Mineralogical and Geochemical Composition of Late Permian Coals from Dengfeng Coalfield, North China: Conversion of Clay Minerals in Coal during Coalification
Abstract
1. Introduction
2. Geological Setting
3. Samples and Analytical Procedures
3.1. Sample Collection
3.2. Ash Yield and Volatile-Matter Analysis
3.3. X-ray Diffraction (XRD) Analysis
3.4. X-ray Fluorescence (XRF) Analysis
4. Results
4.1. Ash Yield and Volatile Matter
4.2. Mineral Proportions and Contents
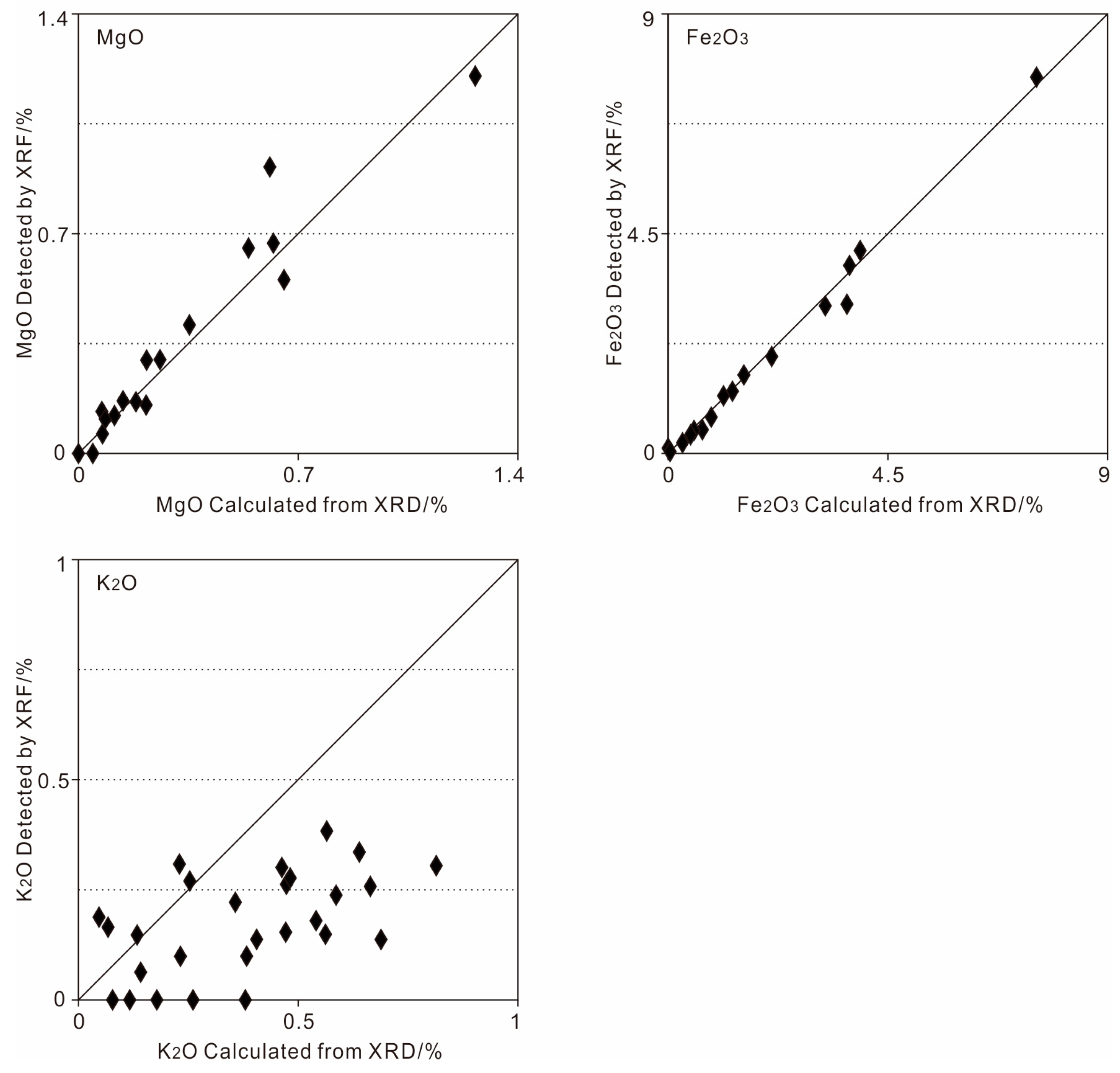
4.3. Contents of the Major Element Oxides
4.4. XRD Characteristics of the Clay Minerals
4.4.1. Ammonian Illite
4.4.2. Kaolinite
4.5. Vertical Variation of the Minerals and Major Element Oxides
4.6. Modes of Occurrences of the Major Elements
5. Discussion
5.1. Kaolinite Formation
5.2. Conversion of Kaolinite to Ammonian Illite
6. Conclusions
Author Contributions
Funding
Data Availability Statement
Conflicts of Interest
References
- Ren, D.; Zhao, F.; Dai, S.; Zhang, J.; Luo, K. Geochemistry of Trace Elements in Coal; Science Press: Beijing, China, 2006. (In Chinese) [Google Scholar]
- Bai, X.; Ding, H.; Lian, J.; Ma, D.; Yang, X.; Sun, N.; Xue, W.; Chang, Y. Coal production in China: Past, present, and future projections. Int. Geol. Rev. 2017, 60, 535–547. [Google Scholar] [CrossRef]
- Zhang, Q. Study on the Environmental Characteristics of Minerals in the Deep Shanxi Formation Coal of the Huainan Coalfield. Mater’s Thesis, Anhui University, Hefei, China, 2022. (In Chinese). [Google Scholar]
- Ward, C.R. Analysis and significance of mineral matter in coal seams. Int. J. Coal Geol. 2002, 50, 135–168. [Google Scholar] [CrossRef]
- Ward, C.R. Analysis, origin and significance of mineral matter in coal: An updated review. Int. J. Coal Geol. 2016, 165, 1–27. [Google Scholar] [CrossRef]
- Finkelman, R.B.; Dai, S.; French, D. The importance of minerals in coal as the hosts of chemical elements: A review. Int. J. Coal Geol. 2019, 212, 103251. [Google Scholar] [CrossRef]
- Zheng, Q.; Liu, Q.; Shi, S. Mineralogy and geochemistry of ammonian illite in intra-seam partings in Permo-Carboniferous coal of the Qinshui Coalfield, North China. Int. J. Coal Geol. 2016, 153, 1–11. [Google Scholar] [CrossRef]
- Liu, Q.; Zheng, Q. Study on Nitrogen and Nitrogen-Bearing Clay Minerals in Coal Seam; Science Press: Beijing, China, 2017. (In Chinese) [Google Scholar]
- Dai, S.; Ren, D.; Chou, C.; Finkelman, R.B.; Seredin, V.V.; Zhou, Y. Geochemistry of trace elements in Chinese coals: A review of abundances, genetic types, impacts on human health, and industrial utilization. Int. J. Coal Geol. 2012, 94, 3–21. [Google Scholar] [CrossRef]
