Impact of Angiogenic and Cardiovascular Biomarkers for Prediction of Placental Dysfunction in the First Trimester of Pregnancy
Abstract
1. Introduction
2. Materials and Methods
2.1. Study Population
2.2. Sample Analysis
2.3. Statistical Analyses
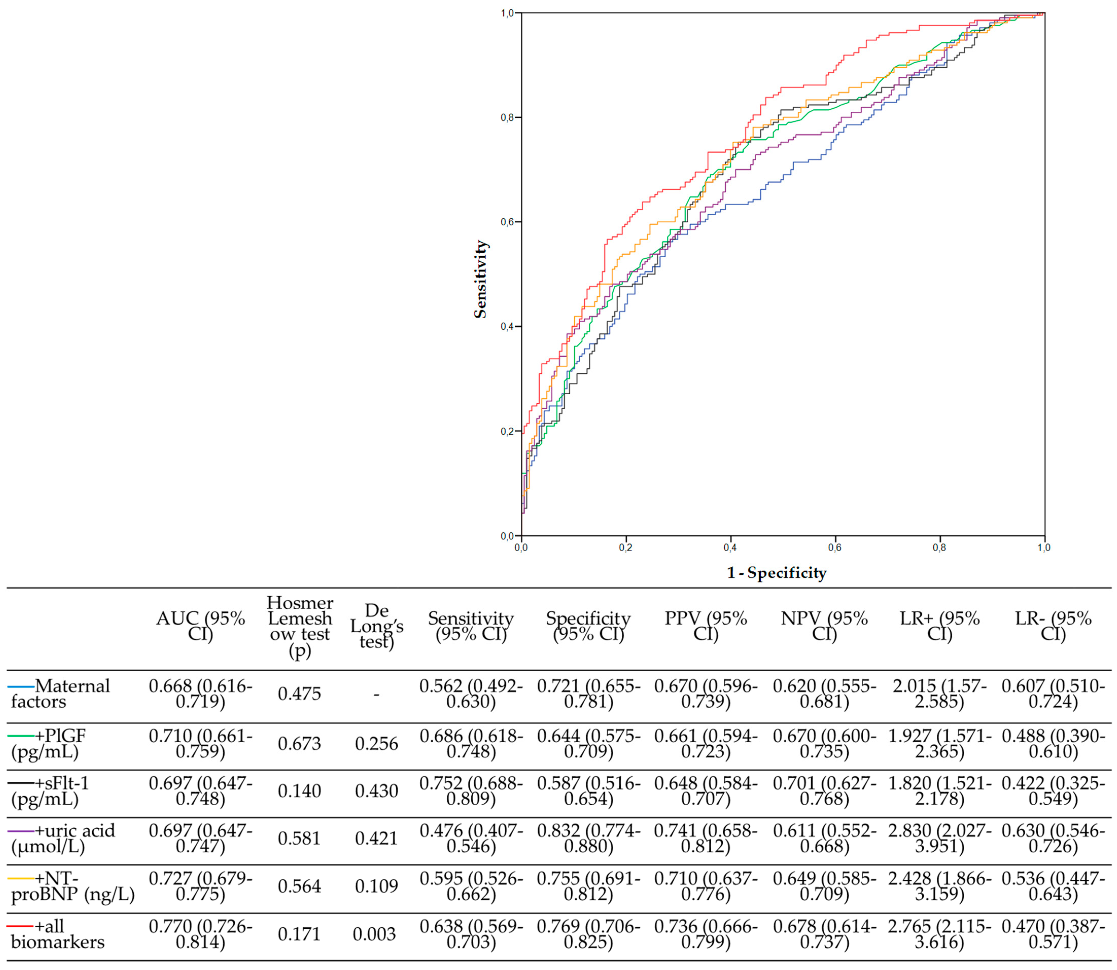
3. Results
Biomarker Performance
4. Discussion
5. Conclusions
Supplementary Materials
Author Contributions
Funding
Institutional Review Board Statement
Informed Consent Statement
Data Availability Statement
Acknowledgments
Conflicts of Interest
References
- Roberts, J.M.; Rich-Edwards, J.W.; McElrath, T.F.; Garmire, L.; Myatt, L.; Global Pregnancy Collaboration. Subtypes of Preeclampsia: Recognition and Determining Clinical Usefulness. Hypertension 2021, 77, 1430–1441. [Google Scholar] [CrossRef] [PubMed]
- Burton, G.J.; Jauniaux, E. Pathophysiology of placental-derived fetal growth restriction. Am. J. Obstet. Gynecol. 2018, 218, S745–S761. [Google Scholar] [CrossRef] [PubMed]
- de Jager, S.C.; Meeuwsen, J.A.; van Pijpen, F.M.; Zoet, G.A.; Barendrecht, A.D.; Franx, A.; Pasterkamp, G.; van Rijn, B.B.; Goumans, M.-J.; Ruijter, H.M.D. Preeclampsia and coronary plaque erosion: Manifestations of endothelial dysfunction resulting in cardiovascular events in women. Eur. J. Pharmacol. 2017, 816, 129–137. [Google Scholar] [CrossRef]
- Brouwers, L.; Roest, A.J.V.D.M.; Savelkoul, C.; Vogelvang, T.E.; Lely, T.; Franx, A.; Van Rijn, B.B. Recurrence of pre-eclampsia and the risk of future hypertension and cardiovascular disease: A systematic review and meta-analysis. BJOG Int. J. Obstet. Gynaecol. 2018, 125, 1642–1654. [Google Scholar] [CrossRef] [PubMed]
- Berends, A.L.; de Groot, C.J.; Sijbrands, E.J.; Sie, M.P.; Benneheij, S.H.; Pal, R.; Heydanus, R.; Oostra, B.A.; van Duijn, C.M.; Steegers, E.A. Shared Constitutional Risks for Maternal Vascular-Related Pregnancy Complications and Future Cardiovascular Disease. Hypertension 2008, 51, 1034–1041. [Google Scholar] [CrossRef]
- Poon, L.C.; Shennan, A.; Hyett, J.A.; Kapur, A.; Hadar, E.; Divakar, H.; McAuliffe, F.; da Silva Costa, F.; von Dadelszen, P.; McIntyre, H.D.; et al. The International Federation of Gynecology and Obstetrics (FIGO) initiative on pre-eclampsia: A pragmatic guide for first-trimester screening and prevention. Int. J. Gynaecol. Obstet. Off. Organ Int. Fed. Gynaecol. Obstet. 2019, 145 (Suppl. S1), 1–33. [Google Scholar] [CrossRef]
