A Novel P + d Control Scheme for Time-Delayed Telerobotic Systems with Damping Adjustment
Abstract
1. Introduction
- Differently from existing works in [31,32,33,34,35,36,37], a novel, improved P + d control scheme with a damping adjustment strategy and adaptive method is presented. Compared to the work in [38], the proposed damping adjustment strategy effectively avoids the issue of control signal oscillations caused by velocity singularities. This improvement ensures a smoother and more stable control performance. By incorporating the proposed damping coefficient adjustment and adaptive approach, the convergence speed of position errors and the robustness of the closed-loop telerobotic system can be enhanced.
- In this paper, a RBFNN and adaptive control method are utilized for uncertain dynamics and unknown external force compensation, and the precise gravity torque and external forces do not need be accurately obtained.
- In this paper, the Lyapunov–Krasovskii function is constructed for stability analysis of the telerobotic system, and the relationship between controller gains and the upper bounded communication delays is obtained.
2. Dynamics
3. Controller Design and Stability Analysis
3.1. Controller Design
3.2. Stability Analysis
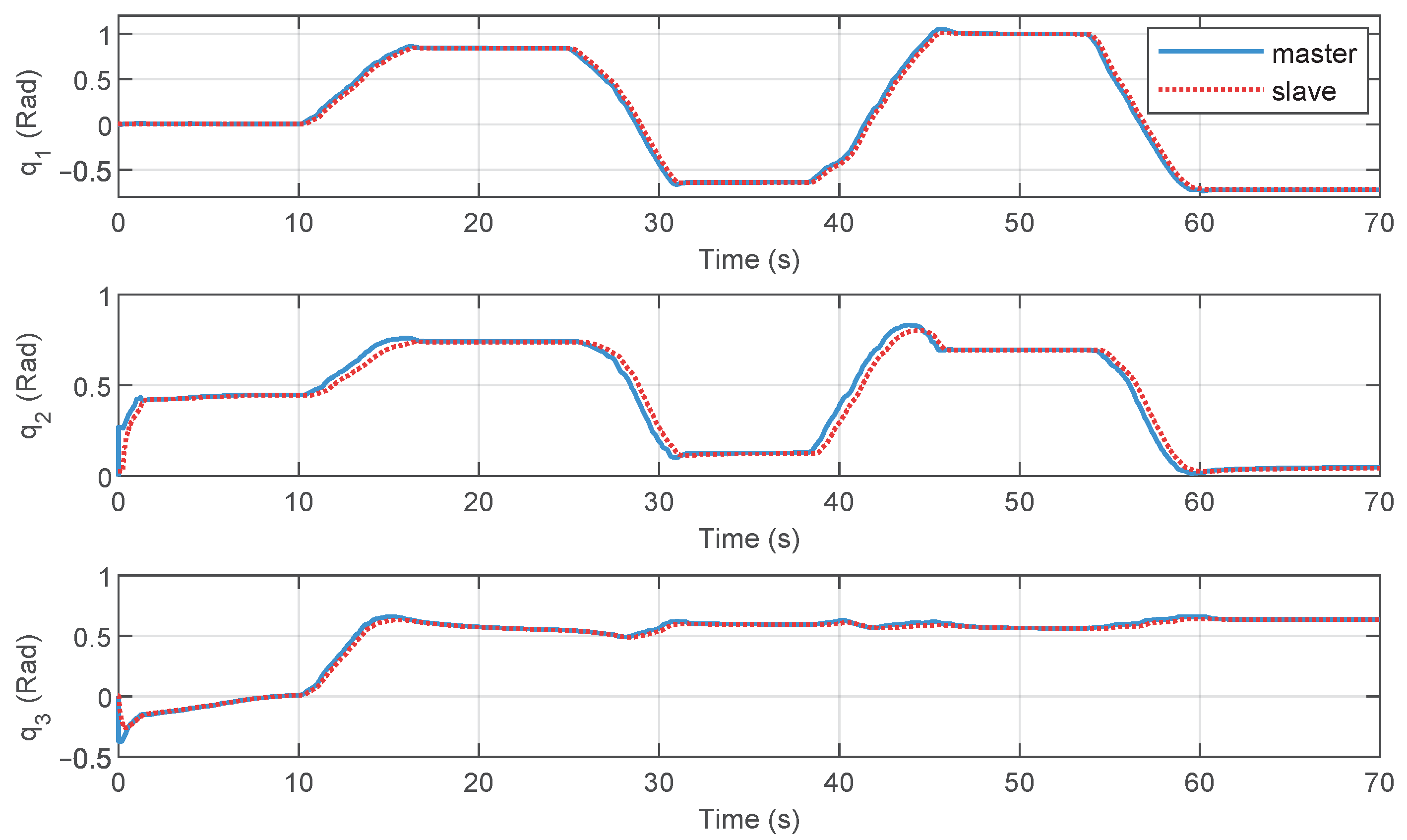
4. Simulations and Experiments
4.1. Simulations
4.2. Experiment Analysis

5. Conclusions
Author Contributions
Funding
Data Availability Statement
Conflicts of Interest
Appendix A
Appendix B
References
- Hokayem, P.; Spong, M.W. Bilateral teleoperation: An historical survey. Automatica 2006, 42, 2035–2057. [Google Scholar] [CrossRef]
- Alatorre, D.; Nasser, B.; Rabani, A.; Nagy-Sochacki, A.; Dong, X.; Axinte, D.; Kell, J. Teleoperated, in situ repair of an aeroengine: Overcoming the internet latency hurdle. IEEE Robot. Autom. Mag. 2019, 26, 10–20. [Google Scholar] [CrossRef]
- Ghorbanian, A.; Rezaei, S.; Khoogar, A.; Zareinejad, M.; Baghestan, K. A novel control framework for nonlinear time-delayed dualmaster/single-slave teleoperation. ISA Trans. 2013, 52, 268–277. [Google Scholar] [CrossRef]
- Shahbazi, M.; Atashzar, S.F.; Patel, R.V. A systematic review of multilateral teleoperation systems. IEEE Trans. Haptics 2018, 11, 338–356. [Google Scholar] [CrossRef] [PubMed]
- Li, Y.L.; Li, C.X.; Dong, J.; Wang, H.J. Master-slaves synchronization of teleoperation systems with the Try-Once-Discard protocol under event-triggered communication. Asian J. Control, 2024; in press. [Google Scholar] [CrossRef]
- He, W.; Li, Z.J.; Chen, C.L.P. A survey of human-centered intelligent robots: Issues and challenges. IEEE/CAA J. Autom. Sin. 2017, 4, 602–609. [Google Scholar] [CrossRef]
- Nuño, E.; Basañez, L.; Ortega, R. Passivity-based control for bilateral teleoperation—A tutorial. Automatica 2011, 47, 485–495. [Google Scholar] [CrossRef]
- Sun, D.; Naghdy, F.; Du, H.P. Application of wave-variable control to bilateral teleoperation systems: A survey. Annu. Rev. Control 2014, 38, 12–31. [Google Scholar] [CrossRef]