- Dai, S.; Hower, J.C.; Finkelman, R.B.; Graham, I.T.; French, D.; Ward, C.R.; Eskenazy, G.; Wei, Q.; Zhao, L. Organic associations of non-mineral elements in coal: A review. Int. J. Coal Geol. 2020, 218, 103347. [Google Scholar] [CrossRef]
- Dai, S.; Finkelman, R.B.; French, D.; Hower, J.C.; Graham, I.T.; Zhao, F. Modes of occurrence of elements in coal: A critical evaluation. Earth-Sci. Rev. 2021, 222, 103815. [Google Scholar] [CrossRef]
- Dai, S.; Zhang, W.; Ward, C.R.; Seredin, V.V.; Hower, J.C.; Li, X.; Song, W.; Wang, X.; Kang, H.; Zheng, L.; et al. Mineralogical and geochemical anomalies of late Permian coals from the Fusui Coalfield, Guangxi Province, southern China: Influences of terrigenous materials and hydrothermal fluids. Int. J. Coal Geol. 2013, 105, 60–84. [Google Scholar] [CrossRef]
- Zhao, L.; Ward, C.R.; French, D.; Graham, I.T. Mineralogy of the volcanic-influenced Great Northern coal seam in the Sydney Basin, Australia. Int. J. Coal Geol. 2012, 113, 94–110. [Google Scholar] [CrossRef]
- Chen, X.; Zheng, L.; Jiang, Y.; Jiang, C. Transformation of minerals at the boundary of magma-coal contactzone: Case study from Wolonghu Coal Mine, Huaibei Coalfield, China. Int. J. Coal Sci. Technol. 2012, 8, 168–175. [Google Scholar] [CrossRef]
- Zhang, N.; Xu, Y.; Ning, S.; Zhao, Y. Mineralogical characteristics in No. 6 coal seam from Xiaohuangshan Coal Mine of Fukang Mining Area, Junggar Coal Field. Coal Sci. Technol. 2021, 49, 242–250. (In Chinese) [Google Scholar]
- Huang, X.; Gordon, T.; Rom, W.N.; Finkelman, R.B. Interaction of Iron and Calcium Minerals in Coals and their Roles in Coal Dust-Induced Health and Environmental Problems. Rev. Mineral. Geochem. 2006, 64, 153–178. [Google Scholar] [CrossRef]
- Tian, L.; Dai, S.; Wang, J.; Huang, Y.; Ho, S.C.; Zhou, Y.; Lucas, D.; Koshland, C.P. Nanoquartz in Late Permian C1 coal and the high incidence of female lung cancer in the Pearl River Origin area: A retrospective cohort study. BMC Public Health 2008, 8, 398. [Google Scholar] [CrossRef] [PubMed]
- Erol, I.; Aydin, H.; Didari, V.; Ural, S. Pneumoconiosis and quartz content of respirable dusts in the coal mines in Zonguldak, Turkey. Int. J. Coal Geol. 2013, 116, 26–35. [Google Scholar] [CrossRef]
- Chen, S.; Liu, Z.; Deng, Y.; Yao, G. A study on the depositional facies order and control factors of Shanxi Formation Coal Seam thickness at Baiping District, Dengfeng, West Henan. J. Henan Polytech. Univ. (Nat. Sci.) 1995, 14, 10–18. (In Chinese) [Google Scholar]
- Lin, X. X-ray Diffraction Analytical Technology and Its Geological Application; Petroleum Industry Press: Beijing, China, 1990; pp. 11–31. (In Chinese) [Google Scholar]
