Pelletized Straw for Biogas Production—Substrate Characterization and Methane Formation Potential
Abstract
1. Introduction
2. Materials and Methods
2.1. Straw Pellets Material
2.2. Analytical Methods
2.3. Biochemical Methane Potential (BMP) of the Straw and Straw Pellets in Batch Tests
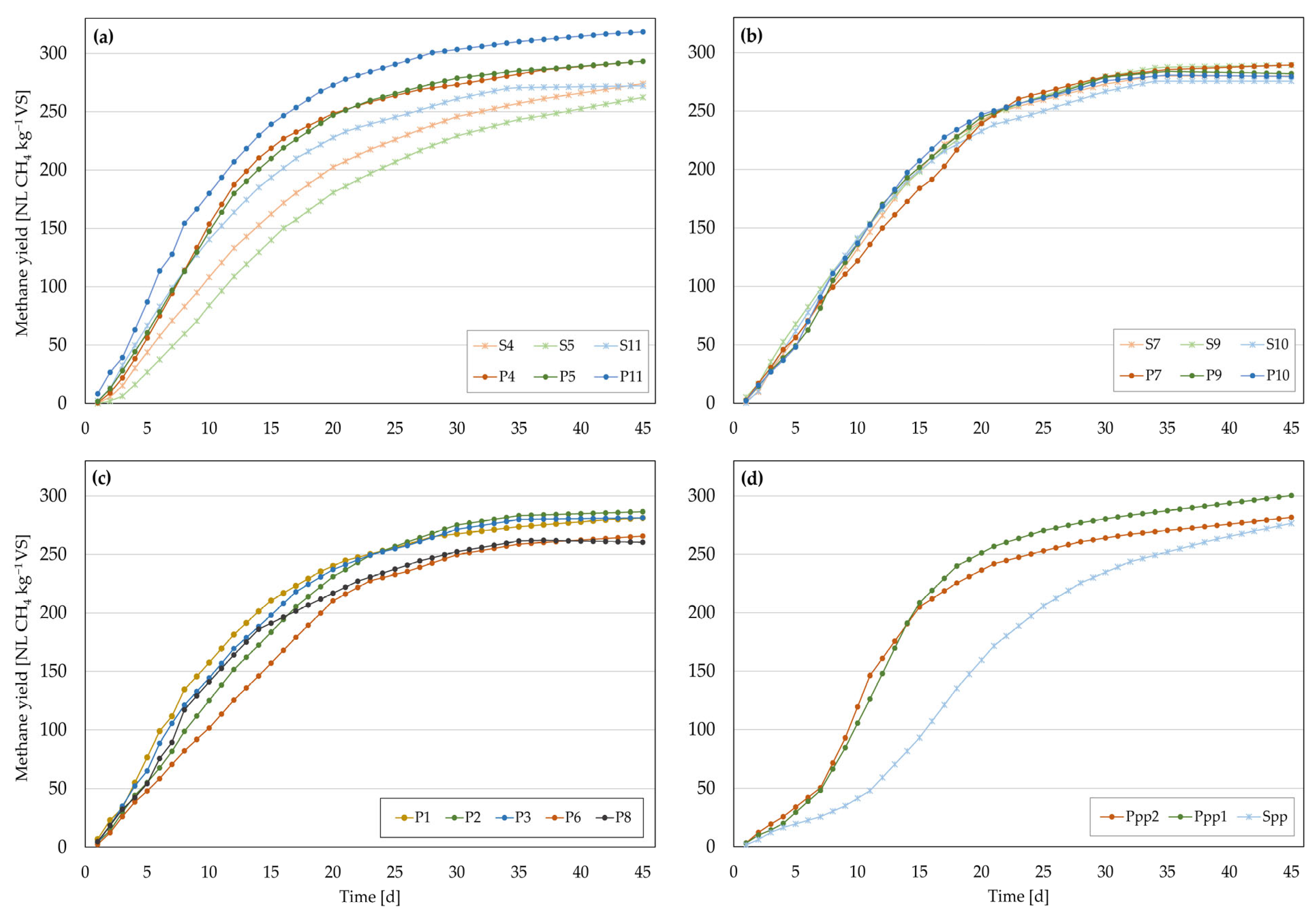
3. Results
3.1. Straw Pellet Characterization
3.1.1. TS and VS
3.1.2. C/N Ratio and Heating Value of the Pellets
3.1.3. Bulk Density of the Pellets
3.1.4. Particle Size Distribution of the Pellets
3.1.5. Dissolution Potential of the Pellets
3.2. Biochemical Methane Potential Tests
4. Discussion
4.1. Substrate Characterization
4.2. BMP of Straw Pellets and Straw
4.3. Unpelletized Straw and Straw Pellets
5. Conclusions
Author Contributions
Funding
Data Availability Statement
Acknowledgments
Conflicts of Interest
Appendix A



References
- Catenacci, A.; Peroni, M.; Gievers, F.; Mainardis, M.; Pasinetti, E.; Malpei, F. Integration of sludge ozonation with anaerobic digestion: From batch testing to scenario analysis with energy, economic and environmental assessment. Resour. Conserv. Recycl. 2022, 186, 106539. [Google Scholar] [CrossRef]
- Catenacci, A.; Boniardi, G.; Mainardis, M.; Gievers, F.; Farru, G.; Asunis, F.; Malpei, F.; Goi, D.; Cappai, G.; Canziani, R. Processes, applications and legislative framework for carbonized anaerobic digestate: Opportunities and bottlenecks. A critical review. Energy Convers. Manag. 2022, 263, 115691. [Google Scholar] [CrossRef]
- Karrabi, M.; Ranjbar, F.M.; Shahnavaz, B.; Seyedi, S. A comprehensive review on biogas production from lignocellulosic wastes through anaerobic digestion: An insight into performance improvement strategies. Fuel 2023, 340, 127239. [Google Scholar] [CrossRef]
- Kumar, J.A.; Sathish, S.; Prabu, D.; Renita, A.A.; Saravanan, A.; Deivayanai, V.C.; Anish, M.; Jayaprabakar, J.; Baigenzhenov, O.; Hosseini-Bandegharaei, A. Agricultural waste biomass for sustainable bioenergy production: Feedstock, characterization and pre-treatment methodologies. Chemosphere 2023, 331, 138680. [Google Scholar] [CrossRef] [PubMed]
- Meyer, A.; Ehimen, E.A.; Holm-Nielsen, J.B. Future European biogas: Animal manure, straw and grass potentials for a sustainable European biogas production. Biomass Bioenergy 2018, 111, 154–164. [Google Scholar] [CrossRef]
- Ma, Y.; Shen, Y.; Liu, Y. State of the art of straw treatment technology: Challenges and solutions forward. Bioresour. Technol. 2020, 313, 123656. [Google Scholar] [CrossRef] [PubMed]
- Brosowski, A.; Thrän, D.; Mantau, U.; Mahro, B.; Erdmann, G.; Adler, P.; Stinner, W.; Reinhold, G.; Hering, T.; Blanke, C. A review of biomass potential and current utilization—Status quo for 93 biogenic wastes and residues in Germany. Biomass Bioenergy 2016, 95, 257–272. [Google Scholar] [CrossRef]
