Next Article in Journal
Corrosion Behavior and Mechanical Performance of Drill Pipe Steel in a CO2/H2S-Drilling-Fluid Environment
Previous Article in Journal
Enzymatic Pretreatment of Slaughterhouse Wastewater: Application of Whole Lipolytic Cells of Rhizopus oryzae Produced from Residual Vegetable Oil
 
 
Font Type:
Arial Georgia Verdana
Font Size:
Aa Aa Aa
Line Spacing:
Column Width:
Background:
Article

Performance and Exhaust Emissions from Diesel Engines with Different Blending Ratios of Biofuels

1
Faculty of Engineering, Naresuan University, 99 Moo 9 Tapoe Maung, Phitsanulok 65000, Thailand
2
School of Mechanical and Automotive Engineering, Guangxi University of Science and Technology, Liuzhou 545006, China
3
Guangxi Kangsheng Meat Products Co., Ltd., Liuzhou 545000, China
*
Author to whom correspondence should be addressed.
Processes 2024, 12(3), 501; https://doi.org/10.3390/pr12030501
Submission received: 13 February 2024 / Revised: 25 February 2024 / Accepted: 25 February 2024 / Published: 29 February 2024
(This article belongs to the Section Energy Systems)

Abstract

Fossil fuel extraction and utilization are associated with several environmental issues. This study examined how altering the blending proportions of mixed diesel/biodiesel/n-butanol fuels impacts combustion. Additionally, it delved into the functioning of diesel engines when utilizing these blended fuels as well as conventional diesel. A three-dimensional fluid dynamics simulation was constructed and corroborated against test outcomes obtained at 25%, 50%, 75%, and 100% loads. The findings indicated that the n-butanol addition enhanced the indicated thermal efficiency. At a 100% load, D70B30 (70% diesel + 30% biodiesel), D70B25BU5 (70% diesel + 25% biodiesel + 5%N-butanol), D70B20BU10, and D70B10BU20 exhibited 4.76%, 5.75%, 6.79%, and 8.71% higher indicated thermal efficiency values than D100 (100% diesel), respectively. The introduction of butanol enhanced the combustion environment within the combustion chamber. Compared with pure diesel, all blended fuels reduced hydrocarbon and carbon monoxide emissions across various loads. The blended fuels showed significant reductions in hydrocarbon emissions of 1%, 4%, 6%, and 15% compared with that of diesel under the 25% load, respectively.

1. Introduction

For centuries, fossil fuels have played a pivotal role in shaping human society, serving as a fundamental catalyst for economic progress and technological advancements. The widespread utilization of these energy resources, from coal to oil and natural gas, has driven industrial, transportation, agricultural, and lifestyle transformations [1,2].
Nevertheless, ecological issues linked to the extraction and usage of fossil fuels have progressively gained recognition. The combustion of fossil fuels, with the associated emissions of carbon dioxide, has driven global warming, which has triggered rising sea levels and more frequent severe weather occurrences. To meet the goal of limiting the global mean increase in temperature to below 2 °C, a reduction from 40% to 70% in global greenhouse gas emissions relative to levels recorded in 2021 must be achieved by 2025 [3]. These environmental challenges compel us to reconsider how energy is acquired and utilized to achieve sustainable development and ecological balance. The environmental crises caused by fossil fuels have gradually attracted increasing attention. The greenhouse effect in the atmosphere is primarily caused by waste gas generated after the burning of fossil fuels. The greenhouse effect is the main cause of global warming and climate change. The waste gases include carbon monoxide (CO) and nitrogen oxide (NOX) [4]. Currently, more than 75% of emissions come from fossil fuels, so countries need to work together to limit the extraction of fossil fuels [5]. Fossil fuels not only caused severe environmental pollution, but also accelerated the consumption and depletion of fossil fuels with the growth of vehicle numbers [6,7]. Using additives will reduce such pollution from fossil fuel extraction. Thus, researchers have attempted to develop new fuels to replace fossil fuels. Although diesel engine vehicles are controversial, they remain crucial in reducing CO emissions [5]. Hence, the pursuit of an alternative fuel compatible with diesel engines has become imperative.
Of the various available alternatives, biodiesel is promising due to its renewable nature. The total energy production from biodiesel is the fourth highest, following coal, oil, and natural gas. Its advantages include a wide range of raw materials and renewability and it shows excellent combustion, emission performance, lubrication, use, and safety performance. Compared with fossil diesel fuel, biodiesel utilization contributes to the mitigation of hydrocarbon (HC) emissions, soot, and CO [8]. Numerous studies have explored the similarity in characteristics between biodiesel and its constituents, and the findings were similar to those for diesel. In general, biodiesel is produced using renewable energy like waste and vegetable oil, consists of a long-chain fatty acid methyl ester, and has approximately 2–3-times higher viscosity than ordinary diesel [9]. Therefore, the short-term use of biodiesel for combustion has yielded good results. However, problems have been observed after its long-term use, such as carbon deposition and piston oil ring adhesion. This is one of the reasons biodiesel has not been widely used [10].
Studies on the impact of varying ratios of biodiesel–petroleum blends on engine performance have suggested that B20 can yield improved engine efficiency and lower vehicle exhaust because the substance characteristics of B20 are closer to those of fossil diesel [11,12]. Khan et al. [13] determined that, for diesel fuels, an increase in the proportion of biodiesel leads to a corresponding increase in NOx emissions. However, in comparison to pure diesel fuel, the emission of CO is reduced when using biodiesel–water mixtures. The experimental outcomes of Elumalai et al. [14] and Yogesh et al. [15] demonstrated that, as the proportion of biodiesel increased, the engine performance declined. Typically, four strategies are used to mitigate emissions from diesel engines that use biodiesel as fuel [16]: fuel additives, exhaust gas recirculation (EGR) technology, fuel delivery approach modifications, and burning chamber geometry modifications. Among them, employing fuel additives to improve engine efficiency while lowering emissions is an economical and feasible strategy because it does not require engine alterations and is more in line with people’s driving habits. In general, the addition of oxygenated additives, including alcohol additives, to biodiesel can effectively decrease the release of soot and other substances.
Due to the rise of pure diesel fuel cost, N-butanol (C4H10O) has garnered significant research focus, emerging as a promising eco-friendly alternative, and drawing substantial scholarly scrutiny [17,18,19,20]. As an oxygenated fuel, n-butanol is safer and less corrosive than other higher carbon alcohols, and its combustion can effectively reduce soot emissions [21]. Therefore, n-butanol and biodiesel can be mixed and combusted according to a certain mixing ratio, which can help solve certain problems associated with biodiesel, such as clogged filters because of the elevated viscosity of biodiesel and the subsequent effects on engine life. As a biofuel, n-butanol can be produced using biological methods to effectively alleviate fossil fuel energy depletion.
According to Yu et al. [22], as the N-butanol ratio increased within a fuel mixture, soot and CO emissions decreased. Nalla et al. [23] used Prunus domestica seeds as fuel and n-butanol as an additive and found that the cylinder combustion had higher efficiency and lower fuel usage on account of the presence of n-butanol. Moreover, better emission results were obtained because n-butanol exhibits an elevated oxygen concentration and reduces the viscosity of biodiesel. Singh [8] indicated that, although the combustion performance remained largely unchanged with the inclusion of n-butanol, the fuel samples without the additive exhibited inferior emission characteristics compared to those with the additive. Asokan [24] performed experiments on internal combustion engine and indicated that the specific fuel consumption (SFC) of the n-butanol/biodiesel blend fuel can be reduced by 3.45% as opposed to that of 20% for a biodiesel/diesel blend. These studies demonstrate that the incorporation of n-butanol maintains engine performance while mitigating engine emissions.
Therefore, the blend of biodiesel and n-butanol emerges as a promising biofuel. In this study, computational fluid dynamics (CFD) analyses were conducted to explore mixed fuels consisting of n-butanol and biodiesel. Based on traditional technology, CFD has the advantages of low time and work costs. Notable CFD software programs include AVL-FIRE, ANSYS FLUENT, and CONVERGE. Zhang et al. [25] used AVL-FIRE 2013 to conduct simulations on low-water-level biodiesel emulsion fuel and pure biodiesel fuel. Madihi [26] used CONVERGE software to explore how altering the fuel supply time and injection rate influences the Reactivity-Controlled Compression Ignition concept. Furthermore, Kim et al. [27] employed ANSYS FLUENT 2019R2 software to probe how varying injection angles and positions impact the two-stroke diesel engine characteristics. These authors demonstrated that a 0.02 m injection position and 40° injection angle improved engine performance. However, if a 0.01 m injection position was used, then reductions in NO, soot, CO2, and other emissions were realized. Madihi et al. [28] and Zhang et al. [19] studied the emissions and performance of blended fuels using the CFD software CONVERGE STUDIO 3.0 and found that the simulation results were consistent with the expected test results. Thus, CFD software enables the simulation and analysis of diesel engine combustion.
This study aimed to evaluate the effects of substituting diesel with biodiesel on engine performance and exhaust emissions. To achieve this, this study simulated the combustion process by coupling the combustion and reaction mechanisms of test fuel through the utilization of CONVERGE STUDIO 3.1.8 software. First, Solidworks and CONVERGE STUDIO were employed to create a cylinder model of a water-cooled diesel engine. Then, CFD models with 100%, 75%, 50%, and 25% loads were verified experimentally at 2000 rpm. In addition, the coupling of a model based on the CHEMKIN II format skeletal mechanism was employed. The skeletal mechanism encompassed six elements and involved 389 reactions concerning methyl oleate, diesel, and n-butanol. Finally, the impacts of mixtures with varying proportions of butanol and biodiesel on engine operation and exhaust were compared. This research holds both academic and practical significance in elucidating the methodology of substituting diesel with biodiesel to achieve energy savings and emissions reductions.