- Liu, S. The Coal-Accumulating Environment and Characteristics of Sedimentary Evolutionin the Middle Permian Shanxi Formation, Werstern Henan Province. Mater’s Thesis, Henan Polytechnic University, Jiaozuo, China, 2010. (In Chinese). [Google Scholar]
- Lin, J. Study on Mineralogy and Geochemical Characteristics of Critical Mental Elements of Coal in Dengfeng Coalfoeld. Master’s Thesis, Hebei University of Engineering, Handan, China, 2022. (In Chinese). [Google Scholar]
- GB/T 482-2008; Sampling of Coal in Seam. National Standard of P.R. China: Beijing, China, 2008. (In Chinese)
- ASTM D 3174-04; Annual Book of ASTM Standards. Test Method for Ash in the Analysis Sample of Coal and Coke from Coal: Gaseous Fuels. Coal and Coke, ASTM International: West Conshohocken, PA, USA, 2005; Volume 05.06.
- ASTM D 3175-02; Annual Book of ASTM Standards. Test Method for Volatile Matter in the Analysis Sample of Coal and Coke: Gaseous Fuels. Coal and Coke, ASTM International: West Conshohocken, PA, USA, 2005; Volume 05.06.
- Chung, F.H. Quantitative interpretation of X-ray diffraction patterns of mixtures. I. Matrix-flushing method for quantitative multicomponent analysis. J. Appl. Crystallogr. 1974, 7, 519–525. [Google Scholar] [CrossRef]
- Chung, F.H. Quantitative interpretation of X-ray diffraction patterns of mixtures. II. Adiabatic principle of X-ray diffraction analysis of mixtures. J. Appl. Crystallogr. 1974, 7, 526–531. [Google Scholar] [CrossRef]
- Chung, F.H. Quantitative interpretation of X-ray diffraction patterns of mixtures. III. Simultaneous determination of a set of reference intensities. J. Appl. Crystallogr. 1975, 8, 17–19. [Google Scholar] [CrossRef]
- SY/T 5163-2010; Analysis Method for Clay Minerals and Ordinary Non-Clay Minerals in Sedimentary Rocks by the X-ray Diffraction. Petroleum and Gas Industry Standard of P.R. China: Beijing, China, 2010. (In Chinese)
- Dai, S.; Zou, J.; Jiang, Y.; Ward, C.R.; Wang, X.; Li, T.; Xue, W.; Liu, S.; Tian, H.; Sun, X.; et al. Mineralogical and geochemical compositions of the Pennsylvanian coal in the Adaohai Mine, Daqingshan Coalfield, Inner Mongolia, China: Modes of occurrence and origin of diaspore, gorceixite, and ammonian illite. Int. J. Coal Geol. 2012, 94, 250–270. [Google Scholar] [CrossRef]
- GB/T 15224.1-2004; Classification for Quality of Coal. Part 1: Ash Yield. National Standard of P.R. China: Beijing, China, 2004. (In Chinese)
- ASTM D 388-99; Annual Book of ASTM Standards. Standard Classification of Coals by Rank: Gaseous Fuels. Coal and Coke, ASTM International: West Conshohocken, PA, USA, 2005; Volume 05.06.