- Wang, J.; Ma, D.; Lou, Y.; Ma, J.; Xing, D. Optimization of biogas production from straw wastes by different pretreatments: Progress, challenges, and prospects. Sci. Total Environ. 2023, 905, 166992. [Google Scholar] [CrossRef]
- Croce, S.; Wei, Q.; D’Imporzano, G.; Dong, R.; Adani, F. Anaerobic digestion of straw and corn stover: The effect of biological process optimization and pre-treatment on total bio-methane yield and energy performance. Biotechnol. Adv. 2016, 34, 1289–1304. [Google Scholar] [CrossRef]
- Adnane, I.; Taoumi, H.; Elouahabi, K.; Lahrech, K.; Oulmekki, A. Valorization of crop residues and animal wastes: Anaerobic co-digestion technology. Heliyon 2024, 10, e26440. [Google Scholar] [CrossRef]
- Sun, L.; Müller, B.; Schnürer, A. Biogas production from wheat straw: Community structure of cellulose-degrading bacteria. Energy Sustain. Soc. 2013, 3, 15. [Google Scholar] [CrossRef]
- Zoghlami, A.; Paës, G. Lignocellulosic Biomass: Understanding Recalcitrance and Predicting Hydrolysis. Front. Chem. 2019, 7, 874. [Google Scholar] [CrossRef]
- Zerback, T.; Schumacher, B.; Weinrich, S.; Hülsemann, B.; Nelles, M. Hydrothermal Pretreatment of Wheat Straw—Evaluating the Effect of Substrate Disintegration on the Digestibility in Anaerobic Digestion. Processes 2022, 10, 1048. [Google Scholar] [CrossRef]
- Mohammad Rahmani, A.; Gahlot, P.; Moustakas, K.; Kazmi, A.A.; Shekhar Prasad Ojha, C.; Tyagi, V.K. Pretreatment methods to enhance solubilization and anaerobic biodegradability of lignocellulosic biomass (wheat straw): Progress and challenges. Fuel 2022, 319, 123726. [Google Scholar] [CrossRef]
- Mainardis, M.; Buttazzoni, M.; Gievers, F.; Vance, C.; Magnolo, F.; Murphy, F.; Goi, D. Life cycle assessment of sewage sludge pretreatment for biogas production: From laboratory tests to full-scale applicability. J. Clean. Prod. 2021, 322, 129056. [Google Scholar] [CrossRef]
- Karthikeyan, P.K.; Bandulasena, H.C.H.; Radu, T. A comparative analysis of pre-treatment technologies for enhanced biogas production from anaerobic digestion of lignocellulosic waste. Ind. Crops Prod. 2024, 215, 118591. [Google Scholar] [CrossRef]
- Andersen, L.F.; Parsin, S.; Lüdtke, O.; Kaltschmitt, M. Biogas production from straw—The challenge feedstock pretreatment. Biomass Conv. Bioref. 2022, 12, 379–402. [Google Scholar] [CrossRef]
- Mahmood, H.; Moniruzzaman, M.; Iqbal, T.; Khan, M.J. Recent advances in the pretreatment of lignocellulosic biomass for biofuels and value-added products. Curr. Opin. Green Sustain. Chem. 2019, 20, 18–24. [Google Scholar] [CrossRef]
- Menardo, S.; Airoldi, G.; Balsari, P. The effect of particle size and thermal pre-treatment on the methane yield of four agricultural by-products. Bioresour. Technol. 2012, 104, 708–714. [Google Scholar] [CrossRef]
- Xavier, C.A.; Moset, V.; Wahid, R.; Møller, H.B. The efficiency of shredded and briquetted wheat straw in anaerobic co-digestion with dairy cattle manure. Biosyst. Eng. 2015, 139, 16–24. [Google Scholar] [CrossRef]
