Endothelial Biomarkers Are Superior to Classic Inflammatory Biomarkers in Community-Acquired Pneumonia
Abstract
1. Introduction
2. Materials and Methods
2.1. Study Design and Study Population
2.2. Definition of Clinical Outcomes
2.3. Blood Samples
2.4. Biomarker Measurement
2.5. Statistical Analysis
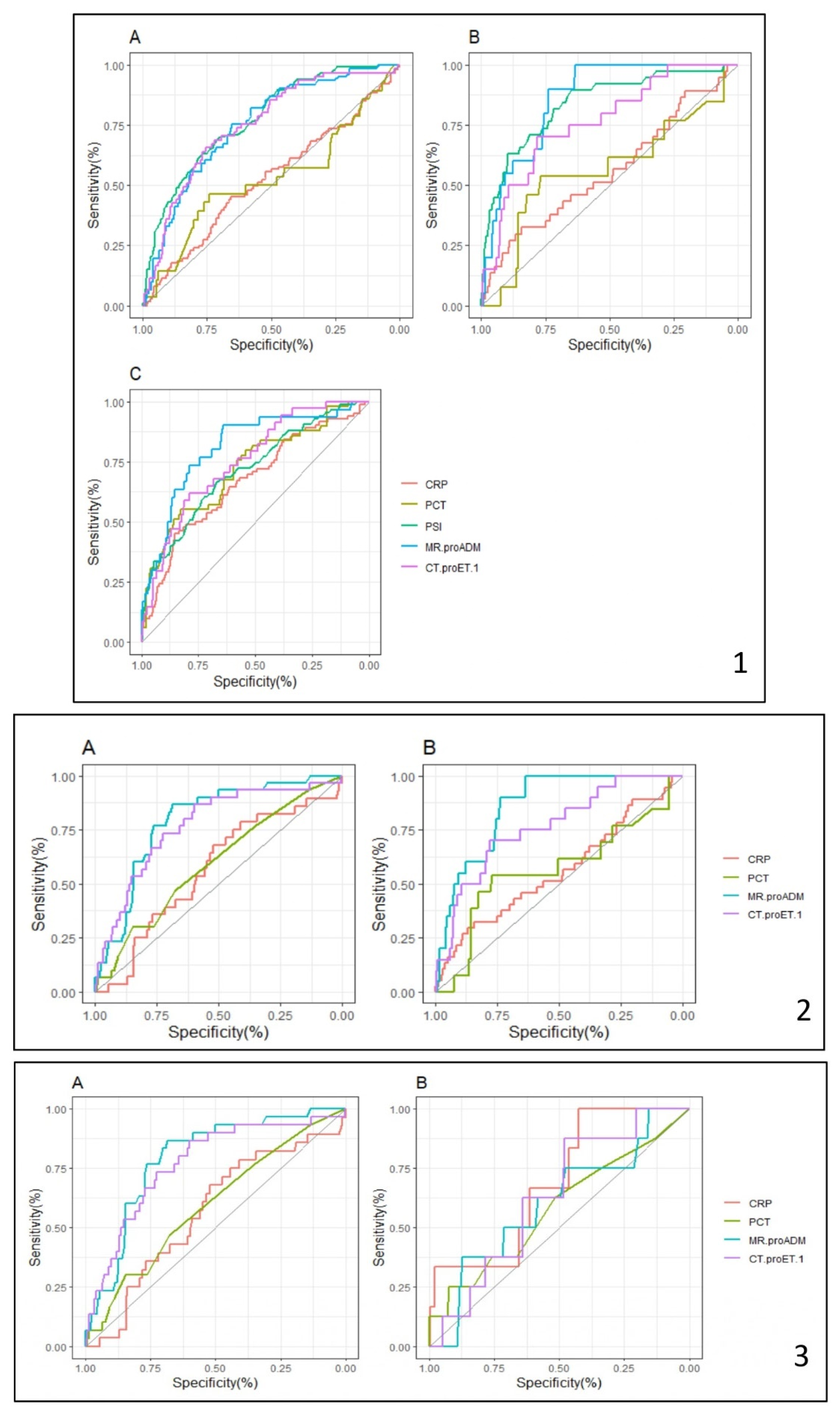
3. Results
3.1. Patient Characteristics and Clinical Outcomes
3.2. Endothelial and Inflammatory Markers
3.3. Outcomes
4. Discussion
5. Conclusions
Supplementary Materials
Author Contributions
Funding
Institutional Review Board Statement
Informed Consent Statement
Data Availability Statement
Acknowledgments
Conflicts of Interest
References
- Prina, E.; Ranzani, O.T.; Torres, A. Community-acquired pneumonia. Lancet 2015, 386, 1097–1108. [Google Scholar] [CrossRef] [PubMed]
- Dela Cruz, C.S.; Wunderink, R.G.; Christiani, D.C.; Cormier, S.A.; Crothers, K.; Doerschuk, C.M.; Evans, S.E.; Goldstein, D.R.; Khatri, P.; Kobzik, L.; et al. Future Research Directions in Pneumonia. NHLBI Working Group Report. Am. J. Respir. Crit. Care Med. 2018, 198, 256–263. [Google Scholar] [CrossRef] [PubMed]
- Corrales-Medina, V.F.; Alvarez, K.N.; Weissfeld, L.A.; Angus, D.C.; Chirinos, J.A.; Chang, C.C.; Newman, A.; Loehr, L.; Folsom, A.R.; Elkind, M.S.; et al. Association between hospitalization for pneumonia and subsequent risk of cardiovascular disease. JAMA 2015, 313, 264–274. [Google Scholar] [CrossRef]
- Corrales-Medina, V.F.; Musher, D.M.; Shachkina, S.; Chirinos, J.A. Acute pneumonia and the cardiovascular system. Lancet 2013, 381, 496–505. [Google Scholar] [CrossRef]
- Tralhao, A.; Povoa, P. Cardiovascular Events After Community-Acquired Pneumonia: A Global Perspective with Systematic Review and Meta-Analysis of Observational Studies. J. Clin. Med. 2020, 9, 414. [Google Scholar] [CrossRef]
- Johansson, N.; Kalin, M.; Backman-Johansson, C.; Larsson, A.; Nilsson, K.; Hedlund, J. Procalcitonin levels in community-acquired pneumonia—Correlation with aetiology and severity. Scand. J. Infect. Dis. 2014, 46, 787–791. [Google Scholar] [CrossRef]
- Gabay, C.; Kushner, I. Acute-phase proteins and other systemic responses to inflammation. N. Engl. J. Med. 1999, 340, 448–454. [Google Scholar] [CrossRef] [PubMed]