- Higashi, S. Tobelite, a new ammonium dioctahedral mica. Mineral. J. 1982, 11, 138–146. [Google Scholar] [CrossRef]
- Juster, T.; Brown, P.; Bailey, S. NH4-bearing illite in very low grade metamorphic rocks associated with coal, northeastern Pennsylvania. Am. Mineral. 1987, 72, 555–565. [Google Scholar]
- Chi, Q.; Yan, M. Handbook of Elemental Abundance for Applied Geochemistry; Geological Publishing House: Beijing, China, 2007; pp. 1–148. (In Chinese) [Google Scholar]
- Drits, V.A.; Lindgreen, H.; Salyn, A.L. Determination of the content and distribution of fixed ammonium in illite-smectite by X-ray diffraction: Application to North Sea illite-smectite. Am. Mineral. 1997, 82, 79–87. [Google Scholar] [CrossRef]
- Drits, V.A.; Lindgreen, H.; Sakharov, B.A.; Jakobsen, H.J.; Salyn, A.L.; Dainyak, L.G. Tobelitization of smectite during oil generation in oil source shales. Application to North Sea illite-tobelite-smectite-vermiculite. Clay Clay Miner. 2002, 50, 82–98. [Google Scholar] [CrossRef]
- Drits, V.A.; Sakharov, B.A.; Salyn, A.L.; Lindgreen, H. Determination of the content and distribution of fixed ammonium in illite-smectite using a modified X-ray diffraction technique: Application to oil source rocks of western Greenland. Am. Mineral. 2005, 90, 71–84. [Google Scholar] [CrossRef]
- Kübler, B. Évaluation quantitative du métamorphisme par la cristallinité de l’illite. Cent. Rech. Pau-SNPA Bull. 1968, 2, 385–397. [Google Scholar]
- Bayan, M.R.; Hower, J.C. Illite crystallinity and coal metamorphism for selected central Appalachian coals and shales. Int. J. Coal Geol. 2011, 94, 167–172. [Google Scholar] [CrossRef]
- Zhang, Z.; Xiao, X.; Li, Y.; Xie, J.; Tan, D. Evaluation of the structure order of kaolinite using the X-ray diffraction. Acta Mineral. Sin. 2023, 43, 97–102. (In Chinese) [Google Scholar]
- Liu, Q.; Zhang, P. Study on Composition and Ore-Forming Mechanism of Kaolinite Rocks in Neopaleozoic Coal-Bearing Strata, North China; China Ocean Press: Beijing. China, 1997. (In Chinese) [Google Scholar]
- Valentim, B.; Guedes, A.; Rodrigues, S.; Flores, D. Case study of igneous intrusion effects on coal nitrogen functionalities. Int. J. Coal Geol. 2011, 86, 291–294. [Google Scholar] [CrossRef]








| Mineral | Chemical Composition | Ratio |
|---|---|---|
| Qz | SiO2 | / |
| Ilt | (NH4 0.90, K0.10)Al2(AlSi3O10)(OH)2 | SiO2/Al2O3 = 1.18 |
| Kln | Al4Si4O10(OH)8 | SiO2/Al2O3 = 1.18 |
| Cal | CaCO3 | / |
| Ank | Ca(Fe0.75, Mg0.25)(CO3)2 | / |
| Ant | TiO2 | / |
| Sample | Ad | Vdaf | Mineral Proportion/% | LOI | Mineral Content/% | |||||||||||
|---|---|---|---|---|---|---|---|---|---|---|---|---|---|---|---|---|
| Qz | Kln | Cal | Ank | Ilt | Ant | MC | Qz | Kln | Cal | Ank | Ilt | Ant | ||||
| XD-21-C1 | 15.34 | 11.4 | 6.04 | 17.9 | 60.01 | 8.43 | 7.48 | 0.14 | 33.04 | 22.91 | 1.38 | 4.10 | 13.75 | 1.93 | 1.71 | 0.03 |
| XD-21-C2 | 30.29 | 13.3 | 14.01 | 43.85 | 7.62 | 1.39 | 32.14 | 1 | 13.53 | 35.03 | 4.91 | 15.36 | 2.67 | 0.49 | 11.26 | 0.35 |