- Theerarattananoon, K.; Xu, F.; Wilson, J.; Staggenborg, S.; Mckinney, L.; Vadlani, P.; Pei, Z.; Wang, D. Effects of the pelleting conditions on chemical composition and sugar yield of corn stover, big bluestem, wheat straw, and sorghum stalk pellets. Bioprocess Biosyst. Eng. 2012, 35, 615–623. [Google Scholar] [CrossRef] [PubMed]
- Gong, C.; Meng, X.; Thygesen, L.G.; Sheng, K.; Pu, Y.; Wang, L.; Ragauskas, A.; Zhang, X.; Thomsen, S.T. The significance of biomass densification in biological-based biorefineries: A critical review. Renew. Sustain. Energy Rev. 2023, 183, 113520. [Google Scholar] [CrossRef]
- Wang, D.; Huang, H.; Shen, F.; Yang, G.; Zhang, Y.; Deng, S.; Zhang, J.; Zeng, Y.; Hu, Y. Effects of biomass densification on anaerobic digestion for biogas production. RSC Adv. 2016, 6, 91748–91755. [Google Scholar] [CrossRef]
- Moset, V.; Xavier, C.d.A.N.; Møller, H.B. Optimization of methane yield by using straw briquettes- influence of additives and mold size. Ind. Crops Prod. 2015, 74, 925–932. [Google Scholar] [CrossRef]
- Cai, Y.; Zheng, Z.; Schäfer, F.; Stinner, W.; Yuan, X.; Wang, H.; Cui, Z.; Wang, X. A review about pretreatment of lignocellulosic biomass in anaerobic digestion: Achievement and challenge in Germany and China. J. Clean. Prod. 2021, 299, 126885. [Google Scholar] [CrossRef]
- Chen, S.; Zhao, Y.; Tang, Z.; Ding, H.; Su, Z.; Ding, Z. Structural Model of Straw Briquetting Machine with Vertical Ring Die and Optimization of Briquetting Performance. Agriculture 2022, 12, 736. [Google Scholar] [CrossRef]
- Chen, T.; Jia, H.; Zhang, S.; Sun, X.; Song, Y.; Yuan, H. Optimization of Cold Pressing Process Parameters of Chopped Corn Straws for Fuel. Energies 2020, 13, 652. [Google Scholar] [CrossRef]
- Dyjakon, A.; Sobol, Ł.; Krotowski, M.; Mudryk, K.; Kawa, K. The Impact of Particles Comminution on Mechanical Durability of Wheat Straw Briquettes. Energies 2020, 13, 6186. [Google Scholar] [CrossRef]
- Ha, G.-S.; El-Dalatony, M.M.; Kurade, M.B.; Salama, E.-S.; Basak, B.; Kang, D.; Roh, H.-S.; Lim, H.; Jeon, B.-H. Energy-efficient pretreatments for the enhanced conversion of microalgal biomass to biofuels. Bioresour. Technol. 2020, 309, 123333. [Google Scholar] [CrossRef]
- Meenakshisundaram, S.; Calcagno, V.; Ceballos, C.; Fayeulle, A.; Léonard, E.; Herledan, V.; Krafft, J.-M.; Millot, Y.; Liu, X.; Jolivalt, C.; et al. Chemically and Physically Pretreated Straw in Moderate Conditions: Poor Correlation between Biogas Production and Commonly Used Biomass Characterization. Energies 2023, 16, 1146. [Google Scholar] [CrossRef]
- Singh, P.; Dogra, P.; Kalamdhad, A.S. Effects of pelletization on biomethane production from wheat straw. Environ. Technol. 2024, 45, 1–12. [Google Scholar] [CrossRef]
- DIN EN ISO 17829:2016-03; Biogene Festbrennstoffe—Bestimmung der Länge und des Durchmessers von Pellets (ISO_17829:2015); Deutsche Fassung EN_ISO_17829:2015. Beuth Verlag GmbH: Berlin, Germany, 2016.
