Surfactant–Polymer Flooding: Chemical Formula Design and Evaluation for High-Temperature and High-Salinity Qinghai Gasi Reservoir
Abstract
1. Introduction
2. Materials and Methods
2.1. Materials
2.1.1. Polymer Samples
2.1.2. Surfactant Samples
2.1.3. Oil Samples
2.1.4. Core Samples
2.1.5. Water
2.2. Experimental Methods
2.2.1. Viscosity Measurement
2.2.2. Long-Term Stability Measurement
2.2.3. Interfacial Tension Measurement
2.2.4. Emulsion Stability Measurement
2.2.5. Oil Displacement Measurement
3. Results and Discussion
3.1. Polymer Selection
3.1.1. Viscosity
3.1.2. Long-Term Stability
3.2. Surfactant Selection
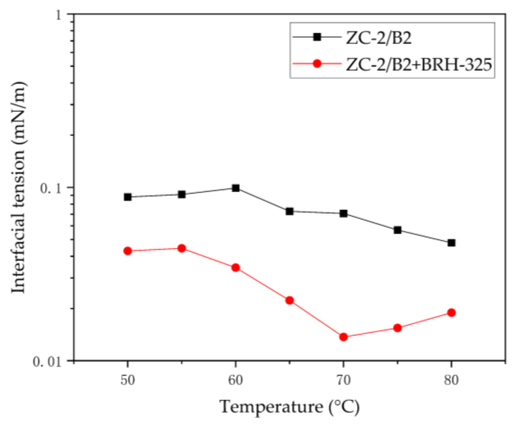
3.2.1. Interfacial Tension
3.2.2. Emulsion Stability Test
3.3. Polymer–Surfactant Compatibility Test
3.4. Oil Displacement Test
4. Conclusions
Author Contributions
Funding
Data Availability Statement
Acknowledgments
Conflicts of Interest
References
- Hongfeng, Y. A Research On Reservoir Heterogeneity of N21 Reservoir Gasikule Oilfield of Qinghai Provence. Master’s Thesis, Chengdu University of Technology, Chengdu, China, 2002. [Google Scholar]
- Zhiwei, J.; Changkun, C.; Xiuyu, Z. Oil recovery enhancement by composite flooding technology for Gasi N1-N21 ultra-high salinity reservoir in Qinghai Oilfield. Pet. Drill. Tech. 2021, 49, 81–87. [Google Scholar]
- Sun, C.; Guo, H.; Li, Y.; Song, K. Recent advances of surfactant-polymer (SP) flooding enhanced oil recovery field tests in China. Geofluids 2020, 2020, 8286706. [Google Scholar] [CrossRef]
- Al-Murayri, M.T.; Hassan, A.A.; Abdullah, M.B.; Abdulrahim, A.M.; Marlière, C.; Hocine, S.; Tabary, R.; Suzanne, G.P. Surfactant/Polymer flooding: Chemical-formulation design and evaluation for raudhatain lower burgan reservoir, Kuwait. SPE Reserv. Eval. Eng. 2019, 22, 923–940. [Google Scholar] [CrossRef]
- Shaohua, C.; Jinxun, W.; Tianping, H.; AlOtaibi, M.B. Pore-Scale Mechanism of Surfactant-Polymer Flooding and the Improvements on Oil Displacement Efficiency. In Proceedings of the International Petroleum Technology Conference, Dhahran, Saudi Arabia, 12–14 February 2024. [Google Scholar]
- Ahmed, M.E.; Sultan, A.S.; Al-Sofi, A.; Al-Hashim, H.S. Optimization of surfactant-polymer flooding for enhanced oil recovery. J. Pet. Explor. Prod. Technol. 2023, 13, 2109–2123. [Google Scholar] [CrossRef]
- Youyi, Z.; Xiaoxia, L.; Jian, F. Developments of ASP/SP flooding formulations for Huabei fault block reservoir. In Proceedings of the SPE/IATMI Asia Pacific Oil & Gas Conference and Exhibition, Nusa Dua, Bali, Indonesia, 20–22 October 2015. [Google Scholar]
- Shuoshi, W.; Changlong, C.; Na, Y.; Yixin, M.; Ogbonnaya, O.I.; Shiau, B.; Harwell, J.H. Design of extended surfactant-only EOR formulations for an ultrahigh salinity oil field by using hydrophilic lipophilic deviation (HLD) approach: From laboratory screening to simulation. Fuel 2019, 254, 115698. [Google Scholar]
- Vermolen, E.; Van Haasterecht, M.; Masalmeh, S.K.; Faber, M.J.; Boersma, D.M.; Gruenenfelder, M. Pushing the envelope for polymer flooding towards high-temperature and high-salinity reservoirs with polyacrylamide based ter-polymers. In Proceedings of the SPE Middle East Oil and Gas Show and Conference, Manama, Bahrain, 25–28 September 2011. [Google Scholar]
- Yongfu, W.; Mahmoudkhani, A.; Watson, P.; Fenderson, T.; Nair, M. Development of new polymers with better performance under conditions of high temperature and high salinity. In Proceedings of the SPE EOR Conference at Oil and Gas West Asia, Muscat, Oman, 16–18 April 2012. [Google Scholar]
