Development of Microbial Consortium and Its Influencing Factors for Enhanced Oil Recovery after Polymer Flooding: A Review
Abstract
1. Introduction
2. Microbial Enhanced Oil Recovery
2.1. Microorganism
2.2. Microbial Products
2.2.1. Biosurfactants
2.2.2. Biopolymers
2.2.3. Biogenic Acids
2.2.4. Others
- (1)
- Biosolvents
- (2)
- Biogases
- (3)
- Biomass
- (4)
- Emulsifiers
2.3. Mechanisms of Microbial Enhanced Oil Recovery
2.3.1. Biodegradation
2.3.2. Emulsification
2.3.3. Interfacial Tension Reduction
2.3.4. Altering Reservoir Rock Properties
2.4. Advantages and Disadvantages of MEOR
3. The Effect of a Reservoir Fluid on Microorganisms
3.1. Crude Oil
3.2. Injection Water
3.3. The Residual Chemicals
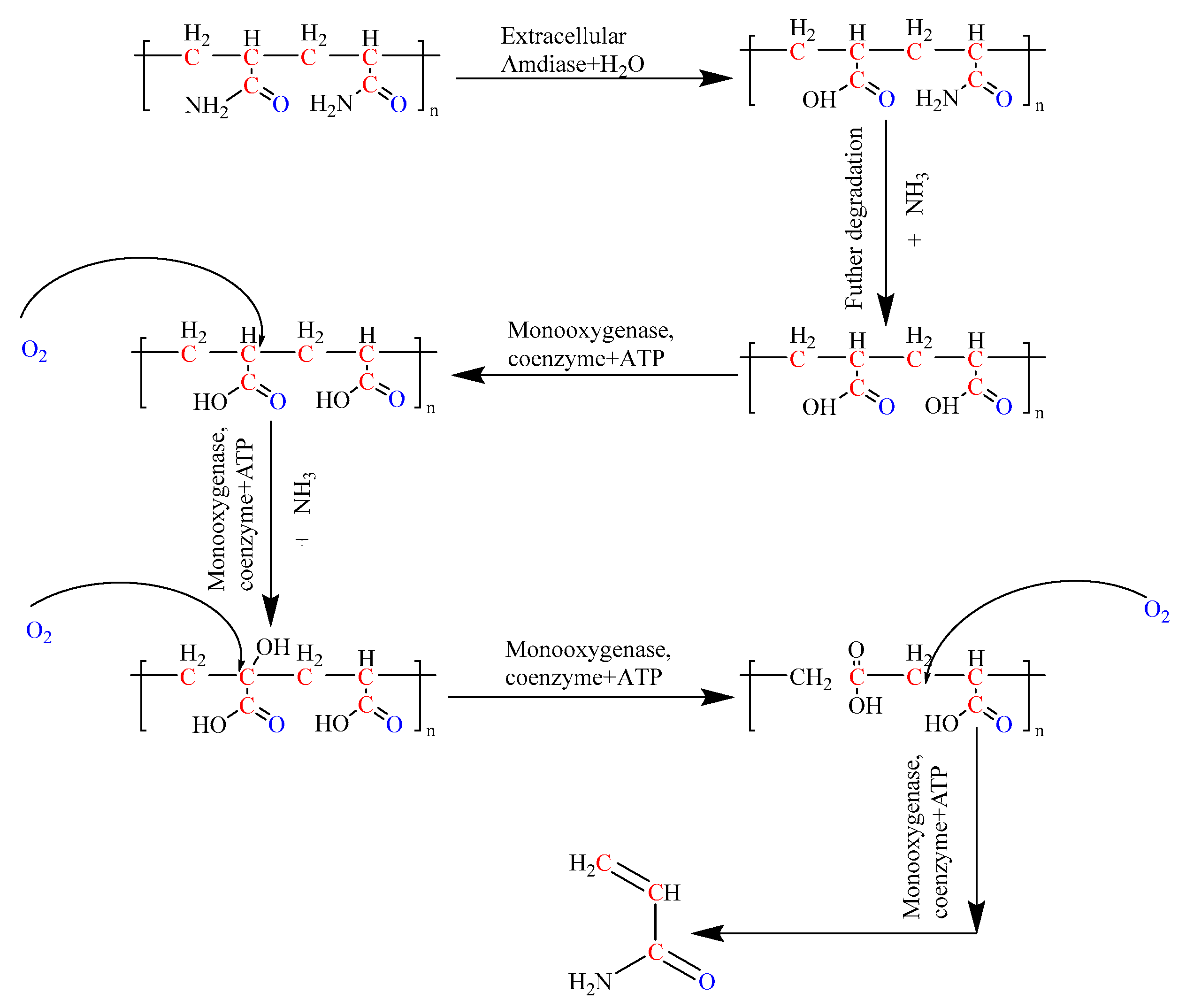
3.3.1. Hydrolyzed Polyacrylamide (HPAM)
3.3.2. Polymer Nanospheres
4. The Effect of Reservoir Conditions on Microorganisms
4.1. Temperature
4.2. Salinity
4.3. pH
4.4. Oxygen
4.5. Pressure
4.6. Minerals
5. Microbial Consortium on Oil Displacement
5.1. Microbial Consortium
5.2. Microbial Activities and Interrelations within Oil Reservoirs
5.3. Microscopic Oil Displacing Process of Microbial Consortium
6. Application of Microbial Consortium on Oil Recovery
7. New Technologies in MEOR
8. Conclusions
- (1)
- MEOR is a critical approach for enhancing oil recovery after polymer flooding. However, the presence of residual polymers in the formation has significant biological toxicity and negatively affects microorganisms’ properties and oil displacement efficiency.
- (2)
- To improve MEOR, the key lies in screening, cultivating, and constructing a microbial consortium that can utilize HPAM and crude oil as energy sources while being compatible with indigenous bacteria, leading to the formation of dominant bacteria in the reservoir.
- (3)
- The research focuses mainly on improving oil recovery after polymer flooding, with limited reports on the impact of chemical agents on microorganisms’ physicochemical properties, metabolic cycles, and mechanisms of oil flooding.
- (4)
- The relationships among microbial populations during the oil displacement process are highly complex, involving mutualism, benefits, competition, and potential harm. Existing studies mainly focus on creating a few bacteria with synergistic effects, but there are limited investigations into the interrelationships between microorganisms using chemicals during the MEOR process.
- (5)
- Many reports have been published on the microprocess of oil flooding. The parameters of MEOR can be optimized based on various reservoir conditions. Building on previous research, micro-visualization model flooding experiments can further elucidate the microscopic oil displacement process. However, the mechanism of microbial consortium on the oil displacement process using chemicals is rarely reported from a microscopic perspective.
Author Contributions
Funding
Data Availability Statement
Conflicts of Interest
References
- Lourdes, R.S.; Cheng, S.Y.; Chew, K.W.; Ma, Z.; Show, P.L. Prospects of microbial enhanced oil recovery: Mechanisms and environmental sustainability. Sustain. Energy Technol. Assess. 2022, 53, 102527. [Google Scholar] [CrossRef]
- Abbas, A.H.; Ajunwa, O.M.; Mazhit, B.; Martyushev, D.A.; Bou-Hamdan, K.F.; Alsaheb, R.A.A. Evaluation of OKRA (Abelmoschus esculentus) Macromolecular Solution for Enhanced Oil Recovery in Kazakhstan Carbonate Reservoir. Energies 2022, 15, 6827. [Google Scholar] [CrossRef]
- Guo, H.; Li, Y.; Yiran, Z.; Wang, F.; Wang, Y.; Yu, Z.; Haicheng, S.; Yuanyuan, G.; Chuyi, J.; Xian, G. Progress of Microbial Enhanced Oil Recovery in China. In Proceedings of the SPE Asia Pacific Enhanced Oil Recovery Conference, Kuala Lumpur, Malaysia, 11–13 August 2015. [Google Scholar]
- El-Masry, J.F.; Bou-Hamdan, K.F.; Abbas, A.H.; Martyushev, D.A. A Comprehensive Review on Utilizing Nanomaterials in Enhanced Oil Recovery Applications. Energies 2023, 16, 691. [Google Scholar] [CrossRef]
- Seright, R.S.; Wang, D. Polymer flooding: Current status and future directions. Pet. Sci. 2023, 20, 910–921. [Google Scholar] [CrossRef]
- Li, X.; Zhang, F.; Liu, G. Review on Polymer Flooding Technology. In Proceedings of the IOP Conference Series: Earth and Environmental Science, Xiamen, China, 17–19 November 2021; IOP Publishing: Xiamen, China, 2021; p. 012199. [Google Scholar]
- Gao, P.; Li, G.; Le, J.; Liu, X.; Liu, F.; Ma, T. Succession of microbial communities and changes of incremental oil in a post-polymer flooded reservoir with nutrient stimulation. Appl. Microbiol. Biotechnol. 2018, 102, 2007–2017. [Google Scholar] [CrossRef]
- Mogollón, J.L.; Lokhandwala, T. Rejuvenating Viscous Oil Reservoirs by Polymer Injection: Lessons Learned in the Field. In Proceedings of the SPE Enhanced Oil Recovery Conference, Kuala Lumpur, Malaysia, 2–4 July 2013. [Google Scholar]
- Song, K.; Tao, J.; Lyu, X.; Xu, Y.; Liu, S.; Wang, Z.; Liu, H.; Zhang, Y.; Fu, H.; Meng, E.; et al. Recent Advances in Polymer Flooding in China. Molecules 2022, 27, 6978. [Google Scholar] [CrossRef]
- Bahadori, A. Fundamentals of Enhanced Oil and Gas Recovery from Conventional and Unconventional Reservoirs; Gulf Professional Publishing: Cambridge, MA, USA, 2018. [Google Scholar]
- Safdel, M.; Anbaz, M.A.; Daryasafar, A.; Jamialahmadi, M. Microbial enhanced oil recovery, a critical review on worldwide implemented field trials in different countries. Renew. Sustain. Energy Rev. 2017, 74, 159–172. [Google Scholar] [CrossRef]
- Mu, B.Z.; Nazina, T.N. Recent Advances in Petroleum Microbiology. Microorganisms 2022, 10, 1706. [Google Scholar] [CrossRef]
- Nazina, T.; Sokolova, D.; Grouzdev, D.; Semenova, E.; Babich, T.; Bidzhieva, S.; Serdukov, D.; Volkov, D.; Bugaev, K.; Ershov, A.; et al. The Potential Application of Microorganisms for Sustainable Petroleum Recovery from Heavy Oil Reservoirs. Sustainability 2020, 12, 15. [Google Scholar] [CrossRef]
- She, H.; Kong, D.; Li, Y.; Hu, Z.; Guo, H. Recent Advance of Microbial Enhanced Oil Recovery (MEOR) in China. Geofluids 2019, 2019, 1871392. [Google Scholar] [CrossRef]
- Li, Y.; Yang, Y.; Sun, X.; Yang, D.; Zhang, N.; Yang, H.; Guo, H.; Zheng, J. The application of laser confocal method in microscopic oil analysis. J. Pet. Sci. Eng. 2014, 120, 52–60. [Google Scholar] [CrossRef]
- Yuan, S.; Wang, Q. New progress and prospect of oilfields development technologies in China. Adv. Pet. Explor. Dev. 2018, 45, 698–711. [Google Scholar] [CrossRef]
- Shi, M.; Wei, L.; Liao, G.; Han, P.; Hou, Z.; Chen, X.; Wang, Y. Laboratory Study on MEOR After Polymer Flooding. In Proceedings of the SPE International Improved Oil Recovery Conference in Asia Pacific, Kuala Lumpur, Malaysia, 20–21 October 2003. [Google Scholar]
- Patel, J.; Borgohain, S.; Kumar, M.; Rangarajan, V.; Somasundaran, P.; Sen, R. Recent developments in microbial enhanced oil recovery. Renew. Sustain. Energy Rev. 2015, 52, 1539–1558. [Google Scholar] [CrossRef]
- Niu, J.; Liu, Q.; Lv, J.; Peng, B. Review on microbial enhanced oil recovery: Mechanisms, modeling and field trials. J. Pet. Sci. Eng. 2020, 192, 107350. [Google Scholar] [CrossRef]
- Al-Kindi, S.; Al-Bahry, S.; Al-Wahaibi, Y.; Taura, U.; Joshi, S. Partially hydrolyzed polyacrylamide: Enhanced oil recovery applications, oil-field produced water pollution, and possible solutions. Environ. Monit. Assess. 2022, 194, 875. [Google Scholar] [CrossRef]
- Ren, G.; Wang, J.; Qu, L.; Li, W.; Hu, M.; Bian, L.; Zhang, Y.; Le, J.; Dou, X.; Chen, X.; et al. Compositions and Co-occurrence Patterns of Bacterial Communities Associated With Polymer- and ASP-Flooded Petroleum Reservoir Blocks. Front. Microbiol. 2020, 11, 580363. [Google Scholar] [CrossRef]
