A Numerical Research on the Relationship between Aeolian Sand Ripples and the Sand Flux
Abstract
:1. Introduction
2. Methodology
3. Results and Discussion
3.1. The Sand Flux Variation During Ripple Formation
3.2. The Relationship between the Sand Particle Transport and the Ripple Index
4. Conclusions
- We simulated the emergence and development of aeolian sand ripples and found an obvious decrease in the ripple index at the initial stage of ripple formation. This variation coincides to a sand flux drop, indicating a strong connection between them.
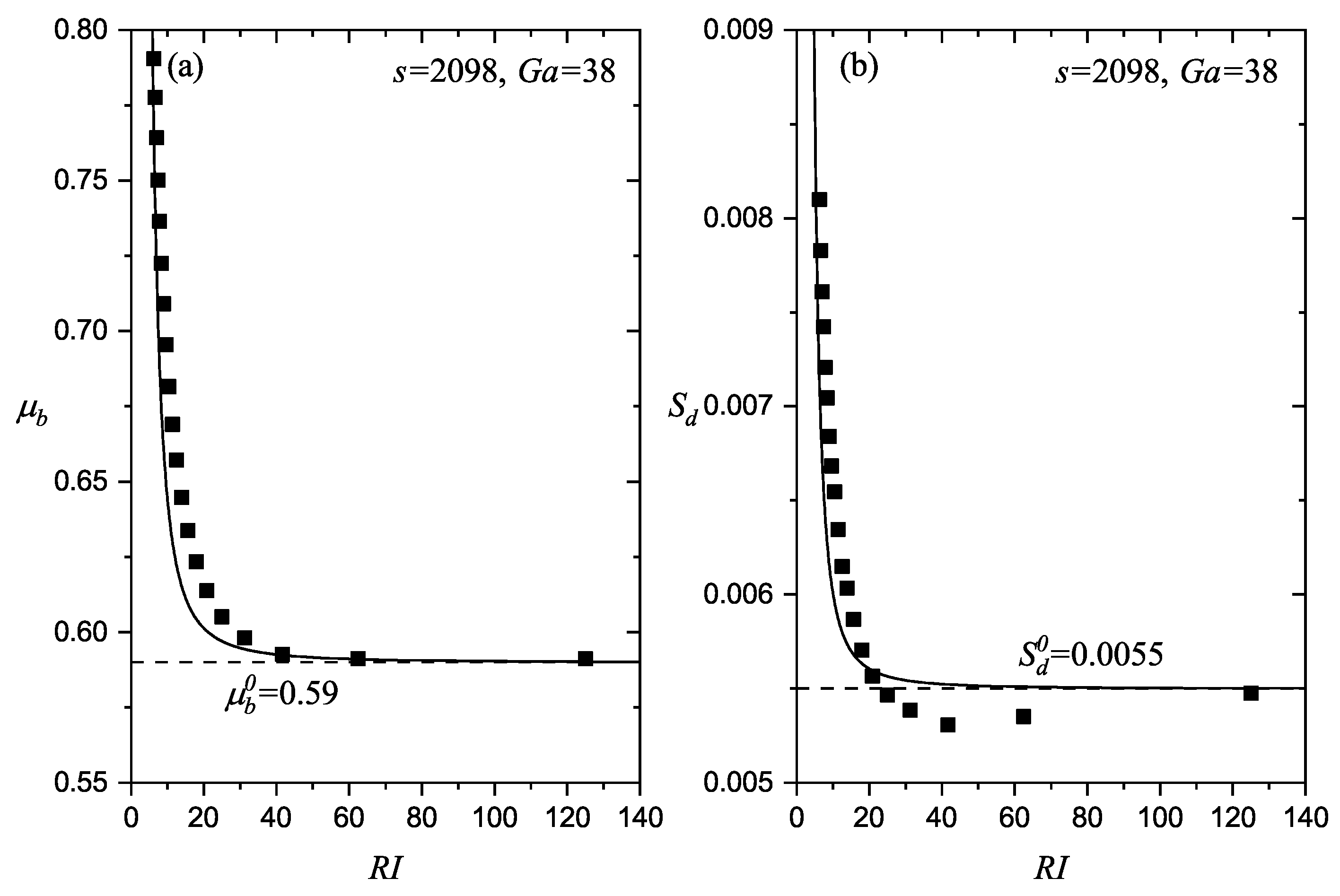
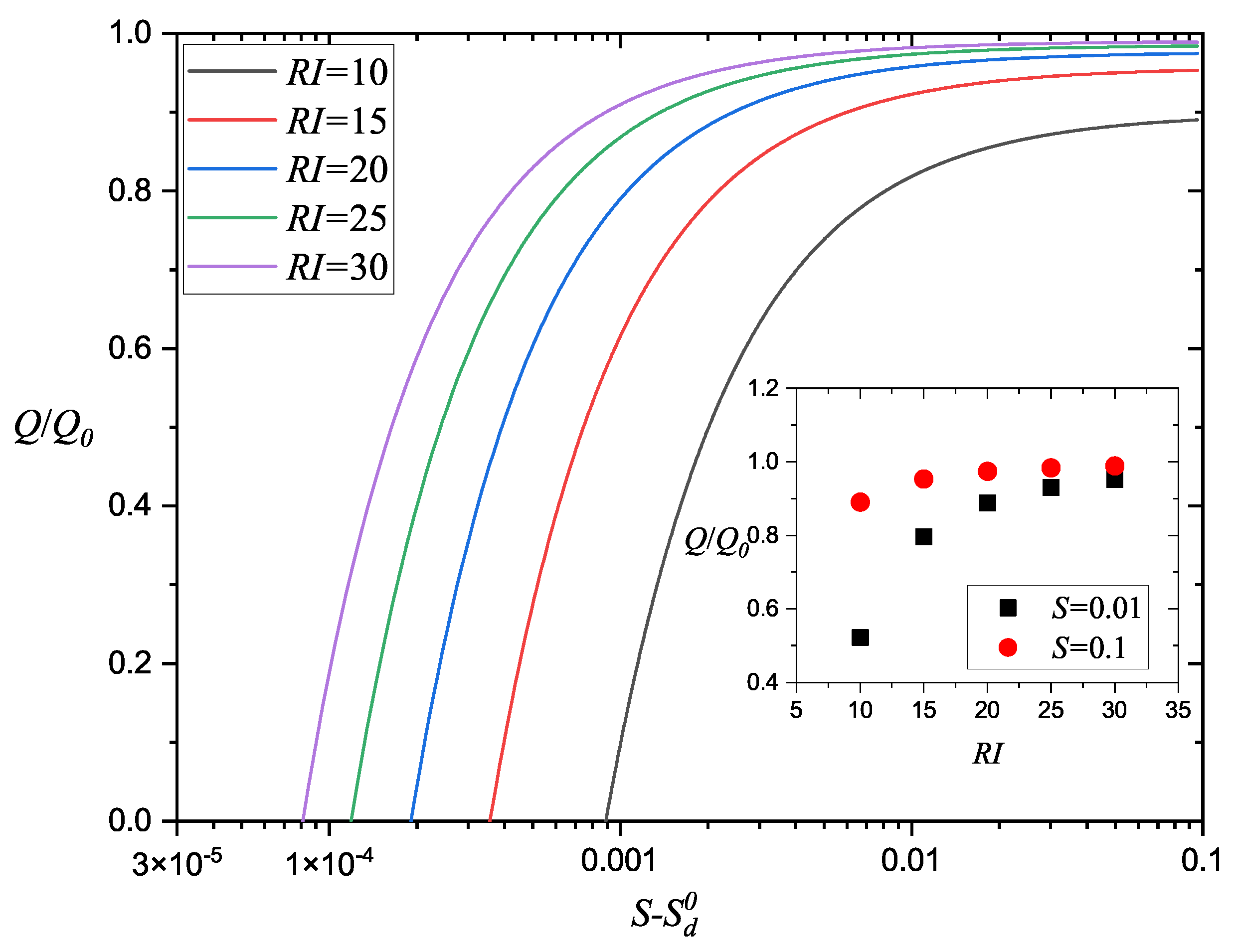
- The relationship between M and the sand flux Q was barely influenced by . For the S smaller than 0.1, we roughly had .
- We presented the relationship between Q, S, and in Equation (24). From this expression, we found the sand flux Q derived at the ripple surface was always smaller than that on the flat surface. A larger corresponds to a smaller Q. Cases with small wind strength are easier to be influenced by the ripple bed.
