Could let-7f, miR-10b, miR-34a, miR-181b, and miR-181d Be Useful Tools as a Target Therapy for Uterine Leiomyosarcoma?
Abstract
1. Introduction
2. Materials and Methods
2.1. Cell Culture and miRNA Isolation
2.2. Complementary DNA (cDNA) Synthesis and Quantitative PCR (qPCR) for miRNA Detection
2.3. Cell Transfection with Mimic and Small Interfering RNA (siRNA)
2.4. Proliferation Assay
2.5. Scratch Assays
2.6. Invasion Assays
2.7. In Silico Analysis
2.8. Complementary DNA (cDNA) Synthesis and qPCR for Target Gene Detection
2.9. Statistical Analysis
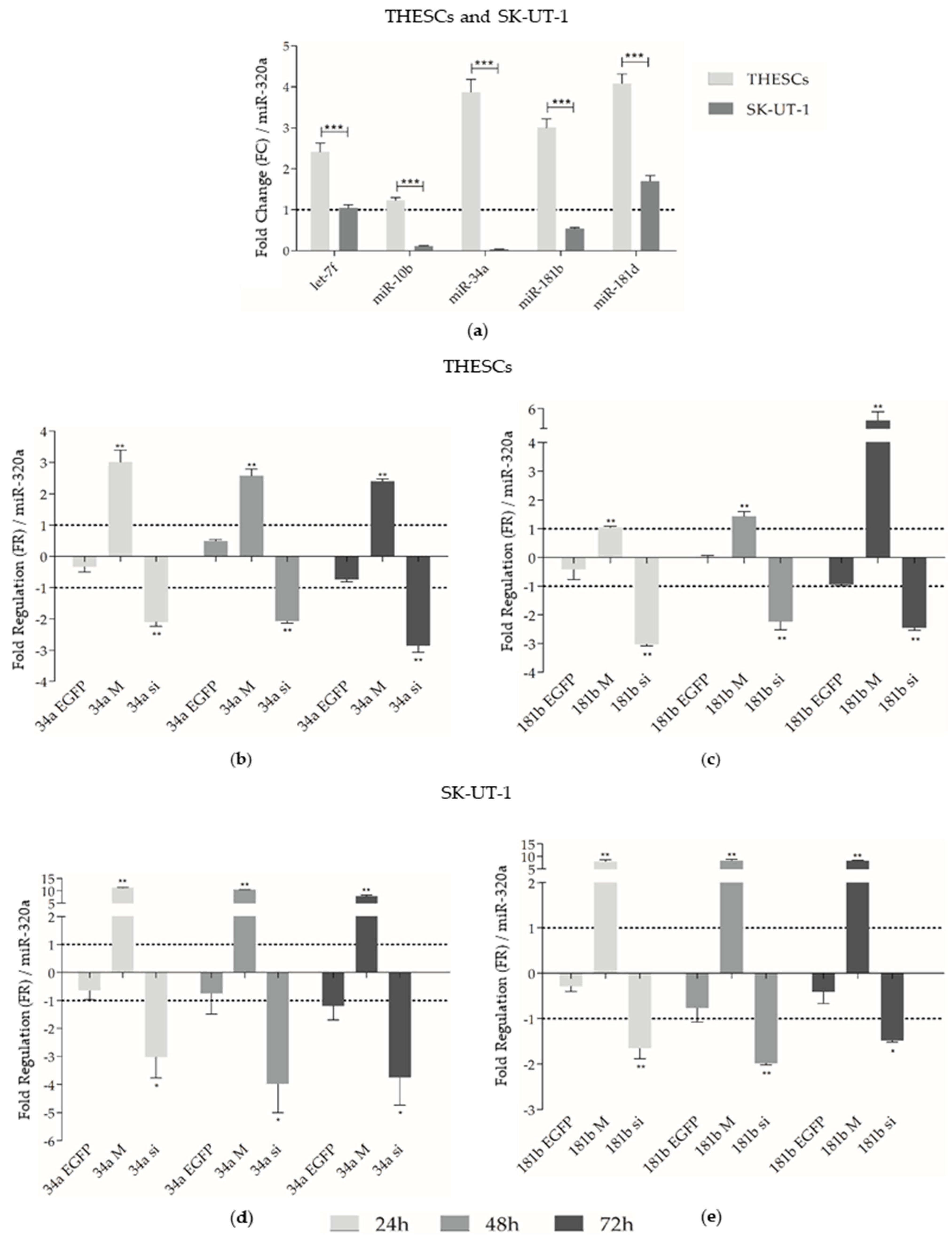
3. Results
4. Discussion
5. Conclusions
Supplementary Materials
Author Contributions
Funding
Institutional Review Board Statement
Informed Consent Statement
Data Availability Statement
Acknowledgments
Conflicts of Interest
Abbreviations
| LM | Leiomyoma | 
| LMS | Leiomyosarcoma | 
| UMT | Uterine mesenchymal tumors | 
| FC | Fold change | 
| FR | Fold regulation | 
References
- Garcia, N.; Bozzini, N.; Baiocchi, G.; da Cunha, I.W.; Maciel, G.A.; Soares, J.M.; Soares, F.A.; Baracat, E.C.; Carvalho, K.C. May Sonic Hedgehog proteins be markers for malignancy in uterine smooth muscle tumors? Hum. Pathol. 2016, 50, 43–50. [Google Scholar] [CrossRef] [PubMed]
- Sun, S.; Bonaffini, P.A.; Nougaret, S.; Fournier, L.; Dohan, A.; Chong, J.; Smith, J.; Addley, H.; Reinhold, C. How to differentiate uterine leiomyosarcoma from leiomyoma with imaging. Diagn. Interv. Imaging 2019, 100, 619–634. [Google Scholar] [CrossRef] [PubMed]
- Andrieu, P.C.; Woo, S.; Kim, T.H.; Kertowidjojo, E.; Hodgson, A.; Sun, S. New Imaging modalities to distinguish rare uterine mesenchymal cancers from benign uterine lesions. Curr. Opin. Oncol. 2021, 33, 464–475. [Google Scholar] [CrossRef] [PubMed]
- Tantitamit, T.; Huang, K.-G.; Manopunya, M.; Yen, C.-F. Outcome and management of uterine leiomyosarcoma treated following surgery for presumed benign disease: Review of literature. Gynecol. Minim. Invasive Ther. 2018, 7, 47–55. [Google Scholar] [CrossRef] [PubMed]
- Adams, C.L.; Dimitrova, I.; Post, M.D.; Gibson, L.; Spillman, M.A.; Behbakht, K.; Bradford, A.P. Identification of a novel diagnostic gene expression signature to discriminate uterine leiomyoma from leiomyosarcoma. Exp. Mol. Pathol. 2019, 110, 104284. [Google Scholar] [CrossRef]
- Dos Anjos, L.G.; de Almeida, B.C.; Baracat, E.C.; Al-Hendy, A.; Yang, Q.; Carvalho, K.C. Gene expression profile of uterine leiomyoma from women exposed to different air pollution levels in metropolitan cities of Sao Paulo, Brazil. Int. J. Mol. Sci. 2023, 24, 2431. [Google Scholar] [CrossRef]
- Yang, Q.; Ciebiera, M.; Bariani, M.V.; Ali, M.; Elkafas, H.; Boyer, T.G.; Al-Hendy, A. Comprehensive review of uterine fibroids: Developmental origin, pathogenesis, and treatment. Endocr. Rev. 2022, 43, 678–719. [Google Scholar] [CrossRef] [PubMed]
- de Almeida, B.C.; Garcia, N.; Maffazioli, G.; do Anjos, L.G.; Baracat, E.C.; Carvalho, K.C. Oncomirs expression profiling in uterine leiomyosarcoma cells. Int. J. Mol. Sci. 2017, 19, 52. [Google Scholar] [CrossRef]
- Garcia, N.; Ulin, M.; Ali, M.; Al-Hendy, A.; Carvalho, K.C.; Yang, Q. Evaluation of Hedgehog pathway inhibitors as a therapeutic option for uterine leiomyosarcoma using the xenograft model. Reprod. Sci. 2022, 29, 781–790. [Google Scholar] [CrossRef]