- Ke, L.; Peihui, H.; Quansheng, C.; Xin, S.; Yujun, F. Comparative study on enhancing oil recovery under high temperature and high salinity: Polysaccharides versus synthetic polymer. ACS Omega 2019, 4, 10620–10628. [Google Scholar]
- Miñana-Perez, M.; Graciaa, A.; Lachaise, J.; Salager, J.-L. Solubilization of polar oils with extended surfactants. Colloids Surf. A Physicochem. Eng. Asp. 1995, 100, 217–224. [Google Scholar] [CrossRef]
- Witthayapanyanon, A.; Acosta, E.; Harwell, J.; Sabatini, D. Formulation of ultralow interfacial tension systems using extended surfactants. J. Surfactants Deterg. 2006, 9, 331–339. [Google Scholar] [CrossRef]
- Forgiarini, A.M.; Marquez, R.; Salager, J.-L. Formulation improvements in the applications of surfactant–oil–water systems using the HLDN approach with extended surfactant structure. Molecules 2021, 26, 3771. [Google Scholar] [CrossRef]
- Puerto, M.; Hirasaki, G.J.; Miller, C.A.; Barnes, J.R. Surfactant systems for EOR in high-temperature, high-salinity environments. SPE J. 2012, 17, 11–19. [Google Scholar] [CrossRef]
- Graciaa, A.; Lachaise, J.; Cucuphat, C.; Bourrel, M.; Salager, J. Improving solubilization in microemulsions with additives. 1. The lipophilic linker role. Langmuir 1993, 9, 669–672. [Google Scholar] [CrossRef]
- Edgar, A.; Hirotaka, U.; David, A.S. The role of hydrophilic linkers. Surfactants Deterg. 2002, 5, 151–157. [Google Scholar]
- Zhang, H.; Feng, Y. Dependence of intrinsic viscosity and molecular size on molecular weight of partially hydrolyzed polyacrylamide. J. Appl. Polym. Sci. 2021, 138, 50850. [Google Scholar] [CrossRef]
- Choi, J.; Ka, D.; Chung, T.; Jung, J.; Koo, G.; Uhm, T.; Jung, S.H.; Park, S.; Jung, H.-T. Evaluation of highly stable ultrahigh-molecular-weight partially hydrolyzed polyacrylamide for enhanced oil recovery. Macromol. Res. 2015, 23, 518–524. [Google Scholar] [CrossRef]
- Mehta, N.; Kapadia, G.; Panneer Selvam, V. Challenges in Full Field Polymer Injection Mangala in Field. In Proceedings of the SPE EOR Conference at Oil and Gas West Asia, Muscat, Oman, 21–23 March 2016. [Google Scholar]
- Li, Z.; Espinoza, D.N.; Balhoff, M.T. Simulation of polymer injection in granular media: Implications of fluid-driven fractures, water quality, and undissolved polymers on polymer injectivity. SPE J. 2023, 28, 289–300. [Google Scholar] [CrossRef]
- Jouenne, S. Polymer flooding in high temperature, high salinity conditions: Selection of polymer type and polymer chemistry, thermal stability. J. Pet. Sci. Eng. 2020, 195, 107545. [Google Scholar] [CrossRef]
- Levitt, D.B.; Pope, G.A. Selection and screening of polymers for enhanced-oil recovery. In Proceedings of the SPE Improved Oil Recovery Conference? Tulsa, OK, USA, 20–23 April 2008. [Google Scholar]
- Feng, L.; Wenxi, Z.; Dezhi, Y.; Hua, S.; Keliang, W. Rheological properties and enhanced oil recovery performance of a novel sulfonate polyacrylamide. J. Macromol. Sci. Part A 2018, 55, 449–454. [Google Scholar]
- Krebs, T.; Schroën, C.; Boom, R. Separation kinetics of an oil-in-water emulsion under enhanced gravity. Chem. Eng. Sci. 2012, 71, 118–125. [Google Scholar] [CrossRef]
- SY/T 6424-2000; Chinese Oil and Gas Industry Standards: Analytical Method of Alkali-Surfactant-Polymer Flooding System. National Energy Board: Beijing, China, 2001.
