Modeling Zika Virus Disease Dynamics with Control Strategies
Abstract
1. Introduction
2. Model Formulation
3. Basic Properties
3.1. Positivity of Solutions
3.2. Boundedness of Trajectories
3.3. Existence and Uniqueness of Solution
- Let
4. Basic Reproduction Number and Existence of Equilibria
Euler Approximation Scheme of Model (3) Using Caputo Derivative Sense
5. Results and Discussion
5.1. Model Parameter Estimations
5.2. Sensitivity Analysis
5.3. Impact of Memory Effect on the Disease Transmission
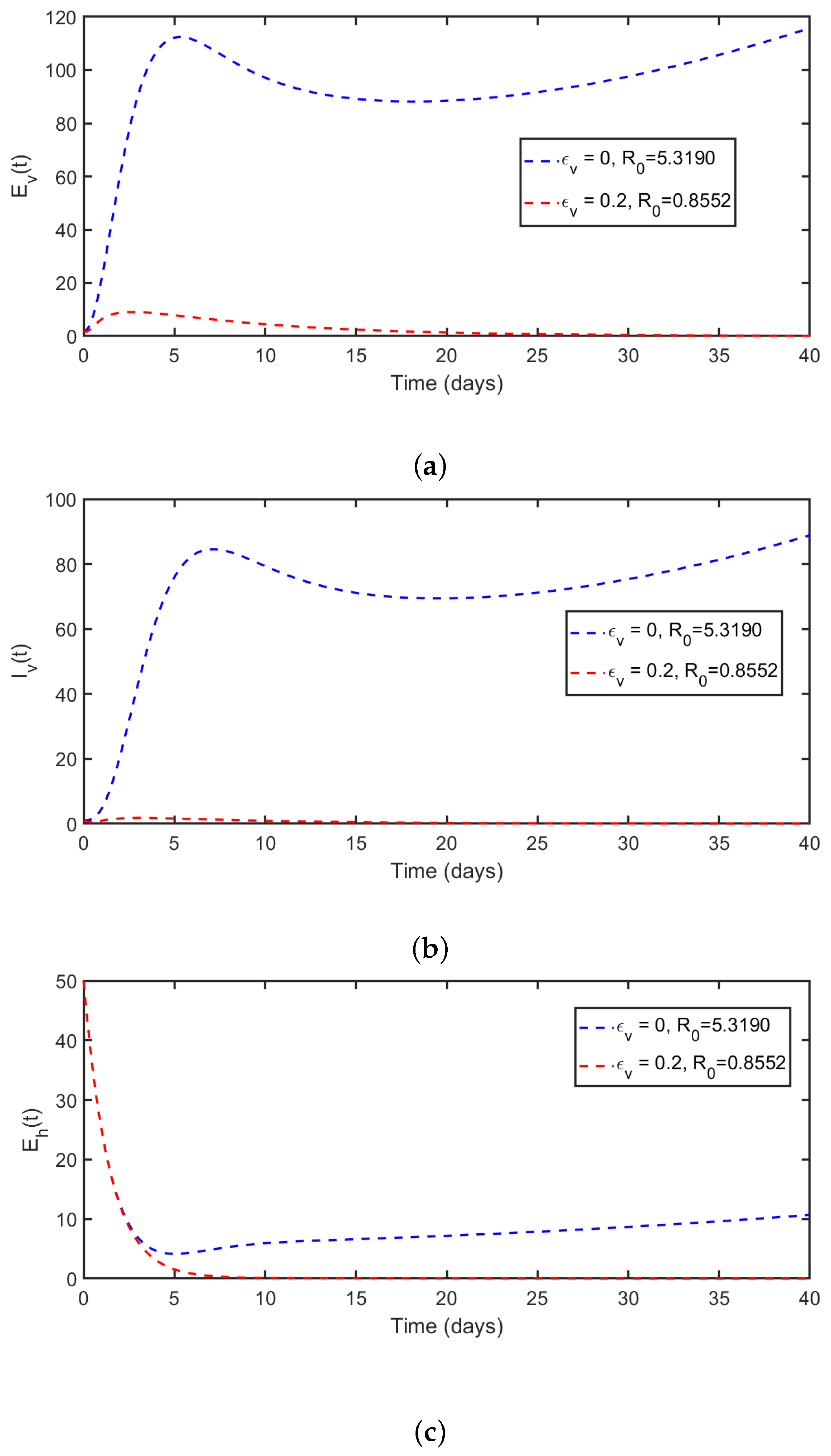
5.4. Effects of Insecticides Use on the Disease Dynamics
5.5. Effects of Prevention Measures on the Disease Dynamics
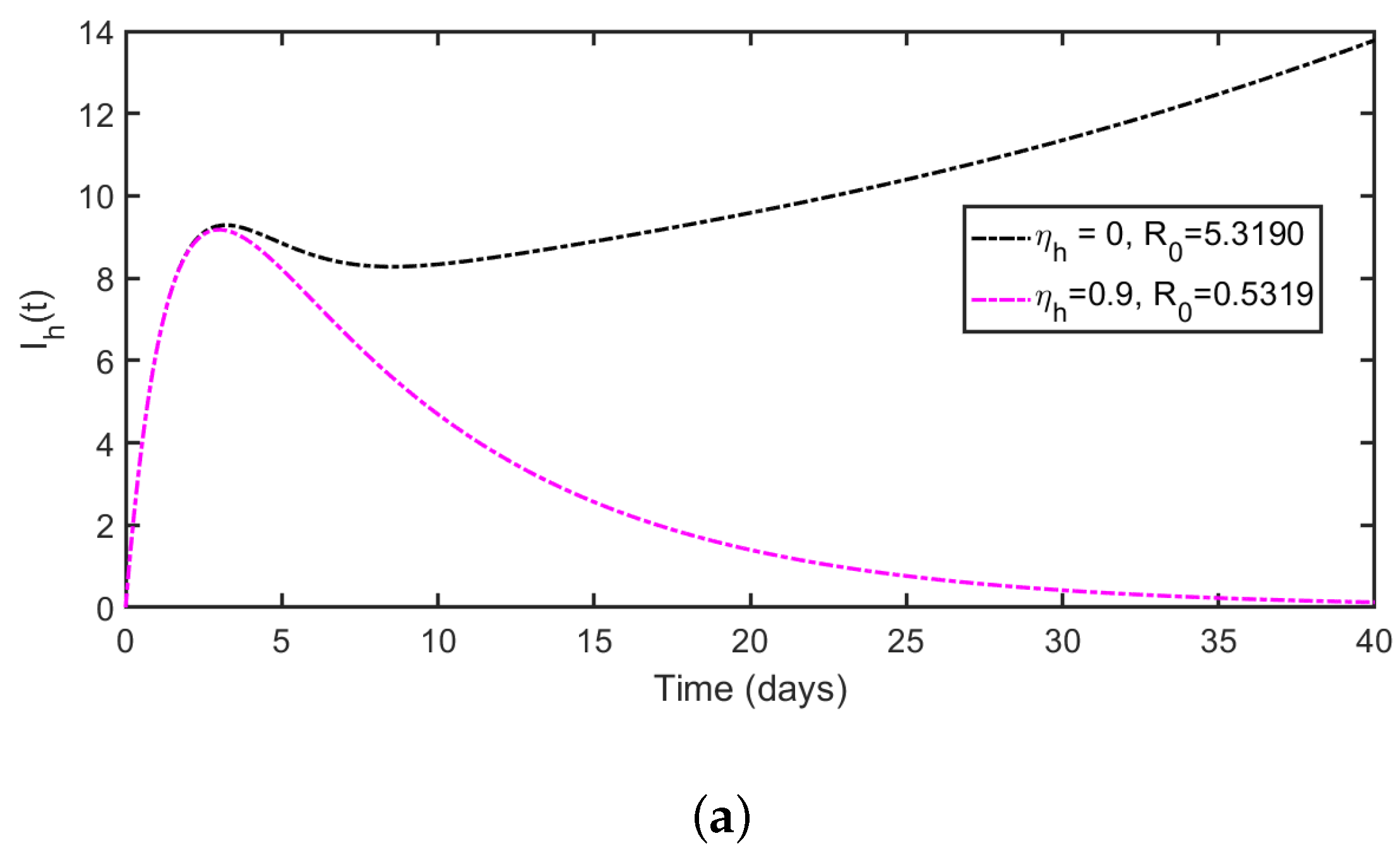
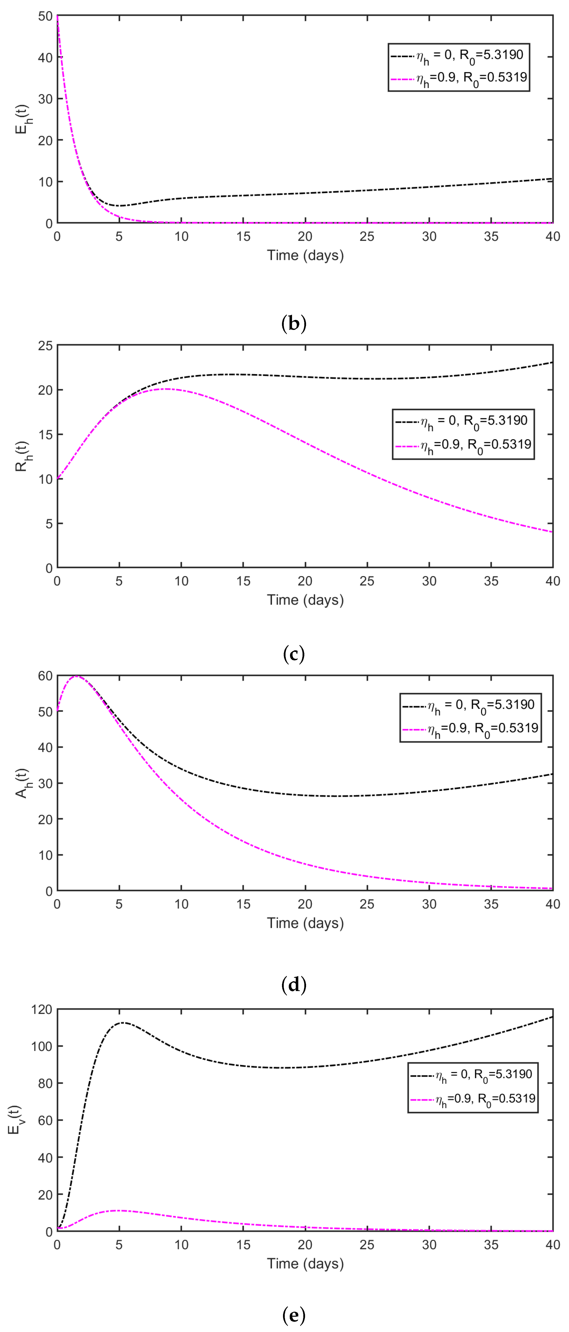
5.6. Effects of Health Education Campaigns on the Disease Dynamics
6. Concluding Remarks
Author Contributions
Funding
Institutional Review Board Statement
Informed Consent Statement
Data Availability Statement
Conflicts of Interest
References
- Zhu, J.; Khan, F.; Khan, S.U.; Sumelka, W.; Khan, F.U.; AlQahtani, S.A. Computational investigation of stochastic Zika virus optimal control model using Legendre spectral method. Sci. Rep. 2024, 14, 18112. [Google Scholar] [CrossRef] [PubMed]
- Prasad, R.; Kumar, K.; Dohare, R. Caputo fractional order derivative model of Zika virus transmission dynamics. J. Math. Comput. Sci. 2023, 28, 145–157. [Google Scholar] [CrossRef]
- Kouidere, A.; El Bhih, A.; Minifi, I.; Balatif, O.; Adnaoui, K. Optimal control problem for mathematical modeling of Zika virus transmission using fractional order derivatives. Front. Appl. Math. Stat. 2024, 10, 1376507. [Google Scholar] [CrossRef]
- Tesla, B.; Demakovsky, L.R.; Mordecai, E.A.; Ryan, S.J.; Bonds, M.H.; Ngonghala, C.N.; Brindley, M.A.; Murdock, C.C. Temperature drives Zika virus transmission: Evidence from empirical and mathematical models. Proc. R. Soc. B 2018, 285, 20180795. [Google Scholar] [CrossRef] [PubMed]
