Bioremediation of Soil from Petroleum Contamination
Abstract
:1. Introduction
2. Petroleum Composition and Its Effects on Soil
3. Phytoremediation of Oil-Polluted Soils
4. Microbial Bioremediation
4.1. Bioremediation by Heterotrophic Microbes
4.2. Soil Bioremediation by Phototrophic Microbes (Microalgae)
5. The Mechanisms of the Microbial Degradation of Hydrocarbons
5.1. Degradation of Alkanes and Alkenes
- Oxidation of alkanes to a respective alcohol by monooxygenases. Some microbes can oxidize hydrocarbons to secondary alcohols, which are further oxidized to ketones and ethers.
- Oxidation of the alcohol obtained in step 1 to a respective aldehyde by alcohol dehydrogenase.
- The oxidation of the aldehyde to a respective fatty acid.
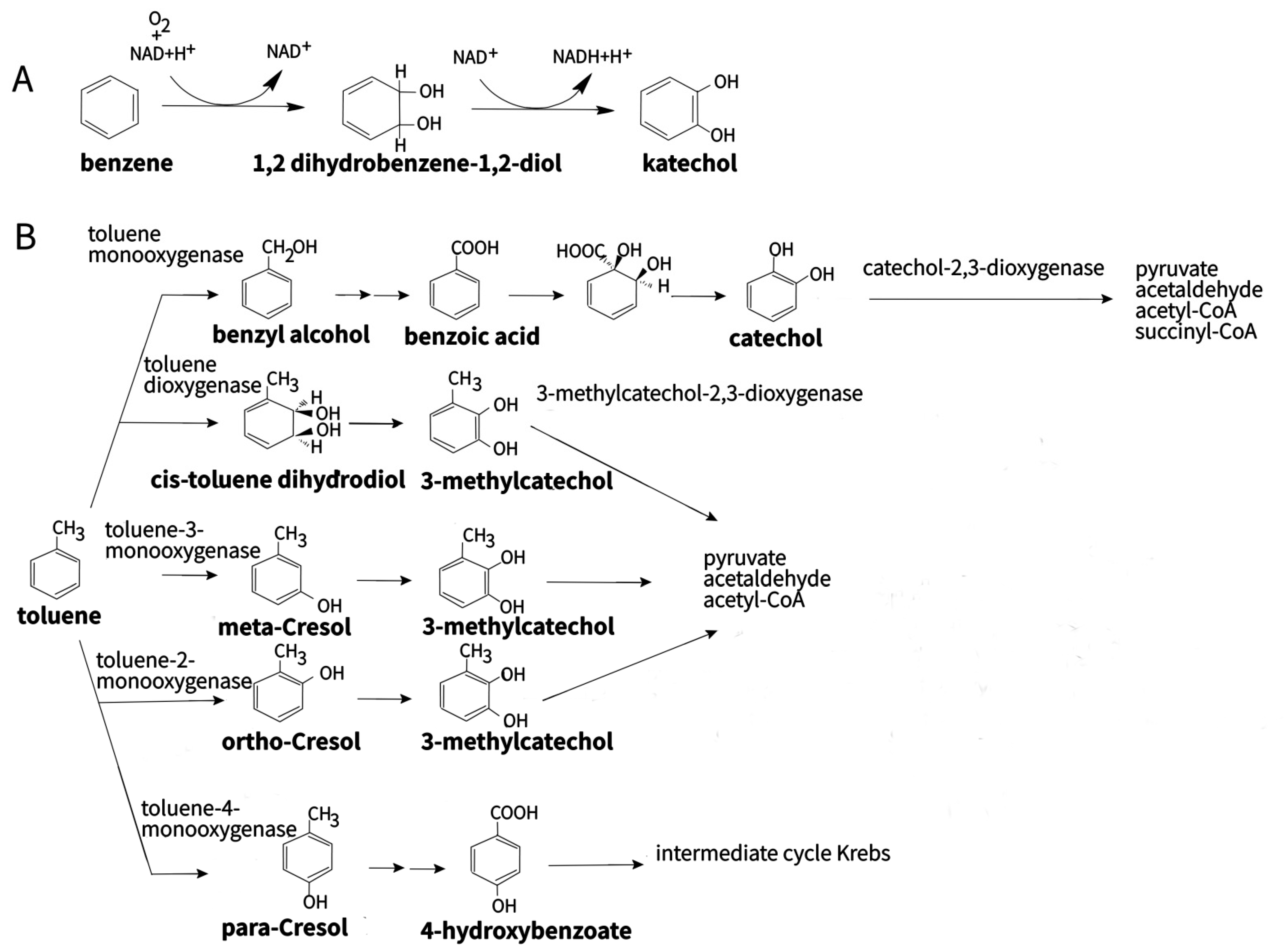
5.2. Aromatic Hydrocarbons
5.3. Biosurfactants Use for Bioremediation
6. Conclusions
Author Contributions
Funding
Institutional Review Board Statement
Informed Consent Statement
Data Availability Statement
Conflicts of Interest
References
- Galvez-Cloutier, R.; Guesdon, G.; Fonchain, A. Lac-Mégantic: Analyse de l’urgence environnementale, bilan et évaluation des impacts. Can. J. Civ. Eng. 2014, 41, 531–539. [Google Scholar] [CrossRef]
- Fomin, G.S.; Fomin, A.G. Pochva: Kontrol’ Kachestva i Ekologicheskoi Bezopasnosti po Mezhdunarodnym Standartam Spravochnik; Protector: Russia, Moscow, 2001; ISBN 5-900631-06-0. [Google Scholar]
- Elinskiy, V.I.; Akmedov, R.M.; Ivanova, Y.A. The problem of environmental pollution in oil production: Topical issue. Vestn. Moscow Univ. Minist. Intern. Aff. Russ. 2020, 118–122. [Google Scholar] [CrossRef]
- Apulu, O.G.; Potravny, I.M.; Sukhorukova, I.V. Methods of Justification and Selection of Technologies for Remediation of Oil-contaminated Land. Ecol. Ind. Russ. 2021, 25, 38–43. [Google Scholar] [CrossRef]
- Bulanova, A.V.; Gretskova, I.V.; Muratova, O.V. Sorption properties of sorbents used for cleaning up soils from oil pollution. Vestn. Samara Univ. Nat. Sci. Ser. 2005, 3, 150–158. [Google Scholar]
- Broniatowski, M.; Binczycka, M.; Wójcik, A.; Flasiński, M.; Wydro, P. Polycyclic aromatic hydrocarbons in model bacterial membranes—Langmuir monolayer studies. Biochim. Biophys. Acta Biomembr. 2017, 1859, 2402–2412. [Google Scholar] [CrossRef] [PubMed]
- Jalaludin, J.H.; Abu Bakar, S.; Latif, M.T.; Almeida, M.; Diapouli, E.; Hisamuddin, N.H.; Jalaludin, J.; Bakar, S.A.; Latif, M.T. Polycyclic Aromatic Hydrocarbons (PAHs) Exposure on DNA Damage among School Children in Urban Traffic Area, Malaysia. Int. J. Environ. Res. Public Health 2022, 19, 2193. [Google Scholar] [CrossRef]
- Meier, S.; Karlsen, O.; Le Goff, J.; Sørensen, L.; Sørhus, E.; Pampanin, D.M.; Donald, C.E.; Fjelldal, P.G.; Dunaevskaya, E.; Romano, M.; et al. DNA damage and health effects in juvenile haddock (Melanogrammus aeglefinus) exposed to PAHs associated with oil-polluted sediment or produced water. PLoS ONE 2020, 15, e0240307. [Google Scholar] [CrossRef]
- Sadovnikova, L.K. Ekologiya i Ohrana Okruzhayushchej Sredy pri Himicheskom Zagryaznenii; Vysshaya Shkola: Moscow, Russia, 2006; ISBN 5-06-005558-2. [Google Scholar]
- Lifshits, S.K.; Glyaznetsova, Y.; Chalaya, O.N. Self-Regeneration of Oil-Contaminated Soils in the Cryolithozone on the Example of the Territory of the Former Oil Pipeline «Talakan-Vitim». In Proceedings of the INTEREKSPO GEO-SIBIR, Novosibirsk, Russia, 23–27 April 2018; pp. 199–206. [Google Scholar]
- García-Villacís, K.; Ramos-Guerrero, L.; Canga, J.L.; Hidalgo-Lasso, D.; Vargas-Jentzsch, P.; Govindan, M. Environmental Impact Assessment of Remediation Strategy in an Oil Spill in the Ecuadorian Amazon Region. Pollutants 2021, 1, 19. [Google Scholar] [CrossRef]
- Nametkin, S.S. Khimiya Nefti; Izd-vo AN SSSR: Moscow, Russia, 1965. [Google Scholar]
- Ryabov, V.D. Khimiya Nefti i Gaza; Shelemina, N.V., Ed.; ID Forum: Moscow, Russia, 2009; ISBN 9785819903902. [Google Scholar]
- Glazovskaya, M.A. Geohimiya Prirodnykh i Tehnogennykh Landshaftov SSSR; Vysshaya Shkola: Moscow, Russia, 1988; ISBN 5-06-001144-5. [Google Scholar]
- Solntseva, N.P. Dobycha Nefti i Geokhimiya Prirodnykh Landshaftov; Publishing House of Moscow State University: Moscow, Russia, 1998; ISBN 5-211-03883-5. [Google Scholar]
- Amakiri, J.O.; Onofeghara, F.A. Effect of crude oil pollution on the growth of Zea mays, Abelmoschus esculentus and Capsicum frutescens. Oil Petrochemical Pollut. 1983, 1, 199–205. [Google Scholar] [CrossRef]
- Abosede, E.E. Effect of Crude Oil Pollution on some Soil Physical Properties. IOSR J. Agric. Vet. Sci. 2013, 6, 14–17. [Google Scholar] [CrossRef]
- Adewuyi, P.; Oluremi, J. Compaction Characteristics of Oil Contaminated Residual Soil. J. Eng. Technol. 2015, 6, 75–88. [Google Scholar]