2. Concepts and Methodologies

2.1. Equation

2.1.1. Fundamental Conservation Principles

Multidimensional numerical simulations of a diesel engine cylinder are performed to simulate gas flow in a diesel engine cylinder based on classical fluid mechanics. These equations encompass principles for mass, momentum, energy, and component conservation. Furthermore, a set of partial differential equations was employed to depict the flow process in the cylinder [29].
  • Mass equation
In the realm of classical fluid mechanics, the principle of mass conservation dictates that an increase in the mass of a particular fluid component over a given period is equivalent to the net influx of mass into that component during the corresponding interval of time. The equation is as follows [29,30]:
p t + x j ( p u j ) = S m
where p is density, t is time, u j is the fluid’s speed component of the fluid in the x j direction, S m is the quality source term, and x j ( p u j ) is the tensor sign. The value of the tensor sign can be written as follows [29]:
x j ( p u j ) = x 1 ( p u 1 ) + x 2 ( p u 2 ) + x 3 ( p u 3 )
2.
Momentum equation
A cornerstone in the field of fluid dynamics, the principle of momentum conservation asserts that the rate at which fluid momentum within a component is altered with respect to time equals the cumulative effect of external forces exerted on the component. This fundamental concept underscores the profound relationship between forces and the dynamic behavior of fluids. The equation embodying momentum preservation is written as follows [29]:
t ( p u i ) + x j ( p u j u i τ i j ) = p x i + S i
where p is pressure, τ i j is a component of the stress tensor, u i is the fluid velocity component in the x i orientation, and S i is the term accounting for momentum sources.
3.
Energy equation
The principle of energy conservation asserts that the pace at which energy within a specific entity is increased is equal the cumulative heat influx into the entity along with the mechanical work carried out by both physical and surface forces upon the entity. The expression of the law of energy conservation can be written as follows [29]:
t ( p h 0 ) + x j ( p u j h 0 ) = p x j ( Γ h h 0 x j ) + S h
where
S h = p t + x j ( u i τ i j ) + p q R + x j [ ( λ l m l c p l Γ h ) T x j + l ( Γ l Γ h ) h l m l x j Γ h x j ( u i u j 2 ) ]

2.1.2. Turbulence Model

The equations for the state of the gas mixture and basic conservation equations above form a closed equation group. Theoretically, assuming the computability of the source coefficient in the mathematical expression and the addition of appropriate definite solution conditions, a numerical solution that describes the entire combustion process of the engine or other systems can be obtained. However, the above basic equations were derived only for laminar flow, whereas the flow and combustion processes in nature and engineering are almost turbulent processes. Moreover, the fluid in operation within the cylinder of the internal combustion engine exhibits a strong density change. Thus, it is necessary to modify the conventional RNGkε. The equation can be expressed as follows [31]:
ρ k t + ( ρ u ¯ k ) = 2 3 ρ k u ¯ + u l [ S 2 2 3 ( · u ¯ ) 2 ] + ( α k μ k ) ρ ε ρ ε t + ( ρ u ¯ ε ) = [ 2 3 C 1 C 3 + 2 3 C μ C η k ε · u ¯ ] ρ ε · u ¯ + C ε k μ 1 ( · u ¯ ) 2 + ( α ε μ ε ) + k ε { μ 1 ( C 1 C η ) [ S 2 2 3 ( · u ¯ ) 2 ] C 2 ρ ε }
where
C 3 = 1 + 2 C 1 3 m ( n 1 ) + ( 1 ) δ 6 C μ C η η 3
C η = η ( 1 η / η 0 ) 1 + β η 3 C = 0
At divergence · u ¯ < 0 , δ = 1 , and at · u ¯   >   0 , δ = 0 . In the above equations, m = 0.5 and n is the polytropic index, which is a constant related to the thermodynamic processes in the cylinder.

2.1.3. Combustion Model

Within this research, the combustion model employed was the SAGE model, which is well-regarded for its accuracy in capturing combustion phenomena. The combustion mechanism and reaction kinetics were coupled using the CHEMKIN scheme. In the present investigation, an exploration was conducted into the chemical kinetics mechanism encompassing 389 reactions and 69 species.

2.1.4. Spray Model

Reitz [32] proposed the first practical application-oriented liquid separation and atomization model. Because it is based on the Kelvin–Helmholtz instability analysis in classical fluid mechanics, this model is also called the K–H model. In addition, this model plays a leading role in the atomization of high-pressure liquid jets. However, for discrete droplet atomization, a Rayleigh–Taylor (R–T) wave is induced. In diesel engines, the initial spray speed is high, the air resistance is high, and the inertial force on the droplets is large. Thus, the role of the R–T unstable wave cannot be ignored and must be considered together with the K–H wave.

2.1.5. Emission Model

This study utilized the Zeldovich model to forecast NOx emissions. When implementing this model, the contribution of fuel NO can be disregarded and the influence of transient NO is minimal (less than 5% of thermal NO) [33]. In addition, the prediction of soot was performed using the Hiroyasu–Nagle model. This model encompasses the Hiroyasu model [34], which addresses the formation of particulate matter, and the Nagle model [35], which accounts for the degradation of particulate matter. The control equation is expressed as follows:
d z s d t = d z s f d t d z s o d t
d z s f d t = A f z f P 0.5 exp ( E s f R T )
d z s o d t = A o z s P o 2 P P 1.8 exp ( E s o R u T )
where A f , z f , and A 0 are constants; p O 2 is the partial pressure of oxygen, Pa; z s is the overall quantity produced by soot, kg;  z s f is the generated soot, kg; z s o is the quantity of oxidation of soot, kg; p is the pressure within the cylinder, Pascals; E s f is the minimum energy for the formation to occur; E s o is the activation energy for facilitating the oxidation process, a crucial parameter that influences the kinetics and outcomes of this chemical reaction, KJ; and R u , expressed in cal/( k · g · m o l ), is the universal gas constant.

2.2. Thermophysical Property Predictions

To obtain reliable results, it is necessary to correctly predict the critical properties, including boiling points, as well as other components such as the latent heat of vaporization (LHV) and the viscosity of the mixed fuels. This information holds a vital influence over the ignition and combustion processes of an engine and is essential to obtain through various prediction methods.
Lapuerta et al. [36] proposed a prediction formula for the normal boiling points of liquids. The ideal gas state equation indicates that
ln ( p 1 / p 2 ) = Δ v a p H m / R ( 1 / T 2 1 / T 1 ) ,
where p 1 p 2 is the steam pressure at Kelvin temperatures of T 1 T 2 and Δ v a p H m is the heat of evaporation.

2.2.1. Critical Properties

The critical properties are specific values at the substance’s critical point. Methyl oleate is one of the main products in biodiesel production and is often utilized as an indicator of biodiesel. These esters and alcohols are easily separated at high temperatures. Thus, it is difficult to use experimental methods to determine the critical properties of these components. However, critical property data with a certain accuracy can be calculated via theoretical knowledge of thermodynamics, statistical mechanics, molecular structure, and separation physical properties. The commonly used estimation methods are the Joback and Constantionous Gani (C-G) methods [37].
T c = T b 0.584 + 0.965 k ( N k × g c k ) { k ( N k × g c k ) } 2
p c = { 0.113 + 0.0032 N A k N k p c k } 2
where T c is the critical temperature in Kelvin, T b is the atmospheric gaseous transition temperature, Gck is the group’s contribution value, pck is the group contribution factor in the critical pressure estimation, N k is the group occurrence count, N A is the count of atoms within the formula, and p c is the critical pressure (bar). The Joback method is easy to calculate. If the accuracy of the critical temperature is the same as the experimental value, the estimation using the Joback method is reliable. However, the C-G method does not require a t-value and the influence of adjacent groups is considered. The formulae for estimating the critical point using the C-G method are as follows:
T c = 181.128 ln { k N k g c 1 k + W j M j g c 2 j }
p c = { k N k p c 1 k + W j M j p c 2 j + 0.10022 } 2 + 1.3705
ω = 0.4085 { ln [ k N k ω 1 k + W j M j ω 2 j + 1.1507 ] } 1 / 0.5050
In these formulae, the units of the critical property are the same as those used in Joback’s method.

2.2.2. Saturated Vapor Pressure

Saturated steam pressure, also known as steam pressure, refers to the pressure of steam in equilibrium with solids or liquids under a certain temperature and closed conditions, which is called saturated vapor pressure. Saturated vapor pressure is calculated as follows:
ln P v p P c m = f ( 0 ) + ω m f ( 1 ) + ω m 2 f ( 2 )
f ( 0 ) = 5.97616 τ + 1.29874 τ 1.5 0.60394 τ 2.5 1.06841 τ 5 T / T c m
f ( 1 ) = 5.03365 τ + 1.11505 τ 1.5 5.41217 τ 2.5 7.46628 τ 5 T / T c m
f ( 2 ) = 0.63771 τ + 2.41539 τ 1.5 4.26979 τ 2.5 + 3.25259 τ 5 T / T c m
τ = 1 T / T c m
where P v p is the saturated vapor pressure (bar), P c m is the critical pressure of the biodiesel (bar), ω m is the eccentricity factor of the biodiesel, and T is the fuel temperature, K [38].