- Maity, S.; Sarathi Mandal, P. The effect of demographic stochasticity on Zika virus transmission dynamics: Probability of disease extinction, sensitivity analysis, and mean first passage time. Chaos Interdiscip. J. Nonlinear Sci. 2024, 34, 3. [Google Scholar] [CrossRef] [PubMed]
- Song, B.-H.; Yun, S.-I.; Woolley, M.; Lee, Y.-M. Zika virus: History, epidemiology, transmission, and clinical presentation. J. Neuroimmunol. 2017, 308, 50–64. [Google Scholar] [CrossRef]
- Atokolo, W.; Mbah Christopher Ezike, G. Modeling the control of Zika virus vector population using the sterile insect technology. J. Appl. Math. 2020, 2020, 6350134. [Google Scholar] [CrossRef]
- Saad-Roy, C.M.; Van den Driessche, P.; Ma, J. Estimation of Zika virus prevalence by appearance of microcephaly. BMC Infect. Dis. 2016, 16, 1–6. [Google Scholar] [CrossRef]
- González-Parra, G.; Benincasa, T. Mathematical modeling and numerical simulations of Zika in Colombia considering mutation. Math. Comput. Simul. 2019, 163, 1–18. [Google Scholar]
- Helikumi, M.; Lolika, P.O. Global dynamics of fractional-order model for malaria disease transmission. Asian Res. J. Math. 2022, 18, 82–110. [Google Scholar] [CrossRef]
- Kimulu, A.M. Numerical Investigation of HIV/AIDS Dynamics Among the Truckers and the Local Community at Malaba and Busia Border Stops. Am. J. Comput. Appl. Math. 2023, 13, 6–16. [Google Scholar]
- Kimulu, A.M.; Mutuku, W.N.; Mwalili, S.M.; Malonza, D.; Oke, A.S. Male circumcision: A means to reduce HIV transmission between truckers and female sex workers in Kenya. J. Math. Anal. Model. 2022, 3, 50–59. [Google Scholar] [CrossRef]
- Ghanbari, B.; Atangana, A. A new application of fractional Atangana–Baleanu derivatives: Designing ABC-fractional masks in image processing. Phys. A Stat. Mech. Its Appl. 2020, 542, 123516. [Google Scholar] [CrossRef]
- Rakkiyappan, R.; Latha, V.P.; Rihan, F.A. A Fractional-Order Model for Zika Virus Infection with Multiple Delays. Wiley Online Libr. 2019, 1, 4178073. [Google Scholar] [CrossRef]