- Staff, A.C. Why Do Circulating Biomarkers Predict Early-Onset Preeclampsia, and Can They Also Predict Future Maternal Cardiovascular Health? Hypertension 2019, 74, 1084–1086. [Google Scholar] [CrossRef]
- Diguisto, C.; Piver, E.; Le Gouge, A.; Eboue, F.; Le Vaillant, C.; Maréchaud, M.; Goua, V.; Giraudeau, B.; Perrotin, F. First trimester uterine artery Doppler, sFlt-1 and PlGF to predict preeclampsia in a high-risk population. J. Matern. Neonatal Med. 2017, 30, 1514–1519. [Google Scholar] [CrossRef]
- Baumann, M.U.; Bersinger, N.A.; Mohaupt, M.G.; Raio, L.; Gerber, S.; Surbek, D.V. First-trimester serum levels of soluble endoglin and soluble fms-like tyrosine kinase-1 as first-trimester markers for late-onset preeclampsia. Am. J. Obstet. Gynecol. 2008, 199, 266.e1–266.e6. [Google Scholar] [CrossRef]
- Nzelu, D.; Biris, D.; Karampitsakos, T.; Nicolaides, K.K.; Kametas, N.A. First trimester serum angiogenic and anti-angiogenic factors in women with chronic hypertension for the prediction of preeclampsia. Am. J. Obstet. Gynecol. 2020, 222, 374.e1–374.e9. [Google Scholar] [CrossRef]
- Pihl, K.; Sørensen, S.; Jørgensen, F.S. Prediction of Preeclampsia in Nulliparous Women according to First Trimester Maternal Factors and Serum Markers. Fetal Diagn. Ther. 2019, 47, 277–283. [Google Scholar] [CrossRef] [PubMed]
- Akolekar, R.; Syngelaki, A.; Poon, L.; Wright, D.; Nicolaides, K.H. Competing Risks Model in Early Screening for Preeclampsia by Biophysical and Biochemical Markers. Fetal Diagn. Ther. 2012, 33, 8–15. [Google Scholar] [CrossRef] [PubMed]
- Lafuente-Ganuza, P.; Lequerica-Fernandez, P.; Carretero, F.; Escudero, A.I.; Martinez-Morillo, E.; Sabria, E.; Herraiz, I.; Galindo, A.; Lopez, A.; Martinez-Triguero, M.L.; et al. A more accurate prediction to rule in and rule out pre-eclampsia using the sFlt-1/PlGF ratio and NT-proBNP as biomarkers. Clin. Chem. Lab. Med. 2019, 58, 399–407. [Google Scholar] [CrossRef]
- Goetze, J.P.; Bruneau, B.G.; Ramos, H.R.; Ogawa, T.; de Bold, M.K.; de Bold, A.J. Cardiac natriuretic peptides. Nat. Rev. Cardiol. 2020, 17, 698–717. [Google Scholar] [CrossRef] [PubMed]
- Ravichandran, J.; Woon, S.Y.; Quek, Y.S.; Lim, Y.C.; Noor, E.M.; Suresh, K.; Vigneswaran, R.; Vasile, V.; Shah, A.; Mills, N.L.; et al. High-Sensitivity Cardiac Troponin I Levels in Normal and Hypertensive Pregnancy. Am. J. Med. 2018, 132, 362–366. [Google Scholar] [CrossRef] [PubMed]