- de Almeida, B.C.; Dos Anjos, L.G.; Uno, M.; da Cunha, I.W.; Soares, F.A.; Baiocchi, G.; Baracat, E.C.; Carvalho, K.C. Let-7 miRNA’s expression profile and its potential prognostic role in uterine leiomyosarcoma. Cells 2019, 8, 1452. [Google Scholar] [CrossRef] [PubMed]
- de Almeida, B.C.; dos Anjos, L.G.; Dobroff, A.S.; Baracat, E.C.; Yang, Q.; Al-Hendy, A.; Carvalho, K.C. Epigenetic features in uterine leiomyosarcoma and endometrial stromal sarcomas: An overview of the literature. Biomedicines 2022, 10, 2567. [Google Scholar] [CrossRef] [PubMed]
- Kobayashi, H.; Uekuri, C.; Akasaka, J.; Ito, F.; Shigemitsu, A.; Koike, N.; Shigetomi, H. The biology of uterine sarcomas: A review and update. Mol. Clin. Oncol. 2013, 1, 599–609. [Google Scholar] [CrossRef] [PubMed]
- Deng, Y.; Han, Q.; Mei, S.; Li, H.; Yang, F.; Wang, J.; Ge, S.; Jing, X.; Xu, H.; Zhang, T. Cyclin-dependent kinase subunit 2 overexpression promotes tumor progression and predicts poor prognosis in uterine leiomyosarcoma. Oncol. Lett. 2019, 18, 2845–2852. [Google Scholar] [CrossRef]
- da Costa, L.T.; Dos Anjos, L.G.; Kagohara, L.T.; Torrezan, G.T.; De Paula, C.A.A.; Baracat, E.C.; Carraro, D.M.; Carvalho, K.C. The mutational repertoire of uterine sarcomas and carcinosarcomas in a Brazilian cohort: A preliminary study. Clinics 2021, 76, e2324. [Google Scholar] [CrossRef] [PubMed]
- Devereaux, K.A.; Schoolmeester, J.K. Smooth muscle tumors of the female genital tract. Surg. Pathol. Clin. 2019, 12, 397–455. [Google Scholar] [CrossRef] [PubMed]
- Lintel, N.J.; Luebker, S.A.; Lele, S.M.; Koepsell, S.A. MVP immunohistochemistry is a useful adjunct in distinguishing leiomyosarcoma from leiomyoma and leiomyoma with bizarre nuclei. Hum. Pathol. 2018, 73, 122–127. [Google Scholar] [CrossRef]
- Rubisz, P.; Ciebiera, M.; Hirnle, L.; Zgliczyńska, M.; Łoziński, T.; Dzięgiel, P.; Kobierzycki, C. The usefulness of immunohistochemistry in the differential diagnosis of lesions originating from the myometrium. Int. J. Mol. Sci. 2019, 20, 1136. [Google Scholar] [CrossRef] [PubMed]
- Zhang, Q.; Ubago, J.; Li, L.; Guo, H.; Liu, Y.; Qiang, W.; Kim, J.J.; Kong, B.; Wei, J.J. Molecular analyses of 6 different types of uterine smooth muscle tumors: Emphasis in atypical leiomyoma. Cancer 2014, 120, 3165–3177. [Google Scholar] [CrossRef]
- Vilos, G.A.; Allaire, C.; Laberge, P.Y.; Leyland, N.; Vilos, A.G.; Murji, A.; Chen, I. The management of uterine leiomyomas. J. Obstet. Gynaecol. Can. 2015, 37, 157–178. [Google Scholar] [CrossRef]
- Suzuki, A.; Aoki, M.; Miyagawa, C.; Murakami, K.; Takaya, H.; Kotani, Y.; Nakai, H.; Matsumura, N. Differential diagnosis of uterine leiomyoma and uterine sarcoma using magnetic resonance images: A literature review. Healthcare 2019, 7, 158. [Google Scholar] [CrossRef] [PubMed]
- Laganà, A.S.; Vergara, D.; Favilli, A.; La Rosa, V.L.; Tinelli, A.; Gerli, S.; Noventa, M.; Vitagliano, A.; Triolo, O.; Rapisarda, A.M.C.; et al. Epigenetic and genetic landscape of uterine leiomyomas: A current view over a common gynecological disease. Arch. Gynecol. Obstet. 2017, 296, 855–867. [Google Scholar] [CrossRef] [PubMed]
- Lu, Y.; Chan, Y.-T.; Tan, H.-Y.; Li, S.; Wang, N.; Feng, Y. Epigenetic regulation in human cancer: The potential role of epi-drug in cancer therapy. Mol. Cancer 2020, 19, 79. [Google Scholar] [CrossRef] [PubMed]
