A Hybrid Method Based on Corrected Kinetic Energy and Statistical Calculation for Real-Time Transient Stability Evaluation
Abstract
1. Introduction
- they entail a significant computational burden;
- they rely on post-fault information to conduct transient stability assessments.
1.1. Contributions
- A structure-preserving model for power network modeling is employed to address the limitations of existing methods when considering model intricacies;
- A novel modification to the EAC is introduced, enhancing the accuracy of critical angle point estimation;
- A new method for categorizing generator contributions during fault conditions based on statistical analysis is presented, accounting for fault location effects and identifying participating generators;
- Precise estimates for the system’s critical angles and critical kinetic energy are provided, contingent upon fault location, without the need for post-fault data or potential energy functions;
- Real-time estimation of the transient stability margin for both the system and the generators using kinetic energy exclusively is offered.
1.2. Organization
2. Background (Network-Preserving Model)
3. Defining the Problem and Solution Methodology
- (1)
- Setting the time;
- (2)
- Reading the real-time load flow data and dynamic data;
- (3)
- Estimating the initial critical angle using the modified equal area criterion (MEAC) function without accounting for the fault location effect. This involves employing the classical EAC concept to analyze the primary critical angle point, refining it through a stable or unstable case approach, and considering the effects of automatic voltage regulator (AVR) and governors;
- (4)
- Calculating the derivative gain severely disturbed group (SDG);
- (5)
- Calculating the load derivative gain less disturbed group (LDG);
- (6)
- Obtaining accurate estimates of critical kinetic energy;
- (7)
- Calculating the normalized rotor angle deviation;
- (8)
- Determining the real-time transient stability index.
| Algorithm 1: Calculation procedures of real-time TSI by PM | |
| 1. Set: | % Setting the time |
| 2. Input: | % Load flow data and dynamic data |
| 3. Modified EAC Function: | % Estimating initial critical angle |
| 4. Calculating: | % Calculating SDG |
| 5. Calculating: | % Calculating LDG |
| 6. | % Obtaining accurate estimates of critical kinetic energy |
| 7. | % Calculating normalized rotor angle deviation |
| 8. | % Calculating the real-time transient stability index |
3.1. Estimation of Critical Clearing Angle
3.2. Corrected Kinetic Energy Method
- Select generator;
- Determine and for ;
- If and , then and generators are stated in the SDG of generators. If not, they are considered members of the LDG.
| Algorithm 2: Procedure for calculating system TSI | |
| 1. Input data: | % Load flow data and dynamic data. |
| 2. | % Initial condition of the machine during unfaulted operation. |
| 3. for | |
| % Estimating the critical kinetic energy of system generators. | |
| %Estimate initial critical angle of generators using EAC | |
| % Estimate the initial critical kinetic energy of generators. | |
| Putting fault at terminal of generators | |
| if (Stable) | |
| applying stable case | |
| % Calculate high precision value of critical kinetic energy | |
| else | |
| applying unstable case | |
| end | |
| end | |
| 4. for | |
| , | %Determine SDG and LSD generators |
| if () | |
| else | |
| end | |
| if () | |
