CFD Simulation on Pressure Profile for Direct Contact Condensation of Steam Jet in a Narrow Pipe
Abstract
1. Introduction
2. Numerical Method
2.1. Physical Problem
2.2. Simulation Zone and Grid Solution
2.3. Model Settings and Boundary Conditions
2.4. Condensation Model
2.5. Grid Independency and Model Validation
3. Results and Discussion
3.1. Profile of the Total Pressure
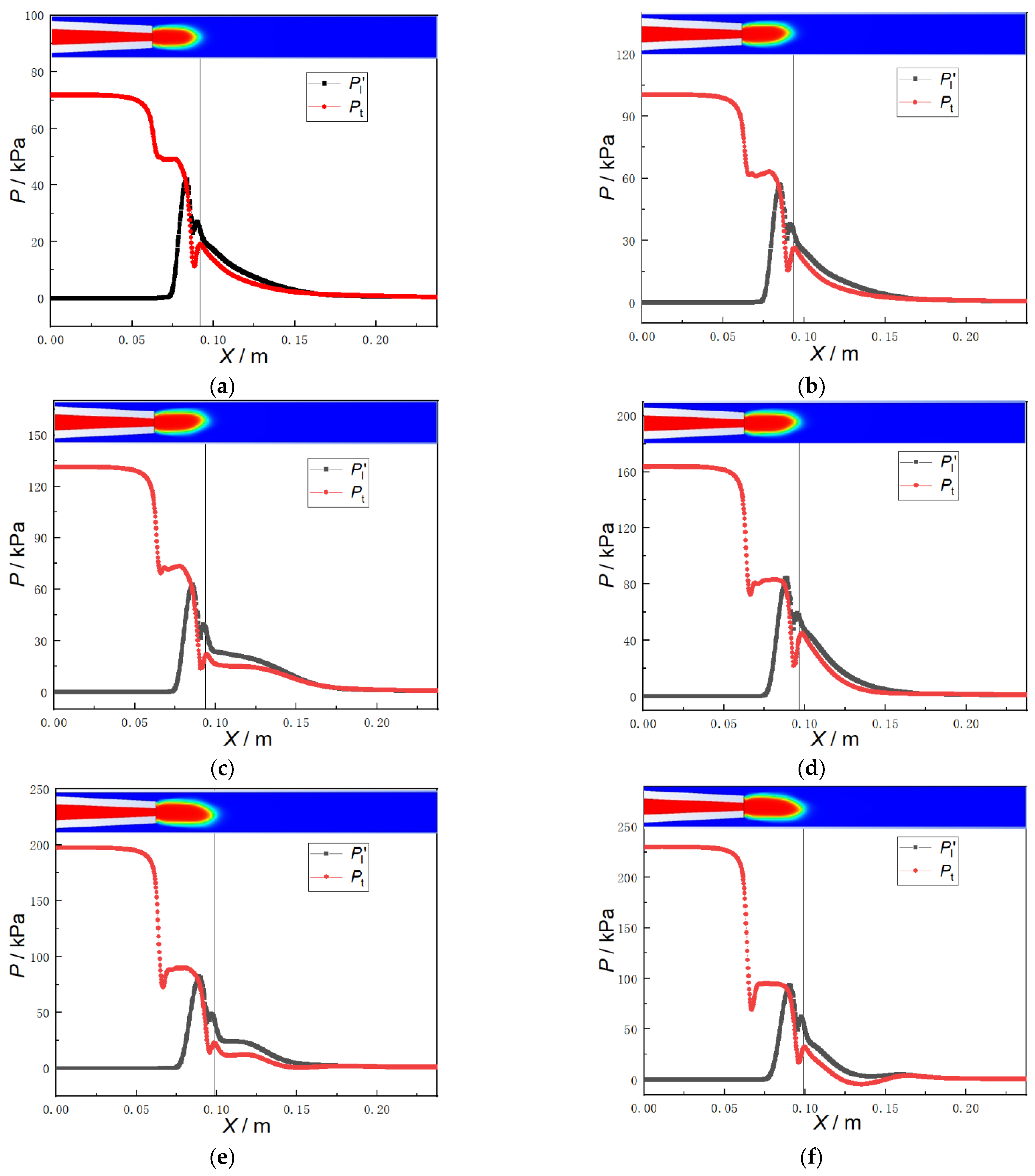
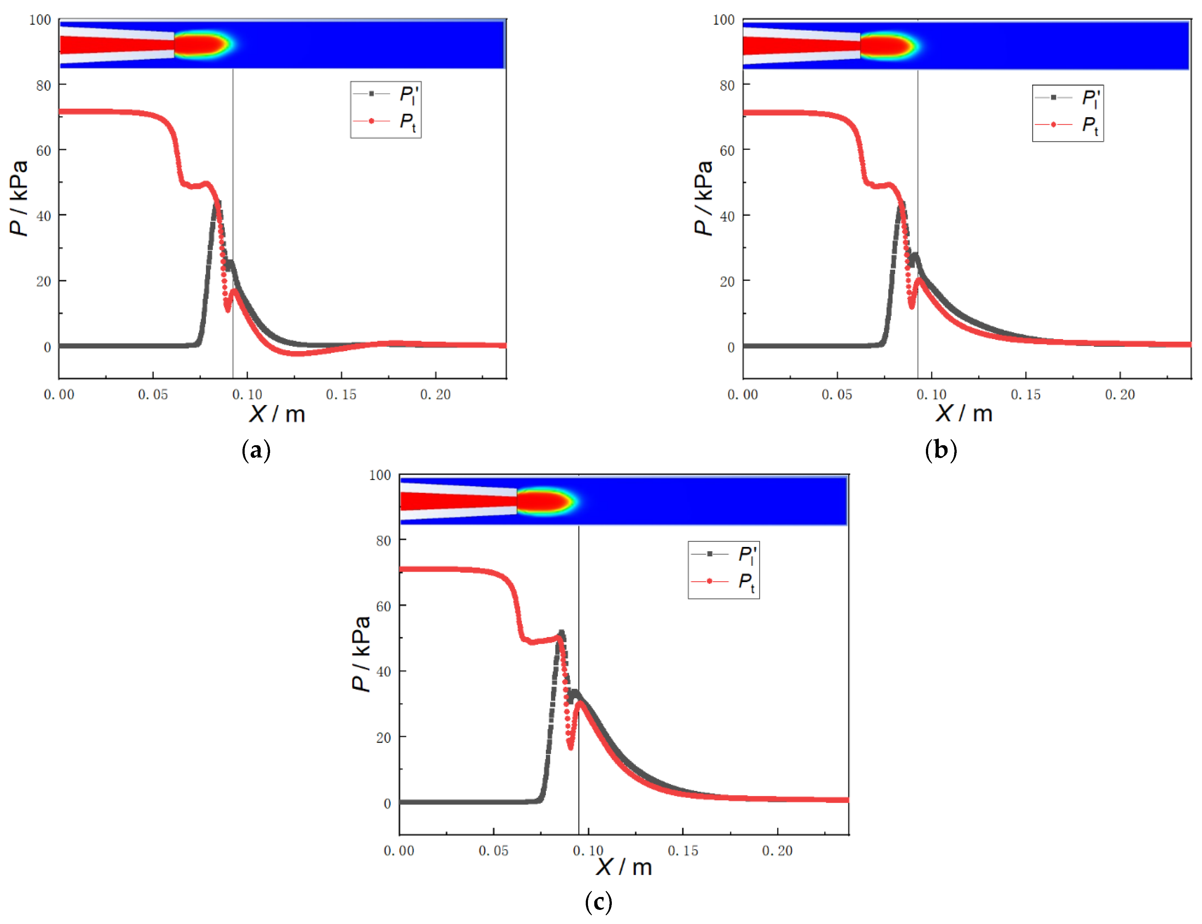
3.2. The Relationship between Total Pressure, Static Pressure and Dynamic Pressure
3.3. The Peak of Water Dynamic Pressure
4. Conclusions
- By analyzing the axial total pressure profile and gas volume fraction contour, it was found that a pressure jump phenomenon, known as condensation shock wave, occurred in the total pressure profile corresponding to the tail of the steam plume.
- The sudden increase in total pressure at the location of condensation completion, observed at the trailing edge of steam plume, is accompanied by a similar sudden rise in dynamic pressure of the subcooled water. Therefore, it can be inferred that the sudden rise in dynamic pressure of the water is the primary cause of the observed total pressure jump at the trailing edge of steam plume.
