The Estimation of Centrifugal Pump Flow Rate Based on the Power–Speed Curve Interpolation Method
Abstract
1. Introduction
2. Experimental Setup
3. Estimation Methods
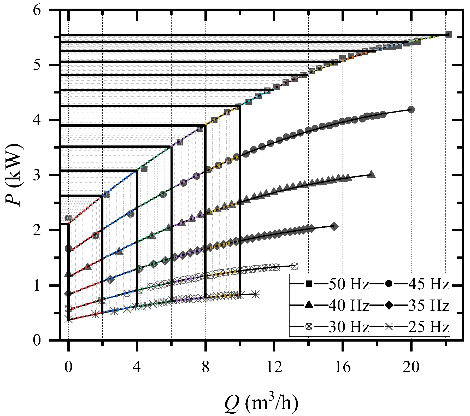
3.1. QP Method
3.2. PN Curves Interpolation Method
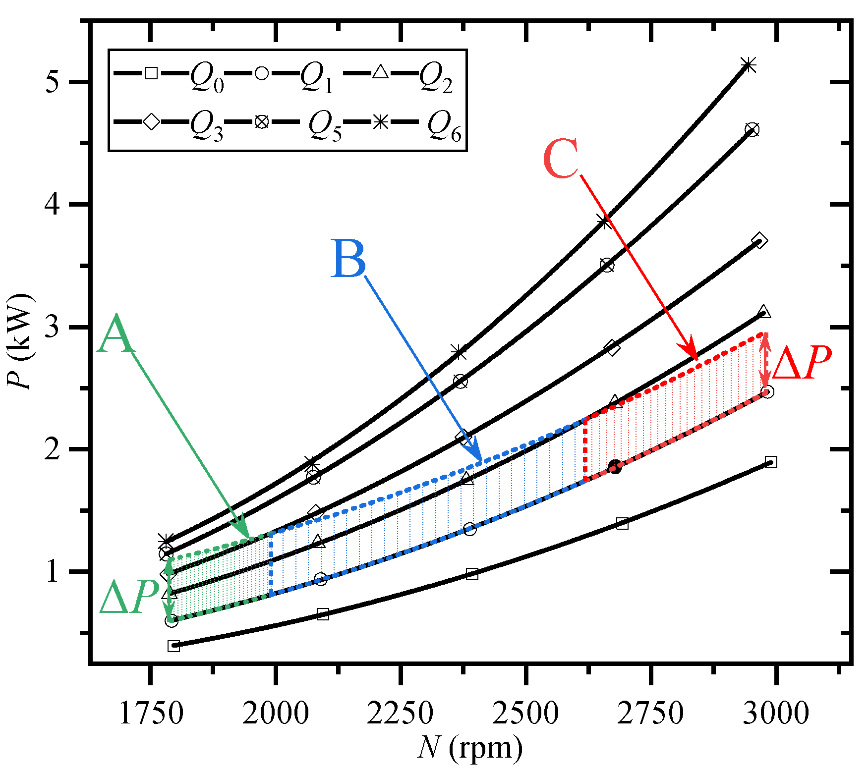
3.3. Estimation Model Based on PN Curves
4. Influence Factors on the Estimation Accuracy
4.1. PN Curves
4.2. Impact of Shaft Power
5. Results and Discussion
6. Application of the PN Curves Interpolation Method
7. Conclusions
- (1)
- The PN curves containing speed, power, and flow information were presented, and an interpolated flow prediction model based on these curves was established. The factors affecting the accuracy of the estimation method were analyzed, which mainly include the flow rate and accuracy of the PN curve, the location of the centrifugal pump operational point, and the fluctuation of the shaft power. Particularly in this aspect of the location of the centrifugal pump operational point, centrifugal pumps operating at a low speeds were more sensitive to power variations. Furthermore, the fluctuation of the motor shaft power can cause variations in the estimation flow rate.
- (2)
- Three different estimation models were compared. The average absolute and relative errors of the interpolated flow prediction method are 0.1756 m3/h and 2.6919%, compared to 1.3851 m3/h and 6.6261% for BPNN and 1.8315 m3/h and 23.35089% for the QP method. This means that the PN curve interpolation method has high accuracy in estimating the flow rates.
- (3)
- The PN curve interpolation method was tested in an industrial application, and its average absolute errors at 47.5 Hz, 42.5 Hz, 37.5 Hz, and 32.5 Hz are 0.1442 m3/h, 0.2047 m3/h, 0.2197 m3/h, and 0.1979 m3/h, and its average relative errors are 2.0816%, 3.2875%, 3.6981%, and 2.9419%. This highly accurate prediction capability fully meets the monitoring and control requirements and improves the accuracy of centrifugal pump flow prediction at small flow rates.