- Mendez, R.; Menendez, R.; Cilloniz, C.; Amara-Elori, I.; Amaro, R.; Gonzalez, P.; Posadas, T.; Gimeno, A.; Espana, P.P.; Almirall, J.; et al. Initial Inflammatory Profile in Community-acquired Pneumonia Depends on Time since Onset of Symptoms. Am. J. Respir. Crit. Care Med. 2018, 198, 370–378. [Google Scholar] [CrossRef]
- Chalmers, J.D.; Singanayagam, A.; Hill, A.T. C-reactive protein is an independent predictor of severity in community-acquired pneumonia. Am. J. Med. 2008, 121, 219–225. [Google Scholar] [CrossRef]
- Menendez, R.; Martinez, R.; Reyes, S.; Mensa, J.; Polverino, E.; Filella, X.; Esquinas, C.; Martinez, A.; Ramirez, P.; Torres, A. Stability in community-acquired pneumonia: One step forward with markers? Thorax 2009, 64, 987–992. [Google Scholar] [CrossRef]
- Piccioni, A.; Saviano, A.; Cicchinelli, S.; Valletta, F.; Santoro, M.C.; de Cunzo, T.; Zanza, C.; Longhitano, Y.; Tullo, G.; Tilli, P.; et al. Proadrenomedullin in Sepsis and Septic Shock: A Role in the Emergency Department. Medicina 2021, 57, 920. [Google Scholar] [CrossRef] [PubMed]
- Caruhel, P.; Mazier, C.; Kunde, J.; Morgenthaler, N.G.; Darbouret, B. Homogeneous time-resolved fluoroimmunoassay for the measurement of midregional proadrenomedullin in plasma on the fully automated system B.R.A.H.M.S KRYPTOR. Clin. Biochem. 2009, 42, 725–728. [Google Scholar] [CrossRef] [PubMed]
- Gegenhuber, A.; Struck, J.; Dieplinger, B.; Poelz, W.; Pacher, R.; Morgenthaler, N.G.; Bergmann, A.; Haltmayer, M.; Mueller, T. Comparative evaluation of B-type natriuretic peptide, mid-regional pro-A-type natriuretic peptide, mid-regional pro-adrenomedullin, and Copeptin to predict 1-year mortality in patients with acute destabilized heart failure. J. Card. Fail. 2007, 13, 42–49. [Google Scholar] [CrossRef] [PubMed]
- Menendez, R.; Mendez, R.; Almansa, R.; Ortega, A.; Alonso, R.; Suescun, M.; Ferrando, A.; Feced, L.; Bermejo-Martin, J.F. Simultaneous Depression of Immunological Synapse and Endothelial Injury is Associated with Organ Dysfunction in Community-Acquired Pneumonia. J. Clin. Med. 2019, 8, 1404. [Google Scholar] [CrossRef] [PubMed]
- Onal, U.; Valenzuela-Sanchez, F.; Vandana, K.E.; Rello, J. Mid-Regional Pro-Adrenomedullin (MR-proADM) as a Biomarker for Sepsis and Septic Shock: Narrative Review. Healthcare 2018, 6, 110. [Google Scholar] [CrossRef]
