Fibroblast Growth Factor 23: Potential Marker of Invisible Heart Damage in Diabetic Population
Abstract
1. Introduction
2. Materials and Methods
2.1. Study Design and Population
2.2. FGF23 Measurement
2.3. Conventional Echocardiography
2.4. Two-Dimensional Speckle-Tracking Echocardiography
2.5. Statistical Analysis
3. Results
4. Discussion
5. Study Limitations
6. Conclusions
Author Contributions
Funding
Institutional Review Board Statement
Informed Consent Statement
Data Availability Statement
Conflicts of Interest
References
- Magliano, D.J.; Boyko, E.J. Chapter 3, Global Picture. In IDF Diabetes Atlas 10th Edition Scientific Committee; International Diabetes Federation: Brussels, Belgium, 2021. Available online: https://www.ncbi.nlm.nih.gov/books/NBK581940/ (accessed on 10 January 2023).
- Zheng, Y.; Ley, S.H.; Hu, F.B. Global aetiology and epidemiology of type 2 diabetes mellitus and its complications. Nat. Rev. Endocrinol. 2018, 14, 88–98. [Google Scholar] [CrossRef]
- De Mattos Matheus, A.S.; Tannus, L.R.M.; Cobas, R.A.; Palma, C.C.S.; Negrato, C.A.; de Brito Gomes, M. Impact of diabetes on cardiovascular disease: An update. Int. J. Hypertens. 2013, 2013, 653789. [Google Scholar] [CrossRef]
- Emerging Risk Factors Collaboration; Sarwar, N.; Gao, P.; Seshasai, S.R.; Gobin, R.; Kaptoge, S.; Di Angelantonio, E.; Ingelsson, E.; Lawlor, D.A.; Selvin, E.; et al. Diabetes mellitus, fasting blood glucose concentration, and risk of vascular disease: A collaborative meta-analysis of 102 prospective studies. Lancet 2010, 375, 2215–2222, Erratum in Lancet 2010, 376, 958. Hillage, H L [corrected to Hillege, H L]. [Google Scholar] [CrossRef]
- Nichols, G.A.; Hillier, T.A.; Erbey, J.R.; Brown, J.B. Congestive heart failure in type 2 diabetes: Prevalence, incidence, and risk factors. Diabetes Care 2001, 24, 1614–1619. [Google Scholar] [CrossRef]
- Dei Cas, A.; Khan, S.S.; Butler, J.; Mentz, R.J.; Bonow, R.O.; Avogaro, A.; Tschoepe, D.; Doehner, W.; Greene, S.J.; Senni, M.; et al. Impact of diabetes on epidemiology, treatment, and outcomes of patients with heart failure. JACC Heart Fail. 2015, 3, 136–145. [Google Scholar] [CrossRef]
- Rubler, S.; Dlugash, J.; Yuceoglu, Y.Z.; Kumral, T.; Branwood, A.W.; Grishman, A. New type of cardiomyopathy associated with diabetic glomerulosclerosis. Am. J. Cardiol. 1972, 30, 595–602. [Google Scholar] [CrossRef]
- Kannel, W.B.; Hjortland, M.; Castelli, W.P. Role of diabetes in congestive heart failure: The Framingham study. Am. J. Cardiol. 1974, 34, 29–34. [Google Scholar] [CrossRef]
- Tan, Y.; Zhang, Z.; Zheng, C.; Wintergerst, K.A.; Keller, B.B.; Cai, L. Mechanisms of diabetic cardiomyopathy and potential therapeutic strategies: Preclinical and clinical evidence. Nat. Rev. Cardiol. 2020, 17, 585–607. [Google Scholar] [CrossRef]