- Diener, C.; Keller, A.; Meese, E. Emerging concepts of miRNA therapeutics: From cells to clinic. Trends Genet. 2022, 38, 613–626. [Google Scholar] [CrossRef]
- Menon, A.; Abd-Aziz, N.; Khalid, K.; Poh, C.L.; Naidu, R. miRNA: A promising therapeutic target in cancer. Int. J. Mol. Sci. 2022, 23, 11502. [Google Scholar] [CrossRef]
- Kousar, K.; Ahmad, T.; Abduh, M.S.; Kanwal, B.; Shah, S.S.; Naseer, F.; Anjum, S. miRNAs in regulation of tumor microenvironment, chemotherapy resistance, immunotherapy modulation and miRNA therapeutics in cancer. Int. J. Mol. Sci. 2022, 23, 13822. [Google Scholar] [CrossRef] [PubMed]
- Kalfert, D.; Ludvikova, M.; Pesta, M.; Ludvik, J.; Dostalova, L.; Kholová, I. Multifunctional Roles of miR-34a in Cancer: A Review with the Emphasis on Head and Neck Squamous Cell Carcinoma and Thyroid Cancer with Clinical Implications. Diagnostics 2020, 10, 563. [Google Scholar] [CrossRef]
- Slabáková, E.; Culig, Z.; Remšík, J.; Souček, K. Alternative mechanisms of miR-34a regulation in cancer. Cell Death Dis. 2017, 8, e3100. [Google Scholar] [CrossRef] [PubMed]
- Liu, J.; Shi, W.; Wu, C.; Ju, J.; Jiang, J. miR-181b as a key regulator of the oncogenic process and its clinical implications in cancer (Review). Biomed. Rep. 2014, 2, 7–11. [Google Scholar] [CrossRef] [PubMed]
- Danielson, L.S.; Menendez, S.; Attolini, C.S.-O.; Guijarro, M.V.; Bisogna, M.; Wei, J.; Socci, N.D.; Levine, D.A.; Michor, F.; Hernando, E. A differentiation-based microRNA signature identifies leiomyosarcoma as a mesenchymal stem cell-related malignancy. Am. J. Pathol. 2010, 177, 908–917. [Google Scholar] [CrossRef]
- Williams, A.R.W. Uterine fibroids—What’s new? F1000Res 2017, 6, 2109. [Google Scholar] [CrossRef] [PubMed]
- Roberts, M.E.; Aynardi, J.T.; Chu, C.S. Uterine leiomyosarcoma: A review of the literature and update on management options. Gynecol. Oncol. 2018, 151, 562–572. [Google Scholar] [CrossRef]
- Glorie, N.; Baert, T.; Van Den Bosch, T.; Coosemans, A.N. Circulating protein biomarkers to differentiate uterine sarcomas from leiomyomas. Anticancer. Res. 2019, 39, 3981–3989. [Google Scholar] [CrossRef] [PubMed]
- Oh, J.; Park, S.B.; Park, H.J.; Lee, E.S. Ultrasound features of uterine sarcomas. Ultrasound Q. 2019, 35, 376–384. [Google Scholar] [CrossRef]
- Dvorská, D.; Škovierová, H.; Braný, D.; Halašová, E.; Danková, Z. Liquid biopsy as a tool for differentiation of leiomyomas and sarcomas of corpus uteri. Int. J. Mol. Sci. 2019, 20, 3825. [Google Scholar] [CrossRef] [PubMed]
- dos Anjos, L.G.; de Almeida, B.C.; de Almeida, T.G.; Rocha, A.M.L.; Maffazioli, G.D.N.; Soares, F.A.; da Cunha, I.W.; Baracat, E.C.; Carvalho, K.C. Could miRNA signatures be useful for predicting uterine sarcoma and carcinosarcoma prognosis and treatment? Cancers 2018, 10, 315. [Google Scholar] [CrossRef]
- Schiavon, B.N.; Carvalho, K.C.; Coutinho-Camillo, C.M.; Baiocchi, G.; Valieris, R.; Drummond, R.; da Silva, I.T.; De Brot, L.; Soares, F.A.; da Cunha, I.W. miRNAs 144-3p, 34a-5p, and 206 are a useful signature for distinguishing uterine leiomyosarcoma from other smooth muscle tumors. Surg. Exp. Pathol. 2019, 2, 5. [Google Scholar] [CrossRef]
- ATCC. Search STR Database American Type Culture Collection. Available online: https://www.atcc.org/search-str-database (accessed on 1 February 2023).