- The peak of water dynamic pressure was discussed under different steam inlet pressures, water inlet temperatures, and the Reynolds number of water flow, further validating that the dynamic pressure rise of subcooled water is the cause of total pressure rise.
Author Contributions
Funding
Data Availability Statement
Conflicts of Interest
References
- Madejski, P.; Kuś, T.; Michalak, P.; Karch, M.; Subramanian, N. Direct Contact Condensers: A Comprehensive Review of Experimental and Numerical Investigations on Direct-Contact Condensation. Energies 2022, 15, 9312. [Google Scholar] [CrossRef]
- Mahood, H.B.; Campbell, A.N.; Thorpe, R.B.; Sharif, A.O. Experimental measurements and theoretical prediction for the volumetric heat transfer coefficient of a three-phase direct contact condenser. Int. Commun. Heat Mass Transf. 2015, 66, 180–188. [Google Scholar] [CrossRef]
- Baqir, A.S.; Mahood, H.B.; Sayer, A.H. Temperature distribution measurements and modelling of a liquid-liquid-vapour spray column direct contact heat exchanger. Appl. Therm. Eng. 2018, 139, 542–551. [Google Scholar] [CrossRef]
- Barton, P.T.; Obadia, B.; Drikakis, D. A conservative level-set based method for compressible solid/fluid problems on fixed grids. J. Comput. Phys. 2011, 230, 7867–7890. [Google Scholar] [CrossRef]
- Gulawani, S.S.; Joshi, J.B.; Shah, M.S.; RamaPrasad, C.S.; Shukla, D.S. CFD analysis of flow pattern and heat transfer in direct contact steam condensation. Chem. Eng. Sci. 2006, 61, 5204–5220. [Google Scholar] [CrossRef]
- Shah, A.; Chughtai, I.R.; Inayat, M.H. Experimental study of the characteristics of steam jet pump and effect of mixing section length on direct-contact condensation. Int. J. Heat Mass Transf. 2013, 58, 62–69. [Google Scholar] [CrossRef]
- Shah, A.; Chughtai, I.R.; Inayat, M.H. Experimental and numerical investigation of the effect of mixing section length on direct-contact condensation in steam jet pump. Int. J. Heat Mass Transf. 2014, 72, 430–439. [Google Scholar] [CrossRef]
- Zhou, L.; Chen, W.; Chong, D.; Liu, J.; Yan, J. Numerical investigation on flow characteristic of supersonic steam jet condensed into a water pool. Int. J. Heat Mass Transf. 2017, 108, 351–361. [Google Scholar] [CrossRef]
- Zhou, L.; Liu, J.; Chong, D.; Yan, J. Numerical analysis on pressure profile for sonic steam jet condensed into subcooled water. Int. J. Heat Mass Transf. 2016, 99, 53–64. [Google Scholar] [CrossRef]
- Qu, X.; Sui, H.; Tian, M. CFD simulation of steam–air jet condensation. Nucl. Eng. Des. 2016, 297, 44–53. [Google Scholar] [CrossRef]
- Qu, X.; Revankar, S.T.; Tian, M. Numerical simulation of bubble formation and condensation of steam air mixture injected in subcooled pool. Nucl. Eng. Des. 2017, 320, 123–132. [Google Scholar] [CrossRef]
- Qu, X.; Tian, M.; Zhang, G.; Leng, X. Experimental and numerical investigations on the air–steam mixture bubble condensation characteristics in stagnant cool water. Nucl. Eng. Des. 2015, 285, 188–196. [Google Scholar] [CrossRef]
- Patel, G.; Tanskanen, V.; Kyrki-Rajamäki, R. Numerical modelling of low-Reynolds number direct contact condensation in a suppression pool test facility. Ann. Nucl. Energy 2014, 71, 376–387. [Google Scholar] [CrossRef]
- Tanskanen, V.; Jordan, A.; Puustinen, M.; Kyrki-Rajamäki, R. CFD simulation and pattern recognition analysis of the chugging condensation regime. Ann. Nucl. Energy 2014, 66, 133–143. [Google Scholar] [CrossRef]
- Li, S.; Wang, P.; Lu, T. Numerical simulation of direct contact condensation of subsonic steam injected in a water pool using VOF method and LES turbulence model. Prog. Nucl. Energy 2015, 78, 201–215. [Google Scholar] [CrossRef]