2.2.3. Dynamic Viscosity

Dynamic viscosity, alternatively referred to as absolute viscosity, characterizes the measure of internal resistance within a fluid. It signifies the force needed to move one plane relative to another with a unit velocity while maintaining a unit distance in the fluid [39]. Greater fluid viscosity corresponds to higher fluid viscosity, whereas lower viscosity signifies a thinner fluid consistency. The expression of this can be conveyed by utilizing the following formula:
ln η l i q u i d = E + F T + H
where η l i q u i d ( M P a s ) is the dynamic viscosity of the liquid and E, F, and H are correction factors determined by the dynamic viscosity measurements corresponding to three or more temperatures [40].

2.2.4. Surface Tension

Surface tension pertains to the force exhibited by the surface layer of a liquid along any boundary line on the surface due to the molecular imbalance of cohesive forces. This formula is expressed as follows:
σ = P c 2 / 3 T c 1 / 3 Q ( 1 T / T c ) 11 / 9
Q = 0.1196 [ 1 + T b / T c ln ( P c / 1.01325 ) 1 T b / T c ] 0.279
where σ is the liquid interfacial tension measured, mN/m; P c is the critical pressure, bar; and T c and T b are the critical Kelvin temperature and standard Kelvin boil temperature, respectively [38].

2.2.5. Thermal Conductivity

Thermal conductivity pertains to the transfer of heat across a unit area of a material with a thickness of 1 m, experiencing a temperature differential of 1° (measured in Kelvin or Celsius), between the opposing surfaces, while maintaining steady heat transfer circumstances. The unit is watt/meter · degree (W/(m·K), where K can be replaced by C. The formula is as follows:
λ = 0.16 m λ b
m = 1 ( 1 T / T c 1 T b / T c ) 0.2
where λ is the thermal conductivity coefficient of a liquid, typically measured in W / ( m · K ) ; λ b is the liquid’s thermal conductivity at the standard boil temperature, which can be obtained from the group contribution value and correction; and T c , T b are the critical temperatures of biodiesel and the standard Kelvin boiling point, respectively.

2.2.6. Density

The formula for calculating the biodiesel density at temperature ρ ( g / c m 3 ) is expressed as follows:
ρ = ρ r ( 0.29056 0.08775 ω c m ) ϕ
ϕ = ( 1 T / T c m ) 2 / 7 ( 1 T r / T c m ) 2 / 7
where ρ r is the density of the fluid at a specific reference condition, T r is the corresponding reference temperature, and T c m and ω c m are the Kelvin critical temperature and eccentricity factor of biodiesel, respectively [38].

2.2.7. Latent Heat of Vaporization

When a specific liquid substance undergoes vaporization at a constant temperature, the LHV represents the amount of energy absorbed per unit mass. The prediction formula is as follows:
H v R T c m = 7.08 ( 1 T / T c m ) 0.354 + 10.95 ω m ( 1 T / T c m ) 0.456
where H v is the LHV measured in joules per mole (J/mol), R is the ideal gas constant, and T c m and ω c m are the Kelvin critical temperature and eccentricity factor of biodiesel, respectively.

2.3. Mechanism of Biodiesel and n-Butanol

The construction of a chemical reaction mechanism is vital for studying and comprehending complex chemical reaction networks. In the scope of this study, using the validated [41] reaction mechanisms of methyl oleate and n-butanol, a reaction mechanism consisting of 389 reactions and 69 species containing five elements was constructed based on the CHEMKIN format.

2.4. Three-Dimensional CFD Model

Within the confines of this research framework, a geometric structure of the combustor was created building upon the outline of an engine cylinder using Solidworks 2022–2023 software. Moreover, it was saved in STL format and imported into CONVERGE Studio simulation software. Mesh-cutting technology was used to generate the internal mesh and the mesh at the intersection of the surface based on the surface STL file. Subsequently, the model was subjected to facile segmentation and judicious configuration of computational parameters. The engine cylinders were symmetrical and had eight identical nozzles. To expedite the calculation process, this study streamlined the model by employing a 1/8 representation of the engine cylinder as the computational domain. Figure 1 shows the 1/8 geometric model of the combustion chamber. Table 1 lists the essential parameters associated with a diesel engine. The combustion characteristics vs. the emission of diesel and its blends were simulated by changing various parameters related to the fuel in the CFD model.

2.4.1. Computational Mesh

This study established a dynamic grid of the one-eighth model derived from the geometric configuration of a turbocharged water-cooling diesel engine and the characteristics of its eight injection orifices in a pile distribution. To accurately predict the fuel inflow and combustion process, three grid generation modes were established at the top dead-center location, as depicted in Figure 2. Three categories of models were presented: coarse, medium, and fine grids. The three grids had total number values of 51,181, 304,411, and 986,612, respectively.
Figure 3 shows the cylindrical pressure curve under 100% load. Significant differences were not observed among the cylinder pressure obtained from the medium- and fine-grid models when diesel fuel was used. To save calculation time and operational costs, the medium-grid model was selected in this research framework to ensure calculation accuracy.

2.4.2. Feasibility Assessment

Within the confines of this research framework, the CFD model of the piston chamber was established using CONVERGE. The study investigated how various blending ratios of diesel/n-butanol/methyl oleate mixtures affect the combustion behavior and emission properties of engines under different loading conditions. Tests were conducted to validate the feasibility of the proposed model. Figure 4 depicts a diagram of the experimental device. In addition, a fuel flowmeter FCMM-2 instrument (Shiyan, China) was employed to assess the quality of the fuel, while an exhaust emission monitor (Kyoto, Japan. Horiba Ltd. MEXA 1600D/DEGR) was utilized to monitor the emissions of the engine. The load on the engine was determined using a hydraulic load-measuring device. In addition, an electronical management system was implemented to govern the operations of the engines. Table 2 lists the measurement range and allowable error range for each testing device.

2.5. Uncertainty Analysis

Within the confines of this research framework, the formula provided below allows for the computation of the overall uncertainty involved in the process of conducting the investigative test.
T o t a l   u n c e r t a i n t y =   [ ( U   o f   P S ) 2 + ( U   o f   B P ) 2 + ( U   o f   H C ) 2 + ( U   o f   N ) 2 + ( U   o f   C O ) 2 + ( U   o f   S ) 2 ] = [ ( 0.5 % ) 2 + ( 0.03 % ) 2 + ( 0.11 % ) 2 + ( 0.53 % ) 2 + ( 0.32 % ) 2 + ( 2.8 % ) 2 ] = 2.913 % .
where U is uncertainty.

2.6. Model Validation

To accurately predict the emission properties and combustion behavior of n-butanol/biodiesel and diesel models under varying mixing ratios in diesel engines and validate the model’s accuracy, four types of load tests were performed on the test device with diesel fuel at 100%, 75%, 50%, and 25%. The model’s accuracy was confirmed by examining the results of the test pertaining to the cylinder pressure, heat release rate (HRR), NOx, and soot emissions during the combustion process. A comparison of the cylinder pressure and HRR at load levels of 100%, 75%, 50%, and 25% is illustrated in Figure 5. The outcomes of the three-dimensional simulation align well with the empirical observations. A comparison of the NOx and soot emission results is shown in Figure 6. According to the results, the model can effectively and accurately forecast engine performance and emissions.

2.7. Fuel Sample Preparation

In this investigation, mixed fuels of n-butanol and biodiesel in different proportions were used: D100, D70B25BU5, D70B20BU10, D70B10BU20, and D70B30. The name and composition of the fuels are shown in Table 3, the chemical makeup and inherent properties of diesel, n-butanol, and biodiesel are shown in Table 4, and the combination and physical characteristics of the mixed fuels are illustrated in Table 5.

3. Results and Discussion

Five fuels were simulated (D100, D70B25Bu5, D70B20Bu10, D70B10Bu20, and D70B30) and the indicated thermal efficiency (ITE), indicated SFC (ISFC), cylinder pressure, cylinder temperature, NOx, soot, CO, HC emissions, and other aspects were studied. Moreover, an investigation was conducted to analyze the influence of varied substance mixtures on the operational efficiency, combustion behavior, and emission properties within a compression ignition engine. Due to constraints in both time and resources, we only conducted experiments on two operating conditions under high load (100% load and 75% load) and one operating condition under low load (25% load). Our sample size was relatively small, which could have potentially impacted the comprehensiveness of the research findings.

3.1. Combustion Characteristics

3.1.1. Indicated Specific Fuel Consumption

The ISFC is used to determine the fuel consumption efficiency, determining carbon emissions and the release of air pollutants. Figure 7 illustrates the ISFC for diesel/biodiesel and n-butanol-blended fuels under three distinct load conditions. At 100% load, the fuel efficiency was higher compared to other loads because fuel utilization was more efficient. The adverse effect of adding n-butanol to the engine indicated fuel consumption decreased with increasing load, a trend that aligns with the conclusions of Huang et al. [43]. However, the influence of n-butanol on the ISFC became increasingly negligible at high loads. This was ascribed to the ameliorated engine combustion at high loads, thus mitigating the adverse effects caused by n-butanol’s lower calorific value. Analogous findings have been reported in previous investigations [44], thus corroborating the current observations.