Author Contributions
Funding
Institutional Review Board Statement
Informed Consent Statement
Data Availability Statement
Conflicts of Interest
References
- Bagnold, R.A. Physics of Blown Sand and Desert Dunes; W. Morrow & Company: New York, NY, USA, 1941. [Google Scholar]
- Yizhaq, H.; Balmforth, N.J.; Provenzale, A. Blown by wind: Nonlinear dynamics of aeolian sand ripples. Phys. D Nonlinear Phenom. 2004, 195, 207–228. [Google Scholar] [CrossRef]
- Rasmussen, K.; Mikkelsen, H. Wind tunnel observations of aeolian transport rates. In Aeolian Grain Transport 1; Barndorff-Nielsen, O.E., Willetts, B.B., Eds.; Springer: Vienna, Austria, 1991; pp. 135–144. [Google Scholar]
- Rasmussen, K.R.; Valance, A.; Merrison, J. Laboratory studies of aeolian sediment transport processes on planetary surfaces. Geomorphology 2015, 244, 74–94. [Google Scholar] [CrossRef]
- Wang, X.; Zhang, C.; Huang, X.; Shen, Y.; Zou, X.; Li, J.; Cen, S. Wind tunnel tests of the dynamic processes that control wind erosion of a sand bed. Earth Surf. Process. Landf. 2019, 44, 614–623. [Google Scholar] [CrossRef]
- Tong, D.; Huang, N. Numerical simulation of saltating particles in atmospheric boundary layer over flat bed and sand ripples. J. Geophys. Res. Atmos. 2012, 117, D16205. [Google Scholar] [CrossRef]
- Sharp, R.P. Wind ripples. J. Geol. 1963, 71, 617–636. [Google Scholar] [CrossRef]
- Walker, J.D. An Experimental Study of Wind Ripples. Ph.D. Thesis, Massachusetts Institute of Technology, Cambridge, MA, USA, 1981. [Google Scholar]
- Andreotti, B.; Claudin, P.; Pouliquen, O. Aeolian sand ripples: Experimental study of fully developed states. Phys. Rev. Lett. 2006, 96, 028001. [Google Scholar] [CrossRef] [Green Version]
- Schmerler, E.; Katra, I.; Kok, J.F.; Tsoar, H.; Yizhaq, H. Experimental and numerical study of Sharp’s shadow zone hypothesis on sand ripple wavelength. Aeolian Res. 2016, 22, 37–46. [Google Scholar] [CrossRef]
- Anderson, R.S. A theoretical model for aeolian impact ripples. Sedimentology 1987, 34, 943–956. [Google Scholar] [CrossRef]
- Hoyle, R.B.; Woods, A. Analytical model of propagating sand ripples. Phys. Rev. E 1997, 56, 6861. [Google Scholar] [CrossRef] [Green Version]
- Prigozhin, L. Nonlinear dynamics of aeolian sand ripples. Phys. Rev. E 1999, 60, 729. [Google Scholar] [CrossRef] [Green Version]
- Valance, A.; Rioual, F. A nonlinear model for aeolian sand ripples. Eur. Phys. J. B-Condens. Matter Complex Syst. 1999, 10, 543–548. [Google Scholar] [CrossRef]
- Csahók, Z.; Misbah, C.; Rioual, F.; Valance, A. Dynamics of aeolian sand ripples. Eur. Phys. J. E 2000, 3, 71–86. [Google Scholar] [CrossRef] [Green Version]
- Wang, P.; Zhang, J.; Huang, N. A theoretical model for aeolian polydisperse-sand ripples. Geomorphology 2019, 335, 28–36. [Google Scholar] [CrossRef]
- Bo, T.L.; Xie, L.; Zheng, X.J. Numerical approach to wind ripple in desert. Int. J. Nonlinear Sci. Numer. Simul. 2007, 8, 223–228. [Google Scholar] [CrossRef]
- Durán, O.; Claudin, P.; Andreotti, B. Direct numerical simulations of aeolian sand ripples. Proc. Natl. Acad. Sci. USA 2014, 111, 15665–15668. [Google Scholar] [CrossRef] [Green Version]
- Huo, X.; Dun, H.; Huang, N.; Zhang, J. 3d direct numerical simulation on the emergence and development of aeolian sand ripples. Front. Phys. 2021, 9, 358. [Google Scholar] [CrossRef]
- Durán, O.; Andreotti, B.; Claudin, P. Numerical simulation of turbulent sediment transport, from bed load to saltation. Phys. Fluids 2012, 24, 103306. [Google Scholar] [CrossRef] [Green Version]
- Brilliantov, N.V.; Pöschel, T. Kinetic Theory of Granular Gases; Oxford University Press: Oxford, UK, 2010. [Google Scholar]
- Schwager, T.; Becker, V.; Pöschel, T. Coefficient of tangential restitution for viscoelastic spheres. Eur. Phys. J. E 2008, 27, 107–114. [Google Scholar] [CrossRef]