Author Contributions
Funding
Informed Consent Statement
Data Availability Statement
Conflicts of Interest
References
- De Almeida, A.; Fong, J.; Brunner, C.; Werle, R.; Van Werkhoven, M. New technology trends and policy needs in energy efficient motor systems—A major opportunity for energy and carbon savings. Renew. Sustain. Energy Rev. 2019, 115, 109384. [Google Scholar] [CrossRef]
- Torregrossa, D.; Capitanescu, F. Optimization models to save energy and enlarge the operational life of water pumping systems. J. Clean. Prod. 2018, 213, 89–98. [Google Scholar] [CrossRef]
- Wang, Z.; Qian, Z.; Lu, J.; Wu, P. Effects of flow rate and rotational speed on pressure fluctuations in a double-suction centrifugal pump. Energy 2018, 170, 212–227. [Google Scholar] [CrossRef]
- Goman, V.; Oshurbekov, S.; Kazakbaev, V.; Prakht, V.; Dmitrievskii, V. Energy Efficiency Analysis of Fixed-Speed Pump Drives with Various Types of Motors. Appl. Sci. 2019, 9, 5295. [Google Scholar] [CrossRef]
- Oshurbekov, S.; Kazakbaev, V.; Prakht, V.; Dmitrievskii, V.; Gevorkov, L. Energy Consumption Comparison of a Single Variable-Speed Pump and a System of Two Pumps: Variable-Speed and Fixed-Speed. Appl. Sci. 2020, 10, 8820. [Google Scholar] [CrossRef]
- Capurso, T.; Bergamini, L.; Torresi, M. A new generation of centrifugal pumps for high conversion efficiency. Energy Convers. Manag. 2022, 256, 115341. [Google Scholar] [CrossRef]
- Shankar, V.K.A.; Umashankar, S.; Paramasivam, S.; Hanigovszki, N. A comprehensive review on energy efficiency enhancement initiatives in centrifugal pumping system. Appl. Energy 2016, 181, 495–513. [Google Scholar] [CrossRef]
- Viholainen, J.; Tamminen, J.; Ahonen, T.; Ahola, J.; Vakkilainen, E.; Soukka, R. Energy-Efficient Control Strategy for Variable Speed-Driven Parallel Pumping Systems. Energy Effic. 2013, 6, 495–509. [Google Scholar] [CrossRef]
- Gu, Y.; Zhang, J.; Yu, S.; Mou, C.; Li, Z.; He, C.; Wu, D.; Mou, J.; Ren, Y. Unsteady Numerical Simulation Method of Hydrofoil Surface Cavitation. Int. J. Mech. Sci. 2022, 228, 107490. [Google Scholar] [CrossRef]
- Luna, T.; Ribau, J.; Figueiredo, D.; Alves, R. Improving Energy Efficiency in Water Supply Systems with Pump Scheduling Optimization. J. Clean. Prod. 2019, 213, 342–356. [Google Scholar] [CrossRef]
- Lindstedt, M.; Karvinen, R. Optimal Control of Pump Rotational Speed in Filling and Emptying a Reservoir: Minimum Energy Consumption with Fixed Time. Energy Effic. 2016, 9, 1461–1474. [Google Scholar] [CrossRef]
- Luo, Y.; Zhixiang, X.; Sun, H.; Yuan, S.; Yuan, J. Research on the Induction Motor Current Signature for Centrifugal Pump at Cavitation Condition. Adv. Mech. Eng. 2015, 7, 708902. [Google Scholar] [CrossRef]
- Benlaloui, I.; Drid, S.; Chrifi-Alaoui, L.; Ouriagli, M. Implementation of a New MRAS Speed Sensorless Vector Control of Induction Machine. IEEE Trans. Energy Convers. 2015, 30, 588–595. [Google Scholar] [CrossRef]
- Hammo, S.; Viholainen, J. Providing Flow Measurement in Parallel Pumping Systems from Variable Speed Drives. World Pumps 2006, 2006, 30–33. [Google Scholar] [CrossRef]
- Ahonen, T.; Tamminen, J.; Ahola, J.; Viholainen, J.; Aranto, N.; Kestilä, J. Estimation of pump operational state with model-based methods. Energy Convers. Manag. 2010, 51, 1319–1325. [Google Scholar] [CrossRef]
- Ahonen, T.; Tamminen, J.; Ahola, J.; Kestila, J. Frequency-Converter-Based Hybrid Estimation Method for the Centrifugal Pump Operational State. IEEE Trans. Ind. Electron. 2011, 59, 4803–4809. [Google Scholar] [CrossRef]
- Tamminen, J.; Viholainen, J.; Ahonen, T.; Ahola, J.; Hammo, S.; Vakkilainen, E. Comparison of Model-Based Flow Rate Estimation Methods in Frequency-Converter-Driven Pumps and Fans. Energy Effic. 2014, 7, 493–505. [Google Scholar] [CrossRef]