3.1.2. ITE

The ITE serves as a metric for assessing the engine’s ability to convert the thermal energy of fuel into mechanical energy [45]. Figure 8 depicts the thermal efficiencies of the diesel and blended fuels under three distinct load conditions. Diesel exhibited the lowest ITEs at 100% load, which were 4.55%, 5.45%, 6.37%, and 8.03% lower than those of D70B30, D70B25BU5, D70B20BU10, and D70B10BU20, respectively. However, under the operating condition of 100% load, the ITEs of blends were 4.75%, 5.74%, 6.79%, and 8.72% higher than that of diesel, respectively. At 75% load, the ratios were 3.96%, 5.11%, 6.22%, and 8.09%, respectively.
The majority of n-butanol in a blended fuel compensates for the oxygen deficiency caused by volatility through the hydrogen abstraction of OH radicals at the α-carbon position [46]. As the n-butanol content increased, the ITEs of the blended fuels showed progressive increases. Wei and Zhu [44,47] observed minimal changes in the brake thermal efficiency (BTE) with n-butanol introduction, while Khan and Rajak [13,46] noted an enhancement in the BTE with the addition of n-butanol. However, several researchers [45,48,49] contended that the inclusion of n-butanol could lead to a decrease in the BTE.

3.2. Combustion Characteristics

3.2.1. Cylinder Pressure

Studying the cylinder pressure in diesel engines provides a comprehensive understanding of the combustion process, thermal efficiency enhancement, and performance optimization during engine operation.
As illustrated in Figure 9, under all conditions, diesel fuel exhibited lower cylinder pressures than D70B10BU20.
Across all load conditions, diesel fuel showed a later onset of cylinder pressure rise compared to the blended fuels, implying a lower start of combustion (SOC) for diesel than for the blended fuels. This observation aligns with the findings of Huang et al. [43]. The incorporation of fuels with a substantial oxygen concentration, such as n-butanol, effectively enhances the combustion process. Therefore, in comparison to diesel fuels, the utilization of D70B10BU20 resulted in higher in-cylinder pressures in all conditions, primarily because of the advantageous combustion-promoting characteristics associated with n-butanol. However, its impact was less significant during 75% load, which was imputed to the blended fuel’s improved premixed combustion and simultaneous extended ignition delay, which led to a reduction in cylinder pressure.
Figure 10 illustrates the fluctuations in the in-cylinder temperature, which aligns fundamentally with the fluctuations in the cylinder pressure. In subsequent analyses, the HRR curve and ignition delay were integrated to provide a detailed examination of the underlying factors contributing to these changes.

3.2.2. Cylinder Temperature and HRR

Understanding, optimizing, and controlling the combustion process, along with the improvement of overall performance and managing emissions in compression ignition engines, heavily relies on the knowledge of cylinder temperature. Therefore, investigating the variation in the cylinder temperature is essential for obtaining comprehensive insights. Figure 10 and Figure 11 present the cylinder temperature profiles and contour maps of the experimental fuels at varying load circumstances, respectively, and Figure 12 illustrates the HRR curve. Evidently, under the 75% load condition, the diesel fuel had a higher maximum cylinder temperature compared to the other blended fuels, whereas, under the remaining load conditions, the situation was different.
From an overall trend across all tested fuels, ignition delay decreases as load increases. Across all load conditions, the temperature rise in diesel occurred later than that in blended fuels. Diesel fuel exhibited a delayed SOC compared to the blended fuels. However, the incorporation of n-butanol and biodiesel in the blended fuel resulted in an increased SOC. The incorporation of n-butanol significantly enhanced the combustion process due to its high oxygen content and subsequently reduced ignition delay. Furthermore, the temperature curves, cylinder pressure, and HRR curves at the end of combustion exhibited a convergence, suggesting a similar end of combustion amidst the assessed fuels.
HRR is a significant combustion parameter derived from the application of the first law of thermodynamics to the pressure of the gases within the cylinder [45]. We can collectively analyze the in-cylinder combustion by simultaneously considering Figure 10, Figure 11 and Figure 12.
Under all load conditions, diesel combustion occurred later than that of the blended fuels, indicating that diesel had a higher ignition delay than the blended fuels. Owing to the convergence of the temperature, cylinder pressure, and HRR curve terminals for all fuels, the combustion duration of diesel was less than those of the blended fuels. The factors affecting ignition delay are twofold. Blended fuels containing n-butanol have increased the enthalpy of vaporization. However, due to the lower enthalpy of the vaporization of biodiesel, the enthalpy of vaporization for all blended fuels, except D70B10BU20, was lower, as seen in Table 5. The reduction in the LHV increased in-cylinder temperature which, in turn, decreased ignition delay. However, the presence of n-butanol resulted in a lower CN of the composite fuels, thereby extending the ignition delay, as suggested in reference [50].
Figure 12 reveals that, for all operating conditions except the 25% load, the peak HRR of the blended fuels surpassed that of diesel. A higher peak value indicated higher fuel combustion efficiency during the premixed combustion process [43]. Simultaneously, under 25%, the tested fuels’ peak HRR approached the top dead center, indicating a greater conversion of thermal energy into mechanical work [51]. This can be ascribed to several factors. First, n-butanol reduced the droplet size of the blended fuels, thereby increasing the spray cone angle. Second, the introduction of n-butanol, a fuel with abundant oxygen content, high volatility, and resistance to flow, enhanced the combustion environment within the cylinder [44,52]. Finally, the substantial differences in volatility due to variations in the boiling points of biodiesel and n-butanol lead to micro-explosions within the fuel droplets [53]. These factors contributed to the higher peak of HRR for blended fuels with n-butanol compared to diesel, except under 25% load conditions. At 25% load, diesel achieved the highest HRR peak but this did not convert to higher cylinder pressures, possibly because of combustion offset in lower temperature conditions. Similar phenomena were noted in Rakopoulos et al. [50,54].

3.3. Emission Properties

3.3.1. NOx Pollution

NOx poses risks to human health and the environment, necessitating their reduction in accordance with relevant regulations. In the context of diesel engines, NOx is predominantly formed through the Zeldovich mechanism. Because of the presence of 78.6% nitrogen gas (N2) and 20.95% oxygen (O2) in air, nitrogen and oxygen atoms combine at elevated temperatures, leading to NOx generation [49,55]. Thus, NOx emissions are primarily influenced by flame temperature, duration, and levels of oxygen [43,56]. An elevation in the combustion conditions resulted in higher NOx emissions with escalating loads, as illustrated in Figure 13. In addition, the NOx content in diesel fuel remained at its lowest level under low operating conditions. Nonetheless, the inclusion of biodiesel and n-butanol triggered an augmentation in this content. This increase is linked to the interplay between the negative factors associated with biodiesel [57] in reducing NOx emissions and the positive factors generated by n-butanol. The addition of n-butanol led to a higher LHV, which resulted in lower local flame temperatures compared to those observed with biodiesel. Furthermore, as analyzed in the preceding section, the blended fuels exhibited a shorter ignition delay compared to diesel due to various factors such as droplet size and CN. Consequently, the mixture experienced a longer duration at high temperatures compared to diesel. Moreover, As the proportion of n-butanol in the blend increased, there was a higher supply of oxygen for NOx formation, which coincided with an elevation in the peak combustion temperature. These factors resulted in diesel NOx emissions being the lowest under low-load operation. At high loads, the addition of n-butanol demonstrates a positive impact on reducing NOx emissions, reaching a minimum when D70B10BU20 is utilized. Conversely, at low loads, the inclusion of n-butanol did not exhibit a positive impact on decreasing NOx emissions.