- Ossai, I.C.; Ahmed, A.; Hassan, A.; Hamid, F.S. Remediation of soil and water contaminated with petroleum hydrocarbon: A review. Environ. Technol. Innov. 2020, 17, 100526. [Google Scholar] [CrossRef]
- Salanitro, J.P.; Dorn, P.B.; Huesemann, M.H.; Moore, K.O.; Rhodes, I.A.; Rice Jackson, L.M.; Vipond, T.E.; Western, M.M.; Wisniewski, H.L. Crude Oil Hydrocarbon Bioremediation and Soil Ecotoxicity Assessment. Environ. Sci. Technol. 1997, 31, 1769–1776. [Google Scholar] [CrossRef]
- Korshunova, T.Y.; Chetverikov, S.P.; Bakaeva, M.D.; Kuzina, E.V.; Rafikova, G.F.; Chetverikova, D.V.; Loginov, O.N. Mikroorganizms in the elimination of pollution consequences. Prikl. Biohim. i Mikrobiol. 2019, 55, 338–349. [Google Scholar] [CrossRef]
- Das, N.; Chandran, P. Microbial Degradation of Petroleum Hydrocarbon Contaminants: An Overview. Biotechnol. Res. Int. 2011, 2011, 941810. [Google Scholar] [CrossRef] [PubMed] [Green Version]
- Khamehchiyan, M.; Hossein Charkhabi, A.; Tajik, M. Effects of crude oil contamination on geotechnical properties of clayey and sandy soils. Eng. Geol. 2007, 89, 220–229. [Google Scholar] [CrossRef]
- Zahermand, S.; Vafaeian, M.; Bazyar, M.H. Analysis of the physical and chemical properties of soil contaminated with oil (Petroleum) hydrocarbons. Earth Sci. Res. J. 2020, 24, 161–166. [Google Scholar] [CrossRef]
- Abu-Khasan, M.S.; Makarov, Y.I. Analysis of soil contamination with oil and petroleum products. IOP Conf. Ser. Earth Environ. Sci. 2021, 937, 022046. [Google Scholar] [CrossRef]
- Orlov, D.S. Ekologiya i ohrana biosfery pri himicheskom zagryaznenii; Vysshaya shkola: Russia, Moscow, 2002; ISBN 5-06-004099-2. [Google Scholar]
- Salimnezhad, A.; Soltani-Jigheh, H.; Soorki, A.A. Effects of oil contamination and bioremediation on geotechnical properties of highly plastic clayey soil. J. Rock Mech. Geotech. Eng. 2021, 13, 653–670. [Google Scholar] [CrossRef]
- Wang, L.; Cheng, Y.; Naidu, R.; Bowman, M. The Key Factors for the Fate and Transport of Petroleum Hydrocarbons in Soil With Related in/ex Situ Measurement Methods: An Overview. Front. Environ. Sci. 2021, 9, 620. [Google Scholar] [CrossRef]
- Hewelke, E.; Szatyłowicz, J.; Hewelke, P.; Gnatowski, T.; Aghalarov, R. The Impact of Diesel Oil Pollution on the Hydrophobicity and CO2 Efflux of Forest Soils. Water. Air. Soil Pollut. 2018, 229, 51. [Google Scholar] [CrossRef] [PubMed] [Green Version]
- Camenzuli, D.; Freidman, B.L. On-site and in situ remediation technologies applicable to petroleum hydrocarbon contaminated sites in the Antarctic and Arctic. Polar Res. 2015, 34. [Google Scholar] [CrossRef] [Green Version]
- Klamerus-Iwan, A.; Błońska, E.; Lasota, J.; Kalandyk, A.; Waligórski, P. Influence of Oil Contamination on Physical and Biological Properties of Forest Soil after Chainsaw Use. Water. Air. Soil Pollut. 2015, 226, 389. [Google Scholar] [CrossRef] [PubMed] [Green Version]
- Raskin, I.; Kumar, P.N.; Dushenkov, S.; Salt, D.E. Bioconcentration of heavy metals by plants. Curr. Opin. Biotechnol. 1994, 5, 285–290. [Google Scholar] [CrossRef]
- Marmiroli, N.; Monciardini, P. Phytoremediation Resource Guide; U.S. Environmental Protection Agency, Office of Solid Waste and Emergency Response, Technology Innovation Office: Washington, DC, USA, 1999. [Google Scholar]
- Tonelli, F.M.P.; Bhat, R.A.; Dar, G.H.; Hakeem, K.R. The history of phytoremediation. Phytoremediation 2022, 1–18. [Google Scholar] [CrossRef]
- Nedunuri, K.V.; Govindaraju, R.S.; Banks, M.K.; Schwab, A.P.; Chen, Z. Evaluation of Phytoremediation for Field-Scale Degradation of Total Petroleum Hydrocarbons. J. Environ. Eng. 2000, 126, 483–490. [Google Scholar] [CrossRef]
- Frick, C.M.; Farrell, R.E.; Germida, J.J. Assessment of Phytoremediation as an In-Situ Technique for Cleaning Oil-Contaminated Sites. In Technical Seminar on Chemical Spills; Environment Canada: Vancouver, BC, Canada, 1999. [Google Scholar]
- Leigh, M.B.; Fletcher, J.S.; Fu, X.; Schmitz, F.J. Root Turnover: An Important Source of Microbial Substrates in Rhizosphere Remediation of Recalcitrant Contaminants. Environ. Sci. Technol. 2002, 36, 1579–1583. [Google Scholar] [CrossRef]
- Radwan, S. Phytoremediation for Oily Desert Soils. In Advanced in Applied Bioremediation; Singh, A., Kuhad, R., Ward, O., Eds.; Springer: Berlin/Heidelberg, Germany, 2009; Volume 17, pp. 279–298. ISBN 9783540896203. [Google Scholar]
- Orlova, E.V.; Stepanova, A.Y. Estimation of possibility of creating a plant-microbial bioremediation complex from the Oleovorin preperation components. Agrohimiya 2012, 10, 72–78. [Google Scholar]
- Phillips, L.A.; Greer, C.W.; Farrell, R.E.; Germida, J.J. Field-scale assessment of weathered hydrocarbon degradation by mixed and single plant treatments. Appl. Soil Ecol. 2009, 42, 9–17. [Google Scholar] [CrossRef] [Green Version]