- Bellos, I.; Pergialiotis, V.; Loutradis, D.; Daskalakis, G. The prognostic role of serum uric acid levels in preeclampsia: A meta-analysis. J. Clin. Hypertens. 2020, 22, 826–834. [Google Scholar] [CrossRef]
- Zhao, X.; Frempong, S.T.; Duan, T. Uric acid levels in gestational hypertensive women predict preeclampsia and outcome of small-for-gestational-age infants. J. Matern. Neonatal Med. 2021, 34, 2825–2831. [Google Scholar] [CrossRef]
- Pecoraro, V.; Trenti, T. Predictive value of serum uric acid levels for adverse maternal and perinatal outcomes in pregnant women with high blood pressure. A systematic review and meta-analysis. Eur. J. Obstet. Gynecol. Reprod. Biol. 2020, 252, 447–454. [Google Scholar] [CrossRef]
- Khaliq, O.P.; Konoshita, T.; Moodley, J.; Naicker, T. The Role of Uric Acid in Preeclampsia: Is Uric Acid a Causative Factor or a Sign of Preeclampsia? Curr. Hypertens. Rep. 2018, 20, 80. [Google Scholar] [CrossRef]
- Brown, M.A.; Magee, L.A.; Kenny, L.C.; Karumanchi, S.A.; McCarthy, F.; Saito, S.; Hall, D.R.; Warren, C.E.; Adoyi, G.; Ishaku, S. Hypertensive Disorders of Pregnancy: ISSHP Classification, Diagnosis, and Management Recommendations for International Practice. Hypertension 2018, 72, 24–43. [Google Scholar] [CrossRef]
- Figueras, F.; Meler, E.; Iraola, A.; Eixarch, E.; Coll, O.; Francis, A.; Gratacos, E.; Gardosi, J. Customized birthweight standards for a Spanish population. Eur. J. Obstet. Gynecol. Reprod. Biol. 2008, 136, 20–24. [Google Scholar] [CrossRef]
- Lees, C.; Stampalija, T.; Baschat, A.A.; da Silva Costa, F.; Ferrazzi, E.; Figueras, F.; Hecher, K.; Kingdom, J.; Poon, L.C.; Salomon, L.J.; et al. ISUOG Practice Guidelines: Diagnosis and management of small-for-gestational-age fetus and fetal growth restriction. Ultrasound Obstet. Gynecol. 2020, 56, 298–312. [Google Scholar] [CrossRef] [PubMed]
- Meller, C.H.; Carducci, M.E.; Cernadas, J.M.C.; Otaño, L. Preterm premature rupture of membranes. Arch. Argent. Pediatr. 2018, 116, e575–e581. [Google Scholar] [CrossRef]
- Pencina, M.J.; D’Agostino, R.B.; Pencina, K.M.; Janssens, A.C.J.W.; Greenland, P. Interpreting Incremental Value of Markers Added to Risk Prediction Models. Am. J. Epidemiol. 2012, 176, 473–481. [Google Scholar] [CrossRef] [PubMed]
- Pencina, M.J.; D’Agostino, R.B., Sr.; D’Agostino, R.B., Jr.; Vasan, R.S. Evaluating the added predictive ability of a new marker: From area under the ROC curve to reclassification and beyond. Stat. Med. 2008, 27, 157–172. [Google Scholar] [CrossRef] [PubMed]