| Finished the calculation | |
| else | |
| end | |
| end | |
4. Simulation Results
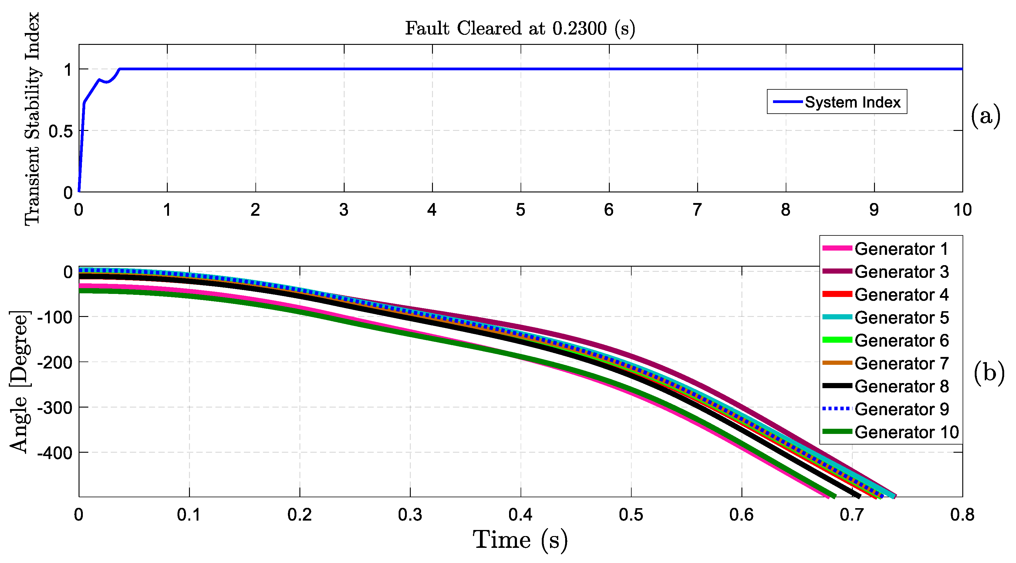
4.1. IEEE 9-BUS SYSTEM
4.2. IEEE 39-BUS SYSTEM
5. Discussion on Results
6. Conclusions
Author Contributions
Funding
Data Availability Statement
Conflicts of Interest
Nomenclature
| Equal Area Criterion | Based Controlling Unstable | ||
| Critical Clearing Time | Modified Equal Area Criterion | ||
| Less-Disturbed Group | Proposed Method | ||
| Severely Disturbed Group | Simulation Method | ||
| Transient Stability Index | Unstable Equilibrium Point | ||
| Angular Position of the i-th Generator’s Rotor | Pivotal Rotor Angle of the i-th Generator | ||
| Speed of Rotor for the i-th Generator | Reference of Rotor Speed | ||
| Electrical Power of the i-th Generator | Mechanical Power Input of the i-th Generator | ||
| Damping Coefficient of the i-th Generator | Momentum of Inertia for the i-th Generator | ||
| Admittance in Shunt Serving as a Local Load | Impedance in Series of a Transmission Line | ||
| Real Power Demand at Load Node k | Magnitude of External Generator Voltage at Bus i | ||
| Excitation Voltage Magnitude | Magnitude of Voltage at Load Node k | ||
| Demand for Reactive Power at Load Node k | External Generator Voltage Angle at Bus | ||
| Injection of Constant Current at Load Node k | Voltage Angle at Load Node k | ||
| Transient Reactance on the Direct Axis | Conductance for Network Transfer between Bus i And Bus j | ||
| Quadrature Axis Transient Reactance | AVR | Automatic Voltage Regulator | |
| Reactance on the Direct Axis of Synchronization | AVR Time Constant | ||
| Reactance on the Quadrature Axis of Synchronization | AVR Feedback Gain | ||
| Steady Voltage Across Direct Axis Transient Reactance | Constant Gain to Modify the Position of the Desired Operating Points | ||
| Admittance for Network Transfer between Bus i And Bus j | Time Constant for Open-Circuit Transients on the Direct Axis | ||
| Magnitude of Internal Voltage along the Direct Axis at Bus i | Time Constant for Open-Circuit Transients on the Quadrature Axis | ||
| Quadrature Axis Internal Voltage Magnitude at Bus i |
Appendix A. IEEE 9-Bus Network Information
| Generator Number | H (s) | Ra (Ω) | (p.u) | (p.u) | (p.u) | (p.u) | (s) | (s) | Xl (p.u) |
|---|---|---|---|---|---|---|---|---|---|
| 1 | 23.64 | 0 | 0.0608 | 0.0608 | 0.1460 | 0.0969 | 8.96 | 0.31 | 0.0250 |
| 2 | 6.4 | 0 | 0.1198 | 0.1198 | 0.8958 | 0.8645 | 6.0 | 0.535 | 0.2200 |
| 3 | 3.01 | 0 | 0.1813 | 0.1813 | 1.3125 | 1.2578 | 5.89 | 0.6000 | 0.2460 |
| Line Data | Transformer Tap | |||||
|---|---|---|---|---|---|---|
| From | To | Magnitude (p.u) | Angle (°) | |||
| Bus | Bus | R(Ω) | X(Ω) | B(S) | ||
| 1 | 4 | 0.0000 | 0.0576 | 0.000 | 1.000 | 0.00 |
| 4 | 5 | 0.0100 | 0.0850 | 0.1760 | 1.000 | 0.00 |
| 5 | 7 | 0.0320 | 0.0161 | 0.3060 | 1.000 | 0.00 |
| 4 | 6 | 0.0170 | 0.0920 | 0.1580 | 1.000 | 0.00 |
| 6 | 9 | 0.0390 | 0.1700 | 0.3580 | 1.000 | 0.00 |
| 7 | 8 | 0.0085 | 0.0720 | 0.1490 | 1.000 | 0.00 |
| 3 | 9 | 0.0000 | 0.0586 | 0.000 | 1.000 | 0.00 |
| 8 | 9 | 0.0119 | 0.1008 | 0.2090 | 1.000 | 0.00 |
| 2 | 7 | 0.0000 | 0.0625 | 0.000 | 1.000 | 0.00 |
| BUS | Type | Voltage [p.u] | Load | Generator | |||
|---|---|---|---|---|---|---|---|
| MW | MVar | MW | MVar | Unit No | |||
| 1 | PV | 1.04 | 0.0 | 0.0 | 0.0 | 100 | Gen1 |
| 2 | PV | 1.025 | 0.0 | 0.0 | 163.0 | 100 | Gen2 |