- Timenetsky, J.; Santos, L.M.; Buzinhani, M.; Mettifogo, E. Detection of multiple mycoplasma infection in cell cultures by PCR. Braz. J. Med. Biol. Res. 2006, 39, 907–914. [Google Scholar] [CrossRef] [PubMed]
- Blooge. RefFinder. Available online: https://www.ciidirsinaloa.com.mx/RefFinder-master (accessed on 1 February 2023).
- Ferreira, K.P.; de Almeida, B.C.; Dos Anjos, L.G.; Baiocchi, G.; Soares, F.A.; Rocha, R.M.; Baracat, E.C.; Dobroff, A.S.; Carvalho, K.C. Assessment of tspan expression profile and their role in the vscc prognosis. Int. J. Mol. Sci. 2021, 22, 5015. [Google Scholar] [CrossRef]
- Liang, C.-C.; Park, A.Y.; Guan, J.-L. In vitro scratch assay: A convenient and inexpensive method for analysis of cell migration in vitro. Nat. Protoc. 2007, 2, 329–333. [Google Scholar] [CrossRef] [PubMed]
- Laurentino, T.S.; Soares, R.S.; Lerario, A.M.; Marie, S.K.N.; Oba-Shinjo, S.M. Loxl3 silencing affected cell adhesion and invasion in u87mg glioma cells. Int. J. Mol. Sci. 2021, 22, 8072. [Google Scholar] [CrossRef]
- TargetScanHuman. Prediction of microRNA Targets. Available online: https://www.targetscan.org/vert_70/ (accessed on 12 March 2018).
- Kern, F.; Aparicio-Puerta, E.; Li, Y.; Fehlmann, T.; Kehl, T.; Wagner, V.; Ray, K.; Ludwig, N.; Lenhof, H.P.; Meese, E.; et al. miRTargetLink 2.0—Interactive miRNA target gene and target pathway networks. Nucleic Acids Res. 2021, 49, W409–W416. [Google Scholar] [CrossRef] [PubMed]
- MiRDB. miRDB—MicroRNA Target Prediction Database. Available online: https://mirdb.org/mirdb/index.html (accessed on 12 March 2023).
- Liu, W.; Wang, X. Prediction of functional microRNA targets by integrative modeling of microRNA binding and target expression data. Genome Biol. 2019, 20, 18. [Google Scholar] [CrossRef] [PubMed]
- Chen, Y.; Wang, X. miRDB: An online database for prediction of functional microRNA targets. Nucleic Acids Res. 2020, 48, D127–D131. [Google Scholar] [CrossRef] [PubMed]
- Stelzer, G.; Rosen, N.; Plaschkes, I.; Zimmerman, S.; Twik, M.; Fishilevich, S.; Stein, T.I.; Nudel, R.; Lieder, I.; Mazor, Y.; et al. The genecards suite: From gene data mining to disease genome sequence analyses. Curr. Protoc. Bioinform. 2016, 54, 1.30.1–1.30.33. [Google Scholar] [CrossRef] [PubMed]
- Condrat, C.E.; Thompson, D.C.; Barbu, M.G.; Bugnar, O.L.; Boboc, A.; Cretoiu, D.; Suciu, N.; Cretoiu, S.M.; Voinea, S.C. miRNAs as biomarkers in disease: Latest findings regarding their role in diagnosis and prognosis. Cells 2020, 9, 276. [Google Scholar] [CrossRef]
- Berindan-Neagoe, I.; Monroig, P.D.C.; Pasculli, B.; Calin, G.A. MicroRNAome genome: A treasure for cancer diagnosis and therapy. CA Cancer J. Clin. 2014, 64, 311–336. [Google Scholar] [CrossRef] [PubMed]
- Adams, B.D.; Kasinski, A.L.; Slack, F.J. Aberrant regulation and function of microRNAs in cancer. Curr. Biol. 2014, 24, R762–R776. [Google Scholar] [CrossRef]
- Cooper, G.M. Tumor suppressor genes. In The Cell. A Molecular Approach, 2nd ed.; ASM Press: Washington, DC, USA, 2000; 689p. Available online: https://www.ncbi.nlm.nih.gov/books/NBK9894 (accessed on 27 March 2024).