- Voors, A.A.; Kremer, D.; Geven, C.; Ter Maaten, J.M.; Struck, J.; Bergmann, A.; Pickkers, P.; Metra, M.; Mebazaa, A.; Dungen, H.D.; et al. Adrenomedullin in heart failure: Pathophysiology and therapeutic application. Eur. J. Heart Fail. 2019, 21, 163–171. [Google Scholar] [CrossRef]
- Fagan, K.A.; McMurtry, I.F.; Rodman, D.M. Role of endothelin-1 in lung disease. Respir. Res. 2001, 2, 90–101. [Google Scholar] [CrossRef]
- Gonzalez-Jimenez, P.; Mendez, R.; Latorre, A.; Mengot, N.; Piqueras, M.; Reyes, S.; Moscardo, A.; Alonso, R.; Amara-Elori, I.; Menendez, R. Endothelial Damage, Neutrophil Extracellular Traps and Platelet Activation in COVID-19 vs. Community-Acquired Pneumonia: A Case-Control Study. Int. J. Mol. Sci. 2023, 24, 13194. [Google Scholar] [CrossRef]
- Menendez, R.; Mendez, R.; Aldas, I.; Reyes, S.; Gonzalez-Jimenez, P.; Espana, P.P.; Almirall, J.; Alonso, R.; Suescun, M.; Martinez-Dolz, L.; et al. Community-Acquired Pneumonia Patients at Risk for Early and Long-term Cardiovascular Events Are Identified by Cardiac Biomarkers. Chest 2019, 156, 1080–1091. [Google Scholar] [CrossRef]
- Espana, P.P.; Capelastegui, A.; Mar, C.; Bilbao, A.; Quintana, J.M.; Diez, R.; Esteban, C.; Bereciartua, E.; Unanue, U.; Uranga, A. Performance of pro-adrenomedullin for identifying adverse outcomes in community-acquired pneumonia. J. Infect. 2015, 70, 457–466. [Google Scholar] [CrossRef]
- Christ-Crain, M.; Jaccard-Stolz, D.; Bingisser, R.; Gencay, M.M.; Huber, P.R.; Tamm, M.; Muller, B. Effect of procalcitonin-guided treatment on antibiotic use and outcome in lower respiratory tract infections: Cluster-randomised, single-blinded intervention trial. Lancet 2004, 363, 600–607. [Google Scholar] [CrossRef] [PubMed]
- Huang, D.T.; Angus, D.C.; Kellum, J.A.; Pugh, N.A.; Weissfeld, L.A.; Struck, J.; Delude, R.L.; Rosengart, M.R.; Yealy, D.M. Midregional proadrenomedullin as a prognostic tool in community-acquired pneumonia. Chest 2009, 136, 823–831. [Google Scholar] [CrossRef] [PubMed]
- Lacoma, A.; Bas, A.; Tudela, P.; Gimenez, M.; Modol, J.M.; Perez, M.; Ausina, V.; Dominguez, J.; Prat-Aymerich, C. Correlation of inflammatory and cardiovascular biomarkers with pneumonia severity scores. Enferm. Infecc. Microbiol. Clin. 2014, 32, 140–146. [Google Scholar] [CrossRef]