| 3 | PV | 1.025 | 0.0 | 0.0 | 85.0 | 100 | Gen3 |
| 4 | PQ | - | 0.0 | 0.0 | 0.0 | 0.0 | - |
| 5 | PQ | - | 125.0 | 50.0 | 0.0 | 0.0 | - |
| 6 | PQ | - | 90.0 | 30.0 | 0.0 | 0.0 | - |
| 7 | PQ | - | 0.0 | 0.0 | 0.0 | 0.0 | - |
| 8 | PQ | - | 100.0 | 35.0 | 0.0 | 0.0 | - |
| 9 | PQ | - | 0.0 | 0.0 | 0.0 | 0.0 | - |
Appendix B. IEEE 39-Bus Network Information
| Generator Number | H (s) | Ra (Ω) | (p.u) | (p.u) | (p.u) | (p.u) | (s) | Xl (p.u) | |
|---|---|---|---|---|---|---|---|---|---|
| 1 | 500.0 | 0 | 0.006 | 0.008 | 0.02 | 0.019 | 7.0 | 0.7 | 0.003 |
| 2 | 30.3 | 0 | 0.0697 | 0.170 | 0.295 | 0.282 | 6.56 | 1.5 | 0.035 |
| 3 | 35.8 | 0 | 0.0531 | 0.0876 | 0.2495 | 0.237 | 5.7 | 1.5 | 0.0304 |
| 4 | 28.6 | 0 | 0.0436 | 0.166 | 0.262 | 0.258 | 5.69 | 1.5 | 0.0295 |
| 5 | 26.0 | 0 | 0.0132 | 0.166 | 0.67 | 0.62 | 5.4 | 0.44 | 0.054 |
| 6 | 34.8 | 0 | 0.05 | 0.0814 | 0.254 | 0.241 | 7.3 | 0.4 | 0.0224 |
| 7 | 26.4 | 0 | 0.049 | 0.186 | 0.295 | 0.292 | 5.66 | 1.5 | 0.0322 |
| 8 | 24.3 | 0 | 0.057 | 0.0911 | 0.290 | 0.280 | 6.7 | 0.41 | 0.028 |
| 9 | 34.5 | 0 | 0.057 | 0.0587 | 0.2106 | 0.205 | 4.79 | 1.96 | 0.0298 |
| 10 | 42.0 | 0 | 0.031 | 0.008 | 0.1 | 0.069 | 10.2 | 0.0 | 0.0125 |
| Line Data | Transformer Tap | |||||
|---|---|---|---|---|---|---|
| From | To | Magnitude (p.u) | Angle (ᵒ) | |||
| Bus | Bus | R(Ω) | X(Ω) | B(S) | ||
| 1 | 2 | 0.0035 | 0.0411 | 0.6987 | 0.000 | 0.00 |
| 1 | 39 | 0.0010 | 0.0250 | 0.7500 | 0.000 | 0.00 |
| 2 | 3 | 0.0013 | 0.0151 | 0.2572 | 0.000 | 0.00 |
| 2 | 25 | 0.0070 | 0.0086 | 0.1460 | 0.000 | 0.00 |
| 3 | 4 | 0.0013 | 0.0213 | 0.2214 | 0.000 | 0.00 |
| 3 | 18 | 0.0011 | 0.0133 | 0.2138 | 0.000 | 0.00 |
| 4 | 5 | 0.0008 | 0.0128 | 0.1342 | 0.000 | 0.00 |
| 4 | 14 | 0.0008 | 0.0129 | 0.1382 | 0.000 | 0.00 |
| 5 | 6 | 0.0002 | 0.0026 | 0.0434 | 0.000 | 0.00 |
| 5 | 8 | 0.0008 | 0.0112 | 0.1476 | 0.000 | 0.00 |
| 6 | 7 | 0.0006 | 0.0092 | 0.1130 | 0.000 | 0.00 |
| 6 | 11 | 0.0007 | 0.0082 | 0.1389 | 0.000 | 0.00 |
| 7 | 8 | 0.0004 | 0.0046 | 0.0780 | 0.000 | 0.00 |
| 8 | 9 | 0.0023 | 0.0363 | 0.3804 | 0.000 | 0.00 |
| 9 | 39 | 0.0010 | 0.0250 | 1.2000 | 0.000 | 0.00 |
| 10 | 11 | 0.0004 | 0.0043 | 0.0729 | 0.000 | 0.00 |
| 10 | 13 | 0.0004 | 0.0043 | 0.0729 | 0.000 | 0.00 |
| 13 | 14 | 0.0009 | 0.0101 | 0.1723 | 0.000 | 0.00 |
| 14 | 15 | 0.0018 | 0.0217 | 0.3660 | 0.000 | 0.00 |
| 15 | 16 | 0.0009 | 0.0094 | 0.1710 | 0.000 | 0.00 |
| 16 | 17 | 0.0007 | 0.0089 | 0.1342 | 0.000 | 0.00 |
| 16 | 19 | 0.0016 | 0.0195 | 0.3040 | 0.000 | 0.00 |
| 16 | 21 | 0.0008 | 0.0135 | 0.2548 | 0.000 | 0.00 |
| 16 | 24 | 0.0003 | 0.0059 | 0.0680 | 0.000 | 0.00 |
| 17 | 18 | 0.0007 | 0.0082 | 0.1319 | 0.000 | 0.00 |
| 17 | 27 | 0.0013 | 0.0173 | 0.3216 | 0.000 | 0.00 |
| 21 | 22 | 0.0008 | 0.0140 | 0.2565 | 0.000 | 0.00 |
| 22 | 23 | 0.0006 | 0.0096 | 0.1846 | 0.000 | 0.00 |
| 23 | 24 | 0.0022 | 0.0350 | 0.3610 | 0.000 | 0.00 |
| 25 | 26 | 0.0032 | 0.0323 | 0.5130 | 0.000 | 0.00 |
| 26 | 27 | 0.0014 | 0.0147 | 0.2396 | 0.000 | 0.00 |
| 26 | 28 | 0.0043 | 0.0474 | 0.2396 | 0.000 | 0.00 |
| 26 | 29 | 0.0057 | 0.0625 | 1.0290 | 0.000 | 0.00 |
| 28 | 29 | 0.0014 | 0.0151 | 0.2490 | 0.000 | 0.00 |
| 12 | 11 | 0.0016 | 0.0435 | 0.000 | 1.006 | 0.00 |
| 12 | 13 | 0.0016 | 0.0435 | 0.000 | 1.006 | 0.00 |
| 6 | 31 | 0.0000 | 0.0250 | 0.000 | 1.070 | 0.00 |
| 10 | 32 | 0.0000 | 0.0200 | 0.000 | 1.070 | 0.00 |
| 19 | 33 | 0.0007 | 0.0142 | 0.000 | 1.070 | 0.00 |
