A Square Wave Alternating Current Preheating with High Applicability and Effectiveness of Preventing Lithium Plating
Abstract
1. Introduction
2. Theoretical Considerations
2.1. Temperature Rising Model for ACP with SWAC
2.2. Analysis on Preventing Li-Ion Plating
3. Experiment
3.1. EIS Measurement
3.2. The Preheating Tests
3.3. Aging Tests with Square Wave Alternating Current
4. Results and Discussions
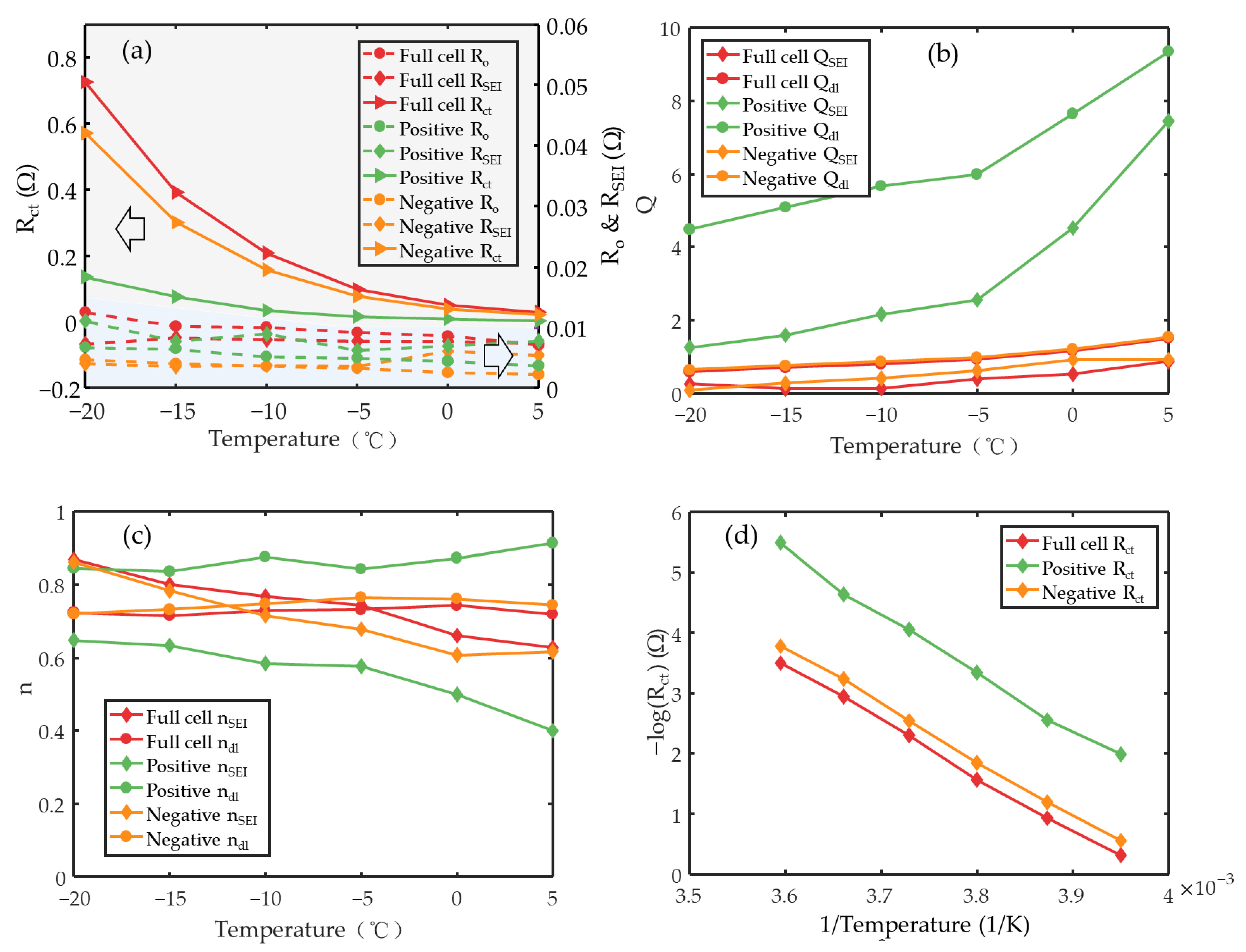
4.1. EIS Results and EEC Fitted Parameters
4.2. Model Validation and Preheating Performance
4.3. Lithium Plating Prevention for SWAC
4.3.1. The Operation Boundaries of Lithium Plating Prevention for SWAC
4.3.2. The Validation of the Operation Boundary of Lithium Plating Prevention
4.3.3. The Concern of the Battery Health
4.4. Temperature-Adaptive Preheating with SWAC
4.5. Comparisons among the Preheating Methods Based on Different Control Strategies
5. Conclusions
Supplementary Materials
Author Contributions
Funding
Data Availability Statement
Conflicts of Interest
Nomenclature
| A | period of alternating current (s) |
| c | specific heat capacity (J·g−1·K−1) |
| h | heat transfer coefficient (W·m−2·K−1) |
| i | alternating current (A) |
| I | charge/discharge current (A) |
| Iac | amplitude of alternating current (A) |
| m | cell mass (kg) |
| nSEI | exponent of constant phase element |
| ndl | exponent of constant phase element |
| q | heat generation rate (W) |
| QSEI | coefficient of constant phase element |
| Qdl | coefficient of constant phase element |
| Ro | ohmic resistance (Ω) |
| RSEI | solid electrolyte interphase resistance (Ω) |
| Rct | charge transfer resistance (Ω) |
| S | surface area of the cell (m2) |
| t | time (s) |
| T | cell temperature (K) |
| Tamb | ambient temperature (K) |
| Uoc | open-circuit voltage (V) |
| Ue | equilibrium potential (V) |
| Un | voltage (V) |
| V | terminal voltage (V) |
| V3 | voltage across charge transfer resistance of negative electrode (V) |
| ZRe | real part of impedance (Ω) |
| Z3 | impedance of charge transfer of negative electrode (Ω) |
| ω | angular frequency (rad·s−1) |
| η | over-potential of anode electrode (V) |
| φ | phase angle of impedance (rad) |
| Φ | potential (V) |
Superscript or Superscript
| l | liquid phase |
| neg | negative electrode |
| pos | positive electrode |
| s | solid phase |
| SAC | sinusoidal alternating current |
| SWAC | square wave alternating current |
Abbreviations
| ACP | alternating current preheating |
| CPE | constant phase element |
| EIS | electrochemical impedance spectroscopy |