- Iheonu, N.O.; Nwajeri, U.K.; Omame, A. A non-integer order model for Zika and Dengue co-dynamics with cross-enhancement. Healthc. Anal. 2023, 4, 100276. [Google Scholar] [CrossRef]
- Momoh, A.A.; Fügenschuh, A. Optimal control of intervention strategies and cost effectiveness analysis for a Zika virus model. Oper. Res. Health Care 2018, 18, 99–111. [Google Scholar] [CrossRef]
- Helikumi, M.; Eustace, G.; Mushayabasa, S. Dynamics of a Fractional-Order Chikungunya Model with Asymptomatic Infectious Class. Comput. Math. Methods Med. 2022, 1, 5118382. [Google Scholar] [CrossRef]
- Nisar, K.S.; Farman, M.; Abdel-Aty, M.; Ravichandran, C. A review of fractional order epidemic models for life sciences problems: Past, present and future. Alex. Eng. J. 2024, 95, 283–305. [Google Scholar] [CrossRef]
- Sharma, N.; Singh, R.; Singh, J.; Castillo, O. Modeling assumptions, optimal control strategies and mitigation through vaccination to zika virus. Chaos Solitons Fractals 2021, 150, 111137. [Google Scholar] [CrossRef]
- Gizaw, A.K.; Deressa, C.T. Fractional-order analysis of temperature- and rainfall-dependent mathematical model for malaria transmission dynamics. Front. Appl. Math. Stat. 2024, 10, 1396650. [Google Scholar] [CrossRef]
- ul Rehman, A.; Singh, R.; Abdeljawad, T.; Okyere, E.; Guran, L. Modeling, analysis and numerical solution to malaria fractional model with temporary immunity and relapse. Adv. Differ. Equs. 2021, 2021, 390. [Google Scholar] [CrossRef]
- Menbiko, D.K.; Deressa, C.T. Modeling and Analysis of an Age-Structured Malaria Model in the Sense of Atangana–Baleanu Fractional Operators. J. Appl. Math. 2024, 2024, 6652037. [Google Scholar] [CrossRef]
- Abioye, A.I.; Peter, O.J.; Ogunseye, H.A.; Oguntolu, F.A.; Ayoola, T.A.; Oladapo, A.O. A fractional-order mathematical model for malaria and COVID-19 co-infection dynamics. Healthc. Anal. 2023, 4, 100210. [Google Scholar] [CrossRef]
- Kumar, P.; Kumar, A.; Kumar, S.; Baleanu, D. A fractional order co-infection model between malaria and filariasis epidemic. Arab. J. Basic Appl. Sci. 2024, 31, 132–153. [Google Scholar] [CrossRef]
