Energy Storage Deployment and Benefits in the Chinese Electricity Market Considering Renewable Energy Uncertainty and Energy Storage Life Cycle Costs
Abstract
1. Introduction
1.1. Literature Review
1.2. Aims and Contributions
- (1)
- Compared to other existing studies, this study focuses on the comprehensive assessment of revenue generation throughout the entire lifecycle of different types of energy storage systems in the Chinese power market. The primary contribution of this paper is in undertaking decision-making simulations for energy storage investments in the Chinese power market, and providing valuable insights related to investment and the operational practices of market participants;
- (2)
- Compared to the existing literature, the energy storage revenue assessment model constructed in this paper encompasses the majority of revenue sources related to energy storage in the current Chinese power market, providing a comprehensive statistical comparison of indicators. Furthermore, the improved Grey Wolf Optimizer algorithm employed in this paper represents an extension and enrichment of methodologies applied to optimization problems in the power market;
- (3)
- This paper, in constructing scenarios of energy storage in the Chinese power market, takes into account dual dimensions of different market types and different seasons. It determines that the revenue assessment of energy storage in the power market should be undertaken in a specific way according to specific scenarios. The research findings of this paper enrich the design of energy storage application scenarios, promoting the integration of model construction and practical implementations.
2. Methods and Models
2.1. Comprehensive Revenue Modeling of Energy Storage in the Electricity Market
2.1.1. Revenue Modeling of Energy Storage Operations
- (1)
- Energy Storage Arbitrage Revenue Model
- (2)
- Energy storage subsidy revenue model
- (3)
- Energy Storage Peaking Revenue Modeling
- (4)
- Energy Storage Frequency Modulation Revenue Model
- (5)
- Energy Storage Rotating Standby Revenue Model
2.1.2. Energy Storage Cost Modeling
- (1)
- Fixed cost model for energy storage
- (2)
- Energy storage O&M cost model
- (3)
- Energy storage ancillary services cost model
2.1.3. Energy Storage Operating Losses and Constraint Reduction
- (1)
- Energy conservation constraint: Considering energy losses, the energy storage system, operating under the objective of recycling, must adhere to charge/discharge conservation constraints in a single charge/discharge cycle.
- (2)
- Power constraints: When charging and discharging the energy storage system, the maximum charging and discharging power, as well as power constraints, must be satisfied. Here, the formula begins to undergo changes.
- (3)
- System load constraints: The equivalent load of the system, incorporating energy storage, should not exceed the maximum load after the peak shaving effect is generated.
