Multi-Task Learning Network-Based Prediction of Hydraulic Fracturing Effects in Horizontal Wells Within the Ordos Yanchang Formation Tight Reservoir
Abstract
1. Introduction
2. Establishment of Numerical Model
2.1. Determination of Geological Data
2.2. Establishment of Fracturing Mathematical Model
- (1)
- Initialization: Based on the previous time step, assume an initial distributed flow qi for each cluster.
- (2)
- Crack Opening Calculation: Compute the crack opening for the current time step using Equation (2). Substitute this opening value into Equation (1) to determine the discontinuity of the normal and shear displacements.
- (3)
- Iteration: Substitute the obtained pressure and crack opening values into Equation (2) to recalculate the crack opening. Continue this iterative process until the pressure and crack opening values reach the expected error.
- (4)
- Flow Distribution Check: Calculate the flow distribution for each cluster based on the obtained fracture pressure and compare it with the initially assumed flow distribution. If the distributions converge, the calculation is complete. If not, redistribute the flow for each cluster and repeat steps 2 to 4.
2.3. Establishment of Numerical Fracturing Model
3. Establishment of Machine Learning Prediction Model
3.1. Data Processing
3.1.1. Standardized Treatment
3.1.2. Correlation Analysis
3.1.3. K-Means Clustering Algorithm for Sample Denoising
- (1)
- Randomly select an initial center from the data set, denoted as zx.
- (2)
- Assign each data point to the cluster whose center is closest. This is done by calculating the distance between each data point and the cluster centers. The assignment process can be expressed as follows [33]:
- (3)
- Update the cluster centers. For each cluster, recalculate the average of all data points assigned to that cluster, and use this average as the new center point.
- (4)
- Repeat steps 2 and 3 until the cluster centers no longer change, signaling the end of the clustering process.
3.2. The Establishment of Particle Swarm Optimization RF Prediction Model
3.2.1. Data Set Partitioning
3.2.2. Evaluation Index
3.2.3. The Random Forest Algorithm Determines the Feature Importance Distribution
3.2.4. Particle Swarm Optimization Random Forest Multi-Task Prediction Algorithm
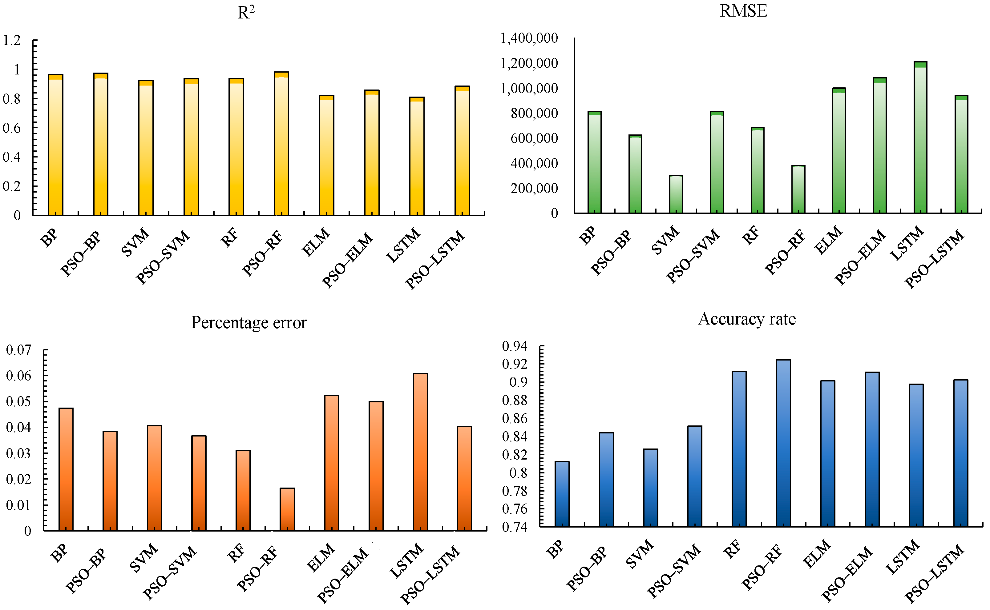
3.2.5. Comparison of Prediction Models
4. Conclusions
Author Contributions
Funding
Data Availability Statement
Conflicts of Interest
Nomenclature
| Symbol | Description |
| pn | Net normal pressure vector of the crack element |
| pt | Net tangential pressure vector of the crack element |
| n | Normal vector |
| t | Tangential vector |
| un | Tensile displacement perpendicular to the fracture plane (fracture opening), in meters |
| K | Influence coefficient matrix, in Pascals per meter |
| ut | Shear displacement along the fracture surface, in meters |
| w | Crack opening, in meters |
| qx qy | Volumetric flow rates per unit width per unit time in the x and y directions, respectively, in m2/s |
| δ(x, y) | Dirac delta function, in m−2 |
| qi | Point source pump displacement, in m3/s |
| q1 | Filtration flow rate, in m/s |
| K’ | Power law coefficient, in Pa·sn |
| n | Power law exponent, dimensionless |