- DIN EN 12880:2001-02; Charakterisierung von Schlämmen—Bestimmung des Trockenrückstandes und des Wassergehalts; Deutsche Fassung EN_12880:2000. Beuth Verlag GmbH: Berlin, Germany, 2001.
- DIN EN 12879:2001-02; Charakterisierung von Schlämmen-Bestimmung des Glühverlustes der Trockenmasse; Deutsche Fassung (EN 12879:2000) Characterization of Sludges-Determination of the Loss on Ignition of Dry Mass. Beuth Verlag GmbH: Berlin, Germany, 2001.
- Sharma, S.K.; Mishra, I.M.; Sharma, M.P.; Saini, J.S. Effect of particle size on biogas generation from biomass residues. Biomass 1988, 17, 251–263. [Google Scholar] [CrossRef]
- Izumi, K.; Okishio, Y.; Nagao, N.; Niwa, C.; Yamamoto, S.; Toda, T. Effects of particle size on anaerobic digestion of food waste. Int. Biodeterior. Biodegrad. 2010, 64, 601–608. [Google Scholar] [CrossRef]
- Hajji, A.; Rhachi, M. The Influence of Particle Size on the Performance of Anaerobic Digestion of Municipal Solid Waste. Energy Procedia 2013, 36, 515–520. [Google Scholar] [CrossRef]
- Ferreira, L.C.; Nilsen, P.J.; Fdz-Polanco, F.; Pérez-Elvira, S.I. Biomethane potential of wheat straw: Influence of particle size, water impregnation and thermal hydrolysis. Chem. Eng. J. 2014, 242, 254–259. [Google Scholar] [CrossRef]
- Dumas, C.; Silva Ghizzi Damasceno, G.; Barakat, A.; Carrère, H.; Steyer, J.-P.; Rouau, X. Effects of grinding processes on anaerobic digestion of wheat straw. Ind. Crops Prod. 2015, 74, 450–456. [Google Scholar] [CrossRef]
- DIN EN ISO 17830:2016-11; Biogene Festbrennstoffe—Partikelgrößenverteilung von Pellet-Ausgangsmaterial (ISO_17830:2016); Deutsche Fassung EN_ISO_17830:2016. Beuth Verlag GmbH: Berlin, Germany, 2016.
- DIN EN ISO 16948:2015-09; Biogene Festbrennstoffe—Bestimmung des Gesamtgehaltes an Kohlenstoff, Wasserstoff und Stickstoff_(ISO_16948:2015); Deutsche Fassung EN_ISO_16948:2015. Beuth Verlag GmbH: Berlin, Germany, 2015.
- Parameswaran, P.; Rittmann, B.E. Feasibility of anaerobic co-digestion of pig waste and paper sludge. Bioresour. Technol. 2012, 124, 163–168. [Google Scholar] [CrossRef] [PubMed]
- Hu, Y.; Kumar, M.; Wang, Z.; Zhan, X.; Stengel, D.B. Filamentous microalgae as an advantageous co-substrate for enhanced methane production and digestate dewaterability in anaerobic co-digestion of pig manure. Waste Manag. 2021, 119, 399–407. [Google Scholar] [CrossRef] [PubMed]
- DIN 51705:2001-06; Prüfung Fester Brennstoffe—Bestimmung der Schüttdichte. Beuth Verlag GmbH: Berlin, Germany, 2001.
- VDI 4630:2016-11; Vergärung Organischer Stoffe-Substratcharakterisierung, Probenahme, Stoffdatenerhebung, Gärversuche (English: Fermentation of Organic Materials-Characterization of the Substrate, Sampling, Collection of Material Data, Fermentation Tests). Verlag des Vereins Deutscher Ingenieure: Düsseldorf, Germany, 2016.