- Quraishi, M.; Bhatia, S.K.; Pandit, S.; Gupta, P.K.; Rangarajan, V.; Lahiri, D.; Varjani, S.; Mehariya, S.; Yang, Y.-H. Exploiting microbes in the petroleum field: Analyzing the credibility of microbial enhanced oil recovery (MEOR). Energies 2021, 14, 4684. [Google Scholar] [CrossRef]
- Yernazarova, A.; Kayirmanova, G.; Baubekova, A.; Zhubanova, A. Microbial enhanced oil recovery. In Chemical Enhanced Oil Recovery (cEOR)—A Practical Overview; InTech: Rijeka, Croatia, 2016; pp. 147–167. [Google Scholar]
- Liang, B.; Wang, L.; Zhou, Z.; Mbadinga, S.M.; Zhou, L.; Liu, J.; Yang, S.-Z.; Gu, J.; Mu, B. High frequency of Thermodesulfovibrio spp. and Anaerolineaceae in association with Methanoculleus spp. in a long-term incubation of n-alkanes-degrading methanogenic enrichment culture. Front. Microbiol. 2016, 7, 1431. [Google Scholar] [CrossRef]
- Lv, L.; Zhou, L.; Wang, L.-Y.; Liu, J.-F.; Gu, J.-D.; Mu, B.; Yang, S.Z. Selective inhibition of methanogenesis by sulfate in enrichment culture with production water from low-temperature oil reservoir. Int. Biodeterior. Biodegrad. 2016, 108, 133–141. [Google Scholar] [CrossRef]
- Zhao, F.; Zhou, J.D.; Ma, F.; Shi, R.J.; Han, S.Q.; Zhang, J.; Zhang, Y. Simultaneous inhibition of sulfate-reducing bacteria, removal of H2S and production of rhamnolipid by recombinant Pseudomonas stutzeri Rhl: Applications for microbial enhanced oil recovery. Bioresour. Technol. 2016, 207, 24–30. [Google Scholar] [CrossRef]
- Yang, G.-C.; Zhou, L.; Mbadinga, S.M.; You, J.; Yang, H.-Z.; Liu, J.-F.; Yang, S.-Z.; Gu, J.-D.; Mu, B.-Z. Activation of CO2-reducing methanogens in oil reservoir after addition of nutrient. J. Biosci. Bioeng. 2016, 122, 740–747. [Google Scholar] [CrossRef] [PubMed]
- Varjani, S.J.; Upasani, V.N. A new look on factors affecting microbial degradation of petroleum hydrocarbon pollutants. Int. Biodeterior. Biodegrad. 2017, 120, 71–83. [Google Scholar] [CrossRef]
- Varjani, S.J.; Gnansounou, E. Microbial dynamics in petroleum oilfields and their relationship with physiological properties of petroleum oil reservoirs. Bioresour. Technol. 2017, 245 Pt. A, 1258–1265. [Google Scholar] [CrossRef]
- Hussain, A.; Hasan, A.; Javid, A.; Qazi, J.I. Exploited application of sulfate-reducing bacteria for concomitant treatment of metallic and non-metallic wastes: A mini review. 3 Biotech. 2016, 6, 119. [Google Scholar] [CrossRef] [PubMed]
- Song, Z.; Zhu, W.; Sun, G.; Blanckaert, K. Dynamic investigation of nutrient consumption and injection strategy in microbial enhanced oil recovery (MEOR) by means of large-scale experiments. Appl. Microbiol. Biotechnol. 2015, 99, 6551–6561. [Google Scholar] [CrossRef] [PubMed]
- Varjani, S.J.; Upasani, V.N. Core Flood study for enhanced oil recovery through ex-situ bioaugmentation with thermo- and halo-tolerant rhamnolipid produced by Pseudomonas aeruginosa NCIM 5514. Bioresour. Technol. 2016, 220, 175–182. [Google Scholar] [CrossRef]
- Li, J.; Liu, J.; Trefry, M.G.; Park, J.; Liu, K.; Haq, B.; Johnston, C.D.; Volk, H. Interactions of microbial-enhanced oil recovery processes. Transp. Porous Media 2011, 87, 77–104. [Google Scholar] [CrossRef]
- Li, H.; Wang, X.-L.; Mu, B.-Z.; Gu, J.-D.; Liu, Y.-D.; Lin, K.-F.; Lu, S.-G.; Lu, Q.; Li, B.-Z.; Li, Y.-Y.; et al. Molecular detection, quantification and distribution of alkane-degrading bacteria in production water from low temperature oilfields. Int. Biodeterior. Biodegrad. 2013, 76, 49–57. [Google Scholar] [CrossRef]
- Robles-Fernández, A.; Areias, C.; Daffonchio, D.; Vahrenkamp, V.C.; Sánchez-Román, M. The Role of Microorganisms in the Nucleation of Carbonates, Environmental Implications and Applications. Minerals 2022, 12, 1562. [Google Scholar] [CrossRef]
- Billings, N.; Birjiniuk, A.; Samad, T.S.; Doyle, P.S.; Ribbeck, K. Material properties of biofilms-a review of methods for understanding permeability and mechanics. Rep. Prog. Phys. 2015, 78, 036601. [Google Scholar] [CrossRef]
- Flemming, H.-C.; Wingender, J.; Szewzyk, U.; Steinberg, P.; Rice, S.A.; Kjelleberg, S. Biofilms: An emergent form of bacterial life. Nat. Rev. Microbiol. 2016, 14, 563–575. [Google Scholar] [CrossRef] [PubMed]
- Persat, A.; Nadell, C.D.; Kim, M.K.; Ingremeau, F.; Siryaporn, A.; Drescher, K.; Wingreen, N.S.; Bassler, B.L.; Gitai, Z.; Stone, H.A. The mechanical world of bacteria. Cell 2015, 161, 988–997. [Google Scholar] [CrossRef] [PubMed]
- Salama, Y.; Chennaoui, M.; Sylla, A.; Mountadar, M.; Rihani, M.; Assobhei, O. Characterization, structure, and function of extracellular polymeric substances (EPS) of microbial biofilm in biological wastewater treatment systems: A review. Desalin. Water Treat. 2016, 57, 16220–16237. [Google Scholar] [CrossRef]
- Antonietta, Q.; Uta, P.; Wei-Chun, C.; Chen, X.; Shawn, D.; Laura, B.; Manoj, K.; Alicia, K.W.; Jason, B.S.; Zoe, V.F.; et al. The role of microbial exopolymers in determining the fate of oil and chemical dispersants in the ocean. Limnol. Oceanogr. Lett. 2016, 1, 3–26. [Google Scholar]
- Bacosa, H.P.; Kamalanathan, M.; Labonté, J.M.; Hala, D.; Quigg, A.; Chiu, M.H.; Tsai, S.M.; Chin, W.C.; Sun, L.; Schwehr, K.A.; et al. Extracellular polymeric substances (EPS) producing and oil degrading bacteria isolated from the northern Gulf of Mexico. PLoS ONE 2018, 13, e0208406. [Google Scholar] [CrossRef]
- Kapse, N.G.; Paliwal, V.; Dagar, S.S.; Rana, D.P.; Dhakephalkar, P.K. Genomics and simulated laboratory studies reveal Thermococcus sp. 101C5 as a novel hyperthermophilic archaeon possessing a specialized metabolic arsenal for enhanced oil recovery. Antonie Van Leeuwenhoek 2022, 115, 19–31. [Google Scholar] [CrossRef]
- Aboelkhair, H.; Diaz, P.; Attia, A. Biosurfactant production using Egyptian oil fields indigenous bacteria for microbial enhanced oil recovery. J. Pet. Sci. Eng. 2022, 208, 109601. [Google Scholar] [CrossRef]
- Geetha, S.; Banat, I.M.; Joshi, S.J. Biosurfactants: Production and potential applications in microbial enhanced oil recovery (MEOR). Biocatal. Agric. Biotechnol. 2018, 14, 23–32. [Google Scholar]
- Wood, D.A. Microbial improved and enhanced oil recovery (MIEOR): Review of a set of technologies diversifying their applications. Adv. Geo-Energy Res. 2019, 3, 122–140. [Google Scholar] [CrossRef]
- Karlapudi, A.P.; Venkateswarulu, T.; Tammineedi, J.; Kanumuri, L.; Ravuru, B.K.; Ramu Dirisala, V.; Kodali, V.P. Role of biosurfactants in bioremediation of oil pollution-a review. Petroleum 2018, 4, 241–249. [Google Scholar] [CrossRef]
- Moeininia, N. Improvement of a Full Field Reservoir Model for a MEOR Application. Master’s Thesis, University of Leoben, Leoben, Austria, 2018. [Google Scholar]
- Massarweh, O.; Abushaikha, A.S. The use of surfactants in enhanced oil recovery: A review of recent advances. Energy Rep. 2020, 6, 3150–3178. [Google Scholar] [CrossRef]
- Reis, R.; Pacheco, G.; Pereira, A.; Freire, D. Biosurfactants: Production and applications. In Biodegradation-Life of Science; InTech: Rijeka, Croatia, 2013; pp. 31–61. [Google Scholar]
- Ke, C.-Y.; Lu, G.-M.; Li, Y.-B.; Sun, W.-J.; Zhang, Q.-Z.; Zhang, X.-L. A pilot study on large-scale microbial enhanced oil recovery (MEOR) in Baolige Oilfield. Int. Biodeterior. Biodegrad. 2018, 127, 247–253. [Google Scholar] [CrossRef]
- Jeong, M.S.; Lee, Y.W.; Lee, H.S.; Lee, K.S. Simulation-based optimization of microbial enhanced oil recovery with a model integrating temperature, pressure, and salinity effects. Energies 2021, 14, 1131. [Google Scholar] [CrossRef]