| gx, gy | Components of gravitational acceleration in the x and y directions, respectively, in m/s2 |
| CL | Filtration coefficient, in m/s0.5 |
| t | Time, in seconds |
| Moment when the fracturing fluid reaches the fracture surface, in seconds | |
| x | Value of the original feature |
| μ | Mean of the feature |
| σ | Standard deviation of the feature |
| N | Number of samples |
| yi | Observed value |
| Value predicted by the model | |
| Sum of residuals | |
| Total sum of squares | |
| c1, c2 | Learning factors, also known as acceleration constants |
| r1, r2 | Uniform random numbers within the range [0,1] |
| w | Inertial weight |
| vmax | Maximum speed |
Appendix A
| Statistics | Mean Value | Standard Deviation | Minimum Value | Maximum Value | Median |
|---|---|---|---|---|---|
| Porosity/% | 0.071 | 0.004 | 0.07 | 0.084 | 0.07 |
| Permeability/mD | 0.609 | 0.029 | 0.60 | 0.70 | 0.60 |
| Elastic modulus/GPa | 246,017.90 | 2,306,917 | 22,616.66 | 26,614.25 | 25,243.61 |
| Poisson’s ratio | 0.239 | 0.003 | 0.21 | 0.24 | 0.225 |
| Cluster layer thickness/m | 30 | 8.53 | 2 | 43 | 25 |
| Minimum principal stress/MPa | 25.54 | 7.061 | 20.31 | 28.31 | 25.42 |
| Maximum principal stress/MPa | 28.82 | 7.21 | 22.78 | 30.78 | 26.14 |
| Vertical stress/MPa | 26.92 | 6.25 | 17.92 | 26.92 | 22.54 |
| Lead fluid volume/m3 | 398.04 | 80.24 | 264 | 630 | 360 |
| Construction displacement/m3/min | 11.66 | 2.77 | 2 | 16.80 | 12 |
| Fracturing fluid volume/m3 | 120.06 | 40.59 | 12.90 | 210 | 120 |
| Total fluid volume/m3 | 933.03 | 183.92 | 630 | 1470 | 840 |
| Sand ratio | 0.06 | 0.07 | 0.01 | 0.25 | 0.03 |
| Proppant concentration/kg/m3 | 83.28 | 117.24 | 0.71 | 437.50 | 26.25 |
| Total sand volume/m3 | 337.42 | 466.14 | 35.34 | 1750 | 105 |
| Number of segments/segments | 7.09 | 0.29 | 7 | 8 | 7 |
| Horizontal well length/m | 865.08 | 146.75 | 581 | 1200 | 850 |
| Fracturing fluid system | 1.52 | 0.49 | 1 | 2 | 2 |
| Segment spacing/m | 91.69 | 29.88 | 20 | 150 | 80 |
| Cluster spacing/m | 20.14 | 3.86 | 10 | 40 | 20 |
| Fracturing fluid viscosity/mPa·s | 12.62 | 19.63 | 0.6 | 50 | 2 |
| SRV/m3 | 11,730,782 | 2,837,113 | 5,376,319 | 22,847,280 | 11,887,120 |
| Crack type | 2 | 0.816 | 1 | 3 | 2 |
References
- Lei, Q.; Weng, D.; Guan, B.; Shi, J.; Cai, B.; He, C.; Sun, Q.; Huang, R. Shale oil and gas exploitation in China: Technical comparison with US and development suggestions. Pet. Explor. Dev. 2023, 50, 944–954. [Google Scholar] [CrossRef]
- He, D.; Jia, C.; Zhao, W.; Xu, F.; Luo, X.; Liu, W.; Tang, Y.; Gao, S.; Zheng, X.; Li, D.; et al. Research progress and key issues of ultra-deep oil and gas exploration in China. Pet. Explor. Dev. 2023, 50, 1333–1344. [Google Scholar] [CrossRef]
- Jia, C.Z.; Pang, X.Q.; Song, Y. Whole petroleum system and ordered distribution pattern of conventional and unconventional oil and gas reservoirs. Pet. Sci. 2023, 20, 1–19. [Google Scholar] [CrossRef]
- Song, X.; Liu, Y.; Yang, X.; Yuan, H.; Fan, P.; Liu, X. Quantifying the impact of geological and construction factors on hydraulic fracture dynamics in heterogeneous rock layers using the phase field method. Comput. Geotech. 2024, 169, 106223. [Google Scholar]