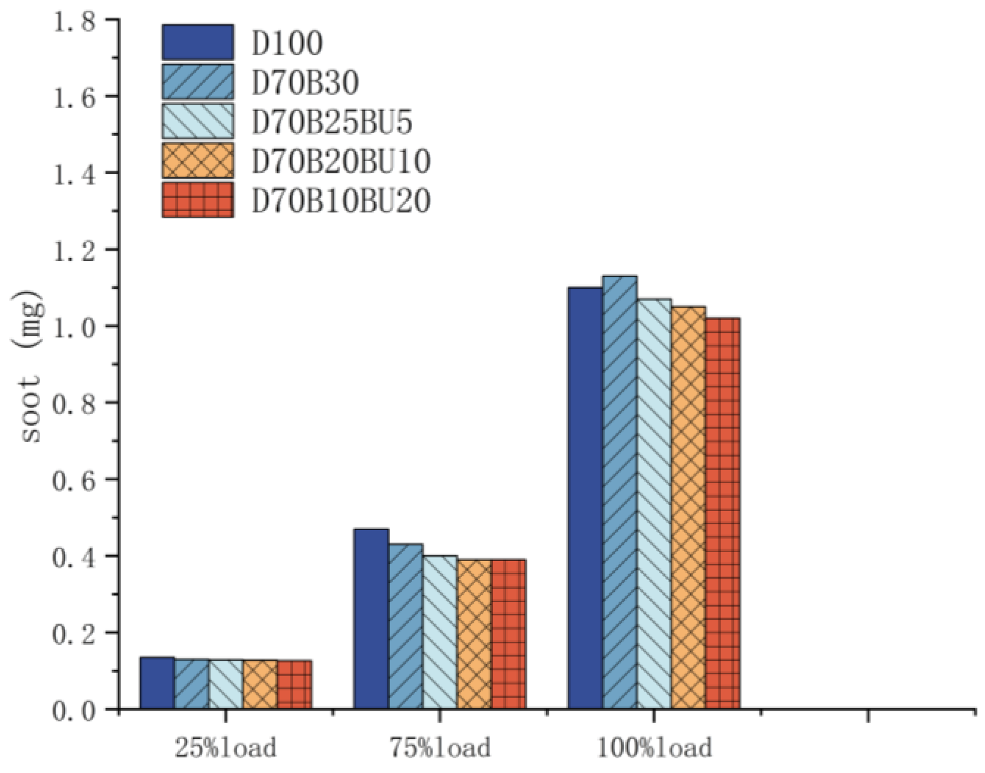
3.3.2. Soot Emission

Soot is a black or dark brown substance found in smoke. In compression ignition engines, soot formation occurs through the incomplete oxidation of fuel under oxygen-deprived conditions following high-temperature evaporation. Excess fuel that has not undergone effective combustion is emitted by the engine [43,45]. Factors influencing soot emissions include fuel premixing, injection timing, fuel atomization, and an oxygen-deficient environment [45]. As depicted in Figure 14, soot emissions showed a general decreasing trend with the incorporation of biodiesel and n-butanol, albeit with a relatively weak impact. Considering that n-butanol possesses lower viscosity and higher surface tension in comparison to biodiesel, the inclusion of n-butanol improves the atomization and evaporation properties of the mixed fuel, which in turn minimizes oxygen-deficient areas within the cylinder and consequently lowers soot formation. Nevertheless, the elevated LHV of n-butanol concurrently lowers the cylinder temperature, which hinders complete fuel combustion. These two conflicting phenomena contributed to the relatively subtle impact of n-butanol on soot emissions.
To achieve higher output power, the engine injects more fuel at full load, which results in larger fuel-rich regions within the combustion chamber [58]. Therefore, soot emissions were highest at full load. Under all load conditions, the incorporation of n-butanol resulted in decreased soot emissions.

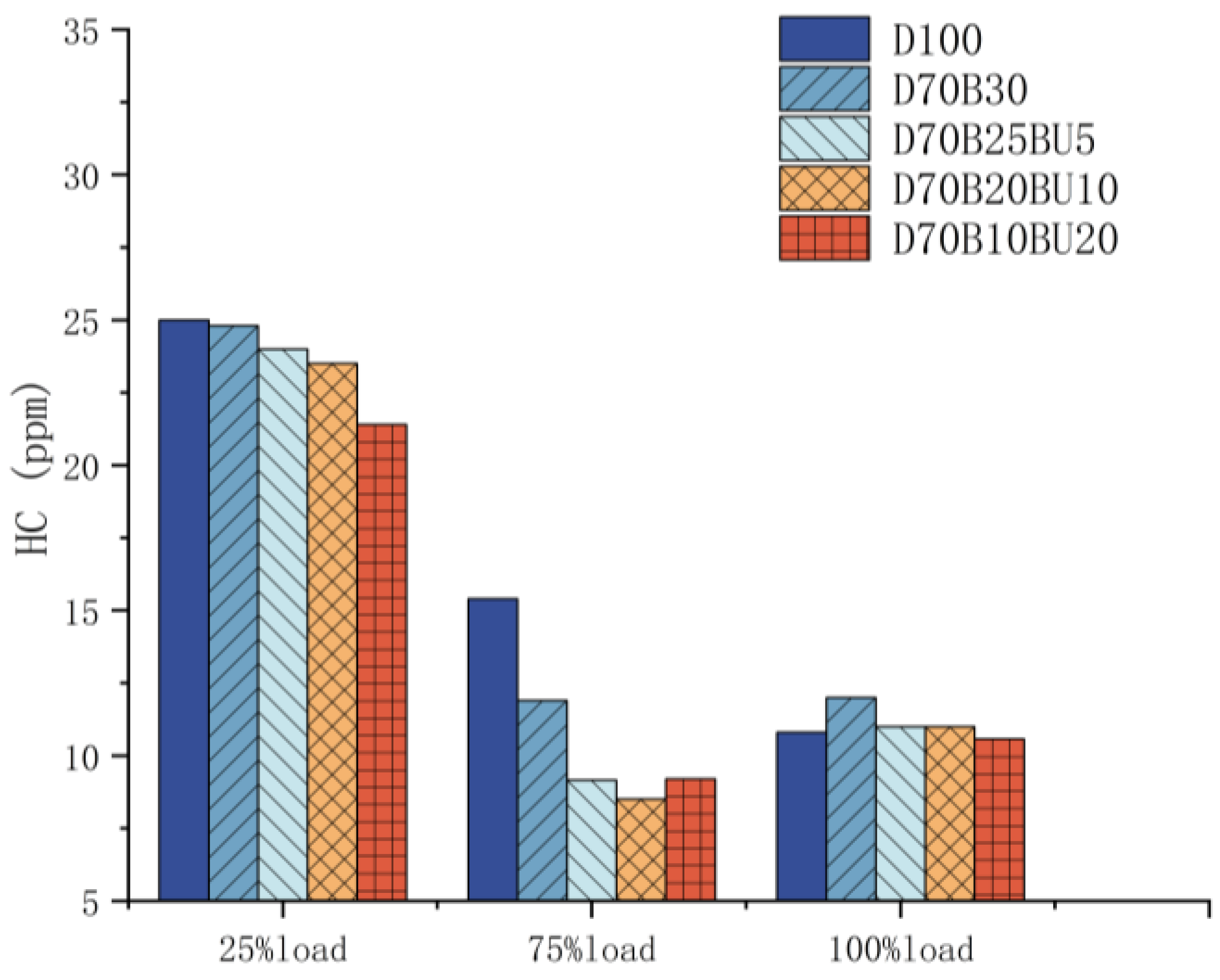
3.3.3. HC Emission

In diesel engine emissions, HCs are compounds formed by the incomplete combustion of carbon and hydrogen and are often referred to as HC residuals. Owing to their potential involvement in atmospheric chemical reactions that contribute to the generation of pollutants like ozone and fine particles, HCs have negative implications for both human health and the natural environment. Diesel and blended fuel HC emissions are illustrated in Figure 15. Across all load conditions, compared to diesel, blended fuels exhibited reduced HC emissions. The improved fluidity of the composite fuels, relative to pure diesel, contributes to this phenomenon.
The lower viscosity of blended fuels facilitates the breakup of fuel droplets, enhances effective atomization, and subsequently promotes air–fuel mixing, to avoid the formation of dilute mixture zones. In addition, owing to the longer combustion duration of the blended fuels, complete combustion occurs. At 25% load, the blended fuels exhibited HC emission decreases by 1%, 4%, 6%, and 15% compared to diesel. In most operating conditions, incorporating n-butanol lowered the viscosity of the blended fuels, leading to a steady decrease in HC emissions. This was credited to n-butanol’s elevated LHV with its diminished CN, enabling an extended lean mixture region [59]. Atmanlia et al. [48], Nanthagopal et al. [45], and Yilmaz et al. [59] presented comparable results. With increasing load, the HC emissions exhibited a trend of decreasing. This is because more fuel must be injected to sustain high-load operating conditions.

3.3.4. CO Emissions

Under 100% load conditions, the decreasing and then increasing CO emission trend stemming from the incorporation of n-butanol may be due to conflicting factors. The elevated LHV of n-butanol lowers the cylinder temperature, potentially causing incomplete combustion, whereas the improved combustion environment resulting from the substantial oxygen content within n-butanol can reduce CO emissions. These conflicting phenomena increased CO emissions when 20% n-butanol was added at full load. Under other load conditions, D70B10BU20 exhibited the lowest CO emissions.
CO is a colorless and odorless toxic gas that at high concentrations prevents hemoglobin in the blood from effectively binding to oxygen, leading to oxygen deprivation. Therefore, it is highly hazardous. In diesel engines, the production of CO is primarily a result of incomplete combustion caused by uneven fuel–air mixing and localized oxygen deficiency [60,61].
Figure 16 illustrates that, across all the load conditions, the CO emissions from the mixed fuel were lower than those of diesel. At 25% load, CO emissions for all fuels were at their lowest.
The addition of butanol reduced fuel density and viscosity, thereby improving fuel volatility and atomization. Additionally, the high oxygen content of butanol-rich fuels improved the overall oxygen concentration, prevented localized oxygen deficiency, and enhanced the combustion efficiency, thereby reducing CO emissions.
Under 75% load conditions, the decreasing and then increasing CO emission trend stemming from the incorporation of n-butanol may be due to conflicting factors. The elevated LHV of n-butanol lowers the cylinder temperature, potentially causing incomplete combustion, whereas the improved combustion environment resulting from the substantial oxygen content within n-butanol can reduce CO emissions. These conflicting phenomena increased CO emissions when 20% n-butanol was added at full load. Under other load conditions, D70B10BU20 exhibited the lowest CO emissions.