- Gievers, F.; Walz, M.; Loewe, K.; Bienert, C.; Loewen, A. Anaerobic co-digestion of paper sludge: Feasibility of additional methane generation in mechanical-biological treatment plants. Waste Manag. 2022, 144, 502–512. [Google Scholar] [CrossRef]
- Ngan, N.V.C.; Chan, F.M.S.; Nam, T.S.; van Thao, H.; Maguyon-Detras, M.C.; Hung, D.V.; Cuong, D.M.; van Hung, N. Anaerobic Digestion of Rice Straw for Biogas Production. In Sustainable Rice Straw Management; Gummert, M., van Hung, N., Chivenge, P., Douthwaite, B., Eds.; Springer International Publishing: Cham, Switzerland, 2020; pp. 65–92. ISBN 978-3-030-32372-1. [Google Scholar]
- Matkowski, P.; Lisowski, A.; Świętochowski, A. Characterisation of Wheat Straw Pellets Individually and in Combination with Cassava Starch or Calcium Carbonate under Various Compaction Conditions: Determination of Pellet Strength and Water Absorption Capacity. Materials 2020, 13, 4375. [Google Scholar] [CrossRef]
- Zamiri, M.A.; Nikkhah Dafchahi, M.; Ebadian, M.; Acharya, B. Optimizing production conditions of innovative bio-pellets developed from flax straw. Ind. Crops Prod. 2024, 218, 118950. [Google Scholar] [CrossRef]
- Stelte, W.; Holm, J.K.; Sanadi, A.R.; Barsberg, S.; Ahrenfeldt, J.; Henriksen, U.B. A study of bonding and failure mechanisms in fuel pellets from different biomass resources. Biomass Bioenergy 2011, 35, 910–918. [Google Scholar] [CrossRef]
- Obidziński, S.; Cwalina, P.; Kowczyk-Sadowy, M.; Krasowska, M.; Sienkiewicz, A.; Faszczewski, D.; Szyszlak-Bargłowicz, J. The Use of Bread Bakery Waste as a Binder Additive in the Production of Fuel Pellets from Straw. Energies 2023, 16, 7313. [Google Scholar] [CrossRef]
- Domański, M.; Paszkowski, J.; Sergey, O.; Zarajczyk, J.; Siłuch, D. Analysis of Energy Properties of Granulated Plastic Fuels and Selected Biofuels. Agric. Eng. 2020, 24, 1–9. [Google Scholar] [CrossRef]
- Barmina, I.; Valdmanis, R.; Zake, M.; Arshanitsa, A.; Akishin, Y.; Telysheva, G. Combustion Characteristics of Modified Plant Biomass Pellets. Chem. Eng. Trans. 2016, 52, 1111–1116. [Google Scholar] [CrossRef]
- Williams, A.; Jones, J.M.; Ma, L.; Pourkashanian, M. Pollutants from the combustion of solid biomass fuels. Prog. Energy Combust. Sci. 2012, 38, 113–137. [Google Scholar] [CrossRef]
- Petlickaitė, R.; Jasinskas, A.; Domeika, R.; Pedišius, N.; Lemanas, E.; Praspaliauskas, M.; Kukharets, S. Evaluation of the Processing of Multi-Crop Plants into Pelletized Biofuel and Its Use for Energy Conversion. Processes 2023, 11, 421. [Google Scholar] [CrossRef]
- Ning, J.; Zhou, M.; Pan, X.; Li, C.; Lv, N.; Wang, T.; Cai, G.; Wang, R.; Li, J.; Zhu, G. Simultaneous biogas and biogas slurry production from co-digestion of pig manure and corn straw: Performance optimization and microbial community shift. Bioresour. Technol. 2019, 282, 37–47. [Google Scholar] [CrossRef]
- Jafari-Sejahrood, A.; Najafi, B.; Faizollahzadeh Ardabili, S.; Shamshirband, S.; Mosavi, A.; Chau, K. Limiting factors for biogas production from cow manure: Energo-environmental approach. Eng. Appl. Comput. Fluid Mech. 2019, 13, 954–966. [Google Scholar] [CrossRef]
- Carotenuto, C.; Guarino, G.; D’Amelia, L.I.; Morrone, B.; Minale, M. The peculiar role of C/N and initial pH in anaerobic digestion of lactating and non-lactating water buffalo manure. Waste Manag. 2020, 103, 12–21. [Google Scholar] [CrossRef]
- Abraham, A.; Mathew, A.K.; Park, H.; Choi, O.; Sindhu, R.; Parameswaran, B.; Pandey, A.; Park, J.H.; Sang, B.-I. Pretreatment strategies for enhanced biogas production from lignocellulosic biomass. Bioresour. Technol. 2020, 301, 122725. [Google Scholar] [CrossRef]