- Ahonen, T.; Tamminen, J.; Ahola, J.; Niinimaki, L.; Tolvanen, J. Sensorless estimation of the pumping process characteristics by a frequency converter. In Proceedings of the 15th European Conference on Power Electronics and Applications (EPE), Lille, France, 3–5 September 2013; pp. 1–10. [Google Scholar] [CrossRef]
- López-Lineros, M.; Estévez, J.; Giráldez, J.V.; Madueño, A. A New Quality Control Procedure Based on Non-Linear Autoregressive Neural Network for Validating Raw River Stage Data. J. Hydrol. 2014, 510, 103–109. [Google Scholar] [CrossRef]
- Claveria, O.; Torra, S. Forecasting Tourism Demand to Catalonia: Neural Networks vs. Time Series Models. Econ. Model. 2014, 36, 220–228. [Google Scholar] [CrossRef]
- Wu, Q.; Shen, Q.; Wang, X.; Yang, Y. Estimation of Centrifugal Pump Operational State with Dual Neural Network Architecture Based Model. Neurocomputing 2016, 216, 102–108. [Google Scholar] [CrossRef]
- Han, W.; Nan, L.; Su, M.; Chen, Y.; Li, R.; Zhang, X. Research on the Prediction Method of Centrifugal Pump Performance Based on a Double Hidden Layer BP Neural Network. Energies 2019, 12, 2709. [Google Scholar] [CrossRef]
- Kong, X.; Ma, S.; Ma, T.; Li, Y.; Cong, X. Mass Flow Rate Prediction of Direct-Expansion Solar-Assisted Heat Pump Using R290 Based on ANN Model. Sol. Energy 2021, 215, 375–387. [Google Scholar] [CrossRef]
- Wu, D.; Huang, H.; Qiu, S.; Liu, Y.; Wu, Y.; Ren, Y.; Mou, J. Application of Bayesian Regularization Back Propagation Neural Network in Sensorless Measurement of Pump Operational State. Energy Rep. 2022, 8, 3041–3050. [Google Scholar] [CrossRef]
- Luo, H.; Zhou, P.; Shu, L.; Mou, J.; Zheng, H.; Jiang, C.; Wang, Y. Energy Performance Curves Prediction of Centrifugal Pumps Based on Constrained PSO-SVR Model. Energies 2022, 15, 3309. [Google Scholar] [CrossRef]

















| Sensor Type | Measurement Range | Precision | Manufacturers |
|---|---|---|---|
| Electromagnetic flowmeter | 0–150 m3/h | 0.2% | Endress + Hauser, Switzerland |
| Power meter | Current, voltage, power | 0.5% | Qingzhi instrument, China |
| Tachometer | 0–20,000 rpm | ±1 rpm | Onosokki, Japan |
| Items | Q0 | Q1 | Q2 | Q3 | Q4 | Q5 |
|---|---|---|---|---|---|---|
| R2 | 0.9999 | 0.9999 | 0.99999 | 0.99996 | 1 | 0.99994 |
| RSS | 1.465 × 10−4 | 1.051 × 10−4 | 4.146 × 10−5 | 1.716 × 10−4 | 2.455 × 10−5 | 3.312 × 10−4 |
| Items | Errors | |||
|---|---|---|---|---|
| Maximum | Average | Minimum | ||
| PN curves interpolation | δ (m3/h) | 0.5409 | 0.1756 | 0.0021 |
| ε (%) | 16.9814 | 2.6919 | 0.0181 | |
| BPNN | δ (m3/h) | 2.7565 | 1.3851 | 0.0717 |
| ε (%) | 61.9739 | 16.6261 | 2.0429 | |
| QP | δ (m3/h) | 3.4191 | 1.8315 | 0.0496 |
| ε (%) | 137.6936 | 23.35089 | 1.3291 | |
Publisher’s Note: MDPI stays neutral with regard to jurisdictional claims in published maps and institutional affiliations. |
© 2022 by the authors. Licensee MDPI, Basel, Switzerland. This article is an open access article distributed under the terms and conditions of the Creative Commons Attribution (CC BY) license (https://creativecommons.org/licenses/by/4.0/).
Share and Cite
Wu, Y.; Wu, D.; Fei, M.; Xiao, G.; Gu, Y.; Mou, J. The Estimation of Centrifugal Pump Flow Rate Based on the Power–Speed Curve Interpolation Method. Processes 2022, 10, 2163. https://doi.org/10.3390/pr10112163
Wu Y, Wu D, Fei M, Xiao G, Gu Y, Mou J. The Estimation of Centrifugal Pump Flow Rate Based on the Power–Speed Curve Interpolation Method. Processes. 2022; 10(11):2163. https://doi.org/10.3390/pr10112163
Chicago/Turabian StyleWu, Yuezhong, Denghao Wu, Minghao Fei, Gang Xiao, Yunqing Gu, and Jiegang Mou. 2022. "The Estimation of Centrifugal Pump Flow Rate Based on the Power–Speed Curve Interpolation Method" Processes 10, no. 11: 2163. https://doi.org/10.3390/pr10112163
APA StyleWu, Y., Wu, D., Fei, M., Xiao, G., Gu, Y., & Mou, J. (2022). The Estimation of Centrifugal Pump Flow Rate Based on the Power–Speed Curve Interpolation Method. Processes, 10(11), 2163. https://doi.org/10.3390/pr10112163