- Lin, X.; Li, X.; Li, P.; Li, F.; Zhang, L.; Zhou, Q. Evaluation of plant-microorganism synergy for the remediation of diesel fuel contaminated soil. Bull. Environ. Contam. Toxicol. 2008, 81, 19–24. [Google Scholar] [CrossRef]
- Günther, T.; Dornberger, U.; Fritsche, W. Effects of ryegrass on biodegradation of hydrocarbons in soil. Chemosphere 1996, 33, 203–215. [Google Scholar] [CrossRef]
- Epuri, V.; Sorensen, D.L. Benzo(a)pyrene and Hexachlorobiphenyl Contaminated Soil: Phytoremediation Potential. ACS Symp. Ser. 1997, 664, 200–222. [Google Scholar] [CrossRef]
- Jordahl, J.L.; Foster, L.; Schnoor, J.L.; Alvarez, P.J.J. Effect of hybrid poplar trees on microbial populations important to hazardous waste bioremediation. Environ. Toxicol. Chem. 1997, 16, 1318–1321. [Google Scholar] [CrossRef]
- Nicolas, M.; Guittard, F.; Géribaldi, S. Synthesis of Stable Super Water- and Oil-Repellent Polythiophene Films. Angew. Chemie Int. Ed. 2006, 45, 2251–2254. [Google Scholar] [CrossRef]
- Radwan, S.S.; Al-Awadhi, H.; Sorkhoh, N.A.; El-Nemr, I.M. Rhizospheric hydrocarbon-utilizing microorganisms as potential contributors to phytoremediation for the oil Kuwaiti desert. Microbiol. Res. 1998, 153, 247–251. [Google Scholar] [CrossRef]
- Vančura, V.; Hanzlíková, A. Root exudates of plants. Plant Soil 1972 361 1972, 36, 271–282. [Google Scholar] [CrossRef]
- Kuiper, I.; Lagendijk, E.L.; Bloemberg, G.V.; Lugtenberg, B.J.J. Rhizoremediation: A beneficial plant-microbe interaction. Mol. Plant. Microbe. Interact. 2004, 17, 6–15. [Google Scholar] [CrossRef] [Green Version]
- Macek, T.; Macková, M.; Káš, J. Exploitation of plants for the removal of organics in environmental remediation. Biotechnol. Adv. 2000, 18, 23–34. [Google Scholar] [CrossRef]
- Schnoor, J.L.; Licht, L.A.; McCutcheon, S.C.; Lee Wolfe, N.; Carreira, L.H. Phytoremediation of Organic and Nutrient Contaminants. Environ. Sci. Technol. 2012, 29, 318. [Google Scholar] [CrossRef]
- Kirk, J.L.; Klironomos, J.N.; Lee, H.; Trevors, J.T. The effects of perennial ryegrass and alfalfa on microbial abundance and diversity in petroleum contaminated soil. Environ. Pollut. 2005, 133, 455–465. [Google Scholar] [CrossRef]
- Atlas, R.M.; Bartha, R. Microbial Ecology: Fundamentals and Applications; Benjamin/Cummings Pub. Co.: San Francisco, CA, USA, 1982; Volume 70, ISBN 978-0805306538. [Google Scholar]
- Ancona, V.; Rascio, I.; Aimola, G.; Campanale, C.; Grenni, P.; di Lenola, M.; Garbini, G.L.; Uricchio, V.F.; Caracciolo, A.B. Poplar-Assisted Bioremediation for Recovering a PCB and Heavy-Metal-Contaminated Area. Agriculture 2021, 11, 689. [Google Scholar] [CrossRef]
- Di Lenola, M.; Caracciolo, A.B.; Ancona, V.; Laudicina, V.A.; Garbini, G.L.; Mascolo, G.; Grenni, P. Combined Effects of Compost and Medicago Sativa in Recovery a PCB Contaminated Soil. Water 2020, 12, 860. [Google Scholar] [CrossRef] [Green Version]
- Morgan, J.A.W.; Bending, G.D.; White, P.J. Biological costs and benefits to plant–microbe interactions in the rhizosphere. J. Exp. Bot. 2005, 56, 1729–1739. [Google Scholar] [CrossRef] [Green Version]
- Hartmann, A.; Rothballer, M.; Schmid, M. Lorenz Hiltner, a pioneer in rhizosphere microbial ecology and soil bacteriology research. Plant Soil 2007, 312, 7–14. [Google Scholar] [CrossRef]
- Rohrbacher, F.; St-Arnaud, M.; Weston, L.A.; Zhu, X. Root Exudation: The Ecological Driver of Hydrocarbon Rhizoremediation. Agronomy 2016, 6, 19. [Google Scholar] [CrossRef]
- Erickson, D.C.; Loehr, R.C.; Neuhauser, E.F. PAH loss during bioremediation of manufactured gas plant site soils. Water Res. 1993, 27, 911–919. [Google Scholar] [CrossRef]
- Kandeler, E.; Marschner, P.; Tscherko, D.; Singh Gahoonia, T.; Nielsen, N.E. Microbial community composition and functional diversity in the rhizosphere of maize. Plant Soil 2002, 238, 301–312. [Google Scholar] [CrossRef]
- Toal, M.E.; Yeomans, C.; Killham, K.; Meharg, A.A. A review of rhizosphere carbon flow modelling. Commun. Soil Sci. Plant Anal. 2000, 222, 263–281. [Google Scholar]
- Siciliano, S.D.; Germida, J.J. Mechanisms of phytoremediation: Biochemical and ecological interactions between plants and bacteria. Environ. Rev. 1998, 6, 65–79. [Google Scholar] [CrossRef]
- Xu, J.F.; Zheng, X.P.; Liu, W.D.; Du, R.F.; Bi, L.F.; Zhang, P.C. Flavonol glycosides and monoterpenoids from Potentilla anserina. J. Asian Nat. Prod. Res. 2010, 12, 529–534. [Google Scholar] [CrossRef]
- Gramss, G.; Rudeschko, O. Activities of oxidoreductase enzymes in tissue extracts and sterile root exudates of three crop plants, and some properties of the peroxidase component. New Phytol. 1998, 138, 401–409. [Google Scholar] [CrossRef]
- Allamin, I.A.; Halmi, M.I.E.; Yasid, N.A.; Ahmad, S.A.; Abdullah, S.R.S.; Shukor, Y. Rhizodegradation of Petroleum Oily Sludge-contaminated Soil Using Cajanus cajan Increases the Diversity of Soil Microbial Community. Sci. Rep. 2020, 10, 4094. [Google Scholar] [CrossRef] [PubMed] [Green Version]