- Halim, A.Y.; Nielsen, S.M.; Lantz, A.E.; Suicmez, V.S.; Lindeloff, N.; Shapiro, A. Investigation of spore forming bacterial flooding for enhanced oil recovery in a North Sea chalk Reservoir. J. Pet. Sci. Eng. 2015, 133, 444–454. [Google Scholar] [CrossRef]
- Sen, R. Biotechnology in petroleum recovery: The microbial EOR. Prog. Energy Combust. Sci. 2008, 34, 714–724. [Google Scholar] [CrossRef]
- Dhanarajan, G.; Rangarajan, V.; Bandi, C.; Dixit, A.; Das, S.; Ale, K.; Sen, R. Biosurfactant-biopolymer driven microbial enhanced oil recovery (MEOR) and its optimization by an ANN-GA hybrid technique. J. Biotechnol. 2017, 256, 46–56. [Google Scholar] [CrossRef]
- Eldeen, A.E.G.; Alhadi, A.M.A.A.; Mergani, M.A. Microbial Enhanced Oil Recovery (MEOR); University of Khartoum: Khartom, Sudan, 2013. [Google Scholar]
- Cui, K.; Zhang, Z.; Zhang, Z.; Sun, S.; Li, H.; Fu, P. Stimulation of indigenous microbes by optimizing the water cut in low permeability reservoirs for green and enhanced oil recovery. Sci. Rep. 2019, 9, 15772. [Google Scholar] [CrossRef]
- Mujumdar, S.; Joshi, P.; Karve, N. Production, characterization, and applications of bioemulsifiers (BE) and biosurfactants (BS) produced by Acinetobacter spp.: A review. J. Basic. Microbiol. 2019, 59, 277–287. [Google Scholar] [CrossRef]
- Elakkiya, V.T.; SureshKumar, P.; Alharbi, N.S.; Kadaikunnan, S.; Khaled, J.M.; Govindarajan, M. Swift production of rhamnolipid biosurfactant, biopolymer and synthesis of biosurfactant-wrapped silver nanoparticles and its enhanced oil recovery. Saudi J. Biol. Sci. 2020, 27, 1892–1899. [Google Scholar] [CrossRef]
- Morais, I.; Cordeiro, A.; Teixeira, G.; Domingues, V.; Nardi, R.; Monteiro, A.; Alves, R.; Siqueira, E.; Santos, V. Biological and physicochemical properties of biosurfactants produced by Lactobacillus jensenii P6A and Lactobacillus gasseri P65. Microb. Cell Fact. 2017, 16, 155. [Google Scholar] [CrossRef]
- Dowluru, S. Prospects for Industrial and Microbial Biotechnology in Oil Industry. Biotechnology 2014, 3, 37–39. [Google Scholar]
- Jahanbani Veshareh, M.; Ganji Azad, E.; Deihimi, T.; Niazi, A.; Ayatollahi, S. Isolation and screening of Bacillus subtilis MJ01 for MEOR application: Biosurfactant characterization, production optimization and wetting effect on carbonate surfaces. J. Pet. Explor. Prod. Technol. 2019, 9, 233–245. [Google Scholar] [CrossRef]
- Borah, D.; Chaubey, A.; Sonowal, A.; Gogoi, B.; Kumar, R. Microbial biosurfactants and their potential applications: An overview. In Microbial Biosurfactants: Preparation, Properties and Applications; Inamuddin, A.M.I., Prasad, R., Eds.; Springer: Singapore, 2021; pp. 91–116. [Google Scholar]
- Jadeja, N.B.; Moharir, P.; Kapley, A. Genome sequencing and analysis of strains Bacillus sp. AKBS9 and Acinetobacter sp. AKBS16 for biosurfactant production and bioremediation. Appl. Biochem. Biotechnol. 2019, 187, 518–530. [Google Scholar] [CrossRef]
- Shibulal, B.; Al-Bahry, S.N.; Al-Wahaibi, Y.M.; Elshafie, A.E.; Al-Bemani, A.S.; Joshi, S.J. Microbial Enhanced Heavy Oil Recovery by the Aid of Inhabitant Spore-Forming Bacteria: An Insight Review. Sci. World J. 2014, 2014, 309159. [Google Scholar] [CrossRef] [PubMed]
- Xu, X.; Liu, W.; Tian, S.; Wang, W.; Qi, Q.; Jiang, P.; Gao, X.; Li, F.; Li, H.; Yu, H. Petroleum hydrocarbon-degrading bacteria for the remediation of oil pollution under aerobic conditions: A perspective analysis. Front. Microbiol. 2018, 9, 2885. [Google Scholar] [CrossRef] [PubMed]
- Al-Sulaimani, H.; Joshi, S.; Al-Wahaibi, Y.; Al-Bahry, S.; Elshafie, A.; Al-Bemani, A. Microbial biotechnology for enhancing oil recovery: Current developments and future prospects. Biotechnol. Bioinf. Bioeng. 2011, 1, 147–158. [Google Scholar]
- Olajire, A.; Essien, J. Aerobic degradation of petroleum components by microbial consortia. J. Pet. Environ. Biotechnol. 2014, 5, 1. [Google Scholar] [CrossRef]
- Bacosa, H.P.; Evans, M.M.; Wang, Q.; Liu, Z. Chapter 28—Assessing the Role of Environmental Conditions on the Degradation of Oil Following the Deepwater Horizon Oil Spill. In Oil Spill Environmental Forensics Case Studies; Stout, S.A., Wang, Z., Eds.; Butterworth-Heinemann: Oxford, UK, 2018; pp. 617–637. [Google Scholar]
- Gudina, E.J.; Pereira, J.F.; Costa, R.; Coutinho, J.A.; Teixeira, J.A.; Rodrigues, L.R. Biosurfactant-producing and oil-degrading Bacillus subtilis strains enhance oil recovery in laboratory sand-pack columns. J. Hazard. Mater. 2013, 261, 106–113. [Google Scholar] [CrossRef]
- Gao, H.; Zhang, J.; Lai, H.; Xue, Q. Degradation of asphaltenes by two Pseudomonas aeruginosa strains and their effects on physicochemical properties of crude oil. Int. Biodeterior. Biodegrad. 2017, 122, 12–22. [Google Scholar] [CrossRef]
- Margesin, R.; Moertelmaier, C.; Mair, J. Low-temperature biodegradation of petroleum hydrocarbons (n-alkanes, phenol, anthracene, pyrene) by four actinobacterial strains. Int. Biodeterior. Biodegrad. 2013, 84, 185–191. [Google Scholar] [CrossRef]
- Li, Y.; Pan, J.; Ma, Y. Elucidation of multiple alkane hydroxylase systems in biodegradation of crude oil n-alkane pollution by Pseudomonas aeruginosa DN1. J. Appl. Microbiol. 2020, 128, 151–160. [Google Scholar] [CrossRef] [PubMed]
- Sakthipriya, N.; Doble, M.; Sangwai, J.S. Influence of thermophilic Bacillus subtilis YB7 on the biodegradation of long chain paraffinic hydrocarbons (C16 H34 to C36 H74). RSC Adv. 2016, 6, 82541–82552. [Google Scholar] [CrossRef]
- Zhang, J.H.; Xue, Q.H.; Gao, H.; Ma, X.; Wang, P. Degradation of crude oil by fungal enzyme preparations from Aspergillus spp. for potential use in enhanced oil recovery. J. Chem. Technol. Biotechnol. 2016, 91, 865–875. [Google Scholar] [CrossRef]
- Ke, C.-Y.; Lu, G.-M.; Wei, Y.-L.; Sun, W.-J.; Hui, J.-F.; Zheng, X.-Y.; Zhang, Q.-Z.; Zhang, X.-L. Biodegradation of crude oil by Chelatococcus daeguensis HB-4 and its potential for microbial enhanced oil recovery (MEOR) in heavy oil reservoirs. Bioresour. Technol. 2019, 287, 121442. [Google Scholar] [CrossRef]
- Wang, Y.; Nie, M.; Wan, Y.; Tian, X.; Nie, H.; Zi, J.; Ma, X. Functional characterization of two alkane hydroxylases in a versatile Pseudomonas aeruginosa strain NY3. Ann. Microbiol. 2017, 67, 459–468. [Google Scholar] [CrossRef]
- Purwasena, I.A.; Sugai, Y.; Sasaki, K. Estimation of the potential of an anaerobic thermophilic oil-degrading bacterium as a candidate for MEOR. J. Pet. Explor. Prod. Technol. 2014, 4, 189–200. [Google Scholar] [CrossRef]
- Vijayakumar, S.; Saravanan, V. Biosurfactants-types, sources and applications. Res. J. Microbiol. 2015, 10, 181. [Google Scholar]
- Suthar, H.; Hingurao, K.; Desai, A.; Nerurkar, A. Evaluation of bioemulsifier mediated microbial enhanced oil recovery using sand pack column. J. Microbiol. Methods 2008, 75, 225–230. [Google Scholar] [CrossRef]
- Reuvers, B. Emulsifying ionic apolar polymer in water: Understanding the process. J. Coat. Technol. Res. 2020, 17, 1131–1143. [Google Scholar] [CrossRef]
- Hou, B.; Wang, Y.; Cao, X.; Zhang, J.; Song, X.; Ding, M.; Chen, W. Mechanisms of enhanced oil recovery by surfactant-induced wettability alteration. J. Dispers. Sci. Technol. 2016, 37, 1259–1267. [Google Scholar] [CrossRef]
- Tetteh, J.; Janjang, N.M.; Barati, R. Wettability alteration and enhanced oil recovery using low salinity waterflooding in limestone rocks: A mechanistic study. In Proceedings of the SPE Kingdom of Saudi Arabia Annual Technical Symposium and Exhibition, Dammam, Saudi Arabia, 23–26 April 2018; OnePetro: Dammam, Saudi Arabia, 2018. [Google Scholar]