- Hagos, K.; Zong, J.; Li, D.; Liu, C.; Lu, X. Anaerobic co-digestion process for biogas production: Progress, challenges and perspectives. Renew. Sustain. Energy Rev. 2017, 76, 1485–1496. [Google Scholar] [CrossRef]
- Zhang, Z.; Zhang, G.; Li, W.; Li, C.; Xu, G. Enhanced biogas production from sorghum stem by co-digestion with cow manure. Int. J. Hydrogen Energy 2016, 41, 9153–9158. [Google Scholar] [CrossRef]
- Mothe, S.; Polisetty, V.R. Review on anaerobic digestion of rice straw for biogas production. Environ. Sci. Pollut. Res. Int. 2021, 28, 24455–24469. [Google Scholar] [CrossRef] [PubMed]
- Álvarez, X.; Arévalo, O.; Salvador, M.; Mercado, I.; Velázquez-Martí, B. Cyanobacterial Biomass Produced in the Wastewater of the Dairy Industry and Its Evaluation in Anaerobic Co-Digestion with Cattle Manure for Enhanced Methane Production. Processes 2020, 8, 1290. [Google Scholar] [CrossRef]
- Bumharter, C.; Bolonio, D.; Amez, I.; García Martínez, M.J.; Ortega, M.F. New opportunities for the European Biogas industry: A review on current installation development, production potentials and yield improvements for manure and agricultural waste mixtures. J. Clean. Prod. 2023, 388, 135867. [Google Scholar] [CrossRef]
- Nwokolo, N.; Mukumba, P.; Obileke, K.; Enebe, M. Waste to Energy: A Focus on the Impact of Substrate Type in Biogas Production. Processes 2020, 8, 1224. [Google Scholar] [CrossRef]
- Chadwick, D.; Sommer, S.; Thorman, R.; Fangueiro, D.; Cardenas, L.; Amon, B.; Misselbrook, T. Manure management: Implications for greenhouse gas emissions. Anim. Feed Sci. Technol. 2011, 166, 514–531. [Google Scholar] [CrossRef]
- Misi, S.N.; Forster, C.F. Semi-continuous anaerobic co-digestion of agro-wastes. Environ. Technol. 2002, 23, 445–451. [Google Scholar] [CrossRef]
- Atandi, E.; Rahman, S. Prospect of anaerobic co-digestion of dairy manure: A review. Environ. Technol. Rev. 2012, 1, 127–135. [Google Scholar] [CrossRef]
- Guo, T.; Yu, Y.; Wan, Z.; Zargar, S.; Wu, J.; Bi, R.; Sokhansanj, S.; Tu, Q.; Rojas, O.J. Energy pellets from whole-wheat straw processed with a deep eutectic solvent: A comprehensive thermal, molecular and environmental evaluation. Renew. Energy 2022, 194, 902–911. [Google Scholar] [CrossRef]
- Huang, C.; Han, L.; Yang, Z.; Liu, X. Ultimate analysis and heating value prediction of straw by near infrared spectroscopy. Waste Manag. 2009, 29, 1793–1797. [Google Scholar] [CrossRef]
- Bajwa, D.S.; Peterson, T.; Sharma, N.; Shojaeiarani, J.; Bajwa, S.G. A review of densified solid biomass for energy production. Renew. Sustain. Energy Rev. 2018, 96, 296–305. [Google Scholar] [CrossRef]
- Zhang, Y.; Ghaly, A.E.; Bingxi, L. Physical Properties of Wheat Straw Varieties Cultivated Under Different Climatic and Soil Conditions in Three Continents. Am. J. Eng. Appl. Sci. 2012, 5, 98–106. [Google Scholar] [CrossRef]
- Lam, P.S.; Sokhansanj, S.; Bi, X.; Lim, C.J.; Naimi, L.J.; Hoque, M.; Mani, S.; Womac, A.R.; Narayan, S.; Ye, X.P. Bulk Density of Wet and Dry Wheat Straw and Switchgrass Particles. Appl. Eng. Agric. 2008, 24, 351–358. [Google Scholar] [CrossRef]
- Scherer, P.A.; Arthur, R.; Antonczyk, S. Accelerated Biomethane Potential assay for straw with artificially flocculated sludge and defined ‘synthetic manure’. Bioresour. Technol. Rep. 2021, 15, 100787. [Google Scholar] [CrossRef]
- Hafner, S.D.; Fruteau de Laclos, H.; Koch, K.; Holliger, C. Improving Inter-Laboratory Reproducibility in Measurement of Biochemical Methane Potential (BMP). Water 2020, 12, 1752. [Google Scholar] [CrossRef]
- Mönch-Tegeder, M.; Lemmer, A.; Oechsner, H.; Jungbluth, T. Investigation of the methane potential of horse manure. Agric. Eng. Int. CIGR J. 2013, 15, 161–172. [Google Scholar]