- (4)
- Charging and discharging time constraints: Since the energy storage system cannot be charged and discharged simultaneously during the same time period, it must also satisfy the following constraints:
- (5)
- Energy storage system load ratio constraints:
2.2. The Method for Solving the Energy Storage Revenue Model
2.2.1. Improved Gray Wolf Optimization Algorithm
- (1)
- Nonlinear convergence factor adjustment strategy
- (2)
- Adaptive displacement strategy
2.2.2. Steps to Improve the Gray Wolf Algorithm
3. Simulation Results and Discussion
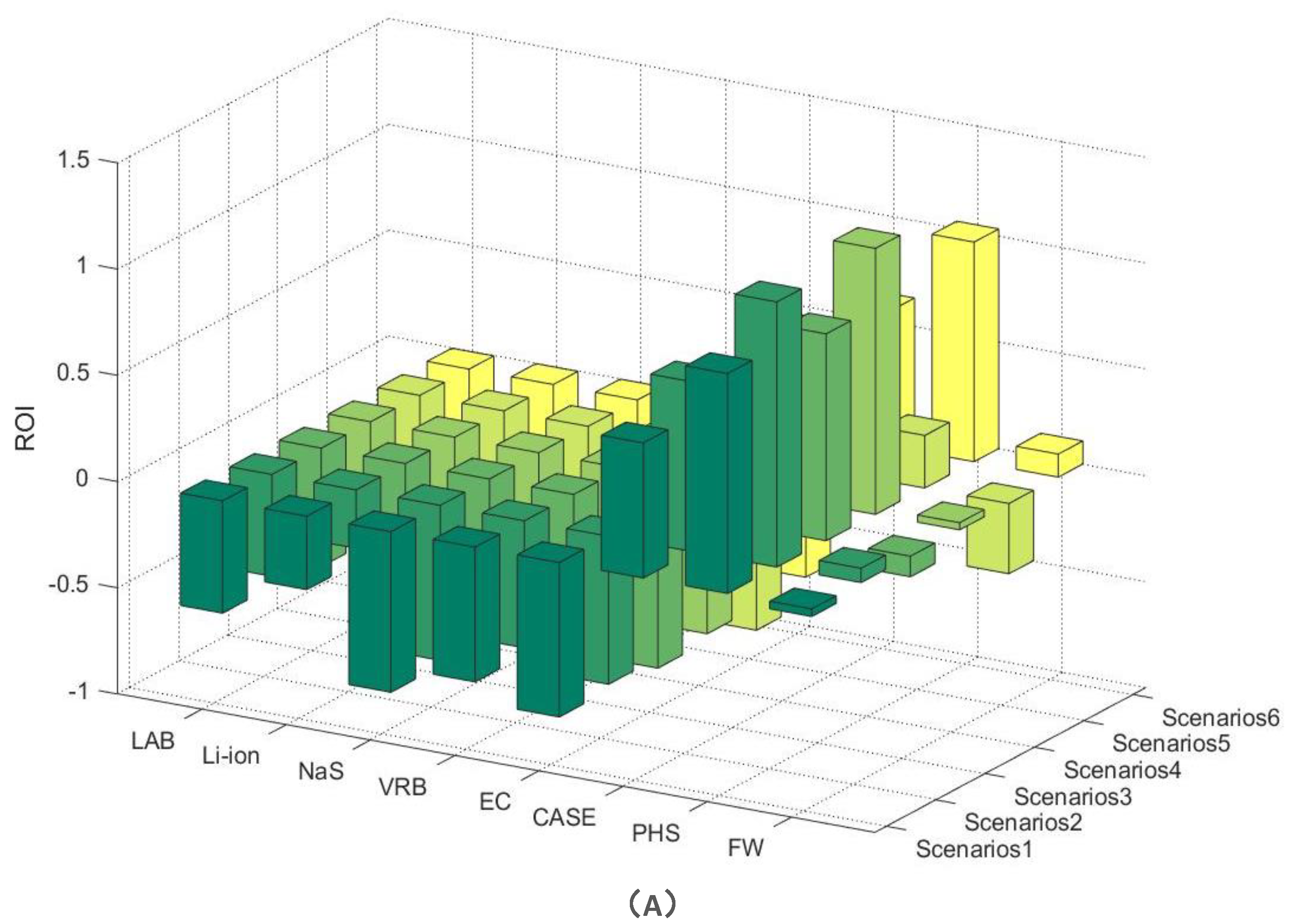
- (1)
- Measured direct benefits of energy storage investments under each scenario.
- (2)
- Comparison of whole lifecycle benefits of various types of energy storage
- (3)
- Analysis of Factors Affecting the Benefits of Energy Storage
4. Conclusions
- (1)
- The high-load seasons, namely, winter and summer, exhibit significant peak-to-valley differences in load, resulting in a high demand for energy storage. On the other hand, the load curve during spring and other low-load seasons is relatively smooth, leading to a smaller demand for energy storage. The peak and valley differences affect both the charging and discharging depths of energy storage and the level of revenue. Therefore, the trend of peak and valley differences can serve as a benchmark for energy storage investors to assess their revenue expectations. It is important to note that if investments are based solely on the demand during winter and summer seasons, the return on investment may be easily affected by excess capacity during spring and fall.
- (2)
- The gains derived from subsidies exhibit the highest level of stability, as they are solely contingent upon the quantity of electricity discharged from storage. These gains do not exhibit significant differences between the medium- to long-term and spot markets for electricity. Conversely, arbitrage gains demonstrate notable discrepancies across various markets, with the medium- and long-term market yielding considerably higher gains compared to the spot market. The magnitude of these gains is influenced by the extent of the peak–valley spread. Therefore, investors can employ assessments of the spread fluctuation trend in the spot market as a foundation for decision-making when selecting a market.
- (3)
- When solely considering economic returns and disregarding technical factors, pumped storage serves as the most suitable mechanical energy storage option for investment, while lithium-ion battery energy storage emerges as the most suitable electrochemical energy storage alternative. The internal factors that impact the returns on energy storage consist of the investment cost and service life. These indicators furnish investors with vital information for making investment decisions.