| EEC | equivalent electrical circuit |
| EDS | energy-dispersive X-ray spectroscopy |
| ICA | incremental capacity analysis |
| IC | incremental capacity |
| LIB | lithium-ion battery |
| NRct | charge transfer impedance of negative electrode |
| OCV | open-circuit voltage |
| PRct | charge transfer impedance of positive electrode |
| RPT | reference performance test |
| SOC | state of charge |
| SEI | solid electrolyte interphase |
| SEM | scanning electron microscope |
| SEE | sum of squares due to error |
| SAC | sinusoidal alternating current |
| SWAC | square wave alternating current |
References
- Ge, H.; Aoki, T.; Ikeda, N.; Suga, S.; Isobe, T.; Li, Z.; Tabuchi, Y.; Zhang, J. Investigating Lithium Plating in Lithium-Ion Batteries at Low Temperatures Using Electrochemical Model with NMR Assisted Parameterization. J. Electrochem. Soc. 2017, 164, A1050–A1060. [Google Scholar] [CrossRef]
- Li, Z.; Huang, J.; Liaw, B.Y.; Metzler, V.; Zhang, J. A review of lithium deposition in lithium-ion and lithium metal secondary batteries. J. Power Sources 2014, 254, 168–182. [Google Scholar] [CrossRef]
- Wang, F.; Zhang, J.; Wang, L. Design of electric air-heated box for batteries in electric vehicles. Chin. J. Power Sources 2013, 37, 1184–1187. (In Chinese) [Google Scholar]
- Luo, Y.; Lang, C.; Luo, P. Study on heating system of lithium ion battery at low temperature. J. South China Univ. Technol. 2016, 44, 100–106. (In Chinese) [Google Scholar]
- Li, G.; Huang, X.; Fu, X.; Yang, Y. Design research on battery heating and preservation system based on liquid cooling mode. J. Hunan Univ. 2017, 44, 26–33. (In Chinese) [Google Scholar]
- Zhang, J.; Ge, H.; Li, Z.; Ding, Z. Internal heating of lithium-ion batteries using alternating current based on the heat generation model in frequency domain. J. Power Sources 2015, 273, 1030–1037. [Google Scholar] [CrossRef]
- Zhu, J.G.; Sun, Z.C.; Wei, X.Z.; Dai, H.F.; Gu, W.J. Experimental investigations of an AC pulse heating method for vehicular high power lithium-ion batteries at subzero temperatures. J. Power Sources 2017, 367, 145–157. [Google Scholar] [CrossRef]
- Jiang, J.; Ruan, H.; Sun, B.; Wang, L.; Gao, W.; Zhang, W. A low-temperature internal heating strategy without lifetime reduction for large-size automotive lithium-ion battery pack. Appl. Energy 2018, 230, 257–266. [Google Scholar] [CrossRef]
- Shang, Y.; Zhu, C.; Lu, G.; Zhang, Q.; Cui, N.; Zhang, C. Modeling and analysis of high-frequency alternating-current heating for lithium-ion batteries under low-temperature operations. J. Power Sources 2020, 450, 227435. [Google Scholar] [CrossRef]