- Siljan, W.W.; Holter, J.C.; Michelsen, A.E.; Nymo, S.H.; Lauritzen, T.; Oppen, K.; Husebye, E.; Ueland, T.; Mollnes, T.E.; Aukrust, P.; et al. Inflammatory biomarkers are associated with aetiology and predict outcomes in community-acquired pneumonia: Results of a 5-year follow-up cohort study. ERJ Open Res. 2019, 5, 00014–02019. [Google Scholar] [CrossRef] [PubMed]
- Ishiyama, H.; Tanaka, T.; Saito, S.; Koyama, T.; Kitamura, A.; Inoue, M.; Fukushima, N.; Morita, Y.; Koga, M.; Toyoda, K.; et al. Plasma mid-regional pro-adrenomedullin: A biomarker of the ischemic penumbra in hyperacute stroke. Brain Pathol. 2023, 33, e13110. [Google Scholar] [CrossRef]
- Papassotiriou, J.; Morgenthaler, N.G.; Struck, J.; Alonso, C.; Bergmann, A. Immunoluminometric assay for measurement of the C-terminal endothelin-1 precursor fragment in human plasma. Clin. Chem. 2006, 52, 1144–1151. [Google Scholar] [CrossRef]
- Bermejo-Martin, J.F.; Martin-Fernandez, M.; Lopez-Mestanza, C.; Duque, P.; Almansa, R. Shared Features of Endothelial Dysfunction between Sepsis and Its Preceding Risk Factors (Aging and Chronic Disease). J. Clin. Med. 2018, 7, 400. [Google Scholar] [CrossRef]





| Patients with Biomarkers at Day 1 (n = 515) | Patients with Biomarkers at Day 5 (n = 285) | Patients with Biomarkers at Day 30 (n = 280) | |
|---|---|---|---|
| Age, years, median (IQR) | 71 (59, 80) | 72 (60, 81) | 71 (58, 79) |
| Male sex, no. (%) | 326 (63.3) | 189 (66.3) | 175 (62.5) |
| Current or former smokers, no. (%) | 333 (64.7) | 170 (59.6) | 158 (56.4) |
| Co-existing conditions, no. (%) | |||
| HBP | 274 (53.2) | 166 (58.2) | 150 (53.4) |
| Diabetes | 132 (25.6) | 78 (27.4) | 68 (24.3) |
| Overweight * | 117 (22.7) | 53 (18.6) | 45 (16.1) |
| COPD | 132 (25.6) | 85 (29.8) | 69 (24.6) |
| Asthma | 43 (8.3) | 22 (7.7) | 25 (8.9) |
| Chronic heart disease | 185 (35.9) | 109 (38.2) | 95 (33.9) |
| Chronic renal disease | 69 (13.4) | 38 (13.3) | 28 (10.0) |
| Neurologic disease | 81 (15.7) | 48 (16.8) | 38 (13.6) |
| Severity | |||
| SpO2/FiO2 at admission, median (IQR) | 443.8 (419.1, 457.1) | 443.3 (416.0, 457.1) | 447.6 (430.6, 457.1) |
| PSI score, no (%) | |||
| PSI 1–3 | 295 (57.3) | 155 (54.4) | 175 (62.5) |
| PSI 4–5 | 220 (42.7) | 130 (45.6) | 105 (37.5) |
| In- hospital clinical outcomes, no (%) | |||
| In-hospital CVE | 62 (12.0) | 39 (13.7) | NA |
