Transferring Bubble Breakage Models Tailored for Euler-Euler Approaches to Euler-Lagrange Simulations
Abstract
1. Introduction
2. Materials and Methods
2.1. Bubble Column Simulation in the Euler-Euler Approach
2.2. Bubble Column Simulation in the Euler-Lagrange Approach
2.3. Bubble Breakage Models for the Euler-Euler Approach
2.4. Bubble Breakage Model Description for the Euler-Lagrange Approach
2.5. Daughter Size Distribution for Bubble Breakage Models
2.6. Bubble Breakage Duration
2.7. Bubble Size Distribution Evaluation
3. Results and Discussion
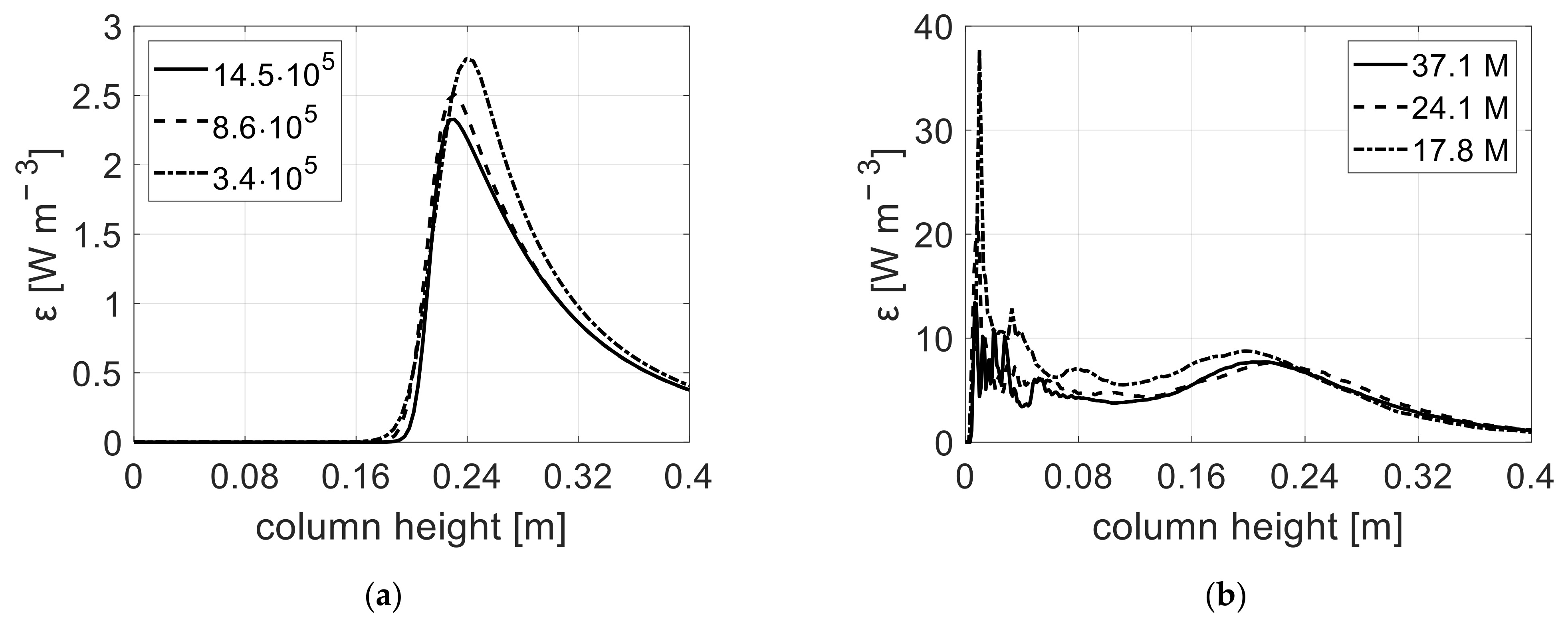
3.1. Influence of the Turbulence Model
3.2. Describing Daughter Size Distribution (DSD) for the Euler-Lagrange Approach
3.3. Optimal Critical We Number and Setting of
3.4. Comparison of Bubble Size Distribution between the Euler-Euler and Euler-Lagrange Approaches
4. Conclusions
Supplementary Materials
Author Contributions
Funding
Acknowledgments
Conflicts of Interest
Nomenclature
| A | Area of inlet | m2 |
| gas hold-up | - | |
| model constant | - | |
| Smagorinsky coefficient | - | |
| d32 | Sauter bubble diameter | m |
| d | bubble diameter, | m |
| dparent | diameter of parent bubble | m |
| turbulent kinetic dissipation rate | W m−3 | |
| specific energy dissipation rate | W m−3 | |
| bubble volume fraction ratio | - | |
| : | minimal bubble volume fraction ratio | - |
| : | bubble volume fraction increment | - |
| probability density function | - | |
| equilibrium distribution function | - | |
| k | turbulent kinetic energy | m2 s−2 |
| eddy length scale | m | |
| breakage probability | - | |
| density | kg m−3 | |
| filtered strain rate tensor | s−1 | |
| surface tension | N m−1 | |
| t | time | s |
| minimum time between two consecutive breakages | s | |
| relaxation time | s | |
| u | velocity | m s−1 |
| pump volume flow | m3 s−1 | |
| V | bubble volume | m3 |
| Vl | column volume | m3 |
| sub-grid eddy viscosity | m2 s−1 | |
| w | velocity inlet | m s−1 |
| breakage frequency | s−1 | |
| hitting eddy frequency | s−1 | |
| x | position | m |
| grid size | - | |
| eddy/bubble size ratio | - |
Abbreviations
| BSD | bubble size distribution |
| CFD | computer fluid dynamic |
| EE | Euler-Euler approaches |
| EL | Euler-Lagrange approaches |
| FV | Finite volume |
| DSD | daughter size distribution |
| LBM | lattice Boltzmann method |
| LES | large eddy simulation |
| PBM | population balance model |
| RANS | Reynolds-averaged Navier-Stoke equations |
| RNG | renormalization group |
| We | Weber number |
| Wecrit | critical Weber number |
Appendix A


Appendix B
References