- Li, Y.; Gao, X.; Qin, Y.; Du, J.; Guo, D.; Feng, X.; Lu, L.; Han, X.; Ouyang, M. Drive circuitry of an electric vehicle enabling rapid heating of the battery pack at low temperatures. iScience 2021, 24, 101921. [Google Scholar] [CrossRef]
- Ge, H.; Huang, J.; Zhang, J.; Li, Z. Temperature-Adaptive Alternating Current Preheating of Lithium-Ion Batteries with Lithium Deposition Prevention. J. Electrochem. Soc. 2015, 163, A290–A299. [Google Scholar] [CrossRef]
- Wu, X.; Cui, Z.; Chen, E.; Du, J. Capacity degradation minimization oriented optimization for the pulse preheating of lithium-ion batteries under low temperature. J. Energy Storage 2020, 31, 101746. [Google Scholar] [CrossRef]
- Ruan, H.; Jiang, J.; Sun, B.; Zhang, W.; Gao, W.; Wang, L.Y.; Ma, Z. A rapid low-temperature internal heating strategy with optimal frequency based on constant polarization voltage for lithium-ion batteries. Appl. Energy 2016, 177, 771–782. [Google Scholar] [CrossRef]
- Zhu, J.; Sun, Z.; Wei, X.; Dai, H. An alternating current heating method for lithium-ion batteries from subzero temperatures. Int. J. Energy Res. 2016, 40, 1869–1883. [Google Scholar] [CrossRef]
- Guo, S.; Xiong, R.; Wang, K.; Sun, F. A novel echelon internal heating strategy of cold batteries for all-climate electric vehicles application. Appl. Energy 2018, 219, 256–263. [Google Scholar] [CrossRef]
- Jian, J.; Zhang, Z.; Wang, S.; Gong, J. Analysis of control strategies in alternating current preheating of lithium-ion cell. Appl. Energy 2023, 333, 120533. [Google Scholar] [CrossRef]
- Li, Y.; Han, X.; Feng, X.; Chu, Z.; Gao, X.; Li, R.; Du, J.; Lu, L.; Ouyang, M. Errors in the reference electrode measurements in real lithium-ion batteries. J. Power Sources 2021, 481, 228933. [Google Scholar] [CrossRef]
- Chu, Z.; Feng, X.; Liaw, B.; Li, Y.; Lu, L.; Li, J.; Han, X.; Ouyang, M. Testing Lithium-Ion Battery with the Internal Reference Electrode: An Insight into the Blocking Effect. J. Electrochem. Soc. 2018, 165, A3240–A3248. [Google Scholar] [CrossRef]
- Raccichini, R.; Amores, M.; Hinds, G. Critical Review of the Use of Reference Electrodes in Li-Ion Batteries: A Diagnostic Perspective. Batteries 2019, 5, 12. [Google Scholar] [CrossRef]
- Timmons, A.T.; Verbrugge, M.W. Lithium-Ion Cell with an Array of Reference Electrodes. U.S. Patent 8,586,222 B2, 8 April 2010. [Google Scholar]
- Wang, S.; Wang, J.; Soukiazian, S.; Sherman, E. U.S. Patent 9,847,558 B1, 10 October 2014.