- Serra, B.; Mendoza, M.; Scazzocchio, E.; Meler, E.; Nolla, M.; Sabrià, E.; Rodríguez, I.; Carreras, E. A new model for screening for early-onset preeclampsia. Am. J. Obstet. Gynecol. 2020, 222, 608.e1–608.e18. [Google Scholar] [CrossRef]
- Verlohren, S.; Galindo, A.; Schlembach, D.; Zeisler, H.; Herraiz, I.; Moertl, M.G.; Pape, J.; Dudenhausen, J.W.; Denk, B.; Stepan, H. An automated method for the determination of the sFlt-1/PIGF ratio in the assessment of preeclampsia. Am. J. Obstet. Gynecol. 2010, 202, 161.e1–161.e11. [Google Scholar] [CrossRef]
- Trilla, C.; Mora, J.; Ginjaume, N.; Nan, M.N.; Alejos, O.; Domínguez, C.; Vega, C.; Godínez, Y.; Cruz-Lemini, M.; Parra, J.; et al. Reduction in Preterm Preeclampsia after Contingent First-Trimester Screening and Aspirin Prophylaxis in a Routine Care Setting. Diagnostics 2022, 12, 1814. [Google Scholar] [CrossRef] [PubMed]
- Chaddha, V.; Viero, S.; Huppertz, B.; Kingdom, J. Developmental biology of the placenta and the origins of placental insufficiency. Semin. Fetal Neonatal Med. 2004, 9, 357–369. [Google Scholar] [CrossRef]
- Laughon, S.K.; Catov, J.; Powers, R.W.; Roberts, J.M.; Gandley, R.E. First Trimester Uric Acid and Adverse Pregnancy Outcomes. Am. J. Hypertens. 2011, 24, 489–495. [Google Scholar] [CrossRef]
- Turco, M.Y.; Moffett, A. Development of the human placenta. Development 2019, 146, dev163428. [Google Scholar] [CrossRef] [PubMed]

| Controls (n = 208) | Cases (n = 210) | p | |
|---|---|---|---|
| Maternal age (years) | 34 ± 5 | 33 ± 5 | 0.843 |
| GA at blood sampling (weeks) | 10.6 ± 1.1 | 10.7 ± 1.1 | 0.508 |
| Body mass index (kg/m2) | 23.0 (21.2–26.6) | 23.3 (21.0–27.0) | 0.863 |
| MAP (mmHg) | 81.7 (76.8–86.5) | 84.2 (78.7–91.0) | <0.001 |
| Mean UAt-PI | 1.70 (1.38–2.00) | 1.77 (1.42–2.19) | 0.075 |
| Smoking during pregnancy | 11 (5.3%) | 27 (12.9%) | 0.007 |
| Ethnicity | 0.024 | ||
| Caucasian | 133 (63.9%) | 152 (72.4%) | |
| Latin American | 55 (26.4%) | 38 (18.1%) | |
| Asian | 5 (2.4%) | 5 (2.4%) | |
| Afro-Caribbean | 6 (2.9%) | 2 (1.0%) | |
| North African | 6 (2.9%) | 2 (1.0%) | |
| Other | 3 (1.4%) | 11 (5.2%) | |
| Chronic hypertension | 2 (1%) | 6 (2.9%) | 0.157 |
| Thyroid condition | 16 (7.7%) | 16 (7.6%) | 0.978 |
| Diabetes mellitus | 1 (0.5%) | 4 (1.9%) | 0.181 |
| Autoimmune condition | 1 (0.5%) | 2 (1.0%) | 0.568 |
| Neurologic condition | 3 (1.4%) | 3 (1.4%) | 0.991 |