- Ferro, A.M.; Sims, R.C.; Bugbee, B. Hycrest Crested Wheatgrass Accelerates the Degradation of Pentachlorophenol in Soil. J. Environ. Qual. 1994, 23, 272–279. [Google Scholar] [CrossRef] [PubMed] [Green Version]
- Ferro, A.; Kennedy, J.; Doucette, W.; Nelson, S.; Jauregui, G.; McFarland, B.; Bugbee, B. Fate of Benzene in Soils Planted with Alfalfa: Uptake, Volatilization, and Degradation. ACS Symp. Ser. 1997, 664, 223–237. [Google Scholar] [CrossRef]
- Orlova, E.V.; Gladkov, E.A.; Gladkova, O.V.; Stepanova, A.Y. Estimation of oil toxicity for Agrostis stolonifera L. and biotechnological method for producing of resistant plants. Sel’skokhozyaistvennaya Bilogiya 2011, 4, 96–101. [Google Scholar]
- Gladkov, E.A.; Gladkova, O.V. Ecobiogeotechnological approaches for increasing the biological absorption of plants in phytoremediation. Proc. Tula states Univ. Sci. Earth 2019, 4, 32–40. [Google Scholar]
- Arjoon, K.; Speight, J.G. Chemical and Physical Analysis of a Petroleum Hydrocarbon Contamination on a Soil Sample to Determine Its Natural Degradation Feasibility. Invention 2020, 5, 43. [Google Scholar] [CrossRef]
- Ajona, M.; Vasanthi, P. Bioremediation of petroleum contaminated soils—A review. Mater. Today Proc. 2021, 45, 7117–7122. [Google Scholar] [CrossRef]
- Ullrich, R.; Hofrichter, M. Enzymatic hydroxylation of aromatic compounds. Cell. Mol. Life Sci. 2007, 64, 271–293. [Google Scholar] [CrossRef]
- Varjani, S.J. Microbial degradation of petroleum hydrocarbons. Bioresour. Technol. 2017, 223, 277–286. [Google Scholar] [CrossRef]
- Sui, X.; Wang, X.; Li, Y.; Ji, H. Remediation of petroleum-contaminated soils with microbial and microbial combined methods: Advances, mechanisms and challenges. Sustainability 2021, 13, 9267. [Google Scholar] [CrossRef]
- Solano-Serena, F.; Marchal, R.; Heiss, S.; Vandecasteele, J.P. Degradation of isooctane by Mycobacterium austroafricanum IFP 2173: Growth and catabolic pathway. J. Appl. Microbiol. 2004, 97, 629–639. [Google Scholar] [CrossRef] [PubMed]
- Yan, G.; Cai, B.; Chen, C.; Yue, Y.; Wang, Q.; Deng, H.; Liu, S.; Guo, S. Bioremediation of crude oil contaminated soil. Pet. Sci. Technol. 2015, 33, 717–723. [Google Scholar] [CrossRef]
- Jones, J.G.; Knight, M.; Byrom, J.A. Effect of gross pollution by kerosine hydrocarbons on the Microflora of a moorland soil. Nature 1970, 227, 1166. [Google Scholar] [CrossRef] [PubMed]
- Pinholt, Y.; Struwe, S.; Kjøller, A. Microbial changes during oil decomposition in soil. Ecography 1979, 2, 195–200. [Google Scholar] [CrossRef]
- Mulkins Phillips, G.J.; Stewart, J.E. Distribution of hydrocarbon-utilizing bacteria in Northwestern Atlantic waters and coastal sediments. Can. J. Microbiol. 1974, 20, 955–962. [Google Scholar] [CrossRef]
- Adebusoye, S.A.; Ilori, M.O.; Amund, O.O.; Teniola, O.D.; Olatope, S.O. Microbial degradation of petroleum hydrocarbons in a polluted tropical stream. World J. Microbiol. Biotechnol. 2007 238 2007, 23, 1149–1159. [Google Scholar] [CrossRef]
- Garrido-Sanz, D.; Redondo-Nieto, M.; Guirado, M.; Jiménez, O.P.; Millán, R.; Martin, M.; Rivilla, R. Metagenomic Insights into the Bacterial Functions of a Diesel-Degrading Consortium for the Rhizoremediation of Diesel-Polluted Soil. Genes 2019, 10, 456. [Google Scholar] [CrossRef] [Green Version]
- Patel, A.B.; Shaikh, S.; Jain, K.R.; Desai, C.; Madamwar, D. Polycyclic Aromatic Hydrocarbons: Sources, Toxicity, and Remediation Approaches. Front. Microbiol. 2020, 11, 2675. [Google Scholar] [CrossRef]
- Maddela, N.R.; Scalvenzi, L.; Venkateswarlu, K. Microbial degradation of total petroleum hydrocarbons in crude oil: A field-scale study at the low-land rainforest of Ecuador. Environ. Technol. 2016, 38, 2543–2550. [Google Scholar] [CrossRef]
- Cooney, J.J.; Silver, S.A.; Beck, E.A. Factors influencing hydrocarbon degradation in three freshwater lakes. Microb. Ecol. 1985, 11, 127–137. [Google Scholar] [CrossRef] [PubMed]
- Swannell, R.P.J.; Lee, K.; Mcdonagh, M. Field evaluations of marine oil spill bioremediation. Microbiol. Rev. 1996, 60, 342. [Google Scholar] [CrossRef] [PubMed]
- Venosa, A.D.; Zhu, X. Biodegradation of Crude Oil Contaminating Marine Shorelines and Freshwater Wetlands. Spill Sci. Technol. Bull. 2003, 8, 163–178. [Google Scholar] [CrossRef]
- You, J.; Qin, X.; Ranjitkar, S.; Lougheed, S.C.; Wang, M.; Zhou, W.; Ouyang, D.; Zhou, Y.; Xu, J.; Zhang, W.; et al. Response to climate change of montane herbaceous plants in the genus Rhodiola predicted by ecological niche modelling. Sci. Rep. 2018, 8, 5879. [Google Scholar] [CrossRef]
- Xu, J.; Xu, L.; Qiao, X.; Zheng, Y.; Xie, Y.; Yang, Z. Stimulated biodegradation of all alkanes in soil. Chemosphere 2021, 278, 130444. [Google Scholar] [CrossRef]