- Jafari, B.H.; Spong, M.W. Passivity-based switching control in teleoperation systems with time-varying communication delay. In Proceedings of the 2017 American Control Conference, Seattle, WA, USA, 24–26 May 2017; pp. 5469–5475. [Google Scholar]
- Chen, Z.; Huang, F.H.; Sun, W.C.; Song, W. An improved wave-varialbe based four-channel control design in bilateral teleoperation system for time-delay compensation. IEEE Access 2018, 6, 12848–12857. [Google Scholar] [CrossRef]
- Al-Wais, S.; Khoo, S.; Lee, T.H.; Shanmugam, L.; Nahavandi, S. Robust H cost guaranteed integral sliding mode control for the synchronization problem of nonlinear tele-operation system with variable time-delay. ISA Trans. 2018, 72, 25–36. [Google Scholar] [CrossRef] [PubMed]
- Chen, Z.; Huang, F.H.; Chen, W.J.; Zhang, J.H.; Sun, W.C.; Chen, J.W.; Gu, J.; Zhu, S.Q. RBFNN-based adaptive sliding mode control design for delayed nonlinear multilateral telerobotic system with cooperative manipulation. IEEE Trans. Ind. Inform. 2020, 16, 1236–1247. [Google Scholar] [CrossRef]
- Kostyukova, O.; Vista, F.P.; Chong, K.T. Design of feedforward and feedback position control for passive bilateral teleoperation with delays. ISA Trans. 2019, 85, 200–213. [Google Scholar] [CrossRef] [PubMed]
- Shen, S.B.; Song, A.G.; Li, H.J.; Li, T. Constrained control for cloud robotic under time delay based on command governor with interval estimation. IEEE Access 2019, 7, 70999–71006. [Google Scholar] [CrossRef]
- Zhang, H.; Song, A.; Li, H.; Chen, D.; Fan, L. Adaptive finite-time control scheme for teleoperation with time-varying delay and uncertainties. IEEE Trans. Syst. Man Cybern. Syst. 2022, 52, 1552–1566. [Google Scholar] [CrossRef]
- Su, S.; Ji, Y. Adaptive time-varying formation control for teleoperation system: A finite-time approach. Int. J. Adapt. Control Signal Process. 2022, 37, 750–770. [Google Scholar] [CrossRef]
- Li, Y.; Yin, Y.; Zhang, D. Adaptive task-space synchronization control of bilateral teleoperation systems with uncertain parameters and communication delays. IEEE Access 2018, 6, 5740–5748. [Google Scholar] [CrossRef]
- Li, Y.; Yin, Y.; Zhang, S.; Dong, J.; Johansson, R. Composite adaptive control for bilateral teleoperation systems without persistency of excitation. J. Frankl. Inst. Eng. Appl. Math. 2020, 357, 773–795. [Google Scholar] [CrossRef]
- Wang, H.Q.; Liu, P.X.; Liu, S.C. Adaptive neural synchronization control for bilateral teleoperation systems with time delay and backlash-like hysteresis. IEEE Trans. Cybern. 2017, 47, 3018–3026. [Google Scholar] [CrossRef] [PubMed]
- Huang, F.H.; Zhang, W.; Chen, Z.; Tang, J.Z.; Song, W.; Zhu, S.Q. RBFNN-based adaptive sliding mode control design for nonlinear bilateral teleoperation system under time-varying delays. IEEE Access 2019, 7, 11905–11912. [Google Scholar] [CrossRef]
- Chen, Z.; Huang, F.H.; Sun, W.C.; Gu, J.; Yao, B. RBF-neural-network-based adaptive robust control for nonlinear bilateral teleoperation manipulators with uncertainty and time delay. IEEE/ASME Trans. Mechatron. 2020, 25, 906–918. [Google Scholar] [CrossRef]