| XD-21-C3 | 13.43 | 13.1 | 1.81 | 45.22 | 35.08 | 9.45 | 7.75 | 0.69 | 26.32 | 18.23 | 0.33 | 8.24 | 6.39 | 1.72 | 1.41 | 0.13 |
| XD-21-C4 | 28.9 | 14.5 | 0 | 42.47 | 7.46 | 1.3 | 47.06 | 1.71 | 14.86 | 33.94 | 0.00 | 14.42 | 2.53 | 0.44 | 15.97 | 0.58 |
| XD-21-C5 | 10.83 | 15.2 | 0 | 44.35 | 34.11 | 9.97 | 10.49 | 1.07 | 26.27 | 14.69 | 0.00 | 6.51 | 5.01 | 1.46 | 1.54 | 0.16 |
| XD-21-C6 | 14.52 | 13.1 | 0 | 23.29 | 47.28 | 5.21 | 23.19 | 1.03 | 28.64 | 20.35 | 0.00 | 4.74 | 9.62 | 1.06 | 4.72 | 0.21 |
| XD-21-C7 | 17.94 | 14.5 | 0 | 54.97 | 6.96 | 2.47 | 32.71 | 2.89 | 15.28 | 21.18 | 0.00 | 11.64 | 1.47 | 0.52 | 6.93 | 0.61 |
| XD-21-C8 | 9.99 | 11.2 | 0 | 16.36 | 60.15 | 16.74 | 5.75 | 1 | 35.98 | 15.60 | 0.00 | 2.55 | 9.39 | 2.61 | 0.90 | 0.16 |
| XD-21-C9 | 6.72 | 13.4 | 0 | 52.7 | 3.49 | 4.56 | 38.45 | 0.79 | 14.89 | 7.90 | 0.00 | 4.16 | 0.28 | 0.36 | 3.04 | 0.06 |
| XD-21-C10 | 7.62 | 14.1 | 0 | 27.33 | 41.15 | 8.08 | 21.89 | 1.56 | 27.50 | 10.51 | 0.00 | 2.87 | 4.32 | 0.85 | 2.30 | 0.16 |
| XD-21-C11 | 6.32 | 13.9 | 0 | 45.08 | 20 | 3.55 | 30.37 | 1.01 | 19.81 | 7.88 | 0.00 | 3.55 | 1.58 | 0.28 | 2.39 | 0.08 |
| XD-21-C12 | 8.93 | 14.2 | 0 | 43.96 | 10.16 | 1.39 | 43.17 | 1.33 | 15.87 | 10.61 | 0.00 | 4.67 | 1.08 | 0.15 | 4.58 | 0.14 |
| XD-21-C13 | 11.77 | 14.8 | 0 | 34.97 | 17.13 | 3.12 | 43.4 | 1.38 | 18.39 | 14.42 | 0.00 | 5.04 | 2.47 | 0.45 | 6.26 | 0.20 |
| XD-21-C14 | 8.48 | 12.1 | 0 | 43.08 | 15.11 | 1.84 | 38.86 | 1.11 | 17.63 | 10.29 | 0.00 | 4.44 | 1.56 | 0.19 | 4.00 | 0.11 |
| XD-21-C15 | 6.88 | 12.9 | 0 | 58.81 | 24.36 | 0 | 16.56 | 0.27 | 20.73 | 8.68 | 0.00 | 5.10 | 2.11 | 0.00 | 1.44 | 0.02 |
| XD-21-C16 | 7.8 | 12.3 | 0 | 51.18 | 8.23 | 1.26 | 38.35 | 0.98 | 15.45 | 9.23 | 0.00 | 4.72 | 0.76 | 0.12 | 3.54 | 0.09 |
| XD-21-C17 | 7.64 | 11.9 | 0 | 58.1 | 9.08 | 0 | 32.11 | 0.72 | 15.61 | 9.05 | 0.00 | 5.26 | 0.82 | 0.00 | 2.91 | 0.07 |
| XD-21-C18 | 10.15 | 11.6 | 0 | 65.48 | 7.47 | 0 | 26.06 | 0.99 | 15.27 | 11.98 | 0.00 | 7.84 | 0.89 | 0.00 | 3.12 | 0.12 |
| XD-21-C19 | 9.79 | 12.1 | 0 | 37.91 | 3.3 | 0.75 | 56.67 | 1.37 | 13.23 | 11.28 | 0.00 | 4.28 | 0.37 | 0.08 | 6.39 | 0.15 |
| XD-21-C20 | 8.93 | 12.3 | 0 | 71.39 | 3.32 | 0 | 24.49 | 0.81 | 14.10 | 10.40 | 0.00 | 7.42 | 0.35 | 0.00 | 2.55 | 0.08 |
| XD-21-C21 | 13.01 | 12.2 | 0 | 80.25 | 2.39 | 0 | 15.77 | 1.59 | 13.97 | 15.12 | 0.00 | 12.14 | 0.36 | 0.00 | 2.38 | 0.24 |
| XD-21-C22 | 14.84 | 13.4 | 0 | 79.31 | 1.62 | 0 | 17.51 | 1.57 | 13.69 | 17.19 | 0.00 | 13.64 | 0.28 | 0.00 | 3.01 | 0.27 |
| XD-21-C23 | 10.06 | 13.5 | 0 | 67.2 | 11.72 | 3.68 | 15.32 | 2.08 | 17.66 | 12.22 | 0.00 | 8.21 | 1.43 | 0.45 | 1.87 | 0.25 |
| XD-21-C24 | 10.55 | 13.1 | 0 | 76.23 | 17.2 | 0 | 4.8 | 1.77 | 18.73 | 12.98 | 0.00 | 9.90 | 2.23 | 0.00 | 0.62 | 0.23 |
| XD-21-C25 | 11.71 | 12.9 | 0 | 94.43 | 0 | 0 | 4.28 | 1.3 | 13.64 | 13.56 | 0.00 | 12.80 | 0.00 | 0.00 | 0.58 | 0.18 |