5. Limitations and Outlook
Author Contributions
Funding
Data Availability Statement
Conflicts of Interest
References
- Li, J.L.; Xiu, X.Q.; Lv, X.Y.; Wei, G. A review of research on capacity optimization allocation and whole life cycle economic evaluation of energy storage systems. J. Power Supply 2018, 16, 1–13. (In Chinese) [Google Scholar]
- Jiang, K.; Li, H.S.; Li, W.; Chen, S. Introduction to several types of grid-oriented energy storage batteries. Power Syst. Autom. 2013, 37, 47–53. (In Chinese) [Google Scholar]
- Li, H.X.; Li, J.L.; Mi, Y. Research progress of optimized allocation technology of new energy side energy storage. Energy Storage Sci. Technol. 2022, 11, 3257–3267. [Google Scholar]
- Wang, W.; Li, R.Q.; Zhang, L.; Luo, D.; Ai, X.; Jiang, C. Comparative analysis of optimized operation of integrated energy systems taking into account multiple types of electric energy storage. Grid Clean Energy 2020, 36, 110–116+123. [Google Scholar]
- Ma, W.; Wang, W.; Wu, X.Z.; Hu, R.; Tang, F.; Zhang, W.; Han, X.; Ding, L. Optimal allocation of hybrid energy storage systems for smoothing photovoltaic power fluctuations considering the active power curtailment of photovoltaic. IEEE Access 2019, 7, 74787–74799. [Google Scholar] [CrossRef]
- Li, Z.Z.; Guo, K.Z.; Liao, M.K.; Zhao, A.; Tian, M.; Wang, Y. Micro-hybrid energy storage system capacity based on genetic algorithm optimization configuration research. Int. Core J. Eng. 2020, 6, 78–83. [Google Scholar]
- Xiong, N.; Zhu, W.G.; Yang, W.G.; Zhou, B. Configuration method of distribution network energy storage system based on cost analysis. Smart Power 2019, 47, 51–55+111. [Google Scholar]
- Mohammad, A.; Amir, K.; Behrooz, V.; Hosseinian, S.H.; Malakmahmoudi, A. Optimal sizing of battery energy storage in a microgrid considering capacity degradation and replacement year. Electr. Power Syst. Res. 2021, 195, 07170. [Google Scholar]
- Sayfutdinov, T.; Ali, M.; Khamisov, O. Alternating direction method of multipliers for the optimal siting, sizing, and technology selection of Li-ion battery storage. Electr. Power Syst. Res. 2020, 185, 106388. [Google Scholar] [CrossRef]
- Li, J.H.; Zhang, J.H.; Mu, G.; Ge, Y.; Yan, G.; Shi, S. Hierarchical optimization scheduling of deep peak shaving for energy-storage auxiliary thermal power generating units. Power Syst. Technol. 2019, 43, 3961–3970. (In Chinese) [Google Scholar]
- Ye, Z.; Li, X.Q.; Jiang, F.; Chen, L.; Wang, Y.L.; Dai, S. Hierarchical optimization economic dispatching of combined wind-PV-thermal-energy storage system considering the optimal energy abandonment rate. Power Syst. Technol. 2021, 45, 2270–2280. (In Chinese) [Google Scholar]
- Li, X.W.; Wang, X.; Gu, J.W. Business models of electric vehicle aggregators considering electricity price uncertainty and capacity decay. Electr. Power 2023, 56, 1–7+48. (In Chinese) [Google Scholar]
- Kim, S.H.; Shin, Y.J. Optimize the operating range for improving the cycle life of battery energy storage systems under uncertainty by managing the depth of discharge. J. Energy Storage 2023, 73 Pt D, 109144. [Google Scholar] [CrossRef]
- Annu, A.; Debapriya, D. Optimal sizing and scheduling of battery energy storage system with solar and wind DG under seasonal load variations considering uncertainties. J. Energy Storage 2023, 74 Pt A, 109377. [Google Scholar]
- Ryutaka, Y.; Dilip, K.; Fernando, S. A comparative life cycle assessment of lithium-ion and lead-acid batteries for grid energy storage. J. Clean. Prod. 2022, 358, 131999. [Google Scholar]
- Hunter, C.A.; Penev, M.M.; Reznicek, E.P.; Eichman, J.; Rustagi, N.; Baldwin, S.F. Techno-economic analysis of long-duration energy storage and flexible power generation technologies to support high-variable renewable energy grids. Joule 2021, 5, 2077–2101. [Google Scholar] [CrossRef]