- Kebria, P.M.; Khosravi, A.; Nahavandi, S.; Wu, D.R.; Bello, F. Adaptive type-2 fuzzy neural-network control for teleoperation systems with delay and uncertainties. IEEE Trans. Fuzzy Syst. 2020, 28, 2543–2554. [Google Scholar] [CrossRef]
- Yang, Y.A.; Gan, L.; Chen, Y.H.; Hua, C.C. Adaptive neural network control for flexible telerobotic systems with communication constraints. J. Frankl. Inst. Eng. Appl. Math. 2022, 359, 4751–4775. [Google Scholar] [CrossRef]
- Tan, N.; Yu, P.; Zhang, M.; Li, C.S. Toward unified adaptive teleoperation based on damping ZNN for robot manipulators with unknown kinematics. IEEE Trans. Ind. Electron. 2023, 70, 9227–9236. [Google Scholar] [CrossRef]
- Wang, F.J.; Yu, Y.J.; Li, X.; Luo, J.X.; Zhong, J.M. Adaptive neural network synchronous tracking control for teleoperation robots under event-triggered mechanism. IEEE Robot. Autom. Lett. 2024, 9, 10010–10017. [Google Scholar] [CrossRef]
- Bouteraa, Y.; Alattas, K.A.; Peng, T.R.; Fekih, A.; Rahmani, R.; Mobayen, S. Design of robust adaptive fuzzy control for uncertain bilateral teleoperation systems based on backstepping approach. IET Control Theory Appl. 2023, 17, 800–813. [Google Scholar] [CrossRef]
- Cao, S.J.; Sun, L.; Jiang, J.J.; Zuo, Z.Y. Reinforcement learning-based fixed-time trajectory tracking control for uncertain robotic manipulators with input saturation. IEEE Trans. Neural Netw. Learn. Syst. 2023, 34, 4584–4595. [Google Scholar] [CrossRef] [PubMed]
- Zhang, Y.; Hua, C.C. Composite learning finite-time control of robotic systems with output constraints. IEEE Trans. Ind. Electron. 2023, 70, 1687–1695. [Google Scholar] [CrossRef]
- Zhao, J.; Wang, Z.G.; Lv, Y.F.; Na, J.; Liu, C.Z.; Zhao, Z.L. Data-driven learning for H∞ control of adaptive cruise control systems. IEEE Trans. Veh. Technol. 2023, 73, 18348–18362. [Google Scholar] [CrossRef]
- Zhang, H.C.; Fu, L.Y.; Zhang, A.C. A Novel Adaptive Finite-Time Position Tracking Control Strategy for Teleoperation System with Varying Communication Delays. Mathematics 2023, 11, 1486. [Google Scholar] [CrossRef]
- De Lima, M.V.; Mozelli, L.A.; Neto, A.A.; Souza, F.O. A simple algebraic criterion for stability of bilateral teleoperation systems under time-varying delays. Mech. Syst. Signal Process. 2020, 137, 106217. [Google Scholar] [CrossRef]
- Islam, S.; Liu, X.P.; El-Saddik, A. Teleoperation systems with symmetric and unsymmetric time varying communication delay. IEEE Trans. Instrum. Meas. 2013, 62, 2943–2953. [Google Scholar] [CrossRef]
- Hashemzadeh, F.; Tavakoli, M. Position and force tracking in nonlinear teleoperation systems under varying delays. Robotics 2015, 33, 1003–1016. [Google Scholar] [CrossRef]
- Chan, L.P.; Naghdy, F.; Stirling, D. Position and force tracking for non-linear haptic tele-manipulator under varying delays with an improved extended active observer. Robot. Auton. Syst. 2016, 75, 145–160. [Google Scholar] [CrossRef]