- Bossert, I.; Bartha, R. Fate of petroleum in soil ecosystems. In Petroleum Microbiology; Atlas, R.M., Ed.; Macmillan: New York, NY, USA, 1984; pp. 435–473. ISBN 0029490006. [Google Scholar]
- Van Beilen, J.B.; Funhoff, E.G. Alkane hydroxylases involved in microbial alkane degradation. Appl. Microbiol. Biotechnol. 2007, 74, 13–21. [Google Scholar] [CrossRef] [Green Version]
- Chaillan, F.; Le Flèche, A.; Bury, E.; Phantavong, Y.H.; Grimont, P.; Saliot, A.; Oudot, J. Identification and biodegradation potential of tropical aerobic hydrocarbon-degrading microorganisms. Res. Microbiol. 2004, 155, 587–595. [Google Scholar] [CrossRef]
- Rodgers, J.D.; Bunce, N.J. Treatment methods for the remediation of nitroaromatic explosives. Water Res. 2001, 35, 2101–2111. [Google Scholar] [CrossRef]
- Widdel, F.; Rabus, R. Anaerobic biodegradation of saturated and aromatic hydrocarbons. Curr. Opin. Biotechnol. 2001, 12, 259–276. [Google Scholar] [CrossRef]
- Sabaté, J.; Viñas, M.; Solanas, A.M. Laboratory-scale bioremediation experiments on hydrocarbon-contaminated soils. Int. Biodeterior. Biodegradation 2004, 54, 19–25. [Google Scholar] [CrossRef]
- Aislabie, J.; Saul, D.J.; Foght, J.M. Bioremediation of hydrocarbon-contaminated polar soils. Extremophiles 2006, 10, 171–179. [Google Scholar] [CrossRef] [PubMed]
- Beškoski, V.P.; Gojgić-Cvijović, G.; Milić, J.; Ilić, M.; Miletić, S.; Šolević, T.; Vrvić, M.M. Ex situ bioremediation of a soil contaminated by mazut (heavy residual fuel oil)—A field experiment. Chemosphere 2011, 83, 34–40. [Google Scholar] [CrossRef] [PubMed]
- Bayoumi, A. Optimization of Bacterial Biodegradation of Toluene and Phenol Under Different Nutritional and Environmental Conditions. J. Appl. Sci. Res. 2010, 6, 1086–1095. [Google Scholar]
- dos Santos Alves Figueiredo Brasil, B.; de Siqueira, F.G.; Salum, T.F.C.; Zanette, C.M.; Spier, M.R. Microalgae and cyanobacteria as enzyme biofactories. Algal Res. 2017, 25, 76–89. [Google Scholar] [CrossRef]
- Cerniglia, C.E.; Van Baalen, C.; Gibson, D.T. Metabolism of naphthalene by the cyanobacterium Oscillatoria sp., strain JCM. J. Gen. Microbiol. 1980, 116, 485–494. [Google Scholar] [CrossRef] [Green Version]
- Lei, A.P.; Wong, Y.S.; Tam, N.F.Y. Removal of pyrene by different microalgal species. Water Sci. Technol. 2002, 46, 195–201. [Google Scholar] [CrossRef]
- Dell’ Anno, F.; Rastelli, E.; Sansone, C.; Dell’ Anno, A.; Brunet, C.; Ianora, A. Bacteria, fungi and microalgae for the bioremediation of marine sediments contaminated by petroleum hydrocarbons in the omics era. Microorganisms 2021, 9, 1695. [Google Scholar] [CrossRef]
- Kuttiyathil, M.S.; Mohamed, M.M.; Al-Zuhair, S. Using microalgae for remediation of crude petroleum oil–water emulsions. Biotechnol. Prog. 2021, 37, e3098. [Google Scholar] [CrossRef]
- Xaaldi Kalhor, A.; Movafeghi, A.; Mohammadi-Nassab, A.D.; Abedi, E.; Bahrami, A. Potential of the green alga Chlorella vulgaris for biodegradation of crude oil hydrocarbons. Mar. Pollut. Bull. 2017, 123, 286–290. [Google Scholar] [CrossRef]
- Lei, A.P.; Hu, Z.L.; Wong, Y.S.; Tam, N.F.Y. Removal of fluoranthene and pyrene by different microalgal species. Bioresour. Technol. 2007, 98, 273–280. [Google Scholar] [CrossRef]
- Secundo, F.; Bardone, E.; Bravi, M.; Keshavarz, T.; Fu, P. Algae and Their Bacterial Consortia for Soil Bioremediation. Chem. Eng. Trans. 2016, 49, 427–432. [Google Scholar] [CrossRef]
- Iliev, I.; Petkov, G.; Lukavský, J. An approach to bioremediation of mineral oil polluted soil. Genet. Plant Physiol. 2015, 5, 162–169. [Google Scholar]
- Decesaro, A.; Rampel, A.; Machado, T.S.; Thomé, A.; Reddy, K.; Margarites, A.C.; Colla, L.M. Bioremediation of Soil Contaminated with Diesel and Biodiesel Fuel Using Biostimulation with Microalgae Biomass. J. Environ. Eng. 2016, 143, 04016091. [Google Scholar] [CrossRef]
- Megharaj, M.; Singleton, I.; McClure, N.C.; Naidu, R. Influence of Petroleum Hydrocarbon Contamination on Microalgae and Microbial Activities in a Long-Term Contaminated Soil. Arch. Environ. Contam. Toxicol. 2000, 38, 439–445. [Google Scholar] [CrossRef] [PubMed]
- Chatterjee, S.; Chattopadhyay, P.; Roy, S.; Sen, S.K. Bioremediation: A tool for cleaning polluted environments. J. Appl. Biosci. 2008, 11, 594–601. [Google Scholar]
- Liu, Y.; Wu, J.; Liu, Y.; Wu, X. Biological Process of Alkane Degradation by Gordonia sihwaniensis. ACS Omega 2022, 7, 55–63. [Google Scholar] [CrossRef]
- Wyatt, J.M. The microbial degradation of hydrocarbons. Trends Biochem. Sci. 1984, 9, 20–23. [Google Scholar] [CrossRef]
- Robbins, J.A.; Levy, R. A review of the microbiological degradation of fuel. In Directory of Microbicides for the Protection of Materials; Paulus, W., Ed.; Springer: Dordrecht, The Netherlands, 2004; pp. 177–201. [Google Scholar]