- Kakogawa, J.; Nako, T.; Igarashi, S.; Nakamura, S.; Tanaka, M. Peripartum heart failure caused by left ventricular diastolic dysfunction: A case report. Acta. Obs. Gynecol. Scand. 2014, 93, 835–838. [Google Scholar] [CrossRef]
- Khalid, J.M.; Raluy-Callado, M.; Curtis, B.H.; Boye, K.S.; Maguire, A.; Reaney, M. Rates and risk of hospitalisation among patients with type 2 diabetes: Retrospective cohort study using the UK General Practice Research Database linked to English Hospital Episode Statistics. Int. J. Clin. Pract. 2014, 68, 40–48. [Google Scholar] [CrossRef]
- Chen, S.; Shen, Y.; Liu, Y.H.; Dai, Y.; Wu, Z.M.; Wang, X.Q.; Yang, C.D.; Li, L.Y.; Liu, J.M.; Zhang, L.P.; et al. Impact of glycemic control on the association of endothelial dysfunction and coronary artery disease in patients with type 2 diabetes mellitus. Cardiovasc. Diabetol. 2021, 20, 64. [Google Scholar] [CrossRef] [PubMed]
- Iribarren, C.; Karter, A.J.; Go, A.S.; Ferrara, A.; Liu, J.Y.; Sidney, S.; Selby, J.V. Glycemic control and heart failure among adult patients with diabetes. Circulation 2001, 103, 2668–2673. [Google Scholar] [CrossRef] [PubMed]
- Owan, T.E.; Hodge, D.O.; Herges, R.M.; Jacobsen, S.J.; Roger, V.L.; Redfield, M.M. Trends in prevalence and outcome of heart failure with preserved ejection fraction. N. Engl. J. Med. 2006, 355, 251–259. [Google Scholar] [CrossRef] [PubMed]
- Mirsky, I.; Parmley, W.W. Assessment of passive elastic stiffness for isolated heart muscle and the intact heart. Circ. Res. 1973, 33, 233–243. [Google Scholar] [CrossRef] [PubMed]
- Brady, B.; King, G.; Murphy, R.T.; Walsh, D. Myocardial strain: A clinical review. Ir. J. Med. Sci. 2022, 1–8. [Google Scholar] [CrossRef]
- Cameli, M.; Sengupta, P.; Edvardsen, T. Deformation echocardiography. In The EACVI Textbook of Echocardiography, 2nd ed.; Lancellotti, P., Zamorano, J.L., Habib, G., Badano, L., Eds.; ESC Publications: Oxford, UK, 2016. [Google Scholar] [CrossRef]
- Smith, E.R. The use of fibroblast growth factor 23 testing in patients with kidney disease. Clin. J. Am. Soc. Nephrol. 2014, 9, 1283–1303. [Google Scholar] [CrossRef]
- Wolf, M. Update on fibroblast growth factor 23 in chronic kidney disease. Kidney Int. 2012, 82, 737–747. [Google Scholar] [CrossRef]
- Faul, C.; Amaral, A.P.; Oskouei, B.; Hu, M.C.; Sloan, A.; Isakova, T.; Gutiérrez, O.M.; Aguillon-Prada, R.; Lincoln, J.; Hare, J.M.; et al. FGF23 induces left ventricular hypertrophy. J. Clin. Investig. 2011, 121, 4393–4408. [Google Scholar] [CrossRef]
- Dai, B.; David, V.; Martin, A.; Huang, J.; Li, H.; Jiao, Y.; Gu, W.; Quarles, L.D. A comparative transcriptome analysis identifying FGF23 regulated genes in the kidney of a mouse CKD model. PLoS ONE 2012, 7, e44161. [Google Scholar] [CrossRef]
- Yan, L.; Bowman, M.A. Chronic sustained inflammation links to left ventricular hypertrophy and aortic valve sclerosis: A new link between S100/RAGE and FGF23. Inflamm. Cell Signal. 2014, 1, e279. [Google Scholar] [CrossRef]