| In-hospital death | 20 (3.9) | 12 (4.2) | NA |
| ICU admission | 34 (6.6) | NA | NA |
| Follow-up clinical outcomes, no (%) | |||
| 1-year follow-up CVE | 75 (14.6) | 43 (15.1) | 30 (10.7) |
| 1-year follow-up death | 32 (6.2) | 14 (4.9) | 8 (2.9) |
Disclaimer/Publisher’s Note: The statements, opinions and data contained in all publications are solely those of the individual author(s) and contributor(s) and not of MDPI and/or the editor(s). MDPI and/or the editor(s) disclaim responsibility for any injury to people or property resulting from any ideas, methods, instructions or products referred to in the content. |
© 2024 by the authors. Licensee MDPI, Basel, Switzerland. This article is an open access article distributed under the terms and conditions of the Creative Commons Attribution (CC BY) license (https://creativecommons.org/licenses/by/4.0/).
Share and Cite
González-Jiménez, P.; Piqueras, M.; Latorre, A.; Tortosa-Carreres, J.; Mengot, N.; Alonso, R.; Reyes, S.; Amara-Elori, I.; Martínez-Dolz, L.; Moscardó, A.; et al. Endothelial Biomarkers Are Superior to Classic Inflammatory Biomarkers in Community-Acquired Pneumonia. Biomedicines 2024, 12, 2413. https://doi.org/10.3390/biomedicines12102413
González-Jiménez P, Piqueras M, Latorre A, Tortosa-Carreres J, Mengot N, Alonso R, Reyes S, Amara-Elori I, Martínez-Dolz L, Moscardó A, et al. Endothelial Biomarkers Are Superior to Classic Inflammatory Biomarkers in Community-Acquired Pneumonia. Biomedicines. 2024; 12(10):2413. https://doi.org/10.3390/biomedicines12102413
Chicago/Turabian StyleGonzález-Jiménez, Paula, Mónica Piqueras, Ana Latorre, Jordi Tortosa-Carreres, Noé Mengot, Ricardo Alonso, Soledad Reyes, Isabel Amara-Elori, Luis Martínez-Dolz, Antonio Moscardó, and et al. 2024. "Endothelial Biomarkers Are Superior to Classic Inflammatory Biomarkers in Community-Acquired Pneumonia" Biomedicines 12, no. 10: 2413. https://doi.org/10.3390/biomedicines12102413
APA StyleGonzález-Jiménez, P., Piqueras, M., Latorre, A., Tortosa-Carreres, J., Mengot, N., Alonso, R., Reyes, S., Amara-Elori, I., Martínez-Dolz, L., Moscardó, A., Menéndez, R., & Méndez, R. (2024). Endothelial Biomarkers Are Superior to Classic Inflammatory Biomarkers in Community-Acquired Pneumonia. Biomedicines, 12(10), 2413. https://doi.org/10.3390/biomedicines12102413