| XD-21-C26 | 11.01 | 13.1 | 0 | 47.21 | 17 | 0 | 35.73 | 0.06 | 17.97 | 13.42 | 0.00 | 6.34 | 2.28 | 0.00 | 4.80 | 0.01 |
| XD-21-C28 | 10.58 | 13.2 | 0 | 96.25 | 0 | 0 | 3.05 | 0.69 | 13.76 | 12.27 | 0.00 | 11.81 | 0.00 | 0.00 | 0.37 | 0.08 |
| Av | 12.00 | 13.09 | 0.81 | 52.57 | 17.46 | 3.08 | 24.94 | 1.14 | 18.96 | 14.85 | 0.25 | 7.47 | 2.74 | 0.49 | 3.73 | 0.18 |
| Sample | SiO2 | Al2O3 | Na2O | K2O | CaO | MgO | Fe2O3 | TiO2 | SiO2/Al2O3 | Al2O3/TiO2 | K |
|---|---|---|---|---|---|---|---|---|---|---|---|
| XD-21-C1 | 4.15 | 2.34 | 0.01 | 0.01 | 8.19 | 0.14 | 0.47 | 0.03 | 1.78 | 73.07 | 1.357 |
| XD-21-C2 | 17.43 | 10.64 | 0.01 | 0.09 | 1.62 | 0.02 | 0.14 | 0.34 | 1.64 | 30.91 | 0.063 |
| XD-21-C3 | 4.82 | 3.81 | 0.01 | 0.02 | 4.04 | 0.09 | 0.52 | 0.13 | 1.26 | 30.49 | 0.539 |
| XD-21-C4 | 16.18 | 10.45 | 0.01 | 0.04 | 1.51 | 0.02 | 0.12 | 0.57 | 1.55 | 18.32 | 0.062 |
| XD-21-C5 | 3.87 | 3.09 | 0.01 | 0.00 | 3.19 | 0.06 | 0.45 | 0.16 | 1.25 | 19.69 | 0.531 |
| XD-21-C6 | 4.80 | 3.52 | 0.00 | 0.02 | 5.62 | 0.06 | 0.29 | 0.21 | 1.36 | 17.13 | 0.717 |
| XD-21-C7 | 9.08 | 7.07 | 0.00 | 0.05 | 0.96 | 0.03 | 0.13 | 0.61 | 1.29 | 11.52 | 0.070 |
| XD-21-C8 | 1.63 | 1.37 | 0.00 | 0.00 | 5.94 | 0.12 | 0.77 | 0.16 | 1.19 | 8.68 | 2.277 |
| XD-21-C9 | 3.69 | 2.58 | 0.00 | 0.01 | 0.25 | 0.02 | 0.11 | 0.06 | 1.43 | 41.52 | 0.060 |
| XD-21-C10 | 2.64 | 1.90 | 0.00 | 0.00 | 2.62 | 0.05 | 0.23 | 0.16 | 1.39 | 11.69 | 0.639 |
| XD-21-C11 | 3.02 | 2.16 | 0.00 | 0.01 | 0.96 | 0.01 | 0.08 | 0.08 | 1.39 | 27.89 | 0.203 |
| XD-21-C12 | 4.70 | 3.36 | 0.01 | 0.03 | 0.64 | 0.01 | 0.04 | 0.14 | 1.40 | 23.84 | 0.086 |
| XD-21-C13 | 5.91 | 3.98 | 0.00 | 0.03 | 1.49 | 0.02 | 0.14 | 0.20 | 1.49 | 20.02 | 0.166 |
| XD-21-C14 | 4.37 | 3.00 | 0.00 | 0.02 | 0.91 | 0.01 | 0.04 | 0.11 | 1.46 | 26.28 | 0.132 |
| XD-21-C15 | 3.21 | 2.46 | 0.00 | 0.00 | 1.17 | 0.00 | 0.00 | 0.02 | 1.31 | 105.87 | 0.208 |
| XD-21-C16 | 4.16 | 3.03 | 0.00 | 0.03 | 0.46 | 0.01 | 0.03 | 0.09 | 1.38 | 34.14 | 0.069 |
| XD-21-C17 | 4.05 | 3.04 | 0.00 | 0.02 | 0.46 | 0.00 | 0.00 | 0.06 | 1.34 | 47.05 | 0.066 |
| XD-21-C18 | 5.42 | 4.09 | 0.00 | 0.01 | 0.50 | 0.00 | 0.00 | 0.12 | 1.33 | 34.42 | 0.053 |
| XD-21-C19 | 5.74 | 3.60 | 0.01 | 0.03 | 0.24 | 0.00 | 0.02 | 0.15 | 1.60 | 23.89 | 0.029 |
| XD-21-C20 | 4.76 | 3.87 | 0.00 | 0.02 | 0.19 | 0.00 | 0.00 | 0.08 | 1.23 | 46.07 | 0.023 |
| XD-21-C21 | 6.81 | 5.70 | 0.00 | 0.04 | 0.21 | 0.00 | 0.01 | 0.24 | 1.19 | 23.68 | 0.017 |
| XD-21-C22 | 7.92 | 6.43 | 0.00 | 0.04 | 0.16 | 0.00 | 0.01 | 0.27 | 1.23 | 23.91 | 0.012 |
| XD-21-C23 | 4.81 | 3.89 | 0.00 | 0.01 | 0.92 | 0.03 | 0.13 | 0.26 | 1.24 | 15.02 | 0.124 |
| XD-21-C24 | 4.94 | 4.11 | 0.01 | 0.00 | 1.25 | 0.00 | 0.00 | 0.23 | 1.20 | 17.50 | 0.139 |
| XD-21-C25 | 6.15 | 5.36 | 0.00 | 0.02 | 0.00 | 0.00 | 0.01 | 0.18 | 1.15 | 29.66 | 0.001 |
| XD-21-C26 | 5.62 | 4.10 | 0.00 | 0.02 | 1.26 | 0.00 | 0.00 | 0.01 | 1.37 | 510.77 | 0.130 |
| XD-21-C28 | 5.60 | 4.86 | 0.00 | 0.02 | 0.00 | 0.00 | 0.01 | 0.09 | 1.15 | 56.03 | 0.001 |