- Lehr, F.; Mewes, D.; Millies, M. Bubble size distributions and flow fields in bubble columns. AIChE J. 2002, 42, 1225–1233. [Google Scholar] [CrossRef]
- Laakkonen, M.; Moilanen, P.; Alopaeus, V.; Aittamaa, J. Modelling local bubble size distributions in agitated vessels. Chem. Eng. Sci. 2007, 62, 721–740. [Google Scholar] [CrossRef]
- Zhang, H.; Yang, G.; Sayyar, A.; Wang, T. An improved bubble breakup model in turbulent flow. Chem. Eng. J. 2020, 386, 121484. [Google Scholar] [CrossRef]
- Luo, H.; Svendsen, H.F. Theoretical model for drop and bubble breakup in turbulent dispersions. AIChE J. 1996, 42, 1225–1233. [Google Scholar] [CrossRef]
- Siebler, F.; Lapin, A.; Hermann, M.; Takors, R. The impact of CO gradients on C. ljungdahlii in a 125 m3 bubble column: Mass transfer, circulation time and lifeline analysis. Chem. Eng. Sci. 2019, 207, 410–423. [Google Scholar] [CrossRef]
- Huang, Z.; McClure, D.D.; Barton, G.W.; Fletcher, D.F.; Kavanagh, J.M. Assessment of the impact of bubble size modelling in CFD simulations of alternative bubble column configurations operating in the heterogeneous regime. Chem. Eng. Sci. 2018, 186, 88–101. [Google Scholar] [CrossRef]
- Guan, X.; Xu, Q.; Yang, N.; Nigam, K.D. Hydrodynamics in bubble columns with helically-finned tube Internals: Experiments and CFD-PBM simulation. Chem. Eng. Sci. 2021, 240, 116674. [Google Scholar] [CrossRef]
- Yan, P.; Jin, H.; Gao, X.; He, G.; Guo, X.; Ma, L.; Yang, S.; Zhang, R. Numerical analysis of bubble characteristics in a pressurized bubble column using CFD coupled with a population balance model. Chem. Eng. Sci. 2021, 234, 116427. [Google Scholar] [CrossRef]
- Shao, P.; Liu, S.; Miao, X. CFD-PBM simulation of bubble coalescence and breakup in top blown-rotary agitated reactor. J. Iron Steel Res. Int. 2022, 29, 223–236. [Google Scholar] [CrossRef]
- Zhou, X.; Ma, Y.; Liu, M.; Zhang, Y. CFD-PBM simulations on hydrodynamics and gas-liquid mass transfer in a gas-liquid-solid circulating fluidized bed. Powder Technol. 2020, 362, 57–74. [Google Scholar] [CrossRef]
- Shu, S.; Zhang, J.; Yang, N. GPU-accelerated transient lattice Boltzmann simulation of bubble column reactors. Chem. Eng. Sci. 2020, 214, 115436. [Google Scholar] [CrossRef]
- Farsani, H.Y.; Wutz, J.; DeVincentis, B.; Thomas, J.A.; Motevalian, S.P. Modeling mass transfer in stirred microbioreactors. Chem. Eng. Sci. 2022, 248, 117146. [Google Scholar] [CrossRef]
- Kuschel, M.; Fitschen, J.; Hoffmann, M.; von Kameke, A.; Schlüter, M.; Wucherpfennig, T. Validation of Novel Lattice Boltzmann Large Eddy Simulations (LB LES) for Equipment Characterization in Biopharma. Processes 2021, 9, 950. [Google Scholar] [CrossRef]