4. Conclusions

With the advancement of human industry, a series of environmental issues triggered by the extraction and utilization of fossil fuels has attracted significant attention. Recently, there has been a sustained drive to discover and harness alternative energy sources as replacements for conventional fossil fuels. As a widely employed power source within the industrial framework, diesel engines have become a focal point of research focused on mitigating combustion emissions and enhancing operational performance. Biodiesel and n-butanol, which are highly promising bio-alternative fuels, have attracted significant research attention [14,62,63,64,65]. The study explored the impact of different diesel/biodiesel/n-butanol blending ratios on the emissions and combustion behavior within diesel engines. The following conclusions were determined:
(1)
At low loads, the fuel consumption rate of the blended fuel was marginally higher than that of pure diesel. The decrease in n-butanol content augmented the fuel consumption rate. However, the ITE of mixed fuels exceeded that of diesel. The incorporation of n-butanol had a positive effect on the ITE. At 100% load, the ITEs of D70B30, D70B25BU5, D70B20BU10, and D70B10BU20 were 4.76%, 5.75%, 6.79%, and 8.71% higher than that of diesel, respectively.
(2)
The mixed fuels reduced NOx and soot emissions during high-load operating situations compared with diesel. During high-load situations, the addition of n-butanol can decrease marginally NOx and soot emissions.
(3)
The mixed fuels reduced HC and CO emissions. At 25% load, D70B30, D70B25BU5, D70B20BU10, and D70B10BU20 had 1%, 4%, 6%, and 15% lower HC emissions than diesel, respectively.
In general, mixed fuels composed of diesel, biodiesel, and n-butanol exhibited a certain degree of performance enhancement in engines and had a positive impact on reducing HC and CO emissions. The addition of n-butanol improved the combustion environment in the chamber to some extent. Overall, the D70B10BU20 blend demonstrated promising performance. Future research will entail further investigations into this fuel blend ratio.

Author Contributions

Conceptualization, C.M. and A.U.; methodology, C.M.; software, A.U.; validation, A.U.; resources, J.W. and X.W.; data curation, C.M.; writing—original draft preparation, C.M.; writing—review and editing, C.M. and A.U.; visualization, J.W.; supervision, A.U.; project administration, C.M. and A.U.; funding acquisition, X.W. All authors have read and agreed to the published version of the manuscript.

Funding

This research was funded by Hong Kong, Macao and Taiwan Talented Young Scientist Program of Guangxi (HMTSP2021008).

Data Availability Statement

All data used to support the findings of this study are included within the article.

Acknowledgments

The authors are very grateful for the financial support of the Hong Kong, Macao and Taiwan Talented Young Scientist Program of Guangxi (HMTSP2021008), Guangxi Overseas High-level Talent “Hundred People Program”, and Liuzhou Technology Development Project (2020NBBA0801).

Conflicts of Interest

Author Jiewen Wei was employed by the company Guangxi Kangsheng Meat Products Co., Ltd. The remaining authors declare that the research was conducted in the absence of any commercial or financial relationships that could be construed as a potential conflict of interest.