- Chan, C.K.; Lee, C.K.B. A regime map for direct contact condensation. Int. J. Multiph. Flow 1982, 8, 11–20. [Google Scholar] [CrossRef]
- Kim, H.Y.; Bae, Y.Y.; Song, C.H.; Park, J.K.; Sang, M.C. Experimental study on stable steam condensation in a quenching tank. Int. J. Energy Res. 2001, 25, 239–252. [Google Scholar] [CrossRef]
- Del Tin, G.; Lavagno, E.; Malandrone, M. Experimental Study on Steam Jet Condensation in Subcooled Water Pool. In Multi-Phase Flow and Heat Transfer Symposium-Workshop. 3; University of Miami: Coral Gables, FL, USA, 1983; pp. 134–136. [Google Scholar]
- Yan, J.; Wu, X.; Chong, D. Experimental study on pressure and temperature distributions for low mass flux steam jet in subcooled water. Sci. China Technol. Sci. 2009, 52, 1493–1501. [Google Scholar] [CrossRef]
- Wu, X.; Yan, J.; Li, W.; Pan, D.; Liu, G. Experimental study on a steam-driven turbulent jet in subcooled water. Nucl. Eng. Des. 2010, 240, 3259–3266. [Google Scholar] [CrossRef]
- Wu, X.; Li, W.; Yan, J. Research on axial total pressure profiles of sonic steam jet in subcooled water. Nucl. Power Eng. 2012, 33, 76–80. (In Chinese) [Google Scholar]
- Chen, X.; Tian, M.; Zhang, G.; Leng, X.; Qiu, Y.; Zhang, J. Visualization study on direct contact condensation characteristics of sonic steam jet in subcooled water flow in a restricted channel. Int. J. Heat Mass Transf. 2019, 145, 118761. [Google Scholar] [CrossRef]
- Ishii, M.; Hibiki, T. Thermo-Fluid Dynamics of Two-Phase Flow; Springer: New York, NY, USA, 2010. [Google Scholar]
- ANSYS®. Academic Research, Release 15.0, Help System. In ANSYS CFX-Solver Theory Guide; ANSYS Inc.: Canonsburg, PA, USA, 2013. [Google Scholar]
- Chen, X.; Tian, M.; Qu, X.; Zhang, Y. Numerical investigation on the interfacial characteristics of steam jet condensation in subcooled water flow in a restricted channel. Int. J. Heat Mass Transf. 2019, 137, 908–921. [Google Scholar] [CrossRef]











Disclaimer/Publisher’s Note: The statements, opinions and data contained in all publications are solely those of the individual author(s) and contributor(s) and not of MDPI and/or the editor(s). MDPI and/or the editor(s) disclaim responsibility for any injury to people or property resulting from any ideas, methods, instructions or products referred to in the content. |
© 2023 by the authors. Licensee MDPI, Basel, Switzerland. This article is an open access article distributed under the terms and conditions of the Creative Commons Attribution (CC BY) license (https://creativecommons.org/licenses/by/4.0/).
Share and Cite
Chen, X.; Fang, L.; Jiao, S.; Zhang, J.; Shi, L.; Li, B.; Tang, L. CFD Simulation on Pressure Profile for Direct Contact Condensation of Steam Jet in a Narrow Pipe. Processes 2023, 11, 1821. https://doi.org/10.3390/pr11061821
Chen X, Fang L, Jiao S, Zhang J, Shi L, Li B, Tang L. CFD Simulation on Pressure Profile for Direct Contact Condensation of Steam Jet in a Narrow Pipe. Processes. 2023; 11(6):1821. https://doi.org/10.3390/pr11061821
Chicago/Turabian StyleChen, Xianbing, Liwei Fang, Shouyi Jiao, Jingzhi Zhang, Leitai Shi, Bangming Li, and Linghong Tang. 2023. "CFD Simulation on Pressure Profile for Direct Contact Condensation of Steam Jet in a Narrow Pipe" Processes 11, no. 6: 1821. https://doi.org/10.3390/pr11061821
APA StyleChen, X., Fang, L., Jiao, S., Zhang, J., Shi, L., Li, B., & Tang, L. (2023). CFD Simulation on Pressure Profile for Direct Contact Condensation of Steam Jet in a Narrow Pipe. Processes, 11(6), 1821. https://doi.org/10.3390/pr11061821