| Thrombophilia | 4 (1.9%) | 3 (1.4%) | 0.694 |
| Renal disease | 1 (0.5%) | 1 (0.5%) | 0.995 |
| Nulliparous | 82 (39.4%) | 78 (37.1%) | 0.632 |
| Previous PE | 3 (1.4%) | 14 (6.7%) | 0.007 |
| Previous SGA | 4 (1.9%) | 23 (11%) | <0.001 |
| Previous PTB | 3 (1.4%) | 9 (4.3%) | 0.082 |
| Repeated miscarriage | 9 (4.3%) | 9 (4.3%) | 0.983 |
| ART conception | 15 (7.2%) | 27 (12.9%) | 0.055 |
| Controls (n = 208) | Cases (n = 210) | p | AUC (95% CI) | Cut-Off (Sensitivity, Specificity) | |
|---|---|---|---|---|---|
| PlGF (pg/mL) | 32.00 (23.90–42.10) | 25.77 (17.80–39.14) | <0.001 | 0.612 (0.558–0.666) | 25.86 (0.712, 0.510) |
| sFlt1 (pg/mL) | 1363.5 (1091.5–1795.5) | 1212.0 (937.0–1567.0) | 0.001 | 0.598 (0.544–0.652) | 1288 (0.557, 0.620) |
| sFlt1/PLGF ratio | 43 (32–61) | 45 (30–66) | 0.490 | 0.520 (0.464–0.575) | - |
| Uric acid (μmol/L) | 177.40 (152.88–199.02) | 193.66 (164.16–216.73) | 0.001 | 0.596 (0.542–0.650) | 199.2 (0.438, 0.760) |
| NT-proBNP (ng/L) | 68.71 (48.48–99.98) | 51.22 (31.05–77.68) | <0.001 | 0.649 (0.597–0.702) | 63.35 (0.662, 0.606) |
| Method of Screening/ Variable | Smoking | Previous PE | Previous SGA | ART Conception | MAP (mmHg) | Median UAt-PI | PlGF (pg/mL) | sFlt-1 (pg/mL) | Uric Acid (μmol/L) | NT-proBNP (ng/L) |
|---|---|---|---|---|---|---|---|---|---|---|
| Univariable analysis | 2.6 (1.3–5.5) | 4.9 (1.4–17.2) | 6.3 (2.1–18.5) | 1.9 (0.9–3.7) | 1.0 (1.0–1.1) | 1.5 (1.0–2.2) | 2.6 (1.7–3.8) | 2.1 (1.4–3.0) | 2.5 (1.6–3.7) | 3.0 (2.0–4.5) |
| Maternal factors | 3.0 (1.4–6.5) | ns | 5.9 (1.9–17.8) | 2.2 (1.1–4.5) | 1.1 (1.0–1.1) | 1.8 (1.2–2.7) | ||||
| +PlGF (pg/mL) | 3.1 (1.4–6.8) | ns | 6.5 (2.1–19.9) | 2.3 (1.2–4.9) | 1.0 (1.0–1.1) | ns | 2.9 (1.9–4.5) | |||
| +sFlt-1 (pg/mL) | 2.7 (1.2–5.9) | ns | 6.2 (2.0–18.9) | 2.3 (1.1–4.8) | 1.0 (1.0–1.1) | 1.6 (1.0–2.4) | 1.8 (1.2–2.7) | |||
| +Uric acid (μmol/L) | 3.1 (1.4–6.8) | ns | 5.1 (1.7–15.6) | 2.2 (1.1–4.5) | 1.1 (1.0–1.1) | 1.8 (1.2–2.7) | 2.3 (1.5–3.6) | |||
| +NT-proBNP (ng/L) | 3.5 (1.6–7.6) | ns | 5.4 (1.7–16.7) | 2.4 (1.2–5.1) | 1.0 (1.0–1.1) | 1.8 (1.2–2.7) | 2.9 (1.9–4.5) | |||
| +all biomarkers | 3.2 (1.4–7.4) | ns | 5.4 (1.7–17.0) | 2.7 (1.2–5.8) | 1.0 (1.0–1.1) | ns | 2.6 (1.6–4.2) | 1.5 (1.0–2.3) | 2.3 (1.4–3.7) | 2.8 (1.8–4.4) |
| Biomarker | ΔAUC (95%CI) | Rank ΔAUC | IDI (%) (95%CI) | Rank IDI | NRI (%) (95%CI) | Rank NRI | Rank Sum |
|---|---|---|---|---|---|---|---|