- Robinson-Cohen, C.; Shlipak, M.; Sarnak, M.; Katz, R.; Peralta, C.; Young, B.; Hoofnagle, A.N.; Szklo, M.; Ix, J.H.; Psaty, B.M.; et al. Impact of Race on the Association of Mineral Metabolism with Heart Failure: The Multi-Ethnic Study of Atherosclerosis. J. Clin. Endocrinol. Metab. 2020, 105, e1144–e1151. [Google Scholar] [CrossRef] [PubMed]
- Kestenbaum, B.; Sachs, M.C.; Hoofnagle, A.N.; Siscovick, D.S.; Ix, J.H.; Robinson-Cohen, C.; Lima, J.A.; Polak, J.F.; Blondon, M.; Ruzinski, J.; et al. Fibroblast growth factor-23 and cardiovascular disease in the general population: The Multi-Ethnic Study of Atherosclerosis. Circ. Heart Fail. 2014, 7, 409–417. [Google Scholar] [CrossRef] [PubMed]
- Kurpas, A.; Supel, K.; Wieczorkiewicz, P.; Bodalska Duleba, J.; Zielinska, M. Fibroblast Growth Factor 23 and Cardiovascular Risk in Diabetes Patients-Cardiologists Be Aware. Metabolites 2022, 12, 498. [Google Scholar] [CrossRef] [PubMed]
- Yamazaki, Y.; Okazaki, R.; Shibata, M.; Hasegawa, Y.; Satoh, K.; Tajima, T.; Takeuchi, Y.; Fujita, T.; Nakahara, K.; Yamashita, T.; et al. Increased circulatory level of biologically active full-length FGF-23 in patients with hypophosphatemic rickets/osteomalacia. J. Clin. Endocrinol. Metab. 2002, 87, 4957–4960. [Google Scholar] [CrossRef] [PubMed]
- Nagueh, S.F.; Smiseth, O.A.; Appleton, C.P.; Byrd, B.F., 3rd; Dokainish, H.; Edvardsen, T.; Flachskampf, F.A.; Gillebert, T.C.; Klein, A.L.; Lancellotti, P.; et al. Recommendations for the Evaluation of Left Ventricular Diastolic Function by Echocardiography: An Update from the American Society of Echocardiography and the European Association of Cardiovascular Imaging. J. Am. Soc. Echocardiogr. 2016, 29, 277–314. [Google Scholar] [CrossRef]
- Nagata, Y.; Wu, V.C.; Otsuji, Y.; Takeuchi, M. Normal range of myocardial layer-specific strain using two-dimensional speckle tracking echocardiography. PLoS ONE 2017, 12, e0180584. [Google Scholar] [CrossRef]
- Frara, S.; Maffezzoni, F.; Mazziotti, G.; Giustina, A. Current and Emerging Aspects of Diabetes Mellitus in Acromegaly. Trends Endocrinol. Metab. 2016, 27, 470–483. [Google Scholar] [CrossRef]
- Law, B.; Fowlkes, V.; Goldsmith, J.G.; Carver, W.; Goldsmith, E.C. Diabetes-induced alterations in the extracellular matrix and their impact on myocardial function. Microsc. Microanal. 2012, 18, 22–34. [Google Scholar] [CrossRef]
- Storz, C.; Hetterich, H.; Lorbeer, R.; Heber, S.D.; Schafnitzel, A.; Patscheider, H.; Auweter, S.; Zitzelsberger, T.; Rathmann, W.; Nikolaou, K.; et al. Myocardial tissue characterization by contrast-enhanced cardiac magnetic resonance imaging in subjects with prediabetes, diabetes, and normal controls with preserved ejection fraction from the general population. Eur. Heart J. Cardiovasc. Imaging 2018, 19, 701–708. [Google Scholar] [CrossRef]