- Ren, L.; Wang, J.; Zhao, C.; Jing, C.; Sun, J.; Zhou, D.; Xiang, F.; Gong, D.; Li, H. Optimization of fine-fracture distribution patterns for multi-stage and multi-cluster fractured horizontal wells in tight gas reservoirs. Processes 2024, 12, 1392. [Google Scholar] [CrossRef]
- Ren, L.; Zhan, S.; Zhou, D.; Su, Y.; Wang, W.; Chen, M.; Jing, C.; Sun, J. Propagation simulation and structural characterization of multiple hydraulic fractures in naturally fractured unconventional hydrocarbon reservoirs. J. Nat. Gas Sci. Eng. 2020, 83, 103557. [Google Scholar] [CrossRef]
- Ren, L.; Dou, M.; Dong, X.; Chen, B.; Zhang, L.; Sun, J.; Jing, C.; Zhang, W.; Zhou, D.; Li, H. Quantitative characterization of stimulated reservoir volume (SRV) fracturing effects in naturally fractured unconventional hydrocarbon reservoirs. Front. Earth Sci. 2024, 12, 1419631. [Google Scholar] [CrossRef]
- Song, X.; Liu, Y.; Fan, P.; Liu, X. Quantifying the influence of fracture parameters on flow behavior and pressure propagation in complex networks of discrete fractures within low-permeability reservoirs. Phys. Fluids 2023, 35, 076608. [Google Scholar] [CrossRef]
- Wang, F.; Liu, W.; Deng, J.; Xu, K.; Xing, C.; Yan, K. Hydraulic fracture propagation research in layered rocks based on 3D FEM modeling and laboratory experiments. Geoenergy Sci. Eng. 2024, 234, 212670. [Google Scholar] [CrossRef]
- Huang, L.; He, R.; Yang, Z.; Tan, P.; Chen, W.; Li, X.; Cao, A. Exploring hydraulic fracture behavior in glutenite formation with strong heterogeneity and variable lithology based on DEM simulation. Eng. Fract. Mech. 2023, 278, 109020. [Google Scholar] [CrossRef]
- Dong, Y.; Zeng, B.; Song, Y.; Zhou, X.; Li, P.; Zhang, F. Numerical study of hydraulic fracture propagation in orthotropic shale reservoirs by using the XFEM. Energy Fuels 2023, 37, 12919–12933. [Google Scholar] [CrossRef]
- Wang, Y.; Liu, N. Stress-dependent unstable dynamic propagation of multiple hydraulic fractures: A review of stress shadow effects and continuum-discontinuum methods. Eng. Comput. 2023, 40, 149–190. [Google Scholar] [CrossRef]
- Ismail, A.; Azadbakht, S. A comprehensive review of numerical simulation methods for hydraulic fracturing. Int. J. Numer. Anal. Methods Geomech. 2024, 48, 1433–1459. [Google Scholar] [CrossRef]
- Yang, X.; Feng, J.; Li, G.; Wang, H.; Zhao, Y. Transport behavior of particles and evolution of plugging zones in rough fractures: Insights from a novel coupled CFD-DEM model. Comput. Geotech. 2024, 173, 106553. [Google Scholar] [CrossRef]
- Saber, E.; Qu, Q.; Sarmadivaleh, M.; Aminossadati, S.M.; Chen, Z. Propagation of multiple hydraulic fractures in a transversely isotropic shale formation. Int. J. Rock Mech. Min. Sci. 2023, 170, 105510. [Google Scholar] [CrossRef]
- Li, S.; Zhao, H.; Wang, J.; Xie, X.; Qin, L.; Zou, L.; Liu, Y. A dynamic propagation numerical model of hydraulic fracture interactions with pre-existing complex natural fractures. Processes 2024, 12, 899. [Google Scholar] [CrossRef]
- Li, D.; You, S.; Liao, Q.; Sheng, M.; Tian, S. Prediction of shale gas production by hydraulic fracturing in Changning area using machine learning algorithms. Transp. Porous Media 2023, 149, 373–388. [Google Scholar] [CrossRef]