- Yu, M.; Xu, Y.; Pan, L.; Feng, Y.; Luo, K.; Mu, Q.; Luo, G. miR-10b downregulated by DNA methylation acts as a tumor suppressor in HPV-Positive cervical cancer via targeting Tiam1. Cell Physiol. Biochem. 2018, 51, 1763–1777. [Google Scholar] [CrossRef] [PubMed]
- Chen, A.-H.; Qin, Y.-E.; Tang, W.-F.; Tao, J.; Song, H.; Zuo, M. MiR-34a and miR-206 act as novel prognostic and therapy biomarkers in cervical cancer. Cancer Cell Int. 2017, 17, 63. [Google Scholar] [CrossRef]
- Ankasha, S.J.; Shafiee, M.N.; Wahab, N.A.; Ali, R.A.R.; Mokhtar, N.M. Post-transcriptional regulation of microRNAs in cancer: From prediction to validation. Oncol. Rev. 2018, 12, 344. [Google Scholar] [CrossRef] [PubMed]
- Svoronos, A.A.; Engelman, D.M.; Slack, F.J. OncomiR or Tumor Suppressor? The Duplicity of MicroRNAs in Cancer. Cancer Res. 2016, 76, 3666–3670. [Google Scholar] [CrossRef] [PubMed]
- Zhang, B.; Pan, X.; Cobb, G.P.; Anderson, T.A. microRNAs as oncogenes and tumor suppressors. Dev. Biol. 2007, 302, 1–12. [Google Scholar] [CrossRef] [PubMed]
- Li, L.; Yuan, L.; Luo, J.; Gao, J.; Guo, J.; Xie, X. MiR-34a inhibits proliferation and migration of breast cancer through down-regulation of Bcl-2 and SIRT1. Clin. Exp. Med. 2013, 13, 109–117. [Google Scholar] [CrossRef]
- Córdova-Rivas, S.; Fraire-Soto, I.; Torres, A.M.C.; Servín-González, L.S.; Granados-López, A.J.; López-Hernández, Y.; Reyes-Estrada, C.A.; Gutiérrez-Hernández, R.; Castañeda-Delgado, J.E.; Ramírez-Hernández, L.; et al. 5p and 3p strands of miR-34 family members have differential effects in cell proliferation, migration, and invasion in cervical cancer cells. Int. J. Mol. Sci. 2019, 20, 545. [Google Scholar] [CrossRef] [PubMed]
- Li, B.; Guo, X.; Li, N.; Chen, Q.; Shen, J.; Huang, X.; Huang, G.; Wang, F. WNT1, a target of miR-34a, promotes cervical squamous cell carcinoma proliferation and invasion by induction of an E-P cadherin switch via the WNT/β-catenin pathway. Cell Oncol. 2020, 43, 489–503. [Google Scholar] [CrossRef]
- Bao, Y.; Lu, Y.; Feng, W.; Yu, H.; Guo, H.; Tao, Y.; Shi, Q.; Chen, W.; Wang, X. COUP-TFII promotes epithelial-mesenchymal transition by inhibiting miR-34a expression in colorectal cancer. Int. J. Oncol. 2019, 54, 1337–1344. [Google Scholar] [CrossRef]
- Andalib, A.; Rashed, S.; Dehbashi, M.; Hajati, J.; Noorbakhsh, F.; Ganjalikhani-Hakemi, M. The upregulation of hsa-mir-181b-1 and downregulation of its Target CYLD in the late-stage of tumor progression of breast cancer. Indian J. Clin. Biochem. 2020, 35, 312–321. [Google Scholar] [CrossRef]
- Tsuyoshi, H.; Yoshida, Y. Molecular biomarkers for uterine leiomyosarcoma and endometrial stromal sarcoma. Cancer Sci. 2018, 109, 1743–1752. [Google Scholar] [CrossRef] [PubMed]
- Cancer Genome Atlas Research Network. Comprehensive and integrated genomic characterization of adult soft tissue sarcomas. Cell 2017, 171, 950–965. [Google Scholar] [CrossRef] [PubMed]
- Zheng, Y.; Lv, X.; Wang, X.; Wang, B.; Shao, X.; Huang, Y.; Shi, L.; Chen, Z.; Huang, J.; Huang, P. MIR-181b promotes chemoresistance in breast cancer by regulating Bim expression. Oncol. Rep. 2016, 35, 683–690. [Google Scholar] [CrossRef] [PubMed]
- Liu, B.; Guo, Z.; Gao, W. miR-181b-5p promotes proliferation and inhibits apoptosis of hypertrophic scar fibroblasts through regulating the MEK/ERK/p21 pathway. Exp. Ther. Med. 2019, 17, 1537–1544. [Google Scholar] [CrossRef]
- Zhi, F.; Wang, Q.; Deng, D.; Shao, N.; Wang, R.; Xue, L.; Wang, S.; Xia, X.; Yang, Y. MiR-181b-5p downregulates NOVA1 to suppress proliferation, migration and invasion and promote apoptosis in astrocytoma. PLoS ONE 2014, 9, e109124. [Google Scholar] [CrossRef]
- Kronski, E.; Fiori, M.E.; Barbieri, O.; Astigiano, S.; Mirisola, V.; Killian, P.H.; Bruno, A.; Pagani, A.; Rovera, F.; Pfeffer, U.; et al. MiR181b is induced by the chemopreventive polyphenol curcumin and inhibits breast cancer metastasis via down-regulation of the inflammatory cytokines CXCL1 and -2. Mol. Oncol. 2014, 8, 581–595. [Google Scholar] [CrossRef] [PubMed]
- Adlakha, Y.K.; Seth, P. The expanding horizon of microRNAs in cellular reprogramming. Prog. Neurobiol. 2017, 148, 21–39. [Google Scholar] [CrossRef] [PubMed]
- Xiu, M.-X.; Liu, Y.-M. The role of oncogenic Notch2 signaling in cancer: A novel therapeutic target. Am. J. Cancer Res. 2019, 9, 837–854. [Google Scholar] [PubMed]
- Lu, S.; Yadav, A.K.; Qiao, X. Identification of potential miRNA-mRNA interaction network in bone marrow T cells of acquired aplastic anemia. Hematology 2020, 25, 168–175. [Google Scholar] [CrossRef] [PubMed]
- Irani, S.; Paknejad, M.; Soleimani, M.; Soleimani, A. Evaluation of miR-34a effect on CCND1 mRNA level and sensitization of breast cancer cell lines to paclitaxel. Iran. Biomed. J. 2020, 24, 361–369. [Google Scholar] [CrossRef] [PubMed]
- Braicu, C.; Gulei, D.; Cojocneanu, R.; Raduly, L.; Jurj, A.; Knutsen, E.; Calin, G.A.; Berindan-Neagoe, I. miR-181a/b therapy in lung cancer: Reality or myth? Mol. Oncol. 2019, 13, 9–25. [Google Scholar] [CrossRef] [PubMed]
- O’Brien, J.; Hayder, H.; Zayed, Y.; Peng, C. Overview of microRNA biogenesis, mechanisms of actions, and circulation. Front. Endocrinol. 2018, 9, 402. [Google Scholar] [CrossRef]
- de Sousa, M.C.; Gjorgjieva, M.; Dolicka, D.; Sobolewski, C.; Foti, M. Deciphering miRNAs’ action through miRNA editing. Int. J. Mol. Sci. 2019, 20, 6249. [Google Scholar] [CrossRef]
- Yin, W.; Gao, F.; Zhang, S. MicroRNA-34a inhibits the proliferation and promotes the chemosensitivity of retinoblastoma cells by downregulating Notch1 expression. Mol. Med. Rep. 2020, 22, 1613–1620. [Google Scholar] [CrossRef] [PubMed]
- Cichocki, F.; Felices, M.; McCullar, V.; Presnell, S.R.; Al-Attar, A.; Lutz, C.T.; Miller, J.S. miR-181 promotes human NK cell development by regulating Notch signaling. J. Immunol. 2011, 187, 6171–6175. [Google Scholar] [CrossRef]
- Pan, X.; Feng, J.; Zhu, Z.; Yao, L.; Ma, S.; Hao, B.; Zhang, G. A positive feedback loop between miR-181b and STAT3 that affects Warburg effect in colon cancer via regulating PIAS3 expression. J. Cell Mol. Med. 2018, 22, 5040–5049. [Google Scholar] [CrossRef]
- Indrieri, A.; Carrella, S.; Carotenuto, P.; Banfi, S.; Franco, B. The pervasive role of the miR-181 family in development, neurodegeneration, and cancer. Int. J. Mol. Sci. 2020, 21, 2092. [Google Scholar] [CrossRef] [PubMed]
- KEGG. KEGG Pathway Database. Available online: https://www.genome.jp/kegg/pathway.html (accessed on 24 March 2023).