- Lusekelo, E.; Helikumi, M.; Kuznetsov, D.; Mushayabasa, S. Dynamic modelling and optimal control analysis of a fractional order chikungunya disease model with temperature effects. Results Control Optim. 2023, 10, 100206. [Google Scholar] [CrossRef]
- Gao, D.; Lou, Y.; He, D.; Porco, T.C.; Kuang, Y.; Chowell, G.; Ruan, S. Prevention and control of Zika as a mosquito-borne and sexually transmitted disease: A mathematical modeling analysis. Sci. Rep. 2016, 6, 28070. [Google Scholar] [CrossRef]
- Rather, I.A.; Kumar, S.; Bajpai, V.K.; Lim, J.; Park, Y.H. Prevention and control strategies to counter Zika epidemic. Front. Microbiol. 2017, 8, 305. [Google Scholar] [CrossRef]
- van den Driessche, P.; Watmough, J. Reproduction number and subthreshold endemic equilibria for compartment models of disease transmission. Math. Biosci. 2002, 180, 29–48. [Google Scholar] [CrossRef]
- Shuai, Z.; Heesterbeek, J.A.P.; van den Driessche, P. Extending the type reproduction number to infectious disease control targeting contact between types. J. Math. Biol. 2013, 67, 1067–1082. [Google Scholar] [CrossRef]
- LaSalle, J.P. The Stability of Dynamical Systems; SIAM: Philadelphia, PA, USA, 1976. [Google Scholar]
- Ali, A.; Iqbal, Q.; Asamoah, J.K.K.; Islam, S. Mathematical modeling for the transmission potential of Zika virus with optimal control strategies. Eur. Phys. J. Plus 2022, 137, 146. [Google Scholar] [CrossRef]



















| Symbol | Definition | Value | Units | Source |
|---|---|---|---|---|
| Disease transmission from mosquito to human | 0.00195 | [14,31] | ||
| Disease transmission from human to mosquito | 0.63 | [14,31] | ||
| Natural mortality rate of human | [14,31] | |||
| Natural mortality rate of vector | [14,31] | |||
| Progression rate of human from incubation to infectious | 0.055 | [3,9] | ||
| Progression rate of vector from incubation to infectious | 0.055 | [3,9] | ||
| Progression rate of human from asymptomatic to recovered class | [3,9] | |||