- Barta, R.; Atlas, R. Transport and transformations of petroleum: Biological processes. In Long-Term Environmental Effects of Offshore Oil and Gas Development; CRC Press: Boca Raton, FL, USA, 1987; pp. 297–352. ISBN 9780429209963. [Google Scholar]
- Upchurch, R.G. Fatty acid unsaturation, mobilization, and regulation in the response of plants to stress. Biotechnol. Lett. 2008, 30, 967–977. [Google Scholar] [CrossRef]
- Maeng, J.H.O.; Sakai, Y.; Tani, Y.; Kato, N. Isolation and characterization of a novel oxygenase that catalyzes the first step of n-alkane oxidation in Acinetobacter sp. strain M-1. J. Bacteriol. 1996, 178, 3695–3700. [Google Scholar] [CrossRef] [Green Version]
- Ji, J.H.; Liu, Y.F.; Zhou, L.; Mbadinga, S.M.; Pan, P.; Chen, J.; Liu, J.F.; Yang, S.Z.; Sand, W.; Gu, J.D.; et al. Methanogenic Degradation of Long n-Alkanes Requires Fumarate-Dependent Activation. Appl. Environ. Microbiol. 2019, 85, e00985-19. [Google Scholar] [CrossRef] [Green Version]
- Tian, X.; Wang, X.; Peng, S.; Wang, Z.; Zhou, R.; Tian, H. Isolation, screening, and crude oil degradation characteristics of hydrocarbons-degrading bacteria for treatment of oily wastewater. Water Sci. Technol. 2018, 78, 2626–2638. [Google Scholar] [CrossRef] [PubMed]
- Elyamine, A.M.; Kan, J.; Meng, S.; Tao, P.; Wang, H.; Hu, Z. Aerobic and anaerobic bacterial and fungal degradation of pyrene: Mechanism pathway including biochemical reaction and catabolic genes. Int. J. Mol. Sci. 2021, 22, 8202. [Google Scholar] [CrossRef] [PubMed]
- Sun, Y.; Chen, Z.; Xu, S.; Cai, P. Stable carbon and hydrogen isotopic fractionation of individual n-alkanes accompanying biodegradation: Evidence from a group of progressively biodegraded oils. Org. Geochem. 2004, 36, 225–238. [Google Scholar] [CrossRef]
- Singh, S.N.; Kumari, B.; Mishra, S. Microbial Degradation of Alkanes. In Microbial Degradation of Xenobiotics; Springer: Berlin/Heidelberg, Germany, 2012; pp. 439–469. [Google Scholar] [CrossRef]
- Pirnik, M.P.; Atlas, R.M.; Bartha, R. Hydrocarbon Metabolism by Brevibacterium erythrogenes: Normal and Branched Alkanes. J. Bacteriol. 1974, 119, 868. [Google Scholar] [CrossRef] [Green Version]
- Watkinson, R.J.; Morgan, P. Physiology of aliphatic hydrocarbon-degrading microorganisms. Biodegradation 1990, 1, 79–92. [Google Scholar] [CrossRef]
- Gibson, D.T. Microbial Degradation of Organic Compounds; Marcel Dekker: New York, NY, USA, 1984; p. 535. [Google Scholar]
- Desai, A.; Vyas, P. Petroleum and Hydrocarbon Microbiology. Appl. Microbiol. Biotechnol. 2006, 73, 291–296. [Google Scholar]
- Yaman, C.; Anil, I.; Alagha, O.; Blaisi, N.I.; Yaman, A.B.; Qureshi, A.; Cevik, E.; Rehman, S.; Gunday, S.T.; Barghouthi, M. Toluene Bioremediation by Using Geotextile-Layered Permeable Reactive Barriers (PRBs). Process 2021, 9, 906. [Google Scholar] [CrossRef]
- Muccee, F.; Ejaz, S.; Riaz, N. Toluene degradation via a unique metabolic route in indigenous bacterial species. Arch. Microbiol. 2019, 201, 1369–1383. [Google Scholar] [CrossRef]
- Lee, Y.; Lee, Y.; Jeon, C.O. Biodegradation of naphthalene, BTEX, and aliphatic hydrocarbons by Paraburkholderia aromaticivorans BN5 isolated from petroleum-contaminated soil. Sci. Rep. 2019, 9, 860. [Google Scholar] [CrossRef]
- Deng, L.; Ren, Y.; Wei, C.; Wang, J. Biodegradation of pyrene by a novel strain of Castellaniella sp. Under denitrifying condition. J. Environ. Chem. Eng. 2021, 9, 104970. [Google Scholar] [CrossRef]
- Gray, P.P.; Thornton, H.G. Soil bacteria that decompose certain aromatic compounds: Rothamsted Research Hyg Abt II. Zentralblatt Bakteriol. Parasitenkd. 1928, 73, 74–96. [Google Scholar]
- Warhurst, A.M.; Fewson, C.A. Biotransformations catalyzed by the genus Rhodococcus. Crit. Rev. Biotechnol. 1994, 14, 29–73. [Google Scholar] [CrossRef] [PubMed]
- Malachowsky, K.J.; Phelps, T.J.; Teboli, A.B.; Minnikin, D.E.; White’, A.D.C. Aerobic Mineralization of Trichloroethylene, Vinyl Chloride, and Aromatic Compounds by Rhodococcus Species. Appl. Environ. Microbiol. 1994, 60, 542–548. [Google Scholar] [CrossRef] [PubMed] [Green Version]
- Nzila, A. Current Status of the Degradation of Aliphatic and Aromatic Petroleum Hydrocarbons by Thermophilic Microbes and Future Perspectives. Int. J. Environ. Res. Public Health 2018, 15, 2782. [Google Scholar] [CrossRef] [PubMed] [Green Version]
- Harayama, S.; Kishira, H.; Kasai, Y.; Shutsubo, K. Petroleum biodegradation in marine environments. J. Mol. Microbiol. Biotechnol. 1999, 1, 63–70. [Google Scholar]
- Carrillo, P.G.; Mardaraz, C.; Pitta-Alvarez, S.I.; Giulietti, A.M. Isolation and selection of biosurfactant-producing bacteria. World J. Microbiol. Biotechnol. 1996, 12, 82–84. [Google Scholar] [CrossRef]
- Ron, E.Z.; Rosenberg, E. Biosurfactants and oil bioremediation. Curr. Opin. Biotechnol. 2002, 13, 249–252. [Google Scholar] [CrossRef]