- Gaugler, L.; Mast, Y.; Fitschen, J.; Hofmann, S.; Schlüter, M.; Takors, R. Scaling-down biopharmaceutical production processes via a single multi-compartment bioreactor (SMCB). Eng. Life Sci. 2023, 23, e2100161. [Google Scholar] [CrossRef] [PubMed]
- Hoppe, F.; Breuer, M. A deterministic breakup model for Euler-Lagrange simulations of turbulent microbubble-laden flows. Int. J. Multiph. Flow 2020, 123, 103119. [Google Scholar] [CrossRef]
- Jain, D.; Kuipers, J.; Deen, N.G. Numerical study of coalescence and breakup in a bubble column using a hybrid volume of fluid and discrete bubble model approach. Chem. Eng. Sci. 2014, 119, 134–146. [Google Scholar] [CrossRef]
- Lau, Y.M.; Bai, W.; Deen, N.G.; Kuipers, J. Numerical study of bubble break-up in bubbly flows using a deterministic Euler-Lagrange framework. Chem. Eng. Sci. 2014, 108, 9–22. [Google Scholar] [CrossRef]
- Sungkorn, R.; Derksen, J.J.; Khinast, J.G. Euler-Lagrange modeling of a gas-liquid stirred reactor with consideration of bubble breakage and coalescence. AIChE J. 2012, 58, 1356–1370. [Google Scholar] [CrossRef]
- Afra, B.; Karimnejad, S.; Amiri Delouei, A.; Tarokh, A. Flow control of two tandem cylinders by a highly flexible filament: Lattice spring IB-LBM. Ocean Eng. 2022, 250, 111025. [Google Scholar] [CrossRef]
- Afra, B.; Amiri Delouei, A.; Mostafavi, M.; Tarokh, A. Fluid-structure interaction for the flexible filament’s propulsion hanging in the free stream. J. Mol. Liq. 2021, 323, 114941. [Google Scholar] [CrossRef]
- Deen, N.G.; Solberg, T.; Hjertager, B.H. Large eddy simulation of the Gas–Liquid flow in a square cross-sectioned bubble column. Chem. Eng. Sci. 2001, 56, 6341–6349. [Google Scholar] [CrossRef]
- Thomas, J.A.; Liu, X.; DeVincentis, B.; Hua, H.; Yao, G.; Borys, M.C.; Aron, K.; Pendse, G. A mechanistic approach for predicting mass transfer in bioreactors. Chem. Eng. Sci. 2021, 237, 116538. [Google Scholar] [CrossRef]
- Hanspal, N.; DeVincentis, B.; Thomas, J.A. Modeling multiphase fluid flow, mass transfer, and chemical reactions in bioreactors using large-eddy simulation. Eng. Life Sci. 2023, 23, e2200020. [Google Scholar] [CrossRef] [PubMed]
- Maly, M.; Schaper, S.; Kuwertz, R.; Hoffmann, M.; Heck, J.; Schlüter, M. Scale-Up Strategies of Jet Loop Reactors for the Intensification of Mass Transfer Limited Reactions. Processes 2022, 10, 1531. [Google Scholar] [CrossRef]
- Tomiyama, A.; Kataoka, I.; Zun, I.; Sakaguchi, T. Drag Coefficients of Single Bubbles under Normal and Micro Gravity Conditions. JSME Int. J. Ser. B 1998, 41, 472–479. [Google Scholar] [CrossRef]