- Najafi-Marghmaleki, A.; Kord, S.; Hashemi, A.; Motamedi, H. Experimental investigation of efficiency of MEOR process in a carbonate oil reservoir using Alcaligenes faecalis: Impact of interfacial tension reduction and wettability alteration mechanisms. Fuel 2018, 232, 27–35. [Google Scholar] [CrossRef]
- Deng, X.; Tariq, Z.; Murtaza, M.; Patil, S.; Mahmoud, M.; Kamal, M.S. Relative contribution of wettability Alteration and interfacial tension reduction in EOR: A critical review. J. Mol. Liq. 2021, 325, 115175. [Google Scholar] [CrossRef]
- Joonaki, E.; Ghanaatian, S. The application of nanofluids for enhanced oil recovery: Effects on interfacial tension and coreflooding process. Pet. Sci. Technol. 2014, 32, 2599–2607. [Google Scholar] [CrossRef]
- Kamal, M.S.; Hussein, I.A.; Sultan, A.S. Review on surfactant flooding: Phase behavior, retention, IFT, and field applications. Energy Fuels 2017, 31, 7701–7720. [Google Scholar] [CrossRef]
- Kögler, F.; Mahler, E.; Dopffel, N.; Schulze-Makuch, D.; Borovina, A.; Visser, F.; Herold, A.; Alkan, H. The Microbial Enhanced Oil Recovery (MEOR) potential of Halanaerobiales under dynamic conditions in different porous media. Pet. Sci. Eng. 2021, 196, 107578. [Google Scholar] [CrossRef]
- Khajepour, H.; Mahmoodi, M.; Biria, D.; Ayatollahi, S. Investigation of wettability alteration through relative permeability measurement during MEOR process: A micromodel study. J. Pet. Sci. Eng. 2014, 120, 10–17. [Google Scholar] [CrossRef]
- Abolhasanzadeh, A.; Khaz’ali, A.R.; Hashemi, R.; Jazini, M. Experimental study of microbial enhanced oil recovery in oil-wet fractured porous media. Oil Gas Sci. Technol—Rev. d’IFP Energ. Nouv. 2020, 75, 10. [Google Scholar] [CrossRef]
- Karimi, M.; Mahmoodi, M.; Niazi, A.; Al-Wahaibi, Y.; Ayatollahi, S. Investigating wettability alteration during MEOR process, a micro/macro scale analysis. Colloid. Surf. B-Biointerfaces 2012, 95, 129–136. [Google Scholar] [CrossRef]
- Donaldson, E.C.; Alam, W. Wettability; Gulf Publishing Company: Houston, TX, USA, 2013. [Google Scholar]
- Gao, C. Experiences of microbial enhanced oil recovery in Chinese oil fields. J. Pet. Sci. Eng. 2018, 166, 55–62. [Google Scholar] [CrossRef]
- Zhang, J.; Gao, H.; Xue, Q. Potential applications of microbial enhanced oil recovery to heavy oil. Crit. Rev. Biotechnol. 2020, 40, 459–474. [Google Scholar] [CrossRef]
- Guan, J.; Xia, L.-P.; Wang, L.-Y.; Liu, J.-F.; Gu, J.-D.; Mu, B.-Z. Diversity and distribution of sulfate-reducing bacteria in four petroleum reservoirs detected by using 16S rRNA and dsrAB genes. Int. Biodeterior. Biodegrad. 2013, 76, 58–66. [Google Scholar] [CrossRef]
- Zhao, F.; Ma, F.; Shi, R.; Zhang, J.; Han, S.; Zhang, Y. Production of rhamnolipids by Pseudomonas aeruginosa is inhibited by H2S but resumes in a co-culture with P. stutzeri: Applications for microbial enhanced oil recovery. Biotechnol. Lett. 2015, 37, 1803–1808. [Google Scholar] [CrossRef] [PubMed]
- Varjani, S.J. Microbial degradation of petroleum hydrocarbons. Bioresour. Technol. 2017, 223, 277–286. [Google Scholar] [CrossRef] [PubMed]
- Gamadi, T.; Sheng, J.; Soliman, M.; Menouar, H.; Watson, M.; Emadibaladehi, H. An experimental study of cyclic CO2 injection to improve shale oil recovery. In Proceedings of the SPE Improved Oil Recovery Symposium, Tulsa, OK, USA, 12–16 April 2014; OnePetro: Tulsa, OK, USA, 2014. [Google Scholar]
- Hart, A. A review of technologies for transporting heavy crude oil and bitumen via pipelines. J. Pet. Explor. Prod. Technol. 2014, 4, 327–336. [Google Scholar] [CrossRef]
- Purwasena, I.A.; Astuti, D.I.; Syukron, M.; Amaniyah, M.; Sugai, Y. Stability test of biosurfactant produced by Bacillus licheniformis DS1 using experimental design and its application for MEOR. J. Pet. Sci. Eng. 2019, 183, 106383. [Google Scholar] [CrossRef]
- Cameron, T.A.; Margolin, W. Construction and Characterization of Functional FtsA Sandwich Fusions for Studies of FtsA Localization and Dynamics during Escherichia coli Cell Division. J. Bacteriol. 2023, 205, 2974–2984. [Google Scholar] [CrossRef]
- Zhao, F.; Shi, R.; Cui, Q.; Han, S.; Dong, H.; Zhang, Y. Biosurfactant production under diverse conditions by two kinds of biosurfactant-producing bacteria for microbial enhanced oil recovery. J. Pet. Sci. Eng. 2017, 157, 124–130. [Google Scholar] [CrossRef]
- Xu, Y.; Wang, J.; Liu, Q.; Zhang, Q.; Wu, J.; Zhou, M.; Nie, Y.; Wu, X.-L. pH and Nitrate Drive Bacterial Diversity in Oil Reservoirs at a Localized Geographic Scale. Microorganisms 2023, 11, 151. [Google Scholar] [CrossRef]
- Pannekens, M.; Kroll, L.; Müller, H.; Mbow, F.T.; Meckenstock, R.U. Oil reservoirs, an exceptional habitat for microorganisms. New Biotech. 2019, 49, 1–9. [Google Scholar] [CrossRef]
- Kowalewski, E.; Rueslåtten, I.; Steen, K.; Bødtker, G.; Torsæter, O. Microbial improved oil recovery—Bacterial induced wettability and interfacial tension effects on oil production. J. Pet. Sci. Eng. 2006, 52, 275–286. [Google Scholar] [CrossRef]
- Wang, L.-Y.; Duan, R.-Y.; Liu, J.-F.; Yang, S.-Z.; Gu, J.-D.; Mu, B.-Z. Molecular analysis of the microbial community structures in water-flooding petroleum reservoirs with different temperatures. Biogeosciences 2012, 9, 4645–4659. [Google Scholar] [CrossRef]
- Vigneron, A.; Alsop, E.B.; Lomans, B.P.; Kyrpides, N.C.; Head, I.M.; Tsesmetzis, N. Succession in the petroleum reservoir microbiome through an oil field production lifecycle. ISME J. 2017, 11, 2141–2154. [Google Scholar] [CrossRef] [PubMed]
- Dahle, H.; Garshol, F.; Madsen, M.; Birkeland, N.K. Microbial community structure analysis of produced water from a high-temperature North Sea oil-field. Antonie Van Leeuwenhoek 2008, 93, 37–49. [Google Scholar] [CrossRef] [PubMed]
- Lenchi, N.; İnceoğlu, Ö.; Kebbouche-Gana, S.; Gana, M.L.; Llirós, M.; Servais, P.; García-Armisen, T. Diversity of Microbial Communities in Production and Injection Waters of Algerian Oilfields Revealed by 16S rRNA Gene Amplicon 454 Pyrosequencing. PLoS ONE 2013, 8, e66588. [Google Scholar] [CrossRef]
- Braun, O.; Coquery, C.; Kieffer, J.; Blondel, F.; Favero, C.; Besset, C.; Mesnager, J.; Voelker, F.; Delorme, C.; Matioszek, D. Spotlight on the Life Cycle of Acrylamide-Based Polymers Supporting Reductions in Environmental Footprint: Review and Recent Advances. Molecules 2022, 27, 42. [Google Scholar] [CrossRef]
- Olajire, A.A. Review of ASP EOR (alkaline surfactant polymer enhanced oil recovery) technology in the petroleum industry: Prospects and challenges. Energy 2014, 77, 963–982. [Google Scholar] [CrossRef]
- Xiong, B.; Loss, R.D.; Shields, D.; Pawlik, T.; Hochreiter, R.; Zydney, A.L.; Kumar, M. Polyacrylamide degradation and its implications in environmental systems. NPJ Clean Water 2018, 1, 17. [Google Scholar] [CrossRef]
- Lindeman, B.; Johansson, Y.; Andreassen, M.; Husøy, T.; Dirven, H.; Hofer, T.; Knutsen, H.K.; Caspersen, I.H.; Vejrup, K.; Paulsen, R.E. Does the food processing contaminant acrylamide cause developmental neurotoxicity? A review and identification of knowledge gaps. Reprod. Toxicol. 2021, 101, 93–114. [Google Scholar] [CrossRef]
- Liu, J.; Ren, J.; Xu, R.; Yu, B.; Wang, J. Biodegradation of partially hydrolyzed polyacrylamide by immobilized bacteria isolated from HPAM-containing wastewater. Environ. Prog. Sustain. Energy 2016, 35, 1344–1352. [Google Scholar] [CrossRef]
- Elshafie, A.; Joshi, S.J.; Al-Wahaibi, Y.M.; Al-Bahry, S.N.; Al-Bemani, A.S.; Al-Hashmi, A.; Al-Mandhari, M.S. Isolation and Characterization of Biopolymer Producing Omani Aureobasidium Pullulans Strains and Its Potential Applications in Microbial Enhanced Oil Recovery. In Proceedings of the SPE Oil and Gas India Conference and Exhibition, Mumbai, India, 4–6 April 2017. [Google Scholar]