- Gidudu, B.; Nkhalambayausi Chirwa, E.M. Application of Biosurfactants and Pulsating Electrode Configurations as Potential Enhancers for Electrokinetic Remediation of Petrochemical Contaminated Soil. Sustainability 2020, 12, 5613. [Google Scholar] [CrossRef]
- Daverey, A.; Pakshirajan, K.; Sangeetha, P. Sophorolipids Production by Candida Bombicola using Synthetic Dairy Wastewater. Int. J. Environ. Sci. Eng. 2009, 1, 173–175. [Google Scholar] [CrossRef]
- Cooper, D.G.; Zajic, J.E. Surface-Active Compounds from Microorganisms. Adv. Appl. Microbiol. 1980, 26, 229–253. [Google Scholar] [CrossRef]
- Rahman, K.S.M.; Rahman, T.J.; Kourkoutas, Y.; Petsas, I.; Marchant, R.; Banat, I.M. Enhanced bioremediation of n-alkane in petroleum sludge using bacterial consortium amended with rhamnolipid and micronutrients. Bioresour. Technol. 2003, 90, 159–168. [Google Scholar] [CrossRef] [Green Version]
- Banat, I. Biosurfactants production and possible uses in microbial enhanced oil recovery and oil pollution remediation: A review. Bioresour. Technol. 1995, 51, 343–354. [Google Scholar] [CrossRef]
- Desai, J.D.; Banat, I.M. Microbial production of surfactants and their commercial potential. Microbiol. Mol. Biol. Rev. 1997, 61, 47. [Google Scholar] [CrossRef] [PubMed]
- De Almeida, D.G.; Soares Da Silva, R.D.C.F.; Luna, J.M.; Rufino, R.D.; Santos, V.A.; Banat, I.M.; Sarubbo, L.A. Biosurfactants: Promising molecules for petroleum biotechnology advances. Front. Microbiol. 2016, 7, 1718. [Google Scholar] [CrossRef] [Green Version]
- da Silva, I.G.S.; de Almeida, F.C.G.; da Rocha e Silva, N.M.P.; de Oliveira, J.T.R.; Converti, A.; Sarubbo, L.A. Application of Green Surfactants in the Remediation of Soils Contaminated by Hydrocarbons. Processes 2021, 9, 1666. [Google Scholar] [CrossRef]
- Poremba, K.; Gunkel, W.; Lang, S.; Wagner, F. Marine biosurfactants, III. Toxicity testing with marine microorganisms and comparison with synthetic surfactants. Z. Naturforsch. C. 1991, 46, 210–216. [Google Scholar] [CrossRef]
- Rodríguez-López, L.; López-Prieto, A.; Lopez-Álvarez, M.; Pérez-Davila, S.; Serra, J.; González, P.; Cruz, J.M.; Moldes, A.B. Characterization and Cytotoxic Effect of Biosurfactants Obtained from Different Sources. ACS Omega 2020, 5, 31381–31390. [Google Scholar] [CrossRef]
- Cameotra, S.S.; Makkar, R.S. Recent applications of biosurfactants as biological and immunological molecules. Curr. Opin. Microbiol. 2004, 7, 262–266. [Google Scholar] [CrossRef]
- Zajic, J.E.; Guignard, H.; Gerson, D.F. Properties and biodegradation of a bioemulsifier from Corynebacterium hydrocarboclastus. Biotechnol. Bioeng. 1977, 19, 1303–1320. [Google Scholar] [CrossRef]
- Kosaric, N.; Sukan, F.V. Biosurfactants Production: Properties: Applications; CRC Press: Boca Raton, FL, USA, 1993; ISBN 9780367402457. [Google Scholar]
- Reddy, P.V.; Karegoudar, T.B.; Nayak, A.S. Enhanced utilization of fluorene by Paenibacillus sp. PRNK-6: Effect of rhamnolipid biosurfactant and synthetic surfactants. Ecotoxicol. Environ. Saf. 2018, 151, 206–211. [Google Scholar] [CrossRef]
- Ławniczak, Ł.; Woźniak-Karczewska, M.; Loibner, A.P.; Heipieper, H.J.; Chrzanowski, Ł. Microbial Degradation of Hydrocarbons—Basic Principles for Bioremediation: A Review. Molecules 2020, 25, 856. [Google Scholar] [CrossRef] [PubMed] [Green Version]
- Maneerat, S. Production of biosurfactants using substrates from renewable-resources. Songklanakarin J. Sci. Technol 2005, 27, 675–683. [Google Scholar]
- Fenibo, E.O.; Ijoma, G.N.; Selvarajan, R.; Chikere, C.B. Microbial Surfactants: The Next Generation Multifunctional Biomolecules for Applications in the Petroleum Industry and Its Associated Environmental Remediation. Microorganisms 2019, 7, 581. [Google Scholar] [CrossRef] [PubMed] [Green Version]
- Rudakova, M.A.; Galitskaya, P.Y.; Selivanovskaya, S.Y. Biosurfactants: Current application trends. Uchenye Zap. Kazan. Univ. Seriya Estestv. Nauk. 2021, 163, 177–208. [Google Scholar] [CrossRef]
- Makkar, R.S.; Cameotra, S.S.; Banat, I.M. Advances in utilization of renewable substrates for biosurfactant production. AMB Express 2011, 1, 5. [Google Scholar] [CrossRef] [Green Version]
- Abdel-Mawgoud, A.M.; Hausmann, R.; Lépine, F.; Müller, M.M.; Déziel, E. Rhamnolipids: Detection, Analysis, Biosynthesis, Genetic Regulation, and Bioengineering of Production. In Biosurfactants; Springer: Berlin/Heidelberg, Germany, 2011; pp. 13–55. [Google Scholar] [CrossRef]
- Jarvis, F.G.; Johnson, M.J. A Glyco-lipide Produced by Pseudomonas Aeruginosa. J. Am. Chem. Soc. 2002, 71, 4124–4126. [Google Scholar] [CrossRef]
- Hauser, G.; Karnovsky, M.L. Studies on the production of glycolipide by Pseudomonas aeruginosa. J. Bacteriol. 1954, 68, 645–654. [Google Scholar] [CrossRef] [Green Version]