- Levelt, E.; Mahmod, M.; Piechnik, S.K.; Ariga, R.; Francis, J.M.; Rodgers, C.T.; Clarke, W.T.; Sabharwal, N.; Schneider, J.E.; Karamitsos, T.D.; et al. Relationship Between Left Ventricular Structural and Metabolic Remodeling in Type 2 Diabetes. Diabetes 2016, 65, 44–52. [Google Scholar] [CrossRef]
- Verdecchia, P.; Schillaci, G.; Borgioni, C.; Ciucci, A.; Gattobigio, R.; Zampi, I.; Santucci, A.; Santucci, C.; Reboldi, G.; Porcellati, C. Prognostic value of left ventricular mass and geometry in systemic hypertension with left ventricular hypertrophy. Am. J. Cardiol. 1996, 78, 197–202. [Google Scholar] [CrossRef] [PubMed]
- Gilca, G.E.; Stefanescu, G.; Badulescu, O.; Tanase, D.M.; Bararu, I.; Ciocoiu, M. Diabetic Cardiomyopathy: Current Approach and Potential Diagnostic and Therapeutic Targets. J. Diabetes Res. 2017, 2017, 1310265. [Google Scholar] [CrossRef] [PubMed]
- Jia, G.; Hill, M.A.; Sowers, J.R. Diabetic Cardiomyopathy: An Update of Mechanisms Contributing to This Clinical Entity. Circ. Res. 2018, 122, 624–638. [Google Scholar] [CrossRef] [PubMed]
- Chong, C.R.; Clarke, K.; Levelt, E. Metabolic Remodeling in Diabetic Cardiomyopathy. Cardiovasc. Res. 2017, 113, 422–430. [Google Scholar] [CrossRef]
- Lindman, B.R.; Dávila-Román, V.G.; Mann, D.L.; McNulty, S.; Semigran, M.J.; Lewis, G.D.; de las Fuentes, L.; Joseph, S.M.; Vader, J.; Hernandez, A.F.; et al. Cardiovascular phenotype in HFpEF patients with or without diabetes: A RELAX trial ancillary study. J. Am. Coll. Cardiol. 2014, 64, 541–549. [Google Scholar] [CrossRef]
- Tribouilloy, C.; Rusinaru, D.; Mahjoub, H.; Soulière, V.; Lévy, F.; Peltier, M.; Slama, M.; Massy, Z. Prognosis of heart failure with preserved ejection fraction: A 5 year prospective population-based study. Eur. Heart J. 2008, 29, 339–347. [Google Scholar] [CrossRef]
- Persson, H.; Lonn, E.; Edner, M.; Baruch, L.; Lang, C.C.; Morton, J.J.; Ostergren, J.; McKelvie, R.S.; Investigators of the CHARM Echocardiographic Substudy-CHARMES. Diastolic dysfunction in heart failure with preserved systolic function: Need for objective evidence: Results from the CHARM Echocardiographic Substudy-CHARMES. J. Am. Coll. Cardiol. 2007, 49, 687–694. [Google Scholar] [CrossRef]
- Redfield, M.M.; Jacobsen, S.J.; Burnett, J.C., Jr.; Mahoney, D.W.; Bailey, K.R.; Rodeheffer, R.J. Burden of systolic and diastolic ventricular dysfunction in the community: Appreciating the scope of the heart failure epidemic. JAMA 2003, 289, 194–202. [Google Scholar] [CrossRef]
- Kang, S.H.; Park, J.J.; Choi, D.J.; Yoon, C.H.; Oh, I.Y.; Kang, S.M.; Yoo, B.S.; Jeon, E.S.; Kim, J.J.; Cho, M.C.; et al. Prognostic value of NT-proBNP in heart failure with preserved versus reduced EF. Heart 2015, 101, 1881–1888. [Google Scholar] [CrossRef]
- Park, J.J.; Park, J.B.; Park, J.H.; Cho, G.Y. Global Longitudinal Strain to Predict Mortality in Patients with Acute Heart Failure. J. Am. Coll. Cardiol. 2018, 71, 1947–1957. [Google Scholar] [CrossRef]