- Amir, Z.; Said, I.M.; Jan, B.M. In situ organically cross-linked polymer gel for high-temperature reservoir conformance control: A review. Polym. Adv. Technol. 2019, 30, 13–39. [Google Scholar] [CrossRef]
- Al-Assi, A.A.; Willhite, G.P.; Green, D.W.; McCool, C.S. Formation and propagation of gel aggregates using partially hydrolyzed polyacrylamide and aluminum citrate. SPE J. 2009, 14, 450–461. [Google Scholar] [CrossRef]
- Adewunmi, A.A.; Ismail, S.; Sultan, A.S. Study on strength and gelation time of polyacrylamide/polyethyleneimine composite gels reinforced with coal fly ash for water shut-off treatment. J. Appl. Polym. Sci. 2015, 132, 41392. [Google Scholar] [CrossRef]
- Liu, P.; Zhang, Y.; Tang, Q.; Shi, S. Bioremediation of metal-contaminated soils by microbially-induced carbonate precipitation and its effects on ecotoxicity and long-term stability. Biochem. Eng. J. 2021, 166, 107856. [Google Scholar] [CrossRef]
- Gadd, G.M. Metals, minerals and microbes: Geomicrobiology and bioremediation. Microbiology 2010, 156, 609–643. [Google Scholar] [CrossRef]
- Bai, B.; Zhou, J.; Yin, M. A comprehensive review of polyacrylamide polymer gels for conformance control. Pet. Explor. Dev. 2015, 42, 525–532. [Google Scholar] [CrossRef]
- Liu, Y.; Dai, C.; Wang, K.; Zhao, M.; Zhao, G.; Yang, S.; Yan, Z.; You, Q. New insights into the hydroquinone (HQ)–hexamethylenetetramine (HMTA) gel system for water shut-off treatment in high temperature reservoirs. J. Ind. Eng. Chem. 2016, 35, 20–28. [Google Scholar] [CrossRef]
- Ali, H.; Khan, E.; Ilahi, I. Environmental chemistry and ecotoxicology of hazardous heavy metals: Environmental persistence, toxicity, and bioaccumulation. J. Chem. 2019, 2019, 6730305. [Google Scholar] [CrossRef]
- Berdugo-Clavijo, C.; Sen, A.; Seyyedi, M.; Quintero, H.; O’Neil, B.; Gieg, L.M. High temperature utilization of PAM and HPAM by microbial communities enriched from oilfield produced water and activated sludge. AMB Express 2019, 9, 46. [Google Scholar] [CrossRef] [PubMed]
- Joshi, S.J.; Abed, R.M.M. Biodegradation of Polyacrylamide and Its Derivatives. Environ. Process. 2017, 4, 463–476. [Google Scholar] [CrossRef]
- Yu, F.; Fu, R.; Xie, Y.; Chen, W. Isolation and Characterization of Polyacrylamide-Degrading Bacteria from Dewatered Sludge. Int. J. Environ. Res. Public Health 2015, 12, 4214–4230. [Google Scholar] [CrossRef]
- Al-Moqbali, W.; Joshi, S.J.; Al-Bahry, S.N.; Al-Wahaibi, Y.M.; Elshafie, A.E.; Al-Bemani, A.S.; Al-Hashmi, A.; Soundra Pandian, S.B. Biodegradation of Partially Hydrolyzed Polyacrylamide HPAM Using Bacteria Isolated from Omani Oil Fields. In Proceedings of the SPE EOR Conference, Oil and Gas West Asia, Muscat, Oman, 26–28 March 2018. [Google Scholar]
- Du, C.A.; Song, Y.; Yao, Z.; Su, W.; Zhang, G.; Wu, X. Developments in in-situ microbial enhanced oil recovery in Shengli oilfield. Energy Sources Part A-Recovery Util. Environ. Eff. 2022, 44, 1977–1987. [Google Scholar] [CrossRef]
- Chen, Y.; Pan, J.; Yun, Y.; Zhi, B.; Li, G.; Li, M.; Ma, T. Halomonas plays a central role in the syntrophic community of an alkaline oil reservoir with alkali-surfactant-polymer (ASP) flooding. Sci. Total Environ. 2020, 747, 141333. [Google Scholar] [CrossRef] [PubMed]
- Huang, Y.H.; Ren, G.L.; Yuan, H.M.; Wei, L.; Wu, X.L.; Song, K.P. Microbial Diversity Analysis of Reservoirs after Polymer Flooding in Daqing Oil Field at the Earlier Stage of Microbial Profile Modification. Adv. Mater. Res. 2010, 113–116, 835–839. [Google Scholar] [CrossRef]
- Zhang, T.; Li, Z.; Gao, M.; Xu, Z.; Adenutsi, C.D.; You, Q. New insights into the synergism between silica nanoparticles and surfactants on interfacial properties: Implications for spontaneous imbibition in tight oil reservoirs. J. Pet. Sci. Eng. 2022, 215, 110647. [Google Scholar] [CrossRef]
- Thota, V.; C Perry, C. A review on recent patents and applications of inorganic material binding peptides. Recent Pat. Nanotechnol. 2017, 11, 168–180. [Google Scholar] [CrossRef]
- Sajid, M.; Płotka-Wasylka, J. Nanoparticles: Synthesis, characteristics, and applications in analytical and other sciences. Microchem. J. 2020, 154, 104623. [Google Scholar] [CrossRef]
- Wang, L.; Zhang, G.; Ge, J.-J.; Li, G.; Zhang, J.; Ding, B. Preparation of microgel nanospheres and their application in EOR. In SPE International Oil and Gas Conference and Exhibition in China, Beijing, China, 8–10 June 2010; SPE: Beijing, China, 2010; p. SPE-130357-MS. [Google Scholar]
- Wang, S.; Tang, Z.; Qu, J.; Wu, T.; Liu, Y.; Wang, J.; Liu, X.; Ju, Y.; Liu, F. Research on the mechanisms of polyacrylamide nanospheres with different size distributions in enhanced oil recovery. RSC Adv. 2021, 11, 5763–5772. [Google Scholar] [CrossRef]
- Hendraningrat, L.; Zhang, J. Polymeric nanospheres as a displacement fluid in enhanced oil recovery. Appl. Nanosci. 2015, 5, 1009–1016. [Google Scholar] [CrossRef]
- Li, T.; Huang, P.; Li, X.; Wang, R.; Lu, Z.; Song, P.; He, Y. Synthesis of polymer nanospheres conjugated Ce (IV) complexes for constructing double antibacterial centers. J. Inorg. Organomet. Polym. Mater. 2022, 32, 883–894. [Google Scholar] [CrossRef]
- Neha, S.; Meeta, L.; Vatsala, K.; Dhruva, P.; Nitish, K.; Amitabh, P.; Rahul, R.; Kumar, M.S.; Banwari, L. Nutrient optimization for indigenous microbial consortia of a Bhagyam oil field: MEOR studies. Front. Microbiol. 2023, 14, 1026720. [Google Scholar]
- Li, C.-Y.; Zhang, D.; Li, X.-X.; Mbadinga, S.M.; Yang, S.-Z.; Liu, J.-F.; Gu, J.-D.; Mu, B.-Z. The biofilm property and its correlationship with high-molecular-weight polyacrylamide degradation in a water injection pipeline of Daqing oilfield. J. Hazard. Mater. 2016, 304, 388–399. [Google Scholar] [CrossRef] [PubMed]
- Adetunji, J. Microbial Enhanced Oil Recovery. Ph.D. Thesis, Department of Chemistry, Biotechnology and Environment, Aalborg University, Esbjerg, Denmark, 2012; 181p. [Google Scholar]
- Bachmann, R.T.; Johnson, A.C.; Edyvean, R.G.J. Biotechnology in the petroleum industry: An overview. Int. Biodeterior. Biodegrad. 2014, 86, 225–237. [Google Scholar] [CrossRef]
- Charlier, D.; Droogmans, L. Microbial life at high temperature, the challenges, the strategies. Cell Mol. Life Sci. 2005, 62, 2974–2984. [Google Scholar] [CrossRef] [PubMed]
- Li, H.; Yang, Q.; Li, J.; Gao, H.; Li, P.; Zhou, H. The impact of temperature on microbial diversity and AOA activity in the Tengchong Geothermal Field, China. Sci. Rep. 2015, 5, 17056. [Google Scholar] [CrossRef]
- Olabode, O.; Ogbebor, V.; Onyeka, E.; Felix, B. The effect of chemically enhanced oil recovery on thin oil rim reservoirs. J. Pet. Explor. Prod. 2021, 11, 1461–1474. [Google Scholar] [CrossRef]
- Lin, J.; Hao, B.; Cao, G.; Wang, J.; Feng, Y.; Tan, X.; Wang, W. A study on the microbial community structure in oil reservoirs developed by water flooding. J. Pet. Sci. Eng. 2014, 122, 354–359. [Google Scholar] [CrossRef]
- Gao, P.; Tian, H.; Wang, Y.; Li, Y.; Li, Y.; Xie, J.; Zeng, B.; Zhou, J.; Li, G.; Ma, T. Spatial isolation and environmental factors drive distinct bacterial and archaeal communities in different types of petroleum reservoirs in China. Sci. Rep. 2016, 6, 20174. [Google Scholar] [CrossRef]
- Li, X.-X.; Mbadinga, S.M.; Liu, J.-F.; Zhou, L.; Yang, S.-Z.; Gu, J.-D.; Mu, B.-Z. Microbiota and their affiliation with physiochemical characteristics of different subsurface petroleum reservoirs. Int. Biodeterior. Biodegrad. 2017, 120, 170–185. [Google Scholar] [CrossRef]