| 20 | 34 | 0.0009 | 0.0180 | 0.000 | 1.009 | 0.00 |
| BUS | Type | Voltage [p.u] | Load | Generator | |||
|---|---|---|---|---|---|---|---|
| MW | MVar | MW | MVar | Unit No | |||
| 1 | PQ | - | 0.0 | 0.0 | 0.0 | 0.0 | - |
| 2 | PQ | - | 0.0 | 0.0 | 0.0 | 0.0 | - |
| 3 | PQ | - | 322.0 | 2.4 | 0.0 | 0.0 | - |
| 4 | PQ | - | 500.0 | 184.0 | 0.0 | 0.0 | - |
| 5 | PQ | - | 0.0 | 0.0 | 0.0 | 0.0 | - |
| 6 | PQ | - | 0.0 | 0.0 | 0.0 | 0.0 | - |
| 7 | PQ | - | 233.8 | 84.0 | 0.0 | 0.0 | - |
| 8 | PQ | - | 522.0 | 176.0 | 0.0 | 0.0 | - |
| 9 | PQ | - | 0.0 | 0.0 | 0.0 | 0.0 | - |
| 10 | PQ | - | 0.0 | 0.0 | 0.0 | 0.0 | - |
| 11 | PQ | - | 0.0 | 0.0 | 0.0 | 0.0 | - |
| 12 | PQ | - | 7.5 | 88.0 | 0.0 | 0.0 | - |
| 13 | PQ | - | 0.0 | 0.0 | 0.0 | 0.0 | - |
| 14 | PQ | - | 0.0 | 0.0 | 0.0 | 0.0 | - |
| 15 | PQ | - | 320.0 | 153.0 | 0.0 | 0.0 | - |
| 16 | PQ | - | 329.0 | 32.3 | 0.0 | 0.0 | - |
| 17 | PQ | - | 0.0 | 0.0 | 0.0 | 0.0 | - |
| 18 | PQ | - | 158.0 | 30.0 | 0.0 | 0.0 | - |
| 19 | PQ | - | 0.0 | 0.0 | 0.0 | 0.0 | - |
| 20 | PQ | - | 628.0 | 103.0 | 0.0 | 0.0 | - |
| 21 | PQ | - | 274.0 | 115.0 | 0.0 | 0.0 | - |
| 22 | PQ | - | 0.0 | 0.0 | 0.0 | 0.0 | - |
| 23 | PQ | - | 247.5 | 84.6 | 0.0 | 0.0 | - |
| 24 | PQ | - | 308.6 | −92.0 | 0.0 | 0.0 | - |
| 25 | PQ | - | 224.0 | 47.2 | 0.0 | 0.0 | - |
| 26 | PQ | - | 139.0 | 17.0 | 0.0 | 0.0 | - |
| 27 | PQ | - | 281.0 | 75.5 | 0.0 | 0.0 | - |
| 28 | PQ | - | 206.0 | 27.6 | 0.0 | 0.0 | - |
| 29 | PQ | - | 283.5 | 26.9 | 0.0 | 0.0 | - |
| 30 | PV | 1.0475 | 0.0 | 0.0 | 250.0 | - | Gen10 |
| 31 | PV | 0.9820 | 9.2 | 4.6 | - | - | Gen2 |
| 32 | PV | 0.9831 | 0.0 | 0.0 | 650 | - | Gen3 |
| 33 | PV | 0.9972 | 0.0 | 0.0 | 632.0 | - | Gen4 |
| 34 | PV | 1.0123 | 0.0 | 0.0 | 508.0 | - | Gen5 |
| 35 | PV | 1.0493 | 0.0 | 0.0 | 650.0 | - | Gen6 |
| 36 | PV | 1.0635 | 0.0 | 0.0 | 560.0 | - | Gen7 |
| 37 | PV | 1.0278 | 0.0 | 0.0 | 540.0 | - | Gen8 |
| 38 | PV | 1.0265 | 0.0 | 0.0 | 830.0 | - | Gen9 |
| 39 | PV | 1.0300 | 1104.0 | 250.0 | 1000.0 | - | Gen1 |
References
- Hassani, H.; Razavi-Far, R.; Saif, M. Real-time out-of-step prediction control to prevent emerging blackouts in power systems: A reinforcement learning approach. Appl. Energy 2022, 314, 118861. [Google Scholar] [CrossRef]
- Liu, J.; Liu, J.; Liu, X.; Liu, X.; Zhao, Y. Discriminative Signal Recognition for Transient Stability Assessment via Discrete Mutual Information Approximation and Eigen Decomposition of Laplacian Matrix. IEEE Trans. Ind. Inform. 2023, 20, 5805–5817. [Google Scholar] [CrossRef]
- Zhang, S.; Zhu, Z.; Li, Y. A critical review of data-driven transient stability assessment of power systems: Principles, prospects and challenges. Energies 2021, 14, 7238. [Google Scholar] [CrossRef]
- Shi, Z.; Yao, W.; Zeng, L.; Wen, J.; Fang, J.; Ai, X.; Wen, J. Convolutional neural network-based power system transient stability assessment and instability mode prediction. Appl. Energy 2020, 263, 114586. [Google Scholar] [CrossRef]
- Yaghoubi, E.; Yaghoubi, E.; Yusupov, Z.; Rahebi, J. Real-time techno-economical operation of preserving microgrids via optimal NLMPC considering uncertainties. Eng. Sci. Technol. Int. J. 2024, 57, 101823. [Google Scholar] [CrossRef]
- Sankar, M.; Bharathi Dasan, S.G.; Thamizmani, S. Real-Time Transient Stability Assessment of Post Fault Scenario in Power System by Using Probabilistic Neural Network. In Proceedings of the 2022 IEEE Delhi Section Conference (DELCON), New Delhi, India, 11–13 February 2022; pp. 1–8. [Google Scholar]