| Av. | 5.76 | 4.22 | 0.00 | 0.02 | 1.66 | 0.03 | 0.14 | 0.18 | 1.36 | 49.22 | |
| Chinese coal | 8.47 | 5.89 | 0.16 | 0.19 | 1.21 | 0.22 | 4.85 | 0.33 | 1.44 | 17.85 | |
| Zhongtiao Old land | 71.61 | 13.19 | 3.34 | 3.22 | 1.27 | 0.95 | 2.02 | 0.46 | 5.43 | 28.86 |
| Sample | d001/Å | d002/d001 | d003/d001 | d004/d001 | FWHM001 | FWHM002/FWHM001 | FWHM003/FWHM001 | FWHM004/FWHM001 | NH4+/(NH4+ + K+) |
|---|---|---|---|---|---|---|---|---|---|
| XD-21-C1 | 10.3055 | 0.267 | 0.92 | ||||||
| XD-21-C2 | 10.2969 | 0.49 | 0.258 | 0.99 | 0.90 | ||||
| XD-21-C3 | 10.31 | 0.50 | 0.285 | 0.98 | 0.93 | ||||
| XD-21-C4 | 10.2957 | 0.50 | 0.33 | 0.25 | 0.274 | 0.97 | 0.97 | 0.98 | 0.89 |
| XD-21-C5 | 10.3211 | 0.50 | 0.277 | 0.99 | 0.96 | ||||
| XD-21-C6 | 10.3209 | 0.50 | 0.33 | 0.25 | 0.264 | 1.02 | 1.03 | 1.00 | 0.96 |
| XD-21-C7 | 10.2975 | 0.50 | 0.34 | 0.25 | 0.268 | 0.97 | 1.02 | 1.03 | 0.90 |
| XD-21-C8 | 10.33 | 0.50 | 0.257 | 1.08 | 0.99 | ||||
| XD-21-C9 | 10.3052 | 0.50 | 0.33 | 0.25 | 0.268 | 0.96 | 0.97 | 0.97 | 0.92 |
| XD-21-C10 | 10.3263 | 0.49 | 0.33 | 0.25 | 0.253 | 1.04 | 1.02 | 1.05 | 0.98 |
| XD-21-C11 | 10.3057 | 0.50 | 0.33 | 0.25 | 0.256 | 1.01 | 1.02 | 1.03 | 0.92 |
| XD-21-C12 | 10.3051 | 0.50 | 0.33 | 0.25 | 0.255 | 1.02 | 1.03 | 1.02 | 0.92 |
| XD-21-C13 | 10.3025 | 0.50 | 0.33 | 0.25 | 0.265 | 0.95 | 0.97 | 1.01 | 0.91 |
| XD-21-C14 | 10.2965 | 0.50 | 0.33 | 0.25 | 0.248 | 1.04 | 1.03 | 1.04 | 0.90 |
| XD-21-C15 | 10.3113 | 0.50 | 0.267 | 0.98 | 0.94 | ||||
| XD-21-C16 | 10.2902 | 0.50 | 0.33 | 0.25 | 0.262 | 0.95 | 1.04 | 1.05 | 0.88 |
| XD-21-C17 | 10.2965 | 0.50 | 0.33 | 0.25 | 0.276 | 0.99 | 0.97 | 1.00 | 0.90 |
| XD-21-C18 | 10.3016 | 0.50 | 0.34 | 0.25 | 0.257 | 1.04 | 1.03 | 1.02 | 0.91 |
| XD-21-C19 | 10.2869 | 0.50 | 0.33 | 0.25 | 0.256 | 1.00 | 0.99 | 0.97 | 0.87 |
| XD-21-C20 | 10.2972 | 0.51 | 0.265 | 0.99 | 0.90 | ||||
| XD-21-C21 | 10.2784 | 0.50 | 0.271 | 1.01 | 0.85 | ||||
| XD-21-C22 | 10.2875 | 0.50 | 0.256 | 1.04 | 0.87 | ||||
| XD-21-C23 | 10.2997 | 0.50 | 0.257 | 1.05 | 0.90 | ||||
| XD-21-C24 | 10.299 | 0.268 | 0.90 | ||||||
| XD-21-C25 | 10.2581 | 0.259 | 0.79 | ||||||
| XD-21-C26 | 10.3063 | 0.50 | 0.33 | 0.25 | 0.268 | 0.96 | 0.99 | 1.00 | 0.92 |
| XD-21-C28 | 10.2543 | 0.258 | 0.78 | ||||||
| Sd. | 0.0168 | 0.004 | 0.0034 | 0 | 0.0083 | 0.035 | 0.026 | 0.026 | 0.046 |
| Av. | 10.2995 | 0.50 | 0.33 | 0.25 | 0.264 | 1.00 | 1.01 | 1.01 | 0.90 |
| Sample | d002/Å | d020/Å | FWHM002 | WC | HI |
|---|---|---|---|---|---|
| XD-21-C1 | 3.5813 | 4.4668 | 0.182 | 0.206 | 1.31 |
| XD-21-C2 | 3.5786 | 4.4757 | 0.275 | 0.307 | 1.2 |
| XD-21-C3 | 3.5807 | 4.4705 | 0.221 | 0.248 | 1.26 |
| XD-21-C4 | 3.5751 | 4.4926 | 0.213 | 0.216 | 1.3 |
| XD-21-C5 | 3.5793 | 4.4814 | 0.245 | 0.232 | 1.28 |
| XD-21-C6 | 3.5758 | 4.4936 | 0.222 | 0.242 | 1.27 |
| XD-21-C7 | 3.5787 | 4.4848 | 0.267 | 0.295 | 1.22 |
| XD-21-C8 | 3.5844 | 4.4893 | 0.203 | 0.224 | 1.29 |