- Gittel, A.; Sørensen, K.B.; Skovhus, T.L.; Ingvorsen, K.; Schramm, A. Prokaryotic Community Structure and Sulfate Reducer Activity in Water from High-Temperature Oil Reservoirs with and without Nitrate Treatment. Appl. Environ. Microbiol. 2009, 75, 7086–7096. [Google Scholar] [CrossRef]
- Cai, M.; Nie, Y.; Chi, C.Q.; Tang, Y.Q.; Li, Y.; Wang, X.B.; Liu, Z.S.; Yang, Y.; Zhou, J.; Wu, X.L. Crude oil as a microbial seed bank with unexpected functional potentials. Sci. Rep. 2015, 5, 16057. [Google Scholar] [CrossRef]
- Lin, Q.; He, G.; Rui, J.; Fang, X.; Tao, Y.; Li, J.; Li, X. Microorganism-regulated mechanisms of temperature effects on the performance of anaerobic digestion. Microb. Cell Fact. 2016, 15, 96. [Google Scholar] [CrossRef] [PubMed]
- Mehta, R.; Singhal, P.; Singh, H.; Damle, D.; Sharma, A.K. Insight into thermophiles and their wide-spectrum applications. 3 Biotech. 2016, 6, 81. [Google Scholar] [CrossRef] [PubMed]
- Nmegbu, C.G.J. The effect of salt concentration on microbes during microbial enhanced oil recovery. J. Eng. Res. Appl. 2014, 4, 244–247. [Google Scholar]
- Lee, K.S.; Kwon, T.-H.; Park, T.; Jeong, M.S. Theory and Practice in Microbial Enhanced Oil Recovery; Gulf Professional Publishing: Cambridge, MA, USA, 2020. [Google Scholar]
- Fathepure, B.Z. Recent studies in microbial degradation of petroleum hydrocarbons in hypersaline environments. Front. Microbiol. 2014, 5, 173. [Google Scholar] [CrossRef]
- Xiao, M.; Sun, S.-S.; Zhang, Z.-Z.; Wang, J.-M.; Qiu, L.-W.; Sun, H.-Y.; Song, Z.-Z.; Zhang, B.-Y.; Gao, D.-L.; Zhang, G.-Q.; et al. Analysis of bacterial diversity in two oil blocks from two low-permeability reservoirs with high salinities. Sci. Rep. 2016, 6, 19600. [Google Scholar] [CrossRef]
- Head, I.M.; Gray, N.D.; Larter, S.R. Life in the slow lane; biogeochemistry of biodegraded petroleum containing reservoirs and implications for energy recovery and carbon management. Front. Microbiol. 2014, 5, 566. [Google Scholar] [CrossRef]
- Amani, H.; Müller, M.M.; Syldatk, C.; Hausmann, R. Production of microbial rhamnolipid by Pseudomonas aeruginosa MM1011 for ex situ enhanced oil recovery. Appl. Biochem. Biotechnol. 2013, 170, 1080–1093. [Google Scholar] [CrossRef]
- Kumar, S.S.; Kumar, V.; Gnaneswar Gude, V.; Malyan, S.K.; Pugazhendhi, A. Alkalinity and salinity favor bioelectricity generation potential of Clostridium, Tetrathiobacter and Desulfovibrio consortium in Microbial Fuel Cells (MFC) treating sulfate-laden wastewater. Bioresour. Technol. 2020, 306, 123110. [Google Scholar] [CrossRef]
- Liang, R.; Davidova, I.A.; Marks, C.R.; Stamps, B.W.; Harriman, B.H.; Stevenson, B.S.; Duncan, K.E.; Suflita, J.M. Metabolic Capability of a Predominant Halanaerobium sp. in Hydraulically Fractured Gas Wells and Its Implication in Pipeline Corrosion. Front. Microbiol. 2016, 7, 988. [Google Scholar] [CrossRef]
- Scheffer, G.; Hubert, C.R.J.; Enning, D.R.; Lahme, S.; Mand, J.; de Rezende, J.R. Metagenomic Investigation of a Low Diversity, High Salinity Offshore Oil Reservoir. Microorganisms 2021, 9, 2266. [Google Scholar] [CrossRef]
- Choi, S.K.; Sharma, M.M.; Bryant, S.L.; Huh, C. pH sensitive polymers for novel conformance control and polymerflood applications. In Proceedings of the SPE International Conference on Oilfield Chemistry, The Woodlands, TX, USA, 20–22 April 2009; SPE Reservoir Evaluation & Engineering: Richardson, TX, USA, 2009; Volume 13, pp. 926–939. [Google Scholar]
- Hakala, J.A.; Crandall, D.; Moore, J.; Phan, T.; Sharma, S.; Lopano, C. Laboratory-scale studies on chemical reactions between fracturing fluid and shale core from the Marcellus Shale Energy and Environmental Laboratory (MSEEL) site. In Proceedings of the SPE/AAPG/SEG Unconventional Resources Technology Conference, Austin, TX, USA, 24–26 July 2017; URTEC: Austin, TX, USA, 2017; p. 2670856. [Google Scholar]
- Talebian, S.H.; Fahimifar, A.; Heidari, A. Review of enhanced oil recovery decision making in complex carbonate reservoirs: Fluid flow and geomechanics mechanisms. J. Appl. Comput. Mech. 2021, 52, 350–365. [Google Scholar]
- Wilson, M.; Wilson, L.; Patey, I. The influence of individual clay minerals on formation damage of reservoir sandstones: A critical review with some new insights. Clay Miner. 2014, 49, 147–164. [Google Scholar] [CrossRef]
- Farquhar, S.; Pearce, J.; Dawson, G.; Golab, A.; Sommacal, S.; Kirste, D.; Biddle, D.; Golding, S. A fresh approach to investigating CO2 storage: Experimental CO2–water–rock interactions in a low-salinity reservoir system. Chem. Geol. 2015, 399, 98–122. [Google Scholar] [CrossRef]
- Jin, Q.; Kirk, M.F. pH as a Primary Control in Environmental Microbiology: 1. Thermodynamic Perspective. Front. Environ. Sci. 2018, 6, 21. [Google Scholar] [CrossRef]
- Kim, J.S.; Crowley, D.E. Microbial diversity in natural asphalts of the Rancho La Brea Tar Pits. Appl. Environ. Microbiol. 2007, 73, 4579–4591. [Google Scholar] [CrossRef] [PubMed][Green Version]
- Baez, A.; Shiloach, J. Effect of elevated oxygen concentration on bacteria, yeasts, and cells propagated for production of biological compounds. Microb. Cell Fact. 2014, 13, 181. [Google Scholar] [CrossRef]
- Berney, M.; Greening, C.; Conrad, R.; Jacobs, W.R., Jr.; Cook, G.M. An obligately aerobic soil bacterium activates fermentative hydrogen production to survive reductive stress during hypoxia. Proc. Natl. Acad. Sci. USA 2014, 111, 11479–11484. [Google Scholar] [CrossRef]
- Khademian, M.; Imlay, J.A. How Microbes Evolved to Tolerate Oxygen. Trends Microbiol. 2021, 29, 428–440. [Google Scholar] [CrossRef]
- Ke, C.-Y.; Sun, W.-J.; Li, Y.-B.; Lu, G.-M.; Zhang, Q.-Z.; Zhang, X.-L. Microbial enhanced oil recovery in Baolige Oilfield using an indigenous facultative anaerobic strain Luteimonas huabeiensis sp. nov. J. Pet. Sci. Eng. 2018, 167, 160–167. [Google Scholar] [CrossRef]
- Cai, M.; Yu, C.; Wang, R.; Si, Y.; Masakorala, K.; Yuan, H.; Yao, J.; Zhang, J. Effects of oxygen injection on oil biodegradation and biodiversity of reservoir microorganisms in Dagang oil field, China. Int. Biodeterior. Biodegrad. 2015, 98, 59–65. [Google Scholar] [CrossRef]
- Haddad, H.; Khaz’ali, A.R.; Mehrabani-Zeinabad, A.; Jazini, M. Investigating the potential of microbial enhanced oil recovery in carbonate reservoirs using Bacillus persicus. Fuel 2023, 334, 126757. [Google Scholar] [CrossRef]
- Huang, H.-W.; Lung, H.-M.; Yang, B.B.; Wang, C.-Y. Responses of microorganisms to high hydrostatic pressure processing. Food Control. 2014, 40, 250–259. [Google Scholar] [CrossRef]
- Dahal, S.; Poudel, S.; Thompson, R.A. Genome-scale modeling of thermophilic microorganisms. Netw. Biol. 2017, 160, 103–119. [Google Scholar]
- Lai, B.-L.; Wei, H.-X.; Luo, Z.-N.; Zheng, T.; Lin, Y.-H.; Liu, Z.-Q.; Li, N. ZIF-8-derived Cu, N co-doped carbon as a bifunctional cathode catalyst for enhanced performance of microbial fuel cell. Sci. Total Environ. 2023, 856, 159083. [Google Scholar] [CrossRef] [PubMed]
- Yaşar Yildiz, S.; Nikerel, E.; Toksoy Öner, E. Genome-scale metabolic model of a microbial cell factory (Brevibacillus thermoruber 423) with multi-industry potentials for exopolysaccharide production. OMICS 2019, 23, 237–246. [Google Scholar] [CrossRef]
- Li, J.; Wang, Y.; Fan, Z.; Tang, P.; Wu, M.; Xiao, H.; Zeng, Z. Toxicity of Tetracycline and Metronidazole in Chlorella pyrenoidosa. Int. J. Environ. Res. Public Health 2023, 20, 3623. [Google Scholar] [CrossRef]
- Nikolova, C.; Gutierrez, T. Use of Microorganisms in the Recovery of Oil From Recalcitrant Oil Reservoirs: Current State of Knowledge, Technological Advances and Future Perspectives. Front. Microbiol. 2020, 10, 2996. [Google Scholar] [CrossRef]