- Park, J.J.; Hwang, I.C.; Kang, S.H.; Park, J.B.; Park, J.H.; Cho, G.Y. Myocardial strain for heart failure with preserved ejection fraction but without diastolic dysfunction. ESC Heart Fail. 2022, 9, 3308–3316. [Google Scholar] [CrossRef] [PubMed]
- McDonagh, T.A.; Metra, M.; Adamo, M.; Gardner, R.S.; Baumbach, A.; Böhm, M.; Burri, H.; Butler, J.; Čelutkienė, J.; Chioncel, O.; et al. 2021 ESC Guidelines for the diagnosis and treatment of acute and chronic heart failure. Eur. Heart J. 2021, 42, 3599–3726, Erratum in Eur. Heart J. 2021, 42, 4901. [Google Scholar] [CrossRef] [PubMed]
- Cho, G.-Y.; Marwick, T.H.; Kim, H.-S.; Kim, M.-K.; Hong, K.-S.; Oh, D.-J. Global 2-dimensional strain as a new prognosticator in patients with heart failure. J. Am. Coll. Cardiol. 2009, 54, 618–624. [Google Scholar] [CrossRef] [PubMed]
- Pezel, T.; Bluemke, D.; Wu, C.; Lima, J.; Venkatesh, B.A. Layer-specific regional circumferential strain as prognostic marker of cardiovascular events. Eur. Heart J.-Cardiovasc. Imaging 2022, 23, jeab289.347. [Google Scholar] [CrossRef]
- Skaarup, K.G.; Lassen, M.H.; Johansen, N.D.; Jensen, G.B.; Schnohr, P.; Mogelvang, R.; Biering-Srensen, T. Abstract 9893: The Associations Between Layer-Specific Global Circumferential Strain Parameters and Incident Heart Failure: The Copenhagen City Heart Study. Circulation 2022, 146, A9893. [Google Scholar] [CrossRef]
- Flores-Ramírez, R.; Azpiri-López, J.R.; González-González, J.G.; Ordaz-Farías, A.; González-Carrillo, L.E.; Carrizales-Sepúlveda, E.F.; Vera-Pineda, R. Global longitudinal strain as a biomarker in diabetic cardiomyopathy. A comparative study with Gal-3 in patients with preserved ejection fraction. Arch. Cardiol. Mex. 2017, 87, 278–285. [Google Scholar] [CrossRef]
- Liu, J.H.; Chen, Y.; Yuen, M.; Zhen, Z.; Chan, C.W.; Lam, K.S.; Tse, H.F.; Yiu, K.H. Incremental prognostic value of global longitudinal strain in patients with type 2 diabetes mellitus. Cardiovasc. Diabetol. 2016, 15, 22. [Google Scholar] [CrossRef]
- Tadic, M.; Cuspidi, C.; Vukomanovic, V.; Ilic, S.; Obert, P.; Kocijancic, V.; Celic, V. Layer-specific deformation of the left ventricle in uncomplicated patients with type 2 diabetes and arterial hypertension. Arch. Cardiovasc. Dis. 2018, 111, 17–24. [Google Scholar] [CrossRef]
- Kranias, E.G.; Hajjar, R.J. Modulation of cardiac contractility by the phospholamban/SERCA2a regulatome. Circ. Res. 2012, 110, 1646–1660. [Google Scholar] [CrossRef]
- Eisner, D.A.; Caldwell, J.L.; Trafford, A.W.; Hutchings, D.C. The Control of Diastolic Calcium in the Heart: Basic Mechanisms and Functional Implications. Circ. Res. 2020, 126, 395–412. [Google Scholar] [CrossRef]
- Adeniran, I.; MacIver, D.H.; Hancox, J.C.; Zhang, H. Abnormal calcium homeostasis in heart failure with preserved ejection fraction is related to both reduced contractile function and incomplete relaxation: An electromechanically detailed biophysical modeling study. Front. Physiol. 2015, 6, 78. [Google Scholar] [CrossRef] [PubMed]