- Krüger, T.; Kusumaatmaja, H.; Kuzmin, A.; Shardt, O.; Silva, G.; Viggen, E.M. The Lattice Boltzmann Method: Principles and Practice; Springer International Publishing: Cham, Switzerland, 2017; ISBN 3319446479. [Google Scholar]
- Bhatnagar, P.L.; Gross, E.P.; Krook, M. A Model for Collision Processes in Gases. I. Small Amplitude Processes in Charged and Neutral One-Component Systems. Phys. Rev. 1954, 94, 511–525. [Google Scholar] [CrossRef]
- Saffman, P.G. The lift on a small sphere in a slow shear flow. J. Fluid Mech. 1965, 22, 385–400. [Google Scholar] [CrossRef]
- Khan, Z.; Bhusare, V.H.; Joshi, J.B. Comparison of turbulence models for bubble column reactors. Chem. Eng. Sci. 2017, 164, 34–52. [Google Scholar] [CrossRef]
- Khan, Z.; Joshi, J.B. Comparison of k–ε, RSM and LES models for the prediction of flow pattern in jet loop reactor. Chem. Eng. Sci. 2015, 127, 323–333. [Google Scholar] [CrossRef]
- Joshi, J.B.; Nere, N.K.; Rane, C.V.; Murthy, B.N.; Mathpati, C.S.; Patwardhan, A.W.; Ranade, V.V. CFD simulation of stirred tanks: Comparison of turbulence models. Part I: Radial flow impellers. Can. J. Chem. Eng. 2011, 89, 23–82. [Google Scholar] [CrossRef]
- Smagorinsky, J. General Circulation Experiments With The Primitive Equations: I. The Basic Experiment. Mon. Weather Rev. 1963, 91, 99–164. [Google Scholar] [CrossRef]
- Evrard, F.; Denner, F.; van Wachem, B. Quantifying the errors of the particle-source-in-cell Euler-Lagrange method. Int. J. Multiph. Flow 2021, 135, 103535. [Google Scholar] [CrossRef]
- Liao, Y.; Lucas, D. A literature review of theoretical models for drop and bubble breakup in turbulent dispersions. Chem. Eng. Sci. 2009, 64, 3389–3406. [Google Scholar] [CrossRef]
- Hinze, J.O. Turbulence, 2nd ed.; reissued; McGraw-Hill: New York, NY, USA, 1975; ISBN 0070290377. [Google Scholar]
- Kolmogorov, A.N. On the breakage of drops in a turbulent flow. Dokl. Akad. Navk. SSSR 1949, 66, 825–828. [Google Scholar]
- Kuboi, R.; Komasawa, I.; Otake, T. Behavior Of Dispersed Particles In Turbulent Liquid Flow. J. Chem. Eng. Jpn./JCEJ 1972, 5, 349–355. [Google Scholar] [CrossRef]
- Hesketh, R.P.; Etchells, A.W.; Russell, T.W.F. Experimental observations of bubble breakage in turbulent flow. Ind. Eng. Chem. Res. 1991, 30, 835–841. [Google Scholar] [CrossRef]
- Coulaloglou, C.A.; Tavlarides, L.L. Description of interaction processes in agitated liquid-liquid dispersions. Chem. Eng. Sci. 1977, 32, 1289–1297. [Google Scholar] [CrossRef]
- Shuai, Y.; Wang, X.; Huang, Z.; Sun, J.; Yang, Y.; Liao, Z.; Wang, J.; Yang, Y. Experimental measurement of bubble breakup in a jet bubbling reactor. AIChE J. 2021, 67, e17062. [Google Scholar] [CrossRef]