- Victorin, M.; Davidsson, Å.; Wallberg, O. Characterization of Mechanically Pretreated Wheat Straw for Biogas Production. Bioenergy Res. 2020, 13, 833–844. [Google Scholar] [CrossRef]
- Arthur, R.; Antonczyk, S.; Off, S.; Scherer, P.A. Mesophilic and Thermophilic Anaerobic Digestion of Wheat Straw in a CSTR System with ‘Synthetic Manure’: Impact of Nickel and Tungsten on Methane Yields, Cell Count, and Microbiome. Bioengineering 2022, 9, 13. [Google Scholar] [CrossRef]
- Fernandez, H.C.; Buffiere, P.; Bayard, R. Understanding the role of mechanical pretreatment before anaerobic digestion: Lab-scale investigations. Renew. Energy 2022, 187, 193–203. [Google Scholar] [CrossRef]
- Heller, R.; Brandhorst, C.; Hülsemann, B.; Lemmer, A.; Oechsner, H. Comparison of Different Mechanical Pretreatment Methods for the Anaerobic Digestion of Landscape Management Grass. Energies 2023, 16, 8091. [Google Scholar] [CrossRef]
- Dai, X.; Hua, Y.; Dai, L.; Cai, C. Particle size reduction of rice straw enhances methane production under anaerobic digestion. Bioresour. Technol. 2019, 293, 122043. [Google Scholar] [CrossRef] [PubMed]
- Gallegos, D.; Wedwitschka, H.; Moeller, L.; Zehnsdorf, A.; Stinner, W. Effect of particle size reduction and ensiling fermentation on biogas formation and silage quality of wheat straw. Bioresour. Technol. 2017, 245, 216–224. [Google Scholar] [CrossRef]
- Raud, M.; Orupõld, K.; Rocha-Meneses, L.; Rooni, V.; Träss, O.; Kikas, T. Biomass Pretreatment with the Szego Mill™ for Bioethanol and Biogas Production. Processes 2020, 8, 1327. [Google Scholar] [CrossRef]
- Larsen, S.U.; Ma, N.; Nielsen, S.V.; Ward, A.J.; Møller, H.B. The impact of water content and additives on ensiling and methane yield of cereal straw. Bioresour. Technol. Rep. 2023, 24, 101672. [Google Scholar] [CrossRef]
- Larsen, S.U.; Hjort-Gregersen, K.; Vazifehkhoran, A.H.; Triolo, J.M. Co-ensiling of straw with sugar beet leaves increases the methane yield from straw. Bioresour. Technol. 2017, 245, 106–115. [Google Scholar] [CrossRef]
- Isci, A.; Erdem, G.M.; Bagder Elmaci, S.; Sakiyan, O.; Lamp, A.; Kaltschmitt, M. Effect of microwave-assisted deep eutectic solvent pretreatment on lignocellulosic structure and bioconversion of wheat straw. Cellulose 2020, 27, 8949–8962. [Google Scholar] [CrossRef]
- Maroušek, J. Prospects in straw disintegration for biogas production. Environ. Sci. Pollut. Res. Int. 2013, 20, 7268–7274. [Google Scholar] [CrossRef]
- Scherzinger, M.; Kaltschmitt, M. Thermal pre-treatment options to enhance anaerobic digestibility—A review. Renew. Sustain. Energy Rev. 2021, 137, 110627. [Google Scholar] [CrossRef]
- Parsin, S.; Kaltschmitt, M. Processing of hemicellulose in wheat straw by steaming and ultrafiltration—A novel approach. Bioresour. Technol. 2024, 393, 130071. [Google Scholar] [CrossRef] [PubMed]
- Mohrmann, S.; Otter, V. Categorisation of Biogas Plant Operators in Germany with Regards to Their Intention to Use Straw Pellets as Innovative and Sustainable Substrate Alternative. Energies 2023, 16, 5. [Google Scholar] [CrossRef]
- Del Marín Valle, T.; Yang, X.; Zhu, J.; Jiang, P. Evaluation of straw and agricultural policy impacts on the sustainability of the straw-based bioeconomy with an agent-based model. Biomass Bioenergy 2024, 184, 107177. [Google Scholar] [CrossRef]






| ID | Grain | Scale of Pelleting Plant | Pelleting Process | Pellet Length [mm] | Pellet Diameter [mm] |
|---|---|---|---|---|---|
| P1 | wheat | industrial | stationary pelleting, mobile plant (sm) | 32–45 | 15 |
| P2 | wheat | industrial | stationary pelleting, mobile plant (sm) | 25–35 | 15 |