- National Library of Medicine, National Center for Biotechnology Information. KMT2D Lysine Methyltransferase 2D. Available online: https://www.ncbi.nlm.nih.gov/gene/8085 (accessed on 24 March 2023).
- National Library of Medicine, National Center for Biotechnology Information. TIMP3 TIMP metallopeptidase inhibitor 3. Available online: https://www.ncbi.nlm.nih.gov/gene/7078 (accessed on 24 March 2023).
- National Library of Medicine, National Center for Biotechnology Information. FGFR1 Fibroblast Growth Factor Receptor 1. Available online: https://www.ncbi.nlm.nih.gov/gene/2260 (accessed on 24 March 2023).
- Okada, N.; Lin, C.P.; Ribeiro, M.C.; Biton, A.; Lai, G.; He, X.; Bu, P.; Vogel, H.; Jablons, D.M.; Keller, A.C.; et al. A positive feedback between p53 and miR-34 miRNAs mediates tumor suppression. Genes. Dev. 2014, 28, 438–450. [Google Scholar] [CrossRef] [PubMed]
- Toledo, F.; Wahl, G.M. MDM2 and MDM4: p53 regulators as targets in anticancer therapy. Int. J. Biochem. Cell Biol. 2007, 39, 1476–1482. [Google Scholar] [CrossRef] [PubMed]
- Rahman, N.; Khan, H.; Zia, A.; Khan, A.; Fakhri, S.; Aschner, M.; Gul, K.; Saso, L. Bcl-2 modulation in p53 signaling pathway by flavonoids: A potential strategy towards the treatment of cancer. Int. J. Mol. Sci. 2021, 22, 11315. [Google Scholar] [CrossRef]
- Navarro, F.; Lieberman, J. miR-34 and p53: New insights into a complex functional relationship. PLoS ONE 2015, 10, e0132767. [Google Scholar] [CrossRef] [PubMed]
- Rupaimoole, R.; Slack, F.J. MicroRNA therapeutics: Towards a new era for the management of cancer and other diseases. Nat. Rev. Drug Disc. 2017, 16, 203–221. [Google Scholar] [CrossRef] [PubMed]
- Chouhan, S.; Muhammad, N.; Usmani, D.; Khan, T.H.; Kumar, A. Molecular Sentinels: Unveiling the Role of Sirtuins in Prostate Cancer Progression. Int. J. Mol. Sci. 2024, 26, 183. [Google Scholar] [CrossRef]
- Long, L.M.; Zhan, J.K.; Wang, H.Q.; Li, S.; Chen, Y.Y.; Liu, Y.S. The clinical significance of miR-34a in pancreatic ductal carcinoma and associated molecular and cellular mechanisms. Pathobiology 2017, 84, 38–48. [Google Scholar] [CrossRef] [PubMed]
- Yi, F.; Ling, Z.; Jianyu, F.; Lin, W.; Cai, Q.; Jun, P. Spica Prunellae extract suppresses the growth of human colon carcinoma cells by targeting multiple oncogenes via activating miR-34a. Oncol. Rep. 2017, 38, 1895–1901. [Google Scholar] [CrossRef]
- Yang, G.; Wang, W.; Han, S.; Xu, S.; Liu, H. Effect of microRNA-181b on the biological characteristics and clinical drug resistance of small-cell lung cancer by targeting angiotensin converting enzyme 2. Thorac. Cancer 2022, 13, 742–749. [Google Scholar] [CrossRef] [PubMed]
- Saccon, T.D.; Schneider, A.; Marinho, C.G.; Nunes, A.D.C.; Noureddine, S.; Dhahbi, J.; Lopez, Y.O.N.; LeMunyan, G.; Salvatori, R.; Oliveira, C.R.P.; et al. Circulating microRNA profile in humans and mice with congenital GH deficiency. Aging Cell 2021, 20, e13420. [Google Scholar] [CrossRef]
- Nigi, L.; Grieco, G.E.; Ventriglia, G.; Brusco, N.; Mancarella, F.; Formichi, C.; Dotta, F.; Sebastiani, G. MicroRNAs as regulators of insulin signaling: Research updates and potential therapeutic perspectives in type 2 diabetes. Int. J. Mol. Sci. 2018, 19, 3705. [Google Scholar] [CrossRef] [PubMed]
- Li, W.; Song, Y.Y.Y.; Rao, T.; Yu, W.M.; Ruan, Y.; Ning, J.Z.; Yao, X.B.; Yang, S.Y.S.; Cheng, F. CircCSNK1G3 up-regulates miR-181b to promote growth and metastasis via TIMP3-mediated epithelial to mesenchymal transitions in renal cell carcinoma. J. Cell Mol. Med. 2022, 26, 1729–1741. [Google Scholar] [CrossRef]
- Di Gregoli, K.; Mohamad Anuar, N.N.; Bianco, R.; White, S.J.; Newby, A.C.; George, S.J.; Johnson, J.L. MicroRNA-181b controls atherosclerosis and aneurysms through regulation of TIMP-3 and elastin. Circ. Res. 2017, 120, 49–65. [Google Scholar] [CrossRef] [PubMed]