- Jahromi, M.H.M.; Soleymani, S.; Mozafari, B. Optimal allocation of inverter connected DGs: An objective function to minimize deterioration of transient stability of power system. Int. J. Electr. Power Energy Syst. 2020, 123, 106267. [Google Scholar] [CrossRef]
- Keivanimehr, M.; Chamorro, H.R.; Zareian-Jahromi, M.; Segundo-Sevilla, F.R.; Guerrero, J.M.; Konstantinou, C. Load shedding frequency management of microgrids using hierarchical fuzzy control. In Proceedings of the 2021 World Automation Congress (WAC), Taipei, Taiwan, 1–5 August 2021; pp. 216–221. [Google Scholar]
- Toft, A.K. Direct Methods for Transient Stability Analysis and Contingency Screening in Power Systems. Master’s Thesis, University of South-Eastern Norway, Porsgrunn, Norway, 2023. [Google Scholar]
- Wu, Q.-H.; Lin, Y.; Hong, C.; Su, Y.; Wen, T.; Liu, Y. Transient stability analysis of large-scale power systems: A survey. CSEE J. Power Energy Syst. 2023, 9, 1284–1300. [Google Scholar]
- Li, S.; Bélanger, J.; Cervantes, M.; Kazemtabrizi, M.; Paquin, J.N.; Lapointe, V.; Li, W.; Paez-Alvarez, J. Fast and real-time EMT simulations for Hardware-in-the-Loop controller performance testing and for on-line transient stability analysis of large-scale low-inertia power systems. In Proceedings of the 2023 CIGRE Canada Conference & Exhibition, Vancouver, BC, Canada, 25–28 September 2023. [Google Scholar]
- Pariz, P.; Keivanimehr, M. Towards electromobility: Challenges in integrating electric vehicles and charging stations on power systems. In Advanced Technologies in Electric Vehicles; Elsevier: Amsterdam, The Netherlands, 2024; pp. 505–520. [Google Scholar]
- Huang, J.; Guan, L.; Su, Y.; Yao, H.; Guo, M.; Zhong, Z. Recurrent graph convolutional network-based multi-task transient stability assessment framework in power system. IEEE Access 2020, 8, 93283–93296. [Google Scholar] [CrossRef]
- Qiu, Z.; Duan, C.; Yao, W.; Zeng, P.; Jiang, L. Adaptive lyapunov function method for power system transient stability analysis. IEEE Trans. Power Syst. 2022, 38, 3331–3344. [Google Scholar] [CrossRef]
- Zhang, W.; Du, Z.; Han, D. Transient stability domain estimation of AC/DC systems considering HVDC switching characteristics based on the polynomial Lyapunov function method. Int. J. Electr. Power Energy Syst. 2021, 129, 106875. [Google Scholar] [CrossRef]
- Mansour, M.Z.; Me, S.P.; Hadavi, S.; Badrzadeh, B.; Karimi, A.; Bahrani, B. Nonlinear transient stability analysis of phased-locked loop-based grid-following voltage-source converters using Lyapunov’s direct method. IEEE J. Emerg. Sel. Top. Power Electron. 2021, 10, 2699–2709. [Google Scholar] [CrossRef]
- Yang, P.; Liu, F.; Wei, W.; Wang, Z. Approaching the transient stability boundary of a power system: Theory and applications. IEEE Trans. Autom. Sci. Eng. 2022, 20, 2268–2279. [Google Scholar] [CrossRef]
- Shabani, H.R.; Kalantar, M. Real-time transient stability detection in the power system with high penetration of DFIG-based wind farms using transient energy function. Int. J. Electr. Power Energy Syst. 2021, 133, 107319. [Google Scholar] [CrossRef]
- Guan, S.; Zhang, R.; Xu, R. Power System Preventive Transient Stability Control: A Comprehensive Review. In Proceedings of the 2023 IEEE International Conference on Energy Technologies for Future Grids (ETFG), Wollongong, Australia, 3–6 December 2023; pp. 1–6. [Google Scholar]