- Zhang, Y.; Chen, J.; Wu, Z.; Xiao, Y.; Xu, Z.; Cheng, H.; Zhang, B. Effect evaluation of staged fracturing and productivity prediction of horizontal wells in tight reservoirs. Energies 2024, 17, 2894. [Google Scholar] [CrossRef]
- Li, W.; Zhang, T.; Liu, X.; Dong, Z.; Dong, G.; Qian, S.; Yang, Z.; Zou, L.; Lin, K.; Zhang, T. Machine learning-based fracturing parameter optimization for horizontal wells in Panke field shale oil. Sci. Rep. 2024, 14, 6046. [Google Scholar] [CrossRef]
- Ye, F.; Li, X.; Zhang, N.; Xu, F. Prediction of single-well production rate after hydraulic fracturing in unconventional gas reservoirs based on ensemble learning model. Processes 2024, 12, 1194. [Google Scholar] [CrossRef]
- Wang, S.; Xiang, J.; Wang, X.; Feng, Q.; Yang, Y.; Cao, X.; Hou, L. A deep learning based surrogate model for reservoir dynamic performance prediction. Geoenergy Sci. Eng. 2024, 233, 212516. [Google Scholar] [CrossRef]
- Gainitdinov, B.; Meshalkin, Y.; Orlov, D.; Chekhonin, E.; Zagranovskaya, J.; Koroteev, D.; Popov, Y. Predicting mineralogical composition in unconventional formations using machine learning and well logging data. In Proceedings of the International Petroleum Technology Conference, Dhahran, Saudi Arabia, 12 February 2024. [Google Scholar]
- Huang, Y.; Li, X.; Liu, X.; Zhai, Y.; Fang, F.; Guo, W.; Qian, C.; Han, L.; Cui, Y.; Jia, Y. Review of the productivity evaluation methods for shale gas wells. J. Pet. Explor. Prod. Technol. 2024, 14, 25–39. [Google Scholar] [CrossRef]
- Chen, J.; Leung, J.Y.; van der Baan, M. Characterization of low-frequency distributed acoustic sensing signals in hydraulic fracturing stimulation–A coupled flow-geomechanical simulation approach. Geomech. Energy Environ. 2024, 39, 100574. [Google Scholar] [CrossRef]
- Lei, Q.; Weng, D.; Guan, B.; Mu, L.; Xu, Y.; Wang, Z.; Guo, Y.; Li, S. A novel approach of tight oil reservoirs stimulation based on fracture controlling optimization and design. Pet. Explor. Dev. 2020, 47, 632–641. [Google Scholar] [CrossRef]
- Cheng, W.; Wang, R.; Jiang, G.; Xie, J. Modelling hydraulic fracturing in a complex-fracture-network reservoir with the DDM and graph theory. J. Nat. Gas Sci. Eng. 2017, 47, 73–82. [Google Scholar] [CrossRef]
- Xu, G.; Wong, S.W. Interaction of multiple non-planar hydraulicfractures in horizontal wells. In IPTC 2013: International Petroleum Technology Conference; European Association of Geoscientists & Engineers: Beijing, China, 2013. [Google Scholar]
- Wong, S.W.; Geilikman, M.; Xu, G. Interaction of multiplehydraulic fractures in horizontal wells. In Proceedings of the SPE Unconventional Gas Conference and Exhibition, Muscat, Oman, 28–30 January 2013; p. SPE 163892. [Google Scholar]
- Wang, S.; Yu, X.; Winterfeld, P.H.; Wu, Y.S. Real-time simulation of hydraulic fracturing using a combined integrated finite difference and discontinuous displacement method: Numerical algorithm and field applications. Water 2023, 15, 938. [Google Scholar] [CrossRef]
- Ma, P.; Tang, S. Simulation of key influencing factors of hydraulic fracturing fracture propagation in a shale reservoir based on the displacement discontinuity method (DDM). Processes 2024, 12, 1000. [Google Scholar] [CrossRef]