- Mulrane, L.; McGee, S.F.; Gallagher, W.M.; O’Connor, D.P. miRNA dysregulation in breast cancer. Cancer Res. 2013, 73, 6554–6562. [Google Scholar] [CrossRef] [PubMed]
- Wang, B.; Hsu, S.-H.; Majumder, S.; Kutay, H.; Huang, W.; Jacob, S.T.; Ghoshal, K. TGFβ mediated upregulation of hepatic miR-181b promotes hepatocarcinogenesis by targeting TIMP3. Oncogene 2010, 29, 1787–1797. [Google Scholar] [CrossRef] [PubMed]
- Wang, X.; Meng, Q.; Qiao, W.; Ma, R.; Ju, W.; Hu, J.; Lu, H.; Cui, J.; Jin, Z.; Zhao, Y.; et al. miR-181b/Notch2 overcome chemoresistance by regulating cancer stem cell-like properties in NSCLC. Stem Cell Res. Ther. 2018, 9, 327. [Google Scholar] [CrossRef] [PubMed]
- Dobranowski, P.; Ban, F.; Contreras-Sanz, A.; Cherkasov, A.; Black, P.C. Perspectives on the discovery of NOTCH2-specific inhibitors. Chem. Biol. Drug Des. 2018, 91, 691–706. [Google Scholar] [CrossRef]
- Pancewicz, J. A brief overview of clinical significance of novel Notch2 regulators. Mol. Cell Oncol. 2020, 7, 1776084. [Google Scholar] [CrossRef] [PubMed]
- National Library of Medicine, National Center for Biotechnology Information. ATM ATM Serine/Threonine Kinase. Available online: https://www.ncbi.nlm.nih.gov/gene/472 (accessed on 22 June 2023).
- Sochor, M.; Basova, P.; Pesta, M.; Dusilkova, N.; Bartos, J.; Burda, P.; Pospisil, V.; Stopka, T. Oncogenic microRNAs: MiR-155, miR-19a, miR-181b, and miR-24 enable monitoring of early breast cancer in serum. BMC Cancer 2014, 14, 448. [Google Scholar] [CrossRef]
- Wang, Y.; Yu, Y.; Tsuyada, A.; Ren, X.; Wu, X.; Stubblefield, K.; Rankin-Gee, E.K.; Wang, S.E. Transforming growth factor β regulates the sphere-initiating stem cell-like feature in breast cancer through miRNA-181 and ATM. Oncogene 2011, 30, 1470–1480. [Google Scholar] [CrossRef] [PubMed]
- Standing, D.; Dandawate, P.; Anant, S. Prolactin receptor signaling: A novel target for cancer treatment—Exploring anti-PRLR signaling strategies. Front. Endocrinol. 2022, 13, 1112987. [Google Scholar] [CrossRef] [PubMed]
- Kavarthapu, R.; Anbazhagan, R.; Dufau, M.L. Crosstalk between PRLR and EGFR/HER2 signaling pathways in breast cancer. Cancers 2021, 13, 4685. [Google Scholar] [CrossRef] [PubMed]
- Chouhan, S.; Kumar, A.; Muhammad, N.; Usmani, D.; Khan, T.H. Sirtuins as Key Regulators in Pancreatic Cancer: Insights into Signaling Mechanisms and Therapeutic Implications. Cancers 2024, 16, 4095. [Google Scholar] [CrossRef] [PubMed]
- Ramírez-de-Arellano, A.; Villegas-Pineda, J.C.; Hernández-Silva, C.D.; Pereira-Suárez, A.L. The relevant participation of prolactin in the genesis and progression of gynecological cancers. Front. Endocrinol. 2021, 12, 747810. [Google Scholar] [CrossRef]
- Yang, C.; Gibson, V.P.; Hardy, P. The role of MiR-181 family members in endothelial cell dysfunction and tumor angiogenesis. Cells 2022, 11, 1670. [Google Scholar] [CrossRef] [PubMed]
- Szymczyk, J.; Sochacka, M.; Chudy, P.; Opalinski, L.; Otlewski, J.; Zakrzewska, M. FGF1 protects FGFR1-overexpressing cancer cells against drugs targeting tubulin polymerization by activating AKT via two independent mechanisms. Front. Oncol. 2022, 12, 1011762. [Google Scholar] [CrossRef]
- Wang, C.; Liu, Z.; Ke, Y.; Wang, F. Intrinsic FGFR2 and ectopic FGFR1 signaling in the prostate and prostate cancer. Front. Genet. 2019, 10, 12. [Google Scholar] [CrossRef] [PubMed]
- Tirumani, S.H.; Deaver, P.; Shinagare, A.B.; Tirumani, H.; Hornick, J.L.; George, S.; Ramaiya, N.H. Metastatic pattern of uterine leiomyosarcoma: Retrospective analysis of the predictors and outcome in 113 patients. J. Gynecol. Oncol. 2014, 25, 306–312. [Google Scholar] [CrossRef]