- Wang, Q.; Pang, C.; Qian, C. Sparse Dictionary Learning for Transient Stability Assessment. Front. Energy Res. 2022, 10, 932770. [Google Scholar] [CrossRef]
- Ye, X.; Milanović, J.V. Composite index for comprehensive assessment of power system transient stability. IEEE Trans. Power Syst. 2021, 37, 2847–2857. [Google Scholar] [CrossRef]
- Shen, J. EM-TSA: An ensemble machine learning-based transient stability assessment approach for operation of power systems. Math. Biosci. Eng. 2023, 20, 8226–8240. [Google Scholar] [CrossRef] [PubMed]
- Jahromi, M.Z.; Tajdinian, M.; Jahromi, M.H.M. A Novel Optimal Planning Between Generation and Transmission Expansion Planning Considering Security Constraint. In Proceedings of the 2019 International Power System Conference (PSC), Tehran, Iran, 9–11 December 2019; pp. 241–249. [Google Scholar]
- Saberi, H.; Amraee, T.; Zhang, C.; Dong, Z.Y. A heuristic benders-decomposition-based algorithm for transient stability constrained optimal power flow. Electr. Power Syst. Res. 2020, 185, 106380. [Google Scholar] [CrossRef]
- An, J.; Yu, J.; Li, Z.; Zhou, Y.; Mu, G. A data-driven method for transient stability margin prediction based on security region. J. Mod. Power Syst. Clean Energy 2020, 8, 1060–1069. [Google Scholar] [CrossRef]
- Sarajcev, P.; Kunac, A.; Petrovic, G.; Despalatovic, M. Power system transient stability assessment using stacked autoencoder and voting ensemble. Energies 2021, 14, 3148. [Google Scholar] [CrossRef]
- Su, T.; Liu, Y.; Zhao, J.; Liu, J. Probabilistic stacked denoising autoencoder for power system transient stability prediction with wind farms. IEEE Trans. Power Syst. 2020, 36, 3786–3789. [Google Scholar] [CrossRef]
- Li, B.; Wu, J.; Hao, L.; Shao, M.; Zhang, R.; Zhao, W. Anti-jitter and refined power system transient stability assessment based on long-short term memory network. IEEE Access 2020, 8, 35231–35244. [Google Scholar] [CrossRef]
- Saleem, B.; Badar, R.; Judge, M.A.; Manzoor, A.; ul Islam, S.; Rodrigues, J.J. Adaptive recurrent NeuroFuzzy control for power system stability in smart cities. Sustain. Energy Technol. Assess. 2021, 45, 101089. [Google Scholar] [CrossRef]
- Tajdinian, M.; Allahbakhshi, M.; Mohammadpourfard, M.; Mohammadi, B.; Weng, Y.; Dong, Z. Probabilistic framework for transient stability contingency ranking of power grids with active distribution networks: Application in post disturbance security assessment. IET Gener. Transm. Distrib. 2020, 14, 719–727. [Google Scholar] [CrossRef]
- Amini, S.; Ghasemi, S.; Azadimoshfegh, I.; Moshtagh, J.; Siano, P. A two-stage strategy for generator rotor angle stability prediction using the adaptive neuro-fuzzy inference system. Electr. Eng. 2023, 105, 2871–2887. [Google Scholar] [CrossRef]
- Shahzad, U. Prediction of probabilistic transient stability using support vector machine. arXiv 2021, arXiv:2111.11242. [Google Scholar] [CrossRef]
- Wang, D.; Rueda Torres, J.L.; Rakhshani, E.; Van der Meijden, M. Mvmo-based identification of key input variables and design of decision trees for transient stability assessment in power systems with high penetration levels of wind power. Front. Energy Res. 2020, 8, 41. [Google Scholar] [CrossRef]
- Behdadnia, T.; Yaslan, Y.; Genc, I. A new method of decision tree based transient stability assessment using hybrid simulation for real-time PMU measurements. IET Gener. Transm. Distrib. 2021, 15, 678–693. [Google Scholar] [CrossRef]