- Fohanno, S.; Oesterle, B. Analysis of the effect of collisions on the gravitational motion of large particles in a vertical duct. Int. J. Multiph. Flow 2000, 26, 267–292. [Google Scholar] [CrossRef]
- Lämmel, M.; Dzikowski, K.; Kroy, K.; Oger, L.; Valance, A. Grain-scale modeling and splash parametrization for aeolian sand transport. Phys. Rev. E 2017, 95, 022902. [Google Scholar] [CrossRef] [Green Version]
- Lämmel, M.; Kroy, K. Analytical mesoscale modeling of aeolian sand transport. Phys. Rev. E 2017, 96, 052906. [Google Scholar] [CrossRef] [PubMed] [Green Version]
- Shao, Y.; Lu, H. A simple expression for wind erosion threshold friction velocity. J. Geophys. Res. Atmos. 2000, 105, 22437–22443. [Google Scholar] [CrossRef]
- Nalpanis, P.; Hunt, J.; Barrett, C. Saltating particles over flat beds. J. Fluid Mech. 1993, 251, 661–685. [Google Scholar] [CrossRef]
- Pähtz, T.; Durán, O. Unification of aeolian and fluvial sediment transport rate from granular physics. Phys. Rev. Lett. 2020, 124, 168001. [Google Scholar] [CrossRef] [PubMed] [Green Version]
- Durán, O.; Claudin, P.; Andreotti, B. On aeolian transport: Grain-scale interactions, dynamical mechanisms and scaling laws. Aeolian Res. 2011, 3, 243–270. [Google Scholar] [CrossRef]
- Anderson, R.S. Eolian ripples as examples of self-organization in geomorphological systems. Earth-Sci. Rev. 1990, 29, 77–96. [Google Scholar] [CrossRef]
- Creyssels, M.; Dupont, P.; El Moctar, A.O.; Valance, A.; Cantat, I.; Jenkins, J.T.; Pasini, J.M.; Rasmussen, K.R. Saltating particles in a turbulent boundary layer: Experiment and theory. J. Fluid Mech. 2009, 625, 47. [Google Scholar] [CrossRef] [Green Version]
- Ho, T.D.; Valance, A.; Dupont, P.; El Moctar, A.O. Scaling laws in aeolian sand transport. Phys. Rev. Lett. 2011, 106, 094501. [Google Scholar] [CrossRef]
- Martin, R.L.; Kok, J.F. Wind-invariant saltation heights imply linear scaling of aeolian saltation flux with shear stress. Sci. Adv. 2017, 3, e1602569. [Google Scholar] [CrossRef] [Green Version]
- Lämmel, M.; Meiwald, A.; Yizhaq, H.; Tsoar, H.; Katra, I.; Kroy, K. Aeolian sand sorting and megaripple formation. Nat. Phys. 2018, 14, 759–765. [Google Scholar] [CrossRef]
- Pähtz, T.; Durán, O.; Ho, T.D.; Valance, A.; Kok, J.F. The fluctuation energy balance in non-suspended fluid-mediated particle transport. Phys. Fluids 2015, 27, 013303. [Google Scholar] [CrossRef] [Green Version]
- Owen, P.R. Saltation of uniform grains in air. J. Fluid Mech. 1964, 20, 225–242. [Google Scholar] [CrossRef]
- Carneiro, M.V.; Rasmussen, K.R.; Herrmann, H.J. Bursts in discontinuous Aeolian saltation. Sci. Rep. 2015, 5, 11109. [Google Scholar] [CrossRef] [PubMed] [Green Version]










| Publisher’s Note: MDPI stays neutral with regard to jurisdictional claims in published maps and institutional affiliations. | 
© 2022 by the authors. Licensee MDPI, Basel, Switzerland. This article is an open access article distributed under the terms and conditions of the Creative Commons Attribution (CC BY) license (https://creativecommons.org/licenses/by/4.0/).
Share and Cite
Huo, X.; Huang, N.; Zhang, J. A Numerical Research on the Relationship between Aeolian Sand Ripples and the Sand Flux. Processes 2022, 10, 354. https://doi.org/10.3390/pr10020354
Huo X, Huang N, Zhang J. A Numerical Research on the Relationship between Aeolian Sand Ripples and the Sand Flux. Processes. 2022; 10(2):354. https://doi.org/10.3390/pr10020354
Chicago/Turabian StyleHuo, Xinghui, Ning Huang, and Jie Zhang. 2022. "A Numerical Research on the Relationship between Aeolian Sand Ripples and the Sand Flux" Processes 10, no. 2: 354. https://doi.org/10.3390/pr10020354
APA StyleHuo, X., Huang, N., & Zhang, J. (2022). A Numerical Research on the Relationship between Aeolian Sand Ripples and the Sand Flux. Processes, 10(2), 354. https://doi.org/10.3390/pr10020354
 
         
                                                