| Progression rate of human from infectious to recovered class | [9] | |||
| New recruitment of human | [14,31] | |||
| New recruitment of Aedes mosquito | [3] | |||
| Human education awareness on Zika virus disease | fitted | |||
| Rate of use of insecticides | fitted | |||
| Rate of prevention in contact with mosquitoes | fitted | |||
| Rate of mosquito biting on human | [9] | |||
| Reduction factor of disease transmission | [3,9] | |||
| Proportion of human progress to infectious class | [3] |
Disclaimer/Publisher’s Note: The statements, opinions and data contained in all publications are solely those of the individual author(s) and contributor(s) and not of MDPI and/or the editor(s). MDPI and/or the editor(s) disclaim responsibility for any injury to people or property resulting from any ideas, methods, instructions or products referred to in the content. |
© 2024 by the authors. Licensee MDPI, Basel, Switzerland. This article is an open access article distributed under the terms and conditions of the Creative Commons Attribution (CC BY) license (https://creativecommons.org/licenses/by/4.0/).
Share and Cite
Helikumi, M.; Lolika, P.O.; Makau, K.A.; Ndambuki, M.C.; Mhlanga, A. Modeling Zika Virus Disease Dynamics with Control Strategies. Informatics 2024, 11, 85. https://doi.org/10.3390/informatics11040085
Helikumi M, Lolika PO, Makau KA, Ndambuki MC, Mhlanga A. Modeling Zika Virus Disease Dynamics with Control Strategies. Informatics. 2024; 11(4):85. https://doi.org/10.3390/informatics11040085
Chicago/Turabian StyleHelikumi, Mlyashimbi, Paride O. Lolika, Kimulu Ancent Makau, Muli Charles Ndambuki, and Adquate Mhlanga. 2024. "Modeling Zika Virus Disease Dynamics with Control Strategies" Informatics 11, no. 4: 85. https://doi.org/10.3390/informatics11040085
APA StyleHelikumi, M., Lolika, P. O., Makau, K. A., Ndambuki, M. C., & Mhlanga, A. (2024). Modeling Zika Virus Disease Dynamics with Control Strategies. Informatics, 11(4), 85. https://doi.org/10.3390/informatics11040085