- Behnam, Z.; Sanna, S. Electrical energy storage systems: A comparative life cycle cost analysis. Renew. Sustain. Energy Rev. 2015, 42, 569–596. [Google Scholar]
- Ge, Y.Y.; Shang, C. Energy storage planning constrained by its life. Proc. CSEE 2020, 40, 6150–6161. (In Chinese) [Google Scholar]
- Yang, X.Y.; Liu, X.Y.; Guo, Q.; Sun, Y.; Yan, G.G.; Li, H.Y. Coordinated planning of energy storage and flexible retrofit of thermal power units considering ancillary service income. Power Syst. Technol. 2023, 47, 1350–1362. (In Chinese) [Google Scholar] [CrossRef]
- Mirjalili, S.; Mirjalili, S.M.; Lewis, A. Grey wolf optimizer. Adv. Eng. Softw. 2014, 69, 46–61. [Google Scholar] [CrossRef]
- Chandran, V.; Mohapatra, P. Enhanced opposition-based grey wolf optimizer for global optimization and engineering design problems. Alex. Eng. J. 2023, 76, 429–467. [Google Scholar] [CrossRef]
- Rezaei, H.; Abdollahi, S.E.; Abdollahi, S.; Filizadeh, S. Energy managment strategies of battery-ultracapacitor hybrid storage systems for electric vehicles: Review, challenges, and future trends. J. Energy Storage 2022, 53, 105045. [Google Scholar] [CrossRef]







| Type of Energy Storage | Abridge | Price per Unit Capacity (CNY/KW) | Price per Unit of Power (CNY/KWH) | O&M Cost per Unit of Power (CNY/KW Year) | Charge/Discharge Factor | Life Cycle (Years) |
|---|---|---|---|---|---|---|
| Lead-acid battery | LAB | 1200 | 500 | 1 | 0.75 | 4 |
| Lithium-ion battery | Li-ion | 2000 | 1000 | 10 | 0.9 | 9 |
| Sodium-sulfur battery | Nas | 7000 | 0 | 10 | 0.85 | 12 |
| Flow battery (computing) | VRB | 5000 | 10,000 | 15 | 0.60 | 30 |
| Ultracapacitor | EC | 10,000 | 1000 | 15 | 0.98 | 20 |
| Compressed air | CASE | 500 | 5000 | 7 | 0.60 | 20 |
| Pumped storage | PHS | 500 | 6700 | 5 | 0.75 | 40 |
| Flywheel energy storage | FW | 3000 | 1000 | 5 | 0.85 | 30 |
| Indicator Name | Data Sources | Retrieve a Value |
|---|---|---|
| Inflation rate | China Economic Yearbook 2022 | 2% |
| Discount rate | Take the average value of the bankers’ acceptance discount rate in 2022 | 5.9% |
| Government-subsidized tariffs | Take the plurality of energy storage support policies announced by provinces and municipalities in 2022 | 0.3 CNY/KWH |
| Deep Peak Charge Compensation | 2023 Supplementary Notice on the Participation of Third-Party Independent Entities in the Normalized Operation of Electricity Ancillary Services in Province X | 0.32 CNY/KWH (ceiling) |
| Peak Shaving and Peak Regulation Compensation Prices | 2023 Supplementary Notice on the Participation of Third-Party Independent Entities in the Normalized Operation of Electricity Ancillary Services in Province X | 0.65/KWH (ceiling) |
| Peak Load Threshold Price | 2023 Supplementary Notice on the Participation of Third-Party Independent Entities in the Normalized Operation of Electricity Ancillary Services in Province X | 0.65 CNY/KWH |
| Percentage of Deep Peaking Power | Annual electricity consumption and deep peaking compensation for a province in 2022 | 0.5% |
| Monthly Small Disturbance FM Compensation Price | Implementing Rules for the Management of Electricity Ancillary Services in Province X (Revised Version 2023) | CNY 72/MW × month |
| Monthly Large Disturbance FM Compensation Price | Implementing Rules for the Management of Electricity Ancillary Services in Province X (Revised Version 2023) | CNY 100/MW × month |
| Rotating Spare Winning Price | Pilot Program for Participation of Third-Party Independent Entities in Electricity Auxiliary Service Settlement in X Province in 2022 (Draft for Public Comments) | CNY 50/MWH (ceiling) |