References

  1. Temizer, İ.; Cihan, Ö.; Eskici, B. Numerical and experimental investigation of the effect of biodiesel/diesel fuel on combustion characteristics in CI engine. Fuel 2020, 270, 117523. [Google Scholar] [CrossRef]
  2. Elkelawy, M.; Kabeel, A.E.; El Shenawy, E.A.; Panchal, H.; Elbanna, A.; Bastawissi, H.A.-E.; Sadasivuni, K.K. Experimental investigation on the influences of acetone organic compound additives into the diesel/biodiesel mixture in CI engine. Sustain. Energy Technol. Assess. 2020, 37, 100614. [Google Scholar] [CrossRef]
  3. Malmodin, J.; Bergmark, P. Exploring the effect of ICT solutions on GHG emissions in 2030. In Proceedings of the EnviroInfo and ICT for Sustainability 2015, Copenhagen, Denmark, 7–9 September 2015; pp. 37–46. [Google Scholar]
  4. Hasan, M.M.; Rahman, M.M. Performance and emission characteristics of biodiesel–diesel blend and environmental and economic impacts of biodiesel production: A review. Renew. Sustain. Energy Rev. 2017, 74, 938–948. [Google Scholar] [CrossRef]
  5. Achakulwisut, P.; Erickson, P. Trends in Fossil Fuel Extraction; SEI: Stockholm, Sweden, 2021. [Google Scholar]
  6. Ramesh, T.; Sathiyagnanam, A.P.; De Poures, M.V.; Murugan, P. Combined Effect of Compression Ratio and Fuel Injection Pressure on CI Engine Equipped with CRDi System Using Prosopis juliflora Methyl Ester/Diesel Blends. Int. J. Chem. Eng. 2022, 2022, 4617664. [Google Scholar] [CrossRef]
  7. Ramesh, T.; Sathiyagnanam, A.P.; Poures, M.V.D.; Murugan, P. A Comprehensive Study on the Effect of Dimethyl Carbonate Oxygenate and EGR on Emission Reduction, Combustion Analysis, and Performance Enhancement of a CRDI Diesel Engine Using a Blend of Diesel and Prosopis juliflora Biodiesel. Int. J. Chem. Eng. 2022, 2022, 5717362. [Google Scholar] [CrossRef]
  8. Singh, R.; Kumar, R. Insights into the influence of n-butanol with neat biodiesel and biodiesel-diesel blends on diesel engine characteristics: Review. Int. J. Energy Res. 2022, 46, 5441–5466. [Google Scholar] [CrossRef]
  9. Tat, M.E.; Van Gerpen, J.H. The kinematic viscosity of biodiesel and its blends with diesel fuel. J. Am. Oil Chem. Soc. 1999, 76, 1511–1513. [Google Scholar] [CrossRef]
  10. Wander, P.R.; Altafini, C.R.; Colombo, A.L.; Perera, S.C. Durability studies of mono-cylinder compression ignition engines operating with diesel, soy and castor oil methyl esters. Energy 2011, 36, 3917–3923. [Google Scholar] [CrossRef]
  11. Agarwal, A.K.; Das, L.M. Biodiesel development and characterization for use as a fuel in compression ignition engines. J. Eng. Gas Turbines Power 2001, 123, 440–447. [Google Scholar] [CrossRef]
  12. Sirman, M.B.; Owens, E.C.; Whitney, K.A. Emissions comparison of alternative fuels in an advanced automotive diesel engine. SAE Tech. Pap. 2000, 109, 2166–2176. [Google Scholar] [CrossRef]
  13. Khan, I.A.; Singh, S.K.; Yadav, A.K.; Ghosh, U.; Sharma, D. Enhancement in the performance of a diesel engine fuelled with Pongamia methyl ester and n-butanol as oxygenated additive. Int. J. Ambient Energy 2019, 40, 842–846. [Google Scholar] [CrossRef]
  14. Elumalai, P.V.; Annamalai, K.; Dhinesh, B. Effects of thermal barrier coating on the performance, combustion and emission of DI diesel engine powered by biofuel oil–water emulsion. J. Therm. Anal. Calorim. 2019, 137, 593–605. [Google Scholar] [CrossRef]
  15. Palani, Y.; Devarajan, C.; Manickam, D.; Thanikodi, S. Performance and emission characteristics of biodiesel-blend in diesel engine: A review. Environ. Eng. Res. 2022, 27, 200338. [Google Scholar] [CrossRef]
  16. Jiaqiang, E.; Pham, M.; Zhao, D.; Deng, Y.; Le, D.; Zuo, W.; Zhu, H.; Liu, T.; Peng, Q.; Zhang, Z. Effect of different technologies on combustion and emissions of the diesel engine fueled with biodiesel: A review. Renew. Sustain. Energy Rev. 2017, 80, 620–647. [Google Scholar] [CrossRef]
  17. Yao, M.; Wang, H.; Zheng, Z.; Yue, Y. Experimental study of n-butanol additive and multi-injection on HD diesel engine performance and emissions. Fuel 2010, 89, 2191–2201. [Google Scholar] [CrossRef]
  18. Rakopoulos, C.D.; Dimaratos, A.M.; Giakoumis, E.G.; Rakopoulos, D.C. Study of turbocharged diesel engine operation, pollutant emissions and combustion noise radiation during starting with bio-diesel or n-butanol diesel fuel blends. Appl. Energy 2011, 88, 3905–3916. [Google Scholar] [CrossRef]
  19. Zhang, Z.; Tian, J.; Xie, G.; Li, J.; Xu, W.; Jiang, F.; Huang, Y.; Tan, D. Investigation on the combustion and emission characteristics of diesel engine fueled with diesel/methanol/n-butanol blends. Fuel 2022, 314, 123088. [Google Scholar] [CrossRef]
  20. Zhang, Z.; Tian, J.; Li, J.; Lv, J.; Wang, S.; Zhong, Y.; Dong, R.; Gao, S.; Cao, C.; Tan, D. Investigation on combustion, performance and emission characteristics of a diesel engine fueled with diesel/alcohol/n-butanol blended fuels. Fuel 2022, 320, 123975. [Google Scholar] [CrossRef]
  21. Huang, Z.H.; Lu, H.B.; Jiang, D.M.; Zeng, K.; Liu, B.; Zhang, J.Q.; Wang, X.B. Performance and emissions of a DI diesel engine operating on diesel/methanol blends. Neiranji Xuebao/Trans. CSICE (Chin. Soc. Intern. Combust. Engines) 2004, 22, 7–16. [Google Scholar]
  22. Yu, S.; Cao, C.; Lv, W. Combustion and emission characteristics investigation of a marine diesel engine powered by diesel/biodiesel/n-butanol blends. Energy Sci. Eng. 2022, 10, 3317–3330. [Google Scholar] [CrossRef]
  23. Nalla, B.T.; Devarajan, Y.; Subbiah, G.; Sharma, D.K.; Krishnamurthy, V.; Mishra, R. Investigations of combustion, performance, and emission characteristics in a diesel engine fueled with Prunus domestica methyl ester and n-butanol blends. Environ. Prog. Sustain. Energy 2022, 41, e13811. [Google Scholar] [CrossRef]
  24. Asokan, M.A.; Prabu, S.S. Effect of n-butanol on cotton seed oil biodiesel: An approach for improving the emission behavior of DI diesel engine. Pet. Sci. Technol. 2022, 41, 1162–1180. [Google Scholar] [CrossRef]
  25. Zhang, Z.; Jiaqiang, E.; Chen, J.; Zhu, H.; Zhao, X.; Han, D.; Zuo, W.; Peng, Q.; Gong, J.; Yin, Z. Effects of low-level water addition on spray, combustion and emission characteristics of a medium speed diesel engine fueled with biodiesel fuel. Fuel 2019, 239, 245–262. [Google Scholar] [CrossRef]
  26. Madihi, R.; Pourfallah, M.; Gholinia, M.; Armin, M.; Ghadi, A.Z. Thermofluids analysis of combustion, emissions, and energy in a biodiesel (C11H22O2)/natural gas heavy-duty engine with RCCI mode (Part I: Single/two-stage injection). Int. J. Thermofluids 2022, 16, 100227. [Google Scholar] [CrossRef]
  27. Kim, J.S.; Lee, W.J.; Pham, V.C.; Choi, J.H. A Numerical Study on Fuel Injection Optimization for a ME-GI Dual-Fuel Marine Engine Based on CFD Analysis. Appl. Sci. 2022, 12, 3614. [Google Scholar] [CrossRef]
  28. Madihi, R.; Pourfallah, M.; Gholinia, M.; Armin, M.; Ghadi, A.Z. Thermofluids analysis of combustion, emissions, and energy in a biodiesel (C11H22O2)/natural gas heavy-duty engine with RCCI mode (Part II: Fuel injection time/Fuel injection rate). Int. J. Thermofluids 2022, 16, 100200. [Google Scholar] [CrossRef]
  29. Ji, H.; Wang, Y.; Wang, T.; Yang, K.; Xing, Z. The Influence of a Key Indicator kv on the Diffusion Range of Underwater Oil Spill. Processes 2023, 11, 2332. [Google Scholar] [CrossRef]
  30. Tan, P.Q.; Zhang, S.C.; Wang, S.Y.; Hu, Z.Y.; Lou, D.M. Simulation on catalytic performance of fresh and aged SCR catalysts for diesel engines. J. Energy Inst. 2020, 93, 2280–2292. [Google Scholar] [CrossRef]
  31. Han, Z.; Reitz, R.D. Turbulence Modeling of Internal Combustion Engines Using RNG k-ɛ Models. Combust. Sci. Technol. 1995, 106, 267–295. [Google Scholar] [CrossRef]
  32. Reitz, R.D.; Diwakar, R. Structure of high-pressure fuel sprays. SAE Tech. Pap. 1987, 96, 492–509. [Google Scholar] [CrossRef]
  33. Heywood, J.B. Internal Combustion Engine Fundamentals; McGraw-Hill Education: New York, NY, USA, 2018. [Google Scholar]
  34. Hiroyasu, H.; Kadota, T. Models for combustion and formation of nitric oxide and soot in direct injection diesel engines. SAE Trans. 1976, 85, 513–526. [Google Scholar]
  35. Nagle, J.; Strickland-Constable, R. Oxidation of Carbon between 1000–2000° C. Proe. In Proceedings of the Fifth Conference on Carbon, University Park, PA, USA, 19–23 June 1961; p. 154. [Google Scholar]
  36. Lapuerta, M.; García-Contreras, R.; Campos-Fernández, J.; Dorado, M.P. Stability, lubricity, viscosity, and cold-flow properties of alcohol-diesel blends. Energy Fuels 2010, 24, 4497–4502. [Google Scholar] [CrossRef]
  37. Wang, Y.; Liu, Y. Calculation of critical property parameters of biodiesel system by group contribution method. Guangzhou Chem. Ind. 2014, 42, 40–42. [Google Scholar]
  38. Zhu, S.; Dai, X.; Wang, Q. Analysis of physical characteristics of biodiesel based on multi-parameters. China Water Transp. 2014, 14, 327–330. [Google Scholar]
  39. Mohammed Sapardi, M.A. Comparative Study on Combustion and Emission Characteristics on Jatropha Oil Biodiesel with Diesel; University of Malaya: Kuala Lumpur, Malaysia, 2021; p. 30597247. [Google Scholar]
  40. Yuan, W.; Hansen, A.C.; Zhang, Q. Predicting the temperature dependent viscosity of biodiesel fuels. Fuel 2009, 88, 1120–1126. [Google Scholar] [CrossRef]
  41. Liu, W.; Sivaramakrishnan, R.; Davis, M.J.; Som, S.; Longman, D.E.; Lu, T.F. Development of a reduced biodiesel surrogate model for compression ignition engine modeling. Proc. Combust. Inst. 2013, 34, 401–409. [Google Scholar] [CrossRef]
  42. Nabi, M.N.; Akhter, M.S.; Shahadat, M.M.Z. Improvement of engine emissions with conventional diesel fuel and diesel-biodiesel blends. Bioresour. Technol. 2006, 97, 372–378. [Google Scholar] [CrossRef]
  43. Huang, Y.; Li, Y.; Luo, K.; Wang, J. Biodiesel/butanol blends as a pure biofuel excluding fossil fuels: Effects on diesel engine combustion, performance, and emission characteristics. Proc. Inst. Mech. Eng. Part D J. Automob. Eng. 2020, 234, 2988–3000. [Google Scholar] [CrossRef]
  44. Wei, L.; Cheung, C.S.; Ning, Z. Effects of biodiesel-ethanol and biodiesel-butanol blends on the combustion, performance and emissions of a diesel engine. Energy 2018, 155, 957–970. [Google Scholar] [CrossRef]
  45. Nanthagopal, K.; Ashok, B.; Saravanan, B.; Patel, D.; Sudarshan, B.; Aaditya Ramasamy, R. An assessment on the effects of 1-pentanol and 1-butanol as additives with Calophyllum Inophyllum biodiesel. Energy Convers. Manag. 2018, 158, 70–80. [Google Scholar] [CrossRef]
  46. Rajak, U.; Nashine, P.; Verma, T.N. Characteristics of microalgae spirulina biodiesel with the impact of n-butanol addition on a CI engine. Energy 2019, 189, 116311. [Google Scholar] [CrossRef]