- Abdel-Mawgoud, A.M.; Lépine, F.; Déziel, E. Rhamnolipids: Diversity of structures, microbial origins and roles. Appl. Microbiol. Biotechnol. 2010, 86, 1323. [Google Scholar] [CrossRef] [Green Version]
- Van Hamme, J.D.; Singh, A.; Ward, O.P. Physiological aspects. Part 1 in a series of papers devoted to surfactants in microbiology and biotechnology. Biotechnol. Adv. 2006, 24, 604–620. [Google Scholar] [CrossRef]
- Bezza, F.A.; Chirwa, E.M.N. Pyrene biodegradation enhancement potential of lipopeptide biosurfactant produced by Paenibacillus dendritiformis CN5 strain. J. Hazard. Mater. 2017, 321, 218–227. [Google Scholar] [CrossRef]
- Mnif, I.; Mnif, S.; Sahnoun, R.; Maktouf, S.; Ayedi, Y.; Ellouze-Chaabouni, S.; Ghribi, D. Biodegradation of diesel oil by a novel microbial consortium: Comparison between co-inoculation with biosurfactant-producing strain and exogenously added biosurfactants. Environ. Sci. Pollut. Res. Int. 2015, 22, 14852–14861. [Google Scholar] [CrossRef] [PubMed]
- Zhu, Z.; Zhang, B.; Chen, B.; Cai, Q.; Lin, W. Biosurfactant Production by Marine-Originated Bacteria Bacillus Subtilis and Its Application for Crude Oil Removal. Water Air Soil Pollut. 2016, 227, 328. [Google Scholar] [CrossRef]
- Joy, S.; Rahman, P.K.S.M.; Sharma, S. Biosurfactant production and concomitant hydrocarbon degradation potentials of bacteria isolated from extreme and hydrocarbon contaminated environments. Chem. Eng. J. 2017, 317, 232–241. [Google Scholar] [CrossRef]


| Methods of Cleanup | Mode of Action (Examples) | |
|---|---|---|
| Mechanical | Mechanical | Mechanical removal |
| Physical | Hydrodynamic | Flushing, filtering |
| Aerodynamic | Vacuuming, purging, extraction | |
| Thermal | Thermos-osmosis | |
| Electrical | Electrochemical bleaching, electric osmosis, electrophoresis, electromigration, electrodialysis | |
| Electromagnetic | Magnetic separation | |
| Physico-chemical | Volatilization | Removal of volatile petroleum products |
| Dissolution, diffusion | Dissolution, leaching, diffusiophoresis | |
| Ion exchange | ||
| Adsorption | ||
| Chemical | Hydrolysis | |
| Photolysis | ||
| Neutralization | Reagent leaching | |
| Oxidation | Oxidation | |
| Biological | Phytoremediation | Phytodegradation, rhizodegradation, phytovolatilization, phytoextraction, rhizofiltration, phytostabilization |
| Bioremediation | Oxidation, biosurfactant |
| Advantages | Disadvantages |
|---|---|
| Relatively low cost | Takes a long time |
| Simple | Affected by seasons |
| Diverse decontamination mechanisms | Not possible to use at high contamination rates Not able to assimilate PCBs |
| Ecologically friendly | |
| Aesthetics |
| Mycelia Fungi | Yeasts | Bacteria |
|---|---|---|
| Acremonium sp. Aspergillus fumigatus Aspergillus spp. Cephalosporium roseum Cladosporium cladosporoides Fusarium sp. Fusarium moniliforme Fusarium oxysporum Hormoconis resinae Mucor sp. Paecillomyces sp. Paecilomyces variotii Penicillium spp. Penicillium corylophilum Penicillium cyclopium Phialophora sp. Rhinocladiella sp. Trichoderma viride Trichosporon sp. | Candida fumata Candida guilliermondii Candida lipolytica Candida rugosa Candida tropicalis Rhodotorula sp. Torulopsis colliculosa Yarrowia tropicalis | Acinetobacter calcoaceticus Acinetobacter cerificans Alcaligenes spp. Arthrobacter paraffineus Arthrobacter simplex Bacillus sp. Corynebacterium glutamicum Desulfovibrio desulfuricans Nocardia petroleophilia Mycobacterium smegmatis Pseudomonas aeruginosa Pseudomonas fluorescens Pseudomonas oleovorans Pseudomonas putida Pseudomonas sp. Rhodococcus sp. |
Publisher’s Note: MDPI stays neutral with regard to jurisdictional claims in published maps and institutional affiliations. |
© 2022 by the authors. Licensee MDPI, Basel, Switzerland. This article is an open access article distributed under the terms and conditions of the Creative Commons Attribution (CC BY) license (https://creativecommons.org/licenses/by/4.0/).
Share and Cite
Stepanova, A.Y.; Gladkov, E.A.; Osipova, E.S.; Gladkova, O.V.; Tereshonok, D.V. Bioremediation of Soil from Petroleum Contamination. Processes 2022, 10, 1224. https://doi.org/10.3390/pr10061224
Stepanova AY, Gladkov EA, Osipova ES, Gladkova OV, Tereshonok DV. Bioremediation of Soil from Petroleum Contamination. Processes. 2022; 10(6):1224. https://doi.org/10.3390/pr10061224
Chicago/Turabian StyleStepanova, Anna Yurievna, Evgeny Aleksandrovich Gladkov, Ekaterina Sergeevna Osipova, Olga Victorovna Gladkova, and Dmitry Viktorovich Tereshonok. 2022. "Bioremediation of Soil from Petroleum Contamination" Processes 10, no. 6: 1224. https://doi.org/10.3390/pr10061224
APA StyleStepanova, A. Y., Gladkov, E. A., Osipova, E. S., Gladkova, O. V., & Tereshonok, D. V. (2022). Bioremediation of Soil from Petroleum Contamination. Processes, 10(6), 1224. https://doi.org/10.3390/pr10061224