| P3 | wheat | industrial | stationary pelleting, mobile plant (sm) | 25–30 | 15 |
| P4 | wheat | industrial | stationary pelleting, mobile plant (sm) | 20–30 | 15 |
| P5 | wheat | industrial | stationary pelleting, mobile plant (sm) | 25–40 | 15 |
| P6 | rye | industrial | stationary pelleting, mobile plant (sm) | 30–65 | 15 |
| P7 | barley | industrial | stationary pelleting (st) | 15–30 | 8 |
| P8 | wheat | industrial | stationary pelleting (st) | 8–52 | 8 |
| P9 | wheat | industrial | mobile plant, pelleting at field (m) | 8–35 | 8 |
| P10 | wheat | industrial | mobile plant, pelleting at field (m) | 15–40 | 8 |
| P11 | wheat | industrial | mobile plant, pelleting at field (m) | 30–50 | 15 |
| Ppp1 | wheat | pilot plant | stationary pelleting (st) | 5–20 | 8 |
| Ppp2 | wheat | pilot plant | stationary pelleting (st) | 5–20 | 8 |
| ID | C | N | C/N | TS | VS | HHV | Bulk Density |
|---|---|---|---|---|---|---|---|
| [%TS] | [%TS] | [-] | [%] | [%TS] | [MJ kg−1] | [kg m−³] | |
| P1 | 43.4 | 0.44 | 98.5 | 90.3 | 92.0 ± 0.1 | 17.0 | 487 ± 30 |
| P2 | 45.8 | 0.47 | 97.5 | 90.1 | 93.2 ± 0.5 | 17.7 | 595 ± 10 |
| P3 | 45.1 | 0.38 | 118.7 | 96.3 | 94.4 ± 0.6 | 17.3 | 534 ± 1 |
| P4 | 45.0 | 0.61 | 73.8 | 91.3 | 93.5 ± 0.0 | 16.7 | 562 ± 0 |
| P5 | 44.0 | 0.56 | 78.5 | 92.4 | 92.9 ± 0.1 | 17.1 | 568 ± 17 |
| P6 | 46.6 | 0.52 | 89.7 | 93.0 | 96.4 ± 0.1 | 17.9 | 546 ± 1 |
| P7 | 45.4 | 0.31 | 146.5 | 91.3 | 94.7 ± 0.1 | 17.1 | 631 ± 6 |
| P8 | 45.5 | 0.60 | 76.3 | 91.3 | 94.0 ± 0.0 | 17.5 | 645 ± 1 |
| P9 | 45.3 | 0.65 | 69.6 | 92.5 | 94.2 ± 0.1 | 17.3 | 520 ± 3 |
| P10 | 45.6 | 0.61 | 74.8 | 93.2 | 93.8 ± 0.0 | 17.4 | 500 ± 1 |
| P11 | 44.8 | 0.42 | 106.7 | 88.4 | 93.1 ± 0.1 | 17.9 | 534 ± 1 |
| Ppp1 | 45.9 | 0.50 | 91.7 | 80.8 | 92.9 ± 0.1 | 18.4 | 406 ± 2 |
| Ppp2 | 47.0 | 0.72 | 65.8 | 90.6 | 95.2 ± 0.0 | 18.8 | 592 ± 1 |
| Substrate | Average BMP | Min. | Max. | Average BMP | Min. | Max. | Average Methane Content |
|---|---|---|---|---|---|---|---|
| [NL CH4 kg−1 VS] | [NL CH4 kg−1 FM] | [%] | |||||
| Straw pellets | 286 | 260 | 319 | 243 | 223 | 262 | 51.2 |
| Straw | 274 | 262 | 289 | 236 | 222 | 255 | 51.4 |
Disclaimer/Publisher’s Note: The statements, opinions and data contained in all publications are solely those of the individual author(s) and contributor(s) and not of MDPI and/or the editor(s). MDPI and/or the editor(s) disclaim responsibility for any injury to people or property resulting from any ideas, methods, instructions or products referred to in the content. |
© 2024 by the authors. Licensee MDPI, Basel, Switzerland. This article is an open access article distributed under the terms and conditions of the Creative Commons Attribution (CC BY) license (https://creativecommons.org/licenses/by/4.0/).
Share and Cite
Gievers, F.; Walz, M.; Loewe, K.; Loewen, A. Pelletized Straw for Biogas Production—Substrate Characterization and Methane Formation Potential. Processes 2024, 12, 1549. https://doi.org/10.3390/pr12081549
Gievers F, Walz M, Loewe K, Loewen A. Pelletized Straw for Biogas Production—Substrate Characterization and Methane Formation Potential. Processes. 2024; 12(8):1549. https://doi.org/10.3390/pr12081549
Chicago/Turabian StyleGievers, Fabian, Meike Walz, Kirsten Loewe, and Achim Loewen. 2024. "Pelletized Straw for Biogas Production—Substrate Characterization and Methane Formation Potential" Processes 12, no. 8: 1549. https://doi.org/10.3390/pr12081549
APA StyleGievers, F., Walz, M., Loewe, K., & Loewen, A. (2024). Pelletized Straw for Biogas Production—Substrate Characterization and Methane Formation Potential. Processes, 12(8), 1549. https://doi.org/10.3390/pr12081549