- Solsvik, J.; Jakobsen, H.A. Single Air Bubble Breakup Experiments in Stirred Water Tank. Int. J. Chem. React. Eng. 2015, 13, 477–491. [Google Scholar] [CrossRef]
- Andersson, R.; Andersson, B. On the breakup of fluid particles in turbulent flows. AIChE J. 2006, 52, 2020–2030. [Google Scholar] [CrossRef]
- Martinez-Bazan, C.; Montañés, J.L.; Lasheras, J.C. On the breakup of an air bubble injected into a fully developed turbulent flow. Part 1. Breakup frequency. J. Fluid Mech. 1999, 401, 157–182. [Google Scholar] [CrossRef]
- Wilkinson, P.M. Physical Aspects and Scale-Up of High Pressure Bubble Columns. Ph.D. Thesis, Rijksuniversiteit Groningen, Groningen, The Netherlands, 1991. [Google Scholar]
- Wang, T.; Wang, J.; Jin, Y. Population Balance Model for Gas−Liquid Flows: Influence of Bubble Coalescence and Breakup Models. Ind. Eng. Chem. Res. 2005, 44, 7540–7549. [Google Scholar] [CrossRef]
- Guo, K.; Wang, T.; Liu, Y.; Wang, J. CFD-PBM simulations of a bubble column with different liquid properties. Chem. Eng. J. 2017, 329, 116–127. [Google Scholar] [CrossRef]
- Battistella, A.; Aelen, S.; Roghair, I.; van Sint Annaland, M. Euler-Lagrange Modeling of Bubbles Formation in Supersaturated Water. ChemEngineering 2018, 2, 39. [Google Scholar] [CrossRef]
- Galinat, S.; Risso, F.; Masbernat, O.; Guiraud, P. Dynamics of drop breakup in inhomogeneous turbulence at various volume fractions. J. Fluid Mech. 2007, 578, 85–94. [Google Scholar] [CrossRef]
- Prince, M.J.; Blanch, H.W. Bubble coalescence and break-up in air-sparged bubble columns. AIChE J. 1990, 36, 1485–1499. [Google Scholar] [CrossRef]












| Properties | Boundary Conditions | Units |
|---|---|---|
| Fluid inlet | Volume flow: 0.6, 0.9, 1.2, 1.5 | L s−1 |
| Air inlet | Volume flow: 4 | L min−1 |
| Outlet | Degassing | |
| Wall | No-slip | |
| Initial bubble size | 16 | mm |
| Column diameter | 0.2 | m |
| Column height | 1.3 | m |
| Multiphase | Euler-Euler | |
| Ring sparger diameter | Ring diameter × tube diameter (8.8 × 0.9) | cm |
| Fluid inlet diameter | 24 | mm |
| Population balance model | Discrete with 20 bins in range [1–16 mm] | |
| Breakage model | Luo et al. and Lehr et al. | |
| Turbulence | RNG k- model | |
| Phase interactions | ||
| Drag | [25] | |
| Solution methods | ||
| Pressure-velocity coupling | Phase coupled SIMPLE | |
| Gradient | Least Squares Cell Based | |
| Pressure | Body Force Weighted | |
| Momentum | QUICK | |
| Volume fraction | QUICK | |
| Turbulent kinetic energy | Second Order Upwind | |
| Turbulent dissipation rate | Second Order Upwind | |
| Phase-2 Bin | Second Order Upwind | |