- Mendell, J.T.; Olson, E.N. MicroRNAs in stress signaling and human disease. Cell 2013, 148, 1172–1187. [Google Scholar] [CrossRef] [PubMed]







| miRNA (mimic/siRNA) | Target Genes | THESCs | SK-UT-1 | |||
|---|---|---|---|---|---|---|
| 48 h (FC) | 72 h (FC) | 48 h (FC) | 72 h (FC) | |||
| miR-34a | 34a mimic | CCND1 | 0.91 * | 0.86 * | 1.85 ** | 1.23 ** | 
| KMT2D | 0.75 ** | 0.73 ** | 1.20 | 0.97 ** | ||
| MDM4 | 1.33 * | 1.31 * | 1.29 | 0.98 | ||
| TP53 | 0.92 ** | 0.78 | 1.05 * | 0.78 * | ||
| BCL2 | 0.43 ** | 0.62 ** | 1.27 * | 1.63 | ||
| NOTCH2 | 0.42 ** | 0.41 ** | 0.78 ** | 0.59 | ||
| 34a siRNA | CCND1 | 1.28 | 1.05 * | 12.84 ** | 1.20 ** | |
| KMT2D | 0.47 | 0.52 ** | 1.23 * | 0.87 ** | ||
| MDM4 | 0.80 | 1.26 * | 5.81 ** | 1.29 | ||
| TP53 | 0.69 | 0.73 | 4.33 ** | 0.95 | ||
| BCL2 | 0.86 ** | 0.79 * | 7.13 ** | 1.85 | ||
| NOTCH2 | 0.47 | 0.45 ** | 1.11 ** | 0.68 | ||
| miR-181b | 181b mimic | TIMP3 | 0.57 | 0.65 | 0.72 * | 0.92 | 
| FGFR1 | 0.77 | 0.97 * | 1.06 | 1.19 ** | ||
| ATM | 0.34 * | 0.45 ** | 0.64 ** | 0.41 * | ||
| IRS1 | 0.54 * | 0.61 ** | 0.67 * | 0.63 | ||
| BCL2 | 0.56 * | 0.42 ** | 2.27 | 2.28 | ||
| NOTCH2 | 0.33 ** | 0.34 ** | 0.72 ** | 0.59 ** | ||
| ESR1 | 0.99 | 0.81 | - | - | ||
| PRLR | 0.94 * | 1.14 * | - | - | ||
| 181b siRNA | TIMP3 | 0.53 | 0.91 * | 0.82 | 0.92 | |
| FGFR1 | 0.75 | 0.87 * | 1.07 | 0.93 | ||
| ATM | 0.27 ** | 0.35 ** | 0.70 * | 0.43 * | ||
| IRS1 | 0.37 ** | 0.50 ** | 0.61 ** | 0.43 ** | ||
| BCL2 | 0.38 | 0.33 ** | 1.67 ** | 1.44 | ||
| NOTCH2 | 0.23 ** | 0.27 ** | 0.78 ** | 0.49 ** | ||
| ESR1 | 0.67 | 1.14 | - | - | ||
| PRLR | 0.63 | 0.75 * | - | - | ||
| Disclaimer/Publisher’s Note: The statements, opinions and data contained in all publications are solely those of the individual author(s) and contributor(s) and not of MDPI and/or the editor(s). MDPI and/or the editor(s) disclaim responsibility for any injury to people or property resulting from any ideas, methods, instructions or products referred to in the content. | 
© 2025 by the authors. Licensee MDPI, Basel, Switzerland. This article is an open access article distributed under the terms and conditions of the Creative Commons Attribution (CC BY) license (https://creativecommons.org/licenses/by/4.0/).
Share and Cite
de Almeida, B.C.; dos Anjos, L.G.; Kagohara, L.T.; Al-Hendy, A.; Yang, Q.; Baracat, E.C.; Coutinho-Camillo, C.M.; Carvalho, K.C. Could let-7f, miR-10b, miR-34a, miR-181b, and miR-181d Be Useful Tools as a Target Therapy for Uterine Leiomyosarcoma? Biomedicines 2025, 13, 560. https://doi.org/10.3390/biomedicines13030560
de Almeida BC, dos Anjos LG, Kagohara LT, Al-Hendy A, Yang Q, Baracat EC, Coutinho-Camillo CM, Carvalho KC. Could let-7f, miR-10b, miR-34a, miR-181b, and miR-181d Be Useful Tools as a Target Therapy for Uterine Leiomyosarcoma? Biomedicines. 2025; 13(3):560. https://doi.org/10.3390/biomedicines13030560
Chicago/Turabian Stylede Almeida, Bruna Cristine, Laura Gonzalez dos Anjos, Luciane Tsukamoto Kagohara, Ayman Al-Hendy, Qiwei Yang, Edmund Chada Baracat, Cláudia Malheiros Coutinho-Camillo, and Katia Candido Carvalho. 2025. "Could let-7f, miR-10b, miR-34a, miR-181b, and miR-181d Be Useful Tools as a Target Therapy for Uterine Leiomyosarcoma?" Biomedicines 13, no. 3: 560. https://doi.org/10.3390/biomedicines13030560
APA Stylede Almeida, B. C., dos Anjos, L. G., Kagohara, L. T., Al-Hendy, A., Yang, Q., Baracat, E. C., Coutinho-Camillo, C. M., & Carvalho, K. C. (2025). Could let-7f, miR-10b, miR-34a, miR-181b, and miR-181d Be Useful Tools as a Target Therapy for Uterine Leiomyosarcoma? Biomedicines, 13(3), 560. https://doi.org/10.3390/biomedicines13030560
 
        



 
       