- Pwavodi, J.; Kelechi, I.N.; Angalabiri, P.; Emeremgini, S.C.; Oguadinma, V.O. Pore pressure prediction in offshore Niger Delta using data-driven approach: Implications on drilling and reservoir quality. Energy Geosci. 2023, 4, 100194. [Google Scholar] [CrossRef]
- Jiang, D.L.; Chen, H.; Xing, J.P.; Shang, L.; Wang, Q.-H.; Sun, Y.-C.; Zhao, Y.; Cui, J.; Duncan, I. A novel method of quantitative evaluation and comprehensive classification of low permeability-tight oil reservoirs: A case study of Jidong Oilfield, China. Pet. Sci. 2022, 19, 1527–1541. [Google Scholar] [CrossRef]
- Ali, N.; Chen, J.; Fu, X.; Hussain, W.; Ali, M.; Iqbal, S.M.; Anees, A.; Hussain, M.; Rashid, M.; Thanh, H.V. Classification of reservoir quality using unsupervised machine learning and cluster analysis: Example from Kadanwari gas field, SE Pakistan. Geosyst. Geoenviron. 2023, 2, 100123. [Google Scholar] [CrossRef]
- Wei, D.F.; Liu, X.P.; Hu, X.X.; Xu, R.; Zhu, L.-L. Estimation of permeability from NMR logs based on formation classification method in tight gas sands. Acta Geophys. 2015, 63, 1316–1338. [Google Scholar] [CrossRef]
- Kharazi Esfahani, P.; Akbari, M.; Khalili, Y. A comparative study of fracture conductivity prediction using ensemble methods in the acid fracturing treatment in oil wells. Sci. Rep. 2024, 14, 648. [Google Scholar] [CrossRef] [PubMed]
- Abualigah, L.; Sheikhan, A.; Ikotun, A.M.; Zitar, R.A.; Alsoud, A.R.; Al-Shourbaji, I.; Hussien, A.G.; Jia, H. Particle swarm optimization algorithm: Review and applications. In Metaheuristic Optimization Algorithms; Elsevier: Amsterdam, The Netherlands, 2024; pp. 1–14. [Google Scholar]
- Wu, Y.; Bai, Y.; Yang, S.; Li, C. Extracting random forest features with improved adaptive particle swarm optimization for industrial robot fault diagnosis. Measurement 2024, 229, 114451. [Google Scholar] [CrossRef]
- Nadege, M.N.; Jiang, S.; Mwakipunda, G.C.; Kouassi, A.K.F.; Harold, P.K.; Roland, K.Y.H. Brittleness index prediction using modified random forest based on particle swarm optimization of Upper Ordovician Wufeng to Lower Silurian Longmaxi shale gas reservoir in the Weiyuan Shale Gas Field, Sichuan Basin, China. Geoenergy Sci. Eng. 2024, 233, 212518. [Google Scholar] [CrossRef]
- Fang, M.; Shi, H.; Li, H.; Liu, T. Application of machine learning for productivity prediction in tight gas reservoirs. Energies 2024, 17, 1916. [Google Scholar] [CrossRef]
- Liu, S. Review of the development status and technology of tight oil: Advances and outlook. Energy Fuels 2023, 37, 14645–14665. [Google Scholar] [CrossRef]















| Parameter Name | Parameter Value | Parameter Name | Parameter Value |
|---|---|---|---|
| Porosity | 7–11% | Total fluid volume | 630–1470 m3 |
| Permeability | 0.10–0.70 mD | Sand ratio | 0.03–0.25 |
| Modulus of elasticity | 22–26 GPa | Proppant concentration | 0.7–437 kg/m3 |
| Poisson’s ratio | 0.21–0.24 | Total sand capacity | 35–1750 m3 |
| Cluster thickness | 2–35 m | Number of segments | 7–9 segments |
| Minimum principal stress | 20–28 MPa | Horizontal well length | 581–1200 m |
| Maximum principal stress | 22–30 MPa | Fracturing fluid system | Guanidine gum (1)/Slippery Water (2) |
| Vertical stress | 17–26 MPa | Segment spacing | 20–150 m |
| Lead fluid volume | 264–630 m3 | Cluster spacing | 10–40 m |