- Belhaj, A.F.; Elraies, K.A.; Mahmood, S.M.; Zulkifli, N.N.; Akbari, S.; Hussien, O.S. The effect of surfactant concentration, salinity, temperature, and pH on surfactant adsorption for chemical enhanced oil recovery: A review. J. Pet. Explor. Prod. Technol. 2020, 10, 125–137. [Google Scholar] [CrossRef]
- Klaus, A.; Tiddy, G.J.; Touraud, D.; Schramm, A.; Stühler, G.; Kunz, W. Phase behavior of an extended surfactant in water and a detailed characterization of the concentrated phases. Langmuir 2010, 26, 16871–16883. [Google Scholar] [CrossRef] [PubMed]














| Name | Component | Manufacturer |
|---|---|---|
| HPAM-21 | ![]() | RIPED (Beijing, China) |
| BRH-325 | ![]() | RIPED (Beijing, China) |
| BRH-A | ![]() | RIPED (Beijing, China) |
| BRH-D | ![]() | RIPED (Beijing, China) |
| Surfactant | Component | Purity | Manufacturer |
|---|---|---|---|
| A3 | C8-4PO-10EO Sulfate | C.P. | Changzhou Haohua Chemical Co., Ltd. (Changzhou, China) |
| B2 | C10-4PO-5EO Sulfate | C.P. | Changzhou Haohua Chemical Co., Ltd. (Changzhou, China) |
| B3 | C10-4PO-10EO Sulfate | C.P. | Changzhou Haohua Chemical Co., Ltd. (Changzhou, China) |
| ZC-2 | Petroleum Sulfonate | 40% | Qinghai Oilfield Company (Qinghai, China) |
| No. | Length (cm) | Diameter (cm) | Porosity (%) | Permeability (μm2) |
|---|---|---|---|---|
| 1 | 9.899 | 2.495 | 26.116 | 94.6 |
| 2 | 9.980 | 2.504 | 27.373 | 96.0 |
| Concentration (mg/L) | Total Salinity (mg/L) | ||||
|---|---|---|---|---|---|
| Na+ | Ca2+ | Mg2+ | Cl− | SO42− | |
| 56,908.8 | 912.5 | 248.9 | 86,856.5 | 5641.1 | 152,144 |
Disclaimer/Publisher’s Note: The statements, opinions and data contained in all publications are solely those of the individual author(s) and contributor(s) and not of MDPI and/or the editor(s). MDPI and/or the editor(s) disclaim responsibility for any injury to people or property resulting from any ideas, methods, instructions or products referred to in the content. |
© 2024 by the authors. Licensee MDPI, Basel, Switzerland. This article is an open access article distributed under the terms and conditions of the Creative Commons Attribution (CC BY) license (https://creativecommons.org/licenses/by/4.0/).
Share and Cite
Sun, J.; Liu, Y.; Zhu, X.; Hu, F.; Wang, Y.; Yi, X.; Zhu, Z.; Liu, W.; Zhu, Y.; Hou, Q. Surfactant–Polymer Flooding: Chemical Formula Design and Evaluation for High-Temperature and High-Salinity Qinghai Gasi Reservoir. Processes 2024, 12, 1082. https://doi.org/10.3390/pr12061082
Sun J, Liu Y, Zhu X, Hu F, Wang Y, Yi X, Zhu Z, Liu W, Zhu Y, Hou Q. Surfactant–Polymer Flooding: Chemical Formula Design and Evaluation for High-Temperature and High-Salinity Qinghai Gasi Reservoir. Processes. 2024; 12(6):1082. https://doi.org/10.3390/pr12061082
Chicago/Turabian StyleSun, Jinlong, Yifeng Liu, Xiuyu Zhu, Futang Hu, Yuanyuan Wang, Xiaoling Yi, Zhuoyan Zhu, Weidong Liu, Youyi Zhu, and Qingfeng Hou. 2024. "Surfactant–Polymer Flooding: Chemical Formula Design and Evaluation for High-Temperature and High-Salinity Qinghai Gasi Reservoir" Processes 12, no. 6: 1082. https://doi.org/10.3390/pr12061082
APA StyleSun, J., Liu, Y., Zhu, X., Hu, F., Wang, Y., Yi, X., Zhu, Z., Liu, W., Zhu, Y., & Hou, Q. (2024). Surfactant–Polymer Flooding: Chemical Formula Design and Evaluation for High-Temperature and High-Salinity Qinghai Gasi Reservoir. Processes, 12(6), 1082. https://doi.org/10.3390/pr12061082