  47. Zhu, L.; Cheung, C.S.; Zhang, W.G.; Huang, Z. Combustion, performance and emission characteristics of a DI diesel engine fueled with ethanol–biodiesel blends. Fuel 2011, 90, 1743–1750. [Google Scholar] [CrossRef]
  48. Atmanli, A.; Yilmaz, N. An experimental assessment on semi-low temperature combustion using waste oil biodiesel/C3-C5 alcohol blends in a diesel engine. Fuel 2020, 260, 116357. [Google Scholar] [CrossRef]
  49. Singh, R.; Singh, S.; Kumar, M. Impact of n-butanol as an additive with eucalyptus biodiesel-diesel blends on the performance and emission parameters of the diesel engine. Fuel 2020, 277, 118178. [Google Scholar] [CrossRef]
  50. Rakopoulos, D.C.; Rakopoulos, C.D.; Hountalas, D.T.; Kakaras, E.C.; Giakoumis, E.G.; Papagiannakis, R.G. Investigation of the performance and emissions of bus engine operating on butanol/diesel fuel blends. Fuel 2010, 89, 2781–2790. [Google Scholar] [CrossRef]
  51. Singh, D.; Sarma, A.K.; Sandhu, S.S. An experimental investigation of injection timings and injection pressures on a compression ignition engine fueled with hybrid fuel-1 derived from waste cooking oil. Environ. Prog. Sustain. Energy 2021, 40, e13606. [Google Scholar] [CrossRef]
  52. Tsolakis, A. Effects on particle size distribution from the diesel engine operating on RME-biodiesel with EGR. Energy Fuels 2006, 20, 1418–1424. [Google Scholar] [CrossRef]
  53. Lyon, R.K.; Cole, J.A.; Kramlich, J.C.; Chen, S.L. The selective reduction of SO3 to SO2 and the oxidation of NO to NO2 by methanol. Combust. Flame 1990, 81, 30–39. [Google Scholar] [CrossRef]
  54. Rakopoulos, C.D.; Antonopoulos, K.A.; Rakopoulos, D.C. Experimental heat release analysis and emissions of a HSDI diesel engine fueled with ethanol–diesel fuel blends. Energy 2007, 32, 1791–1808. [Google Scholar] [CrossRef]
  55. Yilmaz, N.; Atmanli, A.; Vigil, F.M. Quaternary blends of diesel, biodiesel, higher alcohols and vegetable oil in a compression ignition engine. Fuel 2018, 212, 462–469. [Google Scholar] [CrossRef]
  56. Qi, D.H.; Bae, C.; Feng, Y.M.; Jia, C.C.; Bian, Y.Z. Combustion and emission characteristics of a direct injection compression ignition engine using rapeseed oil based micro-emulsions. Fuel 2013, 107, 570–577. [Google Scholar] [CrossRef]
  57. Rakopoulos, C.D.; Antonopoulos, K.A.; Rakopoulos, D.C.; Hountalas, D.T.; Giakoumis, E.G. Comparative performance and emissions study of a direct injection Diesel engine using blends of Diesel fuel with vegetable oils or bio-diesels of various origins. Energy Convers. Manag. 2006, 47, 3272–3287. [Google Scholar] [CrossRef]
  58. Atmanli, A. Comparative analyses of diesel–waste oil biodiesel and propanol, n-butanol or 1-pentanol blends in a diesel engine. Fuel 2016, 176, 209–215. [Google Scholar] [CrossRef]
  59. Yilmaz, N.; Vigil, F.M.; Benalil, K.; Davis, S.M.; Calva, A. Effect of biodiesel–butanol fuel blends on emissions and performance characteristics of a diesel engine. Fuel 2014, 135, 46–50. [Google Scholar] [CrossRef]
  60. Rakopoulos, C.D.; Rakopoulos, D.C.; Giakoumis, E.G.; Kyritsis, D.C. The combustion of n-butanol/diesel fuel blends and its cyclic variability in a direct injection diesel engine. Proc. Inst. Mech. Eng. Part A J. Power Energy 2011, 225, 289–308. [Google Scholar] [CrossRef]
  61. Balamurugan, T.; Nalini, R. Experimental investigation on performance, combustion and emission characteristics of four stroke diesel engine using diesel blended with alcohol as fuel. Energy 2014, 78, 356–363. [Google Scholar] [CrossRef]
  62. Alptekin, E.; Canakci, M. Determination of the density and the viscosities of biodiesel-diesel fuel blends. Renew. Energy 2008, 33, 2623–2630. [Google Scholar] [CrossRef]
  63. Canakci, M. Combustion characteristics of a turbocharged DI compression ignition engine fueled with petroleum diesel fuels and biodiesel. Bioresour. Technol. 2007, 98, 1167–1175. [Google Scholar] [CrossRef]
  64. Murillo, S.; Míguez, J.L.; Porteiro, J.; Granada, E.; Morán, J.C. Performance and exhaust emissions in the use of biodiesel in outboard diesel engines. Fuel 2007, 86, 1765–1771. [Google Scholar] [CrossRef]
  65. Zhong, Y.; Zhang, Y.; Mao, C.; Ukaew, A. Performance, Combustion, and Emission Comparisons of a High-Speed Diesel Engine Fueled with Biodiesel with Different Ethanol Addition Ratios Based on a Combined Kinetic Mechanism. Processes 2022, 10, 1689. [Google Scholar] [CrossRef]
Figure 1. Model at 1/8 of the combustion chamber.
Figure 1. Model at 1/8 of the combustion chamber.
Processes 12 00501 g001
Figure 2. Three computational grids: (a) rough, (b) intermediate, and (c) smooth.
Figure 2. Three computational grids: (a) rough, (b) intermediate, and (c) smooth.
Processes 12 00501 g002
Figure 3. Evaluating cylinder pressure across three configurations at 100% load.
Figure 3. Evaluating cylinder pressure across three configurations at 100% load.
Processes 12 00501 g003
Figure 4. Illustration of the experimental configuration.
Figure 4. Illustration of the experimental configuration.
Processes 12 00501 g004
Figure 5. Comparison of experimental data and simulation data of HRR and cylinder pressure under four loads: (a) 25%, (b) 50%, (c) 75%, and (d) 100%.
Figure 5. Comparison of experimental data and simulation data of HRR and cylinder pressure under four loads: (a) 25%, (b) 50%, (c) 75%, and (d) 100%.
Processes 12 00501 g005
Figure 6. Comparison of emissions under four kinds of load.
Figure 6. Comparison of emissions under four kinds of load.
Processes 12 00501 g006
Figure 7. ISFC of fuels at three different loads.
Figure 7. ISFC of fuels at three different loads.
Processes 12 00501 g007
Figure 8. ITE of test fuels at three different load conditions.
Figure 8. ITE of test fuels at three different load conditions.
Processes 12 00501 g008
Figure 9. Comparing the cylinder pressure measurements under different loads: (a) 25%, (b) 75%, and (c) 100%.
Figure 9. Comparing the cylinder pressure measurements under different loads: (a) 25%, (b) 75%, and (c) 100%.
Processes 12 00501 g009aProcesses 12 00501 g009b
Figure 10. Cylinder temperatures of test fuels under varying load conditions: (a) 25%, (b) 75%, and (c) 100%.
Figure 10. Cylinder temperatures of test fuels under varying load conditions: (a) 25%, (b) 75%, and (c) 100%.
Processes 12 00501 g010
Figure 11. Cylinder temperature contour maps of test fuels at various loads.
Figure 11. Cylinder temperature contour maps of test fuels at various loads.
Processes 12 00501 g011aProcesses 12 00501 g011b
Figure 12. HRR of the fuels at various loads: (a) 25%, (b) 75%, and (c) 100%.
Figure 12. HRR of the fuels at various loads: (a) 25%, (b) 75%, and (c) 100%.
Processes 12 00501 g012
Figure 13. NOx pollution of the test fuel.
Figure 13. NOx pollution of the test fuel.
Processes 12 00501 g013
Figure 14. Soot emissions of the test fuel.
Figure 14. Soot emissions of the test fuel.
Processes 12 00501 g014
Figure 15. HC emissions for the test fuels.
Figure 15. HC emissions for the test fuels.
Processes 12 00501 g015
Figure 16. CO emissions of the tested fuels.
Figure 16. CO emissions of the tested fuels.
Processes 12 00501 g016
Table 1. Essential parameters associated with an engine.
Table 1. Essential parameters associated with an engine.
Performance ParameterUnitMeasurement
Engine category-Four-cylinder, turbocharged, water cooling
Power ratingkW220
Cylinder count-4
Diameter and length of the piston strokemm190 × 210
Revolutions speedrpm2000
Injection orifices-8
Nozzle opening sizemm0.26
Conrodmm410
Table 2. Measurement range and allowable error range for each testing device.
Table 2. Measurement range and allowable error range for each testing device.
Code NameMeasurementContent/Measuring RangeAccuracyUnitUncertainty (%)
PSPressure sensor0–25±0.01MPa±0.5
EEngine speed1–2000±0.2%rpm±0.24
EGExhaust gas temperature0–10,000±1%°C±0.25
BPBrake power-0.03kw±0.03
COCO emission0–10±0.03% vol±0.32
SSoot emission0–9±0.1FSN±2.8
NNOx emission0–5000±10ppm±0.53
HCHC emission0–20,000±10±0.11
AAir flow mass0–33,300±1%g/min±0.5
FFuel flow measurement0.5–100±0.04L/h±0.5
Table 3. Fuel name and composition.
Table 3. Fuel name and composition.
No.FuelComposition
1.D100100% diesel
2.D70B25BU570% diesel + 25% biodiesel + 5%N-butanol
3.D70B20BU1070% diesel + 20% biodiesel + 10% N-butanol
4.D70B10BU2070% diesel + 10% biodiesel + 20% N-butanol
5.D70B3070% diesel + 30% biodiesel
Table 4. Attributes of the substance.
Table 4. Attributes of the substance.
CombustibleDieselBiodiesel [42]n-Butanol
Boiling temperature (°C)210–235240–340118
Density (g/mL, 293.15 K)0.835–0.8370.8710.81
Cetane number (CN)45–515325
Viscousness (mm2/s, 293.15 K)2.725.282.22
LHV (J/g)42,50037,50030,630
Air–fuel ratio14.312.511.21
Heat of evaporation (kJ/kg)260300585.6
Oxygen volume fraction (%)0.010.821.6
Table 5. Proportion and physical attributes of the blended substance.
Table 5. Proportion and physical attributes of the blended substance.
Blend FuelDensity (g/mL, 293.15 K)Stoichiometric Air Fuel RatioViscosity (mm2/s, at 20 °C)Oxygen Volume Fraction (%)Cetane Number (CN)LHV (J/g)Heat of Evaporation (kJ/kg)
D1000.83614.32.7204842,500260
D70B300.846513.763.4883.2449.541,000272
D70B25Bu50.8434513.69553.3353.7848.140,656.5286
D70B20Bu100.840413.6313.1824.3246.740,313300
D70B10Bu200.834313.5022.8765.443.939,626329
Disclaimer/Publisher’s Note: The statements, opinions and data contained in all publications are solely those of the individual author(s) and contributor(s) and not of MDPI and/or the editor(s). MDPI and/or the editor(s) disclaim responsibility for any injury to people or property resulting from any ideas, methods, instructions or products referred to in the content.

Share and Cite

MDPI and ACS Style

Mao, C.; Wei, J.; Wu, X.; Ukaew, A. Performance and Exhaust Emissions from Diesel Engines with Different Blending Ratios of Biofuels. Processes 2024, 12, 501. https://doi.org/10.3390/pr12030501

AMA Style

Mao C, Wei J, Wu X, Ukaew A. Performance and Exhaust Emissions from Diesel Engines with Different Blending Ratios of Biofuels. Processes. 2024; 12(3):501. https://doi.org/10.3390/pr12030501

Chicago/Turabian Style

Mao, Chengfang, Jiewen Wei, Xuan Wu, and Ananchai Ukaew. 2024. "Performance and Exhaust Emissions from Diesel Engines with Different Blending Ratios of Biofuels" Processes 12, no. 3: 501. https://doi.org/10.3390/pr12030501

APA Style

Mao, C., Wei, J., Wu, X., & Ukaew, A. (2024). Performance and Exhaust Emissions from Diesel Engines with Different Blending Ratios of Biofuels. Processes, 12(3), 501. https://doi.org/10.3390/pr12030501

Note that from the first issue of 2016, this journal uses article numbers instead of page numbers. See further details here.

Article Metrics

Back to TopTop