- Lezorgia Nekabari, N.; Theophilus, S.; Barifcani, A.; Sarmadivaleh, M.; Iglauer, S. EOR processes, opportunities and technological advancements. In Chemical Enhanced Oil Recovery (cEOR)—A Practical Overview; Romero-Zeron, L., Ed.; IntechOpen: Rijeka, Croatia, 2016; pp. 3–52. [Google Scholar]
- Hamme, J.D.V.; Singh, A.; Ward, O.P. Recent Advances in Petroleum Microbiology. Microbiol. Mol. Biol. Rev. 2003, 67, 503–549. [Google Scholar] [CrossRef]
- Pereira, J.F.; Gudiña, E.J.; Costa, R.; Vitorino, R.; Teixeira, J.A.; Coutinho, J.A.; Rodrigues, L.R. Optimization and characterization of biosurfactant production by Bacillus subtilis isolates towards microbial enhanced oil recovery applications. Fuel 2013, 111, 259–268. [Google Scholar] [CrossRef]
- Xia, M.; Fu, D.; Chakraborty, R.; Singh, R.P.; Terry, N. Enhanced crude oil depletion by constructed bacterial consortium comprising bioemulsifier producer and petroleum hydrocarbon degraders. Bioresour. Technol. 2019, 282, 456–463. [Google Scholar] [CrossRef]
- Lazar, I.; Petrisor, I.G.; Yen, T.F. Microbial Enhanced Oil Recovery (MEOR). Pet. Sci. Technol. 2007, 25, 1353–1366. [Google Scholar] [CrossRef]
- Rathi, R.; Lavania, M.; Kukreti, V.; Lal, B. Evaluating the potential of indigenous methanogenic consortium for enhanced oil and gas recovery from high temperature depleted oil reservoir. J. Biotechnol. 2018, 283, 43–50. [Google Scholar] [CrossRef] [PubMed]
- Okoro, E.E.; Efajemue, E.A.; Sanni, S.E.; Olabode, O.A.; Orodu, O.D.; Ojo, T. Application of thermotolerant petroleum microbes at reservoir conditions for enhanced oil recovery. Petroleum 2022, 9, 223–236. [Google Scholar] [CrossRef]
- Bhattacharya, M.; Guchhait, S.; Biswas, D.; Singh, R. Evaluation of a microbial consortium for crude oil spill bioremediation and its potential uses in enhanced oil recovery. Biocatal. Agric. Biotechnol. 2019, 18, 101034. [Google Scholar] [CrossRef]
- Moënne-Loccoz, Y.; Mavingui, P.; Combes, C.; Normand, P.; Steinberg, C. Microorganisms and Biotic Interactions. In Environmental Microbiology: Fundamentals and Applications; Bertrand, J.C., Caumette, P., Lebaron, P., Matheron, R., Normand, P., Ngando, T.S., Eds.; Nature Publishing Group: Berlin, Germany, 2014; pp. 395–444. [Google Scholar]
- Xu, P. Dynamics of microbial competition, commensalism, and cooperation and its implications for coculture and microbiome engineering. Biotechnol. Bioeng. 2021, 118, 199–209. [Google Scholar] [CrossRef] [PubMed]
- Wu, B.; Xiu, J.; Yu, L.; Huang, L.; Yi, L.; Ma, Y. Research advances of microbial enhanced oil recovery. Heliyon 2022, 8, e11424. [Google Scholar] [CrossRef]
- Sun, S.; Wang, H.; Yan, K.; Lou, J.; Ding, J.; Snyder, S.A.; Wu, L.; Xu, J. Metabolic interactions in a bacterial co-culture accelerate phenanthrene degradation. J. Hazard. Mater. 2021, 403, 123825. [Google Scholar] [CrossRef]
- Sajna, K.V.; Sukumaran, R.K.; Gottumukkala, L.D.; Pandey, A. Crude oil biodegradation aided by biosurfactants from Pseudozyma sp. NII 08165 or its culture broth. Bioresour. Technol. 2015, 191, 133–139. [Google Scholar] [CrossRef]
- Sharma, S.; Pandey, L.M. Production of biosurfactant by Bacillus subtilis RSL-2 isolated from sludge and biosurfactant mediated degradation of oil. Bioresour. Technol. 2020, 307, 123261. [Google Scholar] [CrossRef]
- Dean-Ross, D.; Moody, J.; Cerniglia, C. Utilization of mixtures of polycyclic aromatic hydrocarbons by bacteria isolated from contaminated sediment. FEMS Microbiol. Ecol. 2002, 41, 1–7. [Google Scholar] [CrossRef]
- Fallahi, A.; Rezvani, F.; Asgharnejad, H.; Nazloo, E.K.; Hajinajaf, N.; Higgins, B. Interactions of microalgae-bacteria consortia for nutrient removal from wastewater: A review. Chemosphere 2021, 272, 129878. [Google Scholar] [CrossRef] [PubMed]
- Chen, L.; Lu, Z.; Wang, W. The effect of delays on the permanence for Lotka-Volterra systems. Appl. Math. Lett. 1995, 8, 71–73. [Google Scholar] [CrossRef]
- Lu, Z.; Takeuchi, Y. Permanence and global attractivity for competitive Lotka–Volterra systems with delay. Nonlinear Anal.-Theory Methods Appl. 1994, 22, 847–856. [Google Scholar] [CrossRef]
- Guerra, N.P. Modeling the batch bacteriocin production system by lactic acid bacteria by using modified three-dimensional Lotka–Volterra equations. Biochem. Eng. J. 2014, 88, 115–130. [Google Scholar] [CrossRef]
- Fujikawa, H.; Munakata, K.; Sakha, M.Z. Development of a competition model for microbial growth in mixed culture. Biocontrol Sci. 2014, 19, 61–71. [Google Scholar] [CrossRef]
- Zheng, X.; Li, D. Interaction of Acidithiobacillus ferrooxidans, Rhizobium phaseoli and Rhodotorula sp. in bioleaching process based on Lotka–Volterra model. Electron. J. Biotechnol. 2016, 22, 90–97. [Google Scholar] [CrossRef]
- Wang, T.; Yu, L.; Xiu, L.; Huang, L.; Cui, Q.; Ma, Y. A mathematical model for microbial enhanced oil recovery considering the double-bacterial competition mechanism. J. Pet. Sci. Eng. 2019, 178, 336–343. [Google Scholar]
- Han, H.; Zhu, W.; Song, Z.; Yue, M. Mechanisms of oil displacement by Geobacillus stearothermophilus producing bio-emulsifier for MEOR. Pet. Sci. Technol. 2017, 35, 1791–1798. [Google Scholar]
- Liu, J.; Gao, K.; Zhang, Y.; Fan, Y. Bacillus subtilis-based microbial enhanced oil recovery (MEOR) in polymer microfluidic chip. Can. J. Chem. Eng. 2023, 101, 2307–2316. [Google Scholar] [CrossRef]
- Gaol, C.L.; Wegner, J.; Ganzer, L. Real structure micromodels based on reservoir rocks for enhanced oil recovery (EOR) applications. Lab Chip 2020, 20, 2197–2208. [Google Scholar] [CrossRef]
- Gaol, C.L.; Ganzer, L.; Mukherjee, S.; Alkan, H. Parameters govern microbial enhanced oil recovery (MEOR) performance in real-structure micromodels. J. Pet. Sci. Eng. 2021, 205, 108814. [Google Scholar] [CrossRef]
- Strappa, L.; De Lucia, J.; Maure, M.; Llopiz, M.L. A novel and successful MEOR pilot project in a strong water-drive reservoir Vizcacheras Field, Argentina. In Proceedings of the SPE Improved Oil Recovery Conference, Tulsa, OK, USA, 17–21 April 2004; SPE: Tulsa, OK, USA, 2004; p. SPE-89456-MS. [Google Scholar]
- Youssef, N.; Simpson, D.R.; McInerney, M.J.; Duncan, K.E. In-situ lipopeptide biosurfactant production by Bacillus strains correlates with improved oil recovery in two oil wells approaching their economic limit of production. Int. Biodeterior. Biodegrad. 2013, 81, 127–132. [Google Scholar] [CrossRef]
- Bhatia, S.K.; Kim, S.-H.; Yoon, J.-J.; Yang, Y.-H. Current status and strategies for second generation biofuel production using microbial systems. Energy Conv. Manag. 2017, 148, 1142–1156. [Google Scholar] [CrossRef]
- Johnson, A. Microbial oil release technique for enhanced oil recovery. In Proceedings of the Conference on Microbiological Processes Useful in Enhanced Oil Recovery, San Diego, CA, USA, 29 August–1 September 1979. [Google Scholar]
- Bryant, R.; Stepp, A.; Bertus, K.; Burchfield, T.; Dennis, M. Microbial enhanced waterflooding field tests. In Proceedings of the SPE/DOE Improved Oil Recovery Symposium, Tulsa, OK, USA, 17–20 April 1994; OnePetro: Tulsa, OK, USA, 1994. [Google Scholar]
- Oppenheimer, C.; Heibert, F. Microbial enhanced oil production field tests in Texas. In Proceedings of the DOE/NIPER Symposium on Applications of Microorganisms to Petroleum Technology, Bartlesville, OK, USA, 12 August 1987; pp. 12–13. [Google Scholar]
- Le, J.-J.; Wu, X.-L.; Wang, R.; Zhang, J.-Y.; Bai, L.-L.; Hou, Z.-W. Progress in pilot testing of microbial-enhanced oil recovery in the Daqing oilfield of north China. Int. Biodeterior. Biodegrad. 2015, 97, 188–194. [Google Scholar] [CrossRef]