- Wijayawardhana, C.; Neumann, G.; Gulde, P. U.S. Patent 2013/0323542 A1, 12 October 2011.
- Liu, J.; Han, X.; Chu, Z.; Lu, L.; Ouyang, M.; Zheng, Y. China Patent CN 110702751 A, 17 January 2020.
- Gordon, I.J.; Grugeon, S.; Débart, A.; Pascaly, G.; Laruelle, S. Electrode contributions to the impedance of a high-energy density Li-ion cell designed for EV applications. Solid State Ion. 2013, 237, 50–55. [Google Scholar] [CrossRef]
- Qu, Z.G.; Jiang, Z.Y.; Wang, Q. Experimental study on pulse self–heating of lithium–ion battery at low temperature. Int. J. Heat Mass Transf. 2019, 135, 696–705. [Google Scholar] [CrossRef]
- Qin, Y.; Du, J.; Lu, L.; Gao, M.; Haase, F.; Li, J.; Ouyang, M. A rapid lithium-ion battery heating method based on bidirectional pulsed current: Heating effect and impact on battery life. Appl. Energy 2020, 280, 115957. [Google Scholar] [CrossRef]
- Wu, B.; Li, Z.; Zhang, J. Thermal Design for the Pouch-Type Large-Format Lithium-Ion Batteries. J. Electrochem. Soc. 2014, 162, A181–A191. [Google Scholar] [CrossRef]
- Zhang, J.; Huang, J.; Li, Z.; Wu, B.; Nie, Z.; Sun, Y.; An, F.; Wu, N. Comparison and validation of methods for estimating heat generation rate of large-format lithium-ion batteries. J. Therm. Anal. Calorim. 2014, 117, 447–461. [Google Scholar] [CrossRef]
- Zhang, G.; Cao, L.; Ge, S.; Wang, C.-Y.; Shaffer, C.E.; Rahn, C.D. In situ measurement of radial temperatur distributions in cylindrical Li ion cells. J. Electrochem. Soc. 2014, 161, A1499. [Google Scholar] [CrossRef]
- Petzl, M.; Danzer, M.A. Nondestructive detection, characterization, and quantification of lithium plating in commercial lithium-ion batteries. J. Power Sources 2014, 254, 80–87. [Google Scholar] [CrossRef]
- Legrand, N.; Knosp, B.; Desprez, P.; Lapicque, F.; Raël, S. Physical characterization of the charging process of a Li-ion battery and prediction of Li plating by electrochemical modelling. J. Power Sources 2014, 245, 208–216. [Google Scholar] [CrossRef]
- Tippmann, S.; Walper, D.; Balboa, L.; Spier, B.; Bessler, W.G. Low-temperature charging of lithium-ion cells part I: Electrochemical modeling and experimental investigation of degradation behavior. J. Power Sources 2014, 252, 305–316. [Google Scholar] [CrossRef]
- Meyers, J.P.; Doyle, M.; Darling, R.M.; Newman, J. The impedance response of a porous electrode composed of intercalation particles. J. Electrochem. Soc. 2000, 147, 2930. [Google Scholar] [CrossRef]
- Wang, Z.; Li, Z.; Huang, J.; Zhang, J. Formation of a lithium-plated reference electrode in lithium-ion cells: Characterization using dynamic impedance and simulation using electrochemical model. ECS Trans. 2017, 75, 151. [Google Scholar] [CrossRef]
- Zhang, Z.; Li, Z.; Yang, X.; Gong, J.; Zhang, J. Thermal management of parallel cells—Methodology based on non-linear dynamics. eTransportation 2022, 13, 100181. [Google Scholar] [CrossRef]
- Jow, T.R.; Delp, S.A.; Allen, J.L.; Jones, J.-P.; Smart, M.C. Factors Limiting Li+Charge Transfer Kinetics in Li-Ion Batteries. J. Electrochem. Soc. 2018, 165, A361–A367. [Google Scholar] [CrossRef]
- Dubarry, M.; Dubarry, M.; Svoboda, V.; Hwu, R.; Liaw, B.Y. Incremental capacity analysis and close-to-equilibrium OCV measurements to quantify capacity fade in commercial rechargeable lithium batteries. Electrochem. Solid State Lett. 2006, 9, A454. [Google Scholar] [CrossRef]