- Touchberry, C.D.; Green, T.M.; Tchikrizov, V.; Mannix, J.E.; Mao, T.F.; Carney, B.W.; Girgis, M.; Vincent, R.J.; Wetmore, L.A.; Dawn, B.; et al. FGF23 is a novel regulator of intracellular calcium and cardiac contractility in addition to cardiac hypertrophy. Am. J. Physiol. Endocrinol. Metab. 2013, 304, E863–E873. [Google Scholar] [CrossRef]
- Tuñón, J.; Fernández-Fernández, B.; Carda, R.; Pello, A.M.; Cristóbal, C.; Tarín, N.; Aceña, Á.; González-Casaus, M.L.; Huelmos, A.; Alonso, J.; et al. Circulating fibroblast growth factor-23 plasma levels predict adverse cardiovascular outcomes in patients with diabetes mellitus with coronary artery disease. Diabetes. Metab. Res. Rev. 2016, 32, 685–693. [Google Scholar] [CrossRef] [PubMed]
- Yeung, S.M.H.; Binnenmars, S.H.; Gant, C.M.; Navis, G.; Gansevoort, R.T.; Bakker, S.J.L.; de Borst, M.H.; Laverman, G.D. Fibroblast Growth Factor 23 and Mortality in Patients With Type 2 Diabetes and Normal or Mildly Impaired Kidney Function. Diabetes Care 2019, 42, 2151–2153. [Google Scholar] [CrossRef] [PubMed]
- Simic, P.; Kim, W.; Zhou, W.; Pierce, K.A.; Chang, W.; Sykes, D.B.; Aziz, N.B.; Elmariah, S.; Ngo, D.; Pajevic, P.D.; et al. Glycerol-3-phosphate is an FGF23 regulator derived from the injured kidney. J. Clin. Investig. 2020, 130, 1513–1526. [Google Scholar] [CrossRef] [PubMed]
- Giroix, M.H.; Rasschaert, J.; Bailbe, D.; Leclercq-Meyer, V.; Sener, A.; Portha, B.; Malaisse, W.J. Impairment of glycerol phosphate shuttle in islets from rats with diabetes induced by neonatal streptozocin. Diabetes 1991, 40, 227–232. [Google Scholar] [CrossRef]
- Samadfam, R.; Richard, C.; Nguyen-Yamamoto, L.; Bolivar, I.; Goltzman, D. Bone formation regulates circulating concentrations of fibroblast growth factor 23. Endocrinology 2009, 150, 4835–4845. [Google Scholar] [CrossRef]
- Anders, H.J.; Huber, T.B.; Isermann, B.; Schiffer, M. CKD in diabetes: Diabetic kidney disease versus nondiabetic kidney disease. Nat. Rev. Nephrol. 2018, 14, 361–377. [Google Scholar] [CrossRef]
- Yamamoto, M.; Sugimoto, T. Advanced Glycation End Products, Diabetes, and Bone Strength. Curr. Osteoporos. Rep. 2016, 14, 320–326. [Google Scholar] [CrossRef]
- Bär, L.; Wächter, K.; Wege, N.; Navarrete Santos, A.; Simm, A.; Föller, M. Advanced glycation end products stimulate gene expression of fibroblast growth factor 23. Mol. Nutr. Food Res. 2017, 61, 1601019. [Google Scholar] [CrossRef]
- David, V.; Martin, A.; Isakova, T.; Spaulding, C.; Qi, L.; Ramirez, V.; Zumbrennen-Bullough, K.B.; Sun, C.C.; Lin, H.Y.; Babitt, J.L.; et al. Inflammation and functional iron deficiency regulate fibroblast growth factor 23 production. Kidney Int. 2016, 89, 135–146. [Google Scholar] [CrossRef] [PubMed]
- Donath, M.Y.; Shoelson, S.E. Type 2 diabetes as an inflammatory disease. Nat. Rev. Immunol. 2011, 11, 98–107. [Google Scholar] [CrossRef] [PubMed]