- Qi, Y.; Wang, D.; Wu, M.; Li, G.; Lü, X.; Ma, T. Effects of resin degradation and biological emulsification on the viscosity break of heavy oils. Acta Pet. Sin. 2012, 33, 670–675. [Google Scholar]
- Le, J.; Liu, F.; Zhang, J.; Bai, L.; Wang, R.; Liu, X.; Hou, Z.; Wu, X. A field test of activation indigenous microorganism for microbial enhanced oil recovery in reservoir after polymer flooding. Shiyou Xuebao/Acta Pet. Sin. 2014, 35, 99–106. [Google Scholar]
- Li, C.F.; Li, Y.; Li, X.M.; Cao, Y.B.; Song, Y.T. The Application of Microbial Enhanced Oil Recovery Technology in Shengli Oilfield. Pet. Sci. Technol. 2015, 33, 556–560. [Google Scholar] [CrossRef]
- Yulbarisov, E. Microbiological method for EOR. Rev. L’institut Français PÉTrole 1990, 45, 115–121. [Google Scholar] [CrossRef]
- Murygina, V.; Mats, A.; Arinbasarov, M.; Salamov, Z.; Cherkasov, A. Oil Field Experiments of Microbial Improved Oil Recovery in Vyngapour, West Siberia, Russia; BDM Oklahoma, Inc.: Bartlesville, OK, USA, 1995. [Google Scholar]
- Ivanov, M.; Belyaev, S.; Borzenkov, I.; Glumov, I.; Ibatullin, R. Additional oil production during field trials in Russia. Dev. Pet. Sci. 1993, 39, 373–381. [Google Scholar]
- Yulbarisov, E. Results from analysis of petroleum gas on Introduction of biochemical processes in the oil formation. Gazov. Delo 1972, 4, 26–28. [Google Scholar]
- Wagner, M.; Lungerhansen, D.; Nowak, U.; Ziran, B. Microbially improved oil recovery from carbonate. Biohydrometalurgical Technol. 1993, 2, 695–710. [Google Scholar]
- Updegraff, D. Early research on microbial enhanced oil recovery. Dev. Ind. Microbiol. 1990, 31, 135–142. [Google Scholar]
- Myszkowska-Ryciak, J.; Harton, A. Impact of nutrition education on the compliance with model food ration in 231 preschools, Poland: Results of eating healthy, growing healthy program. Nutrients 2018, 10, 1427. [Google Scholar] [CrossRef] [PubMed]
- Nikolova, C.; Gutierrez, T. Biosurfactants and their applications in the oil and gas industry: Current state of knowledge and future perspectives. Front. Bioeng. Biotechnol. 2021, 9, 626639. [Google Scholar] [CrossRef] [PubMed]
- Zhang, F.; She, Y.-H.; Chai, L.-J.; Banat, I.; Zhang, X.-T.; Shu, F.-C.; Wang, Z.-L.; Yu, L.-J.; Hou, D. Microbial diversity in long-term water-flooded oil reservoirs with different in situ temperatures in China. Sci. Rep. 2012, 2, 760. [Google Scholar] [CrossRef] [PubMed]
- An, D.; Caffrey, S.M.; Soh, J.; Agrawal, A.; Brown, D.; Budwill, K.; Dong, X.; Dunfield, P.F.; Foght, J.; Gieg, L.M.; et al. Metagenomics of hydrocarbon resource environments indicates aerobic taxa and genes to be unexpectedly common. Environ. Sci. Technol. 2013, 47, 10708–10717. [Google Scholar] [CrossRef]
- Anguita-Maeso, M.; Olivares-Garcia, C.; Haro, C.; Imperial, J.; Navas-Cortes, J.A.; Landa, B.B. Culture-Dependent and Culture-Independent Characterization of the Olive Xylem Microbiota: Effect of Sap Extraction Methods. Front. Plant Sci. 2020, 10, 1708. [Google Scholar] [CrossRef]
- Koedooder, R.; Mackens, S.; Budding, A.; Fares, D.; Blockeel, C.; Laven, J.; Schoenmakers, S. Identification and evaluation of the microbiome in the female and male reproductive tracts. Hum. Reprod. Update 2019, 25, 298–325. [Google Scholar] [CrossRef]
- Piceno, Y.; Reid, F.C.; Tom, L.M.; Conrad, M.E.; Bill, M.; Hubbard, C.G.; Fouke, B.W.; Graff, C.J.; Han, J.; Stringfellow, W.T.; et al. Temperature and injection water source influence microbial community structure in four Alaskan North Slope hydrocarbon reservoirs. Front. Microbiol. 2014, 5, 409. [Google Scholar] [CrossRef]
- Lewin, A.; Johansen, J.; Wentzel, A.; Kotlar, H.K.; Drabløs, F.; Valla, S. The microbial communities in two apparently physically separated deep subsurface oil reservoirs show extensive DNA sequence similarities. Environ. Microbiol. 2014, 16, 545–558. [Google Scholar] [CrossRef]
- Hu, P.; Tom, L.; Singh, A.; Thomas, B.C.; Baker, B.J.; Piceno, Y.M.; Andersen, G.L.; Banfield, J.F. Genome-Resolved Metagenomic Analysis Reveals Roles for Candidate Phyla and Other Microbial Community Members in Biogeochemical Transformations in Oil Reservoirs. mBio 2016, 7, e01669-15. [Google Scholar] [CrossRef] [PubMed]
- Sierra-García, I.N.; Correa Alvarez, J.; de Vasconcellos, S.P.; Pereira de Souza, A.; dos Santos Neto, E.V.; de Oliveira, V.M. New hydrocarbon degradation pathways in the microbial metagenome from Brazilian petroleum reservoirs. PLoS ONE 2014, 9, e90087. [Google Scholar] [CrossRef] [PubMed]












| Microbial Products | Representative Microorganisms | Effect | Limitation | Type of Formation/Reservoir | Reference |
|---|---|---|---|---|---|
|
|
|
|
| [57] |
|
|
|
|
| [58] |
|
|
|
|
| [59] |
|
|
|
|
| [22] |
|
|
|
|
| [60] |
|
|
|
|
| [61] |
|
|
|
|
| [62,63] |
| Microorganisms | Range of Degradation | Reference |
|---|---|---|
| Rhodococcus erythropolis | C10–C30 | [71] |
| Pseudomonas fluorescens | C12–C32 | [72] |
| Thermophilic Bacillus | C15–C36 | [73] |
| Gordonia amici | C18–C36 | [74] |
| Chelatococcus daeguensis | C23–C37 | [75] |
| Pseudomonas aeruginosa | C36–C40 | [76] |
| Benefits | Drawbacks |
|---|---|
|
|
|
|
|
| Temperature Optimum | Phylum/Class | Order/Genus | References |
|---|---|---|---|
|
|
| [145] |
|
|
| [105,146] |
|
|
| [106,145,147] |
|
|
| [105,145,146] |
| Phylum/Class | Order/Genus | Preferred Salinity | Reference |
|---|---|---|---|
|
|
| [106] |
|
|
| [157] |
|
|
| [158] |
|
|
| [145] |
|
|
| [106] |
|
|
| [103] |
|
|
| [159] |
| Phylum/Class | Order/Genus | Preferred pH |
|---|---|---|
|
|
|
|
| |
|
|
|
|
|
|
|
|
|
|
|
|
|
| |
|
| |
|
|
|
|
|
|
|
|
|
|
| References |
|---|---|---|---|---|---|
|
|
|
|
| [207] |
|
| [208] | |||
|
|
|
| [209] | |
|
| [209] | |||
|
|
|
| [11] | |
|
|
|
| [210] | |
|
|
|
|
| [211,212,213] |
|
|
| |||
|
|
|
| [214] | |
|
|
|
| [50] | |
|
|
|
|
| [13] |
|
|
|
| [215] | |
|
|
|
| [216] | |
|
|
| [217] | ||
|
| [218] | |||
|
|
|
|
| [183] |
|
| ||||
|
|
|
|
| [18] |
|
|
|
|
| [219] |
|
|
|
|
| [220] |
|
|
|
|
| [221] |
|
|
|
|
| [19] |
Disclaimer/Publisher’s Note: The statements, opinions and data contained in all publications are solely those of the individual author(s) and contributor(s) and not of MDPI and/or the editor(s). MDPI and/or the editor(s) disclaim responsibility for any injury to people or property resulting from any ideas, methods, instructions or products referred to in the content. |
© 2023 by the authors. Licensee MDPI, Basel, Switzerland. This article is an open access article distributed under the terms and conditions of the Creative Commons Attribution (CC BY) license (https://creativecommons.org/licenses/by/4.0/).
Share and Cite
Xiao, H.; Amir, Z.; Mohd Junaidi, M.U. Development of Microbial Consortium and Its Influencing Factors for Enhanced Oil Recovery after Polymer Flooding: A Review. Processes 2023, 11, 2853. https://doi.org/10.3390/pr11102853
Xiao H, Amir Z, Mohd Junaidi MU. Development of Microbial Consortium and Its Influencing Factors for Enhanced Oil Recovery after Polymer Flooding: A Review. Processes. 2023; 11(10):2853. https://doi.org/10.3390/pr11102853
Chicago/Turabian StyleXiao, Hui, Zulhelmi Amir, and Mohd Usman Mohd Junaidi. 2023. "Development of Microbial Consortium and Its Influencing Factors for Enhanced Oil Recovery after Polymer Flooding: A Review" Processes 11, no. 10: 2853. https://doi.org/10.3390/pr11102853
APA StyleXiao, H., Amir, Z., & Mohd Junaidi, M. U. (2023). Development of Microbial Consortium and Its Influencing Factors for Enhanced Oil Recovery after Polymer Flooding: A Review. Processes, 11(10), 2853. https://doi.org/10.3390/pr11102853