- Meng, X.; Zhang, P.; Zhang, D. Decision tree for online voltage stability margin assessment using C4. 5 and relief-F algorithms. Energies 2020, 13, 3824. [Google Scholar] [CrossRef]
- Liu, X.; Min, Y.; Chen, L.; Zhang, X.; Feng, C. Data-driven transient stability assessment based on kernel regression and distance metric learning. J. Mod. Power Syst. Clean Energy 2020, 9, 27–36. [Google Scholar] [CrossRef]
- Liu, X.; Zhang, X.; Chen, L.; Xu, F.; Feng, C. Data-driven transient stability assessment model considering network topology changes via mahalanobis kernel regression and ensemble learning. J. Mod. Power Syst. Clean Energy 2020, 8, 1080–1091. [Google Scholar] [CrossRef]
- Chen, Y.; Mazhari, S.M.; Chung, C.; Faried, S.O. A preventive dispatching method for high wind power-integrated electrical systems considering probabilistic transient stability constraints. IEEE Open Access J. Power Energy 2021, 8, 472–483. [Google Scholar] [CrossRef]
- Mukherjee, R.; De, A. Real-time dynamic security analysis of power systems using strategic PMU measurements and decision tree classification. Electr. Eng. 2021, 103, 813–824. [Google Scholar] [CrossRef]
- Mukherjee, R.; De, A. Development of an ensemble decision tree-based power system dynamic security state predictor. IEEE Syst. J. 2020, 14, 3836–3843. [Google Scholar] [CrossRef]
- Ghaedi, S.; Abazari, S.; Markadeh, G.A. Transient stability improvement of power system with UPFC control by using transient energy function and sliding mode observer based on locally measurable information. Measurement 2021, 183, 109842. [Google Scholar] [CrossRef]
- Liu, J.; Zhang, Y.; Meng, K.; Dong, Z.Y.; Xu, Y.; Han, S. Real-time emergency load shedding for power system transient stability control: A risk-averse deep learning method. Appl. Energy 2022, 307, 118221. [Google Scholar] [CrossRef]
- Yaghoubi, E.; Yaghoubi, E.; Khamees, A.; Razmi, D.; Lu, T. A systematic review and meta-analysis of machine learning, deep learning, and ensemble learning approaches in predicting EV charging behavior. Eng. Appl. Artif. Intell. 2024, 135, 108789. [Google Scholar] [CrossRef]
- Yaghoubi, E.; Yaghoubi, E.; Khamees, A.; Vakili, A.H. A systematic review and meta-analysis of artificial neural network, machine learning, deep learning, and ensemble learning approaches in field of geotechnical engineering. Neural Comput. Appl. 2024, 36, 12655–12699. [Google Scholar] [CrossRef]
- Xia, S.; Ding, Z.; Shahidehpour, M.; Chan, K.W.; Bu, S.; Li, G. Transient stability-constrained optimal power flow calculation with extremely unstable conditions using energy sensitivity method. IEEE Trans. Power Syst. 2020, 36, 355–365. [Google Scholar] [CrossRef]
- Fang, D.-z.; Chung, T.; Zhang, Y.; Song, W. Transient stability limit conditions analysis using a corrected transient energy function approach. Power Syst. IEEE Trans. 2000, 15, 804–810. [Google Scholar] [CrossRef]
- Peng, K.; He, A. Energy Function Based Transient Stability Analysis of Power System Integrated with DFIG. IOP Conf. Ser. Earth Environ. Sci. 2021, 769, 042061. [Google Scholar] [CrossRef]
- Wang, Z.; Wang, J.; La Scala, M. A novel distributed-decentralized fixed-time optimal frequency and excitation control framework in a nonlinear network-preserving power system. IEEE Trans. Power Syst. 2020, 36, 1285–1297. [Google Scholar] [CrossRef]