| Construction capacity | 2–16.8 m3/min | Fracturing fluid viscosity | 1–50 mPa·s |
| Fracturing fluid volume | 12–210 m3 | / | / |
| Parameter Name | Parameter Value | Parameter Name | Parameter Value |
|---|---|---|---|
| Mean porosity | 7% | Total fluid volume | 630 m3 |
| Mean permeability | 0.10 mD | Sand ratio | 0.03 |
| Average modulus of elasticity | 22 GPa | Proppant concentration | 0.70 kg/m3 |
| Average Poisson’s ratio | 0.21 | Total sand capacity | 35 m3 |
| Average cluster thickness | 25 m | Number of segments | 7 segments |
| Mean minimum principal stress | 20 MPa | Horizontal well length | 800 m |
| Mean maximum principal stress | 22 MPa | Fracturing fluid system | Slippery water |
| Mean vertical stress | 17 MPa | Segment spacing | 20 m |
| Lead fluid volume | 264 m3 | Cluster spacing | 10 m |
| Construction capacity | 8 m3/min | Fracturing fluid viscosity | 1 mPa·s |
| Fracturing fluid volume | 12 m3 | / | / |
| Evaluation Index | RF | PSO–RF | |
|---|---|---|---|
| Regression forecasting | Training set R2 | 0.97 | 0.99 |
| Test set R2 | 0.93 | 0.98 | |
| Training set RMSE | 420,339.23 | 189,637.85 | |
| Test set RMSE | 686,590.65 | 381,826.98 | |
| Training set error percentage | 1.83% | 0.73% | |
| Percentage error of test set | 3.11% | 1.64% | |
| Classification prediction | Training set accuracy | 90.43% | 96.71% |
| Test set accuracy | 88.65% | 93.32% |
Disclaimer/Publisher’s Note: The statements, opinions and data contained in all publications are solely those of the individual author(s) and contributor(s) and not of MDPI and/or the editor(s). MDPI and/or the editor(s) disclaim responsibility for any injury to people or property resulting from any ideas, methods, instructions or products referred to in the content. |
© 2024 by the authors. Licensee MDPI, Basel, Switzerland. This article is an open access article distributed under the terms and conditions of the Creative Commons Attribution (CC BY) license (https://creativecommons.org/licenses/by/4.0/).
Share and Cite
Fan, P.; Yuan, H.; Song, X.; Yang, X.; Song, Z.; Li, P.; Lin, Z.; Gan, M.; Liu, Y. Multi-Task Learning Network-Based Prediction of Hydraulic Fracturing Effects in Horizontal Wells Within the Ordos Yanchang Formation Tight Reservoir. Processes 2024, 12, 2279. https://doi.org/10.3390/pr12102279
Fan P, Yuan H, Song X, Yang X, Song Z, Li P, Lin Z, Gan M, Liu Y. Multi-Task Learning Network-Based Prediction of Hydraulic Fracturing Effects in Horizontal Wells Within the Ordos Yanchang Formation Tight Reservoir. Processes. 2024; 12(10):2279. https://doi.org/10.3390/pr12102279
Chicago/Turabian StyleFan, Pingtian, Hai Yuan, Xiankun Song, Xiaowen Yang, Zhenyu Song, Ping Li, Ziyu Lin, Maozong Gan, and Yuetian Liu. 2024. "Multi-Task Learning Network-Based Prediction of Hydraulic Fracturing Effects in Horizontal Wells Within the Ordos Yanchang Formation Tight Reservoir" Processes 12, no. 10: 2279. https://doi.org/10.3390/pr12102279
APA StyleFan, P., Yuan, H., Song, X., Yang, X., Song, Z., Li, P., Lin, Z., Gan, M., & Liu, Y. (2024). Multi-Task Learning Network-Based Prediction of Hydraulic Fracturing Effects in Horizontal Wells Within the Ordos Yanchang Formation Tight Reservoir. Processes, 12(10), 2279. https://doi.org/10.3390/pr12102279

