang, Q.; Ma, Y.; Zhu, H.; Tao, P.; Song, C.; Shang, W.; Deng, T.; et al. Coupling Interface Constructions of MoS2/Fe5Ni4S8 Heterostructures for Efficient Electrochemical Water Splitting. Adv. Mater. 2018, 30, 1803151. [Google Scholar] [CrossRef] [PubMed]
- Jing, Y.; Mu, X.; Xie, C.; Liu, H.; Yan, R.; Dai, H.; Liu, C.; Zhang, X.-D. Enhanced hydrogen evolution reaction of WS2–CoS2 heterostructure by synergistic effect. Int. J. Hydrogen Energy 2019, 44, 809–818. [Google Scholar] [CrossRef]







| Dehydration (1 h) | 2° Step (2 h) | 3° Step (1 h) | |
|---|---|---|---|
| B450 | 200 °C | 300 °C | 450 °C | 
| B500 | 200 °C | 300 °C | 500 °C | 
| B525 | 200 °C | 300 °C | 525 °C | 
| B600 | 200 °C | 300 °C | 600 °C | 
| Material | Anodic Peak (μA) | |
|---|---|---|
| Bare electrode | ||
| B450 | ||
| B500 | ||
| B525 | ||
| B600 | 
| Material | D (cm2/s) | ||
|---|---|---|---|
| Bare electrode | 3.84 + 2.81 | 0.996 | |
| B450 | 4.37 + 5.58 | 0.992 | |
| B500 | 5.12 + 2.79 | 0.995 | |
| B525 | 4.93 + 2.85 | 0.996 | |
| B600 | 4.29 + 2.43 | 0.995 | 
| Material | k (ms−1) | Alpha (α) | 
|---|---|---|
| Bare electrode | ||
| B450 | ||
| B500 | ||
| B525 | ||
| B600 | 
| Material | Sensitivity (μA/mM) | LOD (μM) | 
|---|---|---|
| Bare electrode | ||
| B450 | ||
| B500 | ||
| B525 | ||
| B600 | 
| Publisher’s Note: MDPI stays neutral with regard to jurisdictional claims in published maps and institutional affiliations. | 
© 2021 by the authors. Licensee MDPI, Basel, Switzerland. This article is an open access article distributed under the terms and conditions of the Creative Commons Attribution (CC BY) license (https://creativecommons.org/licenses/by/4.0/).
Share and Cite
Franceschini, F.; Bartoli, M.; Tagliaferro, A.; Carrara, S. Electrodes for Paracetamol Sensing Modified with Bismuth Oxide and Oxynitrate Heterostructures: An Experimental and Computational Study. Chemosensors 2021, 9, 361. https://doi.org/10.3390/chemosensors9120361
Franceschini F, Bartoli M, Tagliaferro A, Carrara S. Electrodes for Paracetamol Sensing Modified with Bismuth Oxide and Oxynitrate Heterostructures: An Experimental and Computational Study. Chemosensors. 2021; 9(12):361. https://doi.org/10.3390/chemosensors9120361
Chicago/Turabian StyleFranceschini, Filippo, Mattia Bartoli, Alberto Tagliaferro, and Sandro Carrara. 2021. "Electrodes for Paracetamol Sensing Modified with Bismuth Oxide and Oxynitrate Heterostructures: An Experimental and Computational Study" Chemosensors 9, no. 12: 361. https://doi.org/10.3390/chemosensors9120361
APA StyleFranceschini, F., Bartoli, M., Tagliaferro, A., & Carrara, S. (2021). Electrodes for Paracetamol Sensing Modified with Bismuth Oxide and Oxynitrate Heterostructures: An Experimental and Computational Study. Chemosensors, 9(12), 361. https://doi.org/10.3390/chemosensors9120361
 
         
                                                



 
       