| Maternal factors | |||||||
| +PlGF (pg/mL) | 0.042 | 3 | 3.7 (1.4–6.0) | 3 | 42.2 (23.6–60.8) | 3 | 9 |
| +sFlt1 (pg/mL) | 0.029 | 4 | 1.7 (0.5–2.9) | 5 | 35.5 (16.6–54.3) | 5 | 14 |
| +Uric acid (μmol/L) | 0.029 | 4 | 3.1 (1.4–4.8) | 4 | 39.5 (21.8–57.3) | 4 | 12 |
| +NT-proBNP (ng/L) | 0.059 | 2 | 5.7 (3.5–7.9) | 2 | 53.5 (35.1–72.0) | 2 | 6 |
| +all biomarkers | 0.102 | 1 | 12.3 (9.1–15.5) | 1 | 65.2 (47.2–83.2) | 1 | 3 |
Disclaimer/Publisher’s Note: The statements, opinions and data contained in all publications are solely those of the individual author(s) and contributor(s) and not of MDPI and/or the editor(s). MDPI and/or the editor(s) disclaim responsibility for any injury to people or property resulting from any ideas, methods, instructions or products referred to in the content. |
© 2023 by the authors. Licensee MDPI, Basel, Switzerland. This article is an open access article distributed under the terms and conditions of the Creative Commons Attribution (CC BY) license (https://creativecommons.org/licenses/by/4.0/).
Share and Cite
Nan, M.N.; García-Osuna, Á.; Mora, J.; Trilla, C.; Antonijuan, A.; Orantes, V.; Cruz-Lemini, M.; Blanco-Vaca, F.; Llurba, E. Impact of Angiogenic and Cardiovascular Biomarkers for Prediction of Placental Dysfunction in the First Trimester of Pregnancy. Biomedicines 2023, 11, 1327. https://doi.org/10.3390/biomedicines11051327
Nan MN, García-Osuna Á, Mora J, Trilla C, Antonijuan A, Orantes V, Cruz-Lemini M, Blanco-Vaca F, Llurba E. Impact of Angiogenic and Cardiovascular Biomarkers for Prediction of Placental Dysfunction in the First Trimester of Pregnancy. Biomedicines. 2023; 11(5):1327. https://doi.org/10.3390/biomedicines11051327
Chicago/Turabian StyleNan, Madalina Nicoleta, Álvaro García-Osuna, Josefina Mora, Cristina Trilla, Assumpta Antonijuan, Vanesa Orantes, Mónica Cruz-Lemini, Francisco Blanco-Vaca, and Elisa Llurba. 2023. "Impact of Angiogenic and Cardiovascular Biomarkers for Prediction of Placental Dysfunction in the First Trimester of Pregnancy" Biomedicines 11, no. 5: 1327. https://doi.org/10.3390/biomedicines11051327
APA StyleNan, M. N., García-Osuna, Á., Mora, J., Trilla, C., Antonijuan, A., Orantes, V., Cruz-Lemini, M., Blanco-Vaca, F., & Llurba, E. (2023). Impact of Angiogenic and Cardiovascular Biomarkers for Prediction of Placental Dysfunction in the First Trimester of Pregnancy. Biomedicines, 11(5), 1327. https://doi.org/10.3390/biomedicines11051327