| XD-21-C9 | 3.5744 | 4.4913 | 0.208 | 0.227 | 1.28 |
| XD-21-C10 | 3.5787 | 4.4848 | 0.24 | 0.265 | 1.25 |
| XD-21-C11 | 3.5787 | 4.4985 | 0.248 | 0.27 | 1.24 |
| XD-21-C12 | 3.578 | 4.497 | 0.246 | 0.268 | 1.24 |
| XD-21-C13 | 3.5751 | 4.4971 | 0.215 | 0.233 | 1.28 |
| XD-21-C14 | 3.5779 | 4.4969 | 0.192 | 0.209 | 1.3 |
| XD-21-C15 | 3.5759 | 4.4713 | 0.268 | 0.299 | 1.21 |
| XD-21-C16 | 3.5773 | 4.487 | 0.225 | 0.247 | 1.26 |
| XD-21-C17 | 3.5772 | 4.4869 | 0.235 | 0.258 | 1.25 |
| XD-21-C18 | 3.5814 | 4.4759 | 0.242 | 0.271 | 1.24 |
| XD-21-C19 | 3.5786 | 4.4983 | 0.207 | 0.225 | 1.29 |
| XD-21-C20 | 3.5786 | 4.4669 | 0.26 | 0.293 | 1.22 |
| XD-21-C21 | 3.5779 | 4.4704 | 0.244 | 0.273 | 1.24 |
| XD-21-C22 | 3.5785 | 4.4714 | 0.232 | 0.26 | 1.25 |
| XD-21-C23 | 3.5786 | 4.4713 | 0.204 | 0.229 | 1.28 |
| XD-21-C24 | 3.5787 | 4.4714 | 0.213 | 0.239 | 1.27 |
| XD-21-C25 | 3.5813 | 4.4713 | 0.203 | 0.228 | 1.28 |
| XD-21-C26 | 3.5786 | 4.4892 | 0.185 | 0.203 | 1.31 |
| XD-21-C28 | 3.5807 | 4.4657 | 0.265 | 0.299 | 1.21 |
| Sd. | 0.0022 | 0.0111 | 0.0258 | 0.0302 | 0.031 |
| Av. | 3.5785 | 4.4821 | 0.228 | 0.251 | 1.26 |
Disclaimer/Publisher’s Note: The statements, opinions and data contained in all publications are solely those of the individual author(s) and contributor(s) and not of MDPI and/or the editor(s). MDPI and/or the editor(s) disclaim responsibility for any injury to people or property resulting from any ideas, methods, instructions or products referred to in the content. |
© 2024 by the authors. Licensee MDPI, Basel, Switzerland. This article is an open access article distributed under the terms and conditions of the Creative Commons Attribution (CC BY) license (https://creativecommons.org/licenses/by/4.0/).
Share and Cite
Ning, S.; Wang, Z.; Wang, H.; Chen, C.; Zhao, H.; Huang, B.; Zheng, Q. Mineralogical and Geochemical Composition of Late Permian Coals from Dengfeng Coalfield, North China: Conversion of Clay Minerals in Coal during Coalification. Processes 2024, 12, 1688. https://doi.org/10.3390/pr12081688
Ning S, Wang Z, Wang H, Chen C, Zhao H, Huang B, Zheng Q. Mineralogical and Geochemical Composition of Late Permian Coals from Dengfeng Coalfield, North China: Conversion of Clay Minerals in Coal during Coalification. Processes. 2024; 12(8):1688. https://doi.org/10.3390/pr12081688
Chicago/Turabian StyleNing, Shuyuan, Zhenzhi Wang, Hui Wang, Chunxiang Chen, Hui Zhao, Bo Huang, and Qiming Zheng. 2024. "Mineralogical and Geochemical Composition of Late Permian Coals from Dengfeng Coalfield, North China: Conversion of Clay Minerals in Coal during Coalification" Processes 12, no. 8: 1688. https://doi.org/10.3390/pr12081688
APA StyleNing, S., Wang, Z., Wang, H., Chen, C., Zhao, H., Huang, B., & Zheng, Q. (2024). Mineralogical and Geochemical Composition of Late Permian Coals from Dengfeng Coalfield, North China: Conversion of Clay Minerals in Coal during Coalification. Processes, 12(8), 1688. https://doi.org/10.3390/pr12081688