| Rotating Spare Call Prices | Pilot Program for Participation of Third-Party Independent Entities in Electricity Auxiliary Service Settlement in X Province in 2022 (Draft for Public Comments) | CNY 10/MWH |
| Annual Growth Rate of Load | China Power Industry Annual Development Report 2023 | 6.3% |
| Green Certificate Price | China Green Power Certificate Subscription Trading Platform | CNY 100/MWH |
| Kwh Coal Consumption | Industry average | 300 g/KWH |
| Average Annual Coal Price | 2022 Qinhuangdao Power Coal Market Monthly Average Price | 964 per ton |
| Kwh Gas Emission Factor | Methodology and Reporting Guidelines for Corporate Greenhouse Gas Emissions Accounting and Reporting for Electricity Generating Facilities (Revised 2022) | 581 g CO2, 30 g SO2, 15 g NO |
| Costs of Air Pollution Control | Law of the People’s Republic of China on Environmental Protection Tax | CNY 1.2/equivalent |
| Investment Capacity/KW | Investment Power/KWH | Present Value of Total Cost | ||
|---|---|---|---|---|
| LAB | Summer | 1566.4208 | 237 | 1,999,056.568 |
| Winter | 1710.6302 | 245 | 2,176,136.563 | |
| Spring | 463.8281 | 84 | 598,895.571 | |
| Li-ion | Summer | 1285.1794 | 237 | 2,824,637.646 |
| Winter | 1402.8824 | 245 | 3,068,626.729 | |
| Spring | 370.8333 | 84 | 831,790.783 | |
| Nas | Summer | 1368.329 | 237 | 9,599,996.279 |
| Winter | 1493.8808 | 245 | 10,479,591.160 | |
| Spring | 392.6471 | 84 | 2,756,218.242 | |
| VRB | Summer | 1982.7817 | 237 | 12,342,271.140 |
| Winter | 2166.0767 | 245 | 13,340,716.190 | |
| Spring | 631.3425 | 84 | 4,017,398.051 | |
| EC | Summer | 1169.0099 | 237 | 11,973,609.420 |
| Winter | 1275.7251 | 245 | 13,050,331.500 | |
| Spring | 344.373 | 84 | 3,544,215.010 | |
| CASE | Summer | 1982.7817 | 237 | 2,198,095.896 |
| Winter | 2166.0767 | 245 | 2,330,476.056 | |
| Spring | 631.3425 | 84 | 743,364.183 | |
| PHS | Summer | 1566.4208 | 237 | 2,393,124.865 |
| Winter | 1710.6302 | 245 | 2,519,572.657 | |
| Spring | 463.8281 | 84 | 802,516.652 | |
| FW | Summer | 1368.329 | 237 | 4,361,441.180 |
| Winter | 1493.8808 | 245 | 4,746,753.269 | |
| Spring | 392.6471 | 84 | 1,268,836.360 |
Disclaimer/Publisher’s Note: The statements, opinions and data contained in all publications are solely those of the individual author(s) and contributor(s) and not of MDPI and/or the editor(s). MDPI and/or the editor(s) disclaim responsibility for any injury to people or property resulting from any ideas, methods, instructions or products referred to in the content. |
© 2024 by the authors. Licensee MDPI, Basel, Switzerland. This article is an open access article distributed under the terms and conditions of the Creative Commons Attribution (CC BY) license (https://creativecommons.org/licenses/by/4.0/).
Share and Cite
Meng, Y.; Ye, Z.; Chen, L.; Huang, S.; Li, T. Energy Storage Deployment and Benefits in the Chinese Electricity Market Considering Renewable Energy Uncertainty and Energy Storage Life Cycle Costs. Processes 2024, 12, 130. https://doi.org/10.3390/pr12010130
Meng Y, Ye Z, Chen L, Huang S, Li T. Energy Storage Deployment and Benefits in the Chinese Electricity Market Considering Renewable Energy Uncertainty and Energy Storage Life Cycle Costs. Processes. 2024; 12(1):130. https://doi.org/10.3390/pr12010130
Chicago/Turabian StyleMeng, Yichao, Ze Ye, Lei Chen, Shanshan Huang, and Tiantian Li. 2024. "Energy Storage Deployment and Benefits in the Chinese Electricity Market Considering Renewable Energy Uncertainty and Energy Storage Life Cycle Costs" Processes 12, no. 1: 130. https://doi.org/10.3390/pr12010130
APA StyleMeng, Y., Ye, Z., Chen, L., Huang, S., & Li, T. (2024). Energy Storage Deployment and Benefits in the Chinese Electricity Market Considering Renewable Energy Uncertainty and Energy Storage Life Cycle Costs. Processes, 12(1), 130. https://doi.org/10.3390/pr12010130