| Transient Formulation | Bounded Second Order Implicit | |
| Time step size | 0.01 | s |
| Total mesh size | 862,750 |
| Properties | Boundary Conditions | Units |
|---|---|---|
| Fluid inlet | Volume flow: 0.6, 0.9, 1.2, 1.5 | L s−1 |
| Air inlet | Volume flow: 4 | L min−1 |
| Outlet | Free Surface | |
| Wall | No-slip | |
| Initial bubble size | 16 | mm |
| Column diameter | 0.2 | m |
| Column height | 1.3 | m |
| Ring sparger diameter | Ring diameter × tube diameter (8.8 × 0.9) | cm |
| Fluid inlet diameter | 24 | mm |
| Multiphase | Euler-Lagrange | |
| Breakage model | Modified Weber number | |
| Turbulence | LES | |
| Sub-grid model | [32] | |
| Smagorinsky coefficient | 0.1 | |
| Phase interactions | ||
| Drag | [25] | |
| Lift | [28] | |
| Fluid-bubble coupling | Density | |
| Velocity vector set | D3Q19 | |
| Time step size | Between 3 × 10−6 s and 1.6 × 10−5 s | s |
| Total mesh size | 24.1 M |
| Luo et al. [4] | Lehr et al. [1] | ||
|---|---|---|---|
| Critical Weber number | 7 | 11 | |
| Min. Daughter Volume, Fraction and Increment | ; | 0.01 | 0.01 |
| Min. Time Between to Breakages | 10 ms | 250 ms | |
| Daughter Size Distribution | Original U-Shape | Original M-Shape | |
| Constant in DSD | 0.08 W m−3 | 0.1 W m−3 |
Disclaimer/Publisher’s Note: The statements, opinions and data contained in all publications are solely those of the individual author(s) and contributor(s) and not of MDPI and/or the editor(s). MDPI and/or the editor(s) disclaim responsibility for any injury to people or property resulting from any ideas, methods, instructions or products referred to in the content. |
© 2023 by the authors. Licensee MDPI, Basel, Switzerland. This article is an open access article distributed under the terms and conditions of the Creative Commons Attribution (CC BY) license (https://creativecommons.org/licenses/by/4.0/).
Share and Cite
Mast, Y.; Takors, R. Transferring Bubble Breakage Models Tailored for Euler-Euler Approaches to Euler-Lagrange Simulations. Processes 2023, 11, 1018. https://doi.org/10.3390/pr11041018
Mast Y, Takors R. Transferring Bubble Breakage Models Tailored for Euler-Euler Approaches to Euler-Lagrange Simulations. Processes. 2023; 11(4):1018. https://doi.org/10.3390/pr11041018
Chicago/Turabian StyleMast, Yannic, and Ralf Takors. 2023. "Transferring Bubble Breakage Models Tailored for Euler-Euler Approaches to Euler-Lagrange Simulations" Processes 11, no. 4: 1018. https://doi.org/10.3390/pr11041018
APA StyleMast, Y., & Takors, R. (2023). Transferring Bubble Breakage Models Tailored for Euler-Euler Approaches to Euler-Lagrange Simulations. Processes, 11(4), 1018. https://doi.org/10.3390/pr11041018