- Xu, G.; Fu, Y.; Zhan, Y.; Wang, Z.; Zhao, H.; Zhang, Y. Influence of Different Rotor Damping Structures on Dynamic Characteristic of Dual-Excited Synchronous Generator with Excitation Control. IEEE Trans. Ind. Appl. 2023, 59, 6634–6644. [Google Scholar] [CrossRef]
- Liu, Y.; Xu, C.; Lin, Z.; Xiahou, K.; Wu, Q. Constructing an energy function for power systems with dfigwt generation based on a synchronous-generator-mimicking model. CSEE J. Power Energy Syst. 2021, 8, 64–75. [Google Scholar]
- Sobbouhi, A.R.; Vahedi, A. Transient stability prediction of power system; a review on methods, classification and considerations. Electr. Power Syst. Res. 2021, 190, 106853. [Google Scholar] [CrossRef]
- Jahromi, M.Z.; Kouhsari, S.M. A novel recursive approach for real-time transient stability assessment based on corrected kinetic energy. Appl. Soft Comput. 2016, 48, 660–671. [Google Scholar] [CrossRef]
- Zareian Jahromi, M.; Tajdinian, M.; Zhao, J.; Dehghanian, P.; Allahbakhsi, M.; Seifi, A.R. Enhanced sensitivity-based decentralised framework for real-time transient stability assessment in bulk power grids with renewable energy resources. IET Gener. Transm. Distrib. 2020, 14, 665–674. [Google Scholar] [CrossRef]
- Mahanta, P.; Ahmed, H.A.; Bhattacharyya, D.K.; Kalita, J.K. An effective method for network module extraction from microarray data. BMC Bioinform. 2012, 13, 1. [Google Scholar] [CrossRef]
- Wahab, N.I.A.; Mohamed, A.; Hussain, A. An improved method in transient stability assessment of a power system using probabilistic neural network. J. Appl. Sci. Res. 2007, 3, 1267–1274. [Google Scholar]











Disclaimer/Publisher’s Note: The statements, opinions and data contained in all publications are solely those of the individual author(s) and contributor(s) and not of MDPI and/or the editor(s). MDPI and/or the editor(s) disclaim responsibility for any injury to people or property resulting from any ideas, methods, instructions or products referred to in the content. |
© 2024 by the authors. Licensee MDPI, Basel, Switzerland. This article is an open access article distributed under the terms and conditions of the Creative Commons Attribution (CC BY) license (https://creativecommons.org/licenses/by/4.0/).
Share and Cite
Keivanimehr, M.; Zareian Jahromi, M.; Chamorro, H.R.; Khademi, M.R.M.; Yaghoubi, E.; Yaghoubi, E.; Sood, V.K. A Hybrid Method Based on Corrected Kinetic Energy and Statistical Calculation for Real-Time Transient Stability Evaluation. Processes 2024, 12, 2409. https://doi.org/10.3390/pr12112409
Keivanimehr M, Zareian Jahromi M, Chamorro HR, Khademi MRM, Yaghoubi E, Yaghoubi E, Sood VK. A Hybrid Method Based on Corrected Kinetic Energy and Statistical Calculation for Real-Time Transient Stability Evaluation. Processes. 2024; 12(11):2409. https://doi.org/10.3390/pr12112409
Chicago/Turabian StyleKeivanimehr, Mehran, Mehdi Zareian Jahromi, Harold R. Chamorro, Mohammad Reza Mousavi Khademi, Elnaz Yaghoubi, Elaheh Yaghoubi, and Vijay K. Sood. 2024. "A Hybrid Method Based on Corrected Kinetic Energy and Statistical Calculation for Real-Time Transient Stability Evaluation" Processes 12, no. 11: 2409. https://doi.org/10.3390/pr12112409
APA StyleKeivanimehr, M., Zareian Jahromi, M., Chamorro, H. R., Khademi, M. R. M., Yaghoubi, E., Yaghoubi, E., & Sood, V. K. (2024). A Hybrid Method Based on Corrected Kinetic Energy and Statistical Calculation for Real-Time Transient Stability Evaluation. Processes, 12(11), 2409. https://doi.org/10.3390/pr12112409