- Patel, R.B.; Ning, H.; de Boer, I.H.; Kestenbaum, B.; Lima JA, C.; Mehta, R.; Allen, N.B.; Shah, S.J.; Lloyd-Jones, D.M. Fibroblast Growth Factor 23 and Long-Term Cardiac Function: The Multi-Ethnic Study of Atherosclerosis. Circ. Cardiovasc. Imaging 2020, 13, e011925. [Google Scholar] [CrossRef] [PubMed]
- Roy, C.; Lejeune, S.; Slimani, A.; de Meester, C.; Ahn As, S.A.; Rousseau, M.F.; Mihaela, A.; Ginion, A.; Ferracin, B.; Pasquet, A.; et al. Fibroblast growth factor 23: A biomarker of fibrosis and prognosis in heart failure with preserved ejection fraction. ESC Heart Fail. 2020, 7, 2494–2507. [Google Scholar] [CrossRef] [PubMed]







| Variable | Total N = 71 | Without LVDD N = 46 | With LVDD N = 25 | p Value |
|---|---|---|---|---|
| Age, years | 70 (66–74) | 67.5 (65–74) | 70 (69–74) | 0.061 |
| Female sex | 36 (51) | 22 (49) | 14 (56) | 0.511 |
| T2DM duration, years | 19 (13–24) | 18 (13–22) | 19 (14–27) | 0.446 |
| BMI, kg/m2 | 29.7 (25–33) | 29 (25–33) | 29.7 (27–33) | 0.572 |
| Arterial hypertension | 59 (83) | 37 (80) | 22 (88) | 0.631 |
| Stroke | 5 (7) | 2 (4) | 3 (12) | 0.472 |
| Atrial fibrillation | 4 (5) | 3 (7) | 1 (4) | 0.921 |
| Diabetic retinopathy | 12 (17) | 8 (17) | 4 (16) | 0.856 |
| Diabetic neuropathy | 7 (10) | 4 (9) | 3 (12) | 0.977 |
| Diabetic foot syndrome | 3 (4) | 1 (2) | 2 (8) | 0.583 |
| Cardiovascular hospitalization | 11 (15) | 8 (17) | 3 (12) | 0.798 |
| Family history of heart disease | 35 (49) | 24 (52) | 11 (44) | 0.511 |
| Family history of diabetes mellitus | 47 (66) | 29 (63) | 18 (72) | 0.446 |
| Current and former smokers | 47 (66) | 30 (65) | 17 (68) | 0.979 |
| Nonsmokers | 24 (34) | 16 (35) | 8 (32) | 0.979 |
| Variable | Total N = 71 | Without LVDD N = 46 | With LVDD N = 25 | p Value |
|---|---|---|---|---|
| FGF23, pg/mL | 256 (214–567) | 255 (206–567) | 268 (232–380) | 0.918 |
| Cr, mg/dL | 0.83 (0.73–0.96) | 0.79 (0.7–0.92) | 0.91(0.79–1.04) | 0.022 |
| eGFR, mL/min/1.73 m2 | 88 (75–102) | 101 (76–102) | 80 (64–101) | 0.029 |
| HbA1c, % | 6.8 (6.4–7.4) | 6.5 (6.3–7.2) | 7 (6.7–7.7) | 0.045 |
| TC, mg/dL | 155 (129–187) | 157 (132–194) | 140 (125–176) | 0.327 |
| HDL-C, mg/dL | 51 (43–62) | 51 (43–62) | 51 (44–61) | 0.764 |
| LDL-C, mg/dL | 73 (54–98) | 80 (55–102) | 71 (51–98) | 0.489 |
| non-HDL-C, mg/dL | 102 (77–126) | 104 (80–126) | 98 (77–126) | 0.381 |
| TG, mg/dL | 121 (90–169) | 121 (93–169) | 120 (90–166) | 0.976 |
| Variable | Total N = 71 | Without LVDD N = 46 | With LVDD N = 25 | p Value |
|---|---|---|---|---|
| LVEF, % | 56 (54–62) | 56 (53–62) | 56 (54–60) | 0.827 |
| LVESV, mL | 31 (28–35) | 31 (28–35) | 33 (29–35) | 0.353 |
| LVEDV, mL | 45 (43–48) | 45 (43–48) | 47 (45–49) | 0.155 |
| LVMI, g/m2 | 98 (83–110) | 92 (81–107) | 109 (100–121) | 0.003 |
| LA volume, mL | 50 (43–63) | 49 (42–61) | 56 (48–77) | 0.166 |
| LAVI, mL/m2 | 27 (22–33) | 27 (21–31) | 30 (25–37) | 0.158 |