- Waldmann, T.; Hogg, B.-I.; Wohlfahrt-Mehrens, M. Li plating as unwanted side reaction in commercial Li-ion cells—A review. J. Power Sources 2018, 384, 107–124. [Google Scholar] [CrossRef]














| Item | Values |
|---|---|
| Battery type | Laminated lithium-ion model battery |
| Anode | Graphite |
| Cathode | LiNi1/3Co1/3Mn1/3O2 |
| Electrolyte | LiPF6 in organic solvent |
| Reference electrode | Li metal deposited on copper wire (100 μm) |
| Battery mass | 56 g |
| Length and width | 117 mm and 43 mm |
| Specific heat capacity | 1.24 Jg−1 K−1 |
| SOC | 50% |
| Capacity | 3.1 Ah |
| Test | Item | Value | |
|---|---|---|---|
| EIS tests | SOC | 50% | |
| Battery temperature | −20 °C, −15 °C, −10 °C, −5 °C, 0 °C, 5 °C, 15 °C, 25 °C | ||
| Preheating tests | Current parameters | SWAC/SAC: 0.1 Hz 3 A, 0.1 Hz 5 A, 1 Hz 5 A | |
| Thermal insulation condition | The experimental battery was laid in a foam box; the calibrated coefficients of heat transfer in different temperature ranges are presented in the Supplementary Figure S2 | ||
| Aging tests | Repeated preheating tests | SOC | 50% |
| Battery temperature | −20 °C | ||
| Control parameters | SWAC: the frequency is set to 50 Hz; the amplitude is plotted in Figure 7 | ||
| Performance tests | Battery temperature | 25 °C | |
| RPT | Profile refers to the paper [6], the discharge rate adopts C/2 | ||
| ICA | 1/25 C discharge until 2.5 V | ||
| Frequency (Hz) | p1 | p2 | SEE |
|---|---|---|---|
| 100 | 3378.2 | −15.1 | 0.0003 |
| 200 | 3266.8 | −15.2 | 0.0025 |
| 300 | 3240.9 | −15.3 | 0.0047 |
| 400 | 3234.1 | −15.5 | 0.0064 |
Disclaimer/Publisher’s Note: The statements, opinions and data contained in all publications are solely those of the individual author(s) and contributor(s) and not of MDPI and/or the editor(s). MDPI and/or the editor(s) disclaim responsibility for any injury to people or property resulting from any ideas, methods, instructions or products referred to in the content. |
© 2023 by the authors. Licensee MDPI, Basel, Switzerland. This article is an open access article distributed under the terms and conditions of the Creative Commons Attribution (CC BY) license (https://creativecommons.org/licenses/by/4.0/).
Share and Cite
Liu, G.; Zhang, Z.; Gong, J.; Li, Q.; Zhou, Y.; Zou, H. A Square Wave Alternating Current Preheating with High Applicability and Effectiveness of Preventing Lithium Plating. Processes 2023, 11, 1089. https://doi.org/10.3390/pr11041089
Liu G, Zhang Z, Gong J, Li Q, Zhou Y, Zou H. A Square Wave Alternating Current Preheating with High Applicability and Effectiveness of Preventing Lithium Plating. Processes. 2023; 11(4):1089. https://doi.org/10.3390/pr11041089
Chicago/Turabian StyleLiu, Guanlin, Zeping Zhang, Jinke Gong, Qiong Li, Yun Zhou, and Hongfu Zou. 2023. "A Square Wave Alternating Current Preheating with High Applicability and Effectiveness of Preventing Lithium Plating" Processes 11, no. 4: 1089. https://doi.org/10.3390/pr11041089
APA StyleLiu, G., Zhang, Z., Gong, J., Li, Q., Zhou, Y., & Zou, H. (2023). A Square Wave Alternating Current Preheating with High Applicability and Effectiveness of Preventing Lithium Plating. Processes, 11(4), 1089. https://doi.org/10.3390/pr11041089