| TAPSE, mm | 22 (20–25) | 22 (21–25) | 21 (19–24) | 0.247 |
| RVOT proximal diameter, mm | 32 (30–34) | 32 (31–34) | 32 (30–35) | 0.565 |
| IVSs, mm | 16 (15–17) | 16 (15–16) | 17 (16–19) | 0.014 |
| IVSd, mm | 11 (10–12) | 11 (10–12) | 13 (11–13) | 0.002 |
| average E/e’ ratio | 9 (7–11) | 8 (7–10) | 11 (8–15) | 0.002 |
| Variable | Total N = 71 | Without LVDD N = 46 | With LVDD N = 25 | p Value | |
|---|---|---|---|---|---|
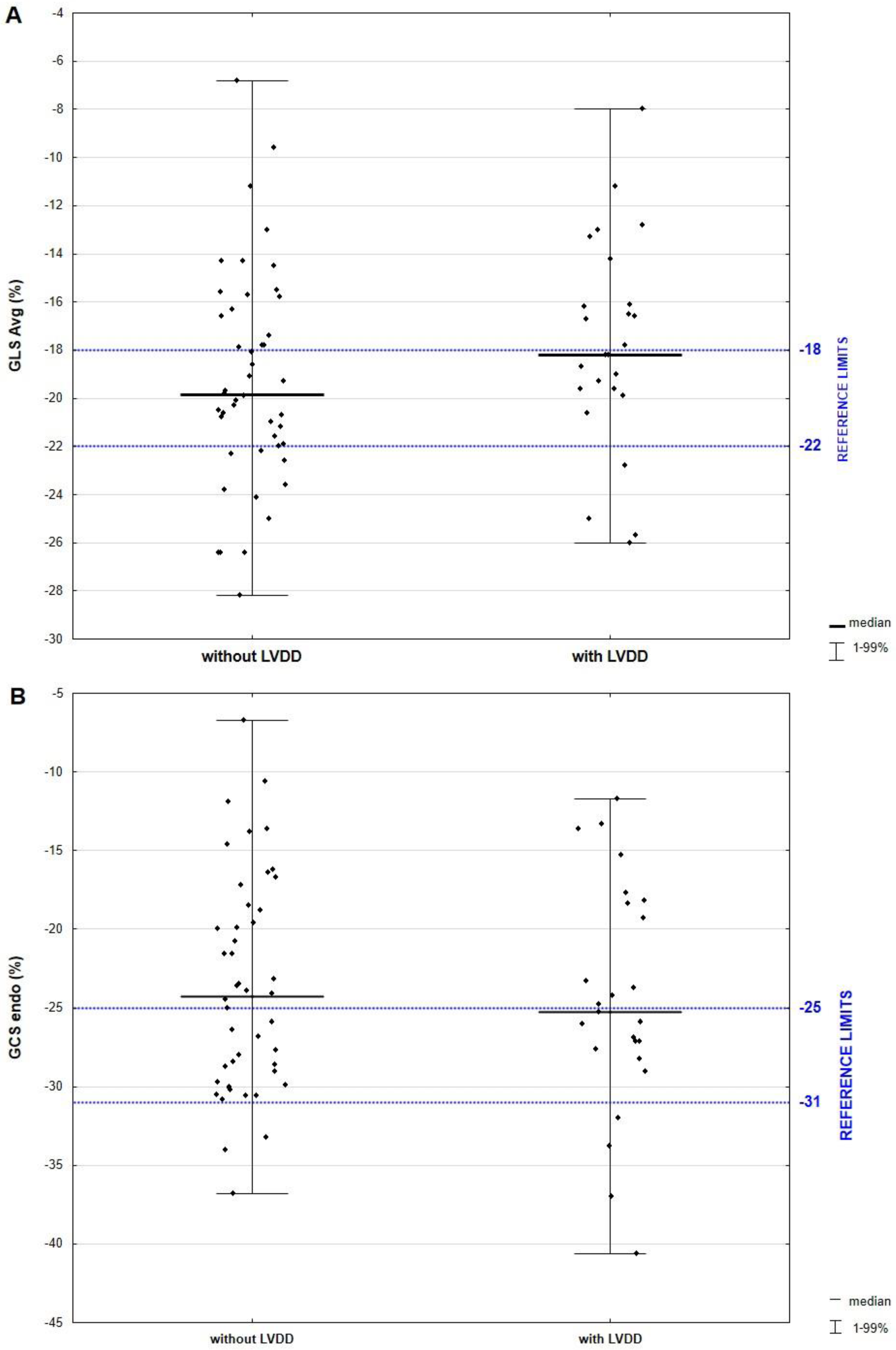
| GLS, % | apical 4 chamber | −18.6 (−21.6, −16.5) | −19.5 (−21.6, −17.2) | −17.7 (−20.9, −15.6) | 0.189 |
| apical 2 chamber | −19.4 (−22.5, −15.6) | −20.6 (−23.3, −16.9) | −18.4 (−19.6, −15.6) | 0.060 | |
| apical 3 chamber | −19.6 (−21.7, −14.1) | −19.9 (−21.5, −15.6) | −18.6 (−21.8, −13.2) | 0.373 | |
| average | −19.1 (−21.6, −16.1) | −19.9 (−22.0, −16.3) | −18.2 (−19.6, −16.1) | 0.115 | |
| GCS, % | epicardial | −9.2 (−11.7, −9.2) | −8.8 (−11.2, −6.8) | −10.2 (−12.1, −7.6) | 0.348 |
| mid-wall | −14.9 (−17.2, −11.1) | −15.1 (−17.1, −11.1) | −14.9 (−17.2, −11.8) | 0.824 | |
| endocardial | −24.8 (−29.0, −18.5) | −24.3 (−29.7, −18.8) | −25.3 (−27.6, −18.4) | 1.000 | |
| average | −16.4 (−18.8, −11.8) | −16.2 (−18.9, −11.8) | −16.4 (−18.4, −13.5) | 0.962 | |
Disclaimer/Publisher’s Note: The statements, opinions and data contained in all publications are solely those of the individual author(s) and contributor(s) and not of MDPI and/or the editor(s). MDPI and/or the editor(s) disclaim responsibility for any injury to people or property resulting from any ideas, methods, instructions or products referred to in the content. |
© 2023 by the authors. Licensee MDPI, Basel, Switzerland. This article is an open access article distributed under the terms and conditions of the Creative Commons Attribution (CC BY) license (https://creativecommons.org/licenses/by/4.0/).
Share and Cite
Kurpas, A.; Supel, K.; Wieczorkiewicz, P.; Bodalska Duleba, J.; Zielinska, M. Fibroblast Growth Factor 23: Potential Marker of Invisible Heart Damage in Diabetic Population. Biomedicines 2023, 11, 1523. https://doi.org/10.3390/biomedicines11061523
Kurpas A, Supel K, Wieczorkiewicz P, Bodalska Duleba J, Zielinska M. Fibroblast Growth Factor 23: Potential Marker of Invisible Heart Damage in Diabetic Population. Biomedicines. 2023; 11(6):1523. https://doi.org/10.3390/biomedicines11061523
Chicago/Turabian StyleKurpas, Anna, Karolina Supel, Paulina Wieczorkiewicz, Joanna Bodalska Duleba, and Marzenna Zielinska. 2023. "Fibroblast Growth Factor 23: Potential Marker of Invisible Heart Damage in Diabetic Population" Biomedicines 11, no. 6: 1523. https://doi.org/10.3390/biomedicines11061523
APA StyleKurpas, A., Supel, K., Wieczorkiewicz, P., Bodalska Duleba, J., & Zielinska, M. (2023). Fibroblast Growth Factor 23: Potential Marker of Invisible Heart Damage in Diabetic Population. Biomedicines, 11(6), 1523. https://doi.org/10.3390/biomedicines11061523