- Ganjefar, S.; Rezaei, S.; Hashemzadeh, F. Position and force tracking in nonlinear teleoperation systems with sandwich linearity in actuators and time-varying delay. Mech. Syst. Signal Process. 2017, 86, 308–324. [Google Scholar] [CrossRef]
- Pourseifi, M.; Rezaei, S. Adaptive control for position and force tracking of uncertain teleoperation with actuators saturation and asymmetric varying time delays. Int. J. Nonlinear Sci. Numer. Simul. 2024, 24, 3113–3132. [Google Scholar] [CrossRef]
- Lu, Z.Y.; Guan, Y.; Wang, N. An adaptive fuzzy control for human-in-the-loop operations with varying communication time delays. IEEE Robot. Autom. Lett. 2022, 7, 5599–5606. [Google Scholar] [CrossRef]
- Yang, Y.; Constantinescu, D.; Shi, Y. Robust four-channel teleoperation through hybrid damping-stiffness adjustment. IEEE Trans. Control. Syst. Technol. 2020, 28, 920–935. [Google Scholar] [CrossRef]
- Sciavicco, L.; Siciliano, B. Modelling and Control of Robot Manipulators; Springer: Berlin/Heidelberg, Germany, 2012. [Google Scholar]
- Hashemzadeh, F.; Hassanzadeh, I.; Tavakoli, M. Teleoperation in the presence of varying time delays and sandwich linearity in actuators. Automatica 2013, 49, 2421–2813. [Google Scholar] [CrossRef]
- Jleilaty, S.; Ammounah, A.; Abdulmalek, G.; Nouveliere, L.; Su, H.; Alfayad, S. Distributed real-time control architecture for electrohydraulic humanoid robots. Robot. Intell. Autom. 2024, 44, 607–620. [Google Scholar] [CrossRef]
- Li, Z.; Xia, Y.; Su, C.Y. Intelligent Networked Teleoperation Control; Springer: Berlin/Heidelberg, Germany, 2015. [Google Scholar]












| 4.5 kg | 0.5 kg | 1.0 m | 3.4 kg | 0.25 kg | 1 m |
| Joint | Proposed | Method 1 | Method 2 |
|---|---|---|---|
| Joint 1 | |||
| Joint 2 |
| Joint | Proposed | Method 1 | Method 2 |
|---|---|---|---|
| Joint 1 | |||
| Joint 2 | |||
| Joint 3 |
Disclaimer/Publisher’s Note: The statements, opinions and data contained in all publications are solely those of the individual author(s) and contributor(s) and not of MDPI and/or the editor(s). MDPI and/or the editor(s) disclaim responsibility for any injury to people or property resulting from any ideas, methods, instructions or products referred to in the content. |
© 2025 by the authors. Licensee MDPI, Basel, Switzerland. This article is an open access article distributed under the terms and conditions of the Creative Commons Attribution (CC BY) license (https://creativecommons.org/licenses/by/4.0/).
Share and Cite
Xi, L.; Zhang, H.; Liu, J.; Zhang, W.; Fan, Y. A Novel P + d Control Scheme for Time-Delayed Telerobotic Systems with Damping Adjustment. Processes 2025, 13, 611. https://doi.org/10.3390/pr13030611
Xi L, Zhang H, Liu J, Zhang W, Fan Y. A Novel P + d Control Scheme for Time-Delayed Telerobotic Systems with Damping Adjustment. Processes. 2025; 13(3):611. https://doi.org/10.3390/pr13030611
Chicago/Turabian StyleXi, Lei, Haochen Zhang, Jianrong Liu, Wenxu Zhang, and Yangming Fan. 2025. "A Novel P + d Control Scheme for Time-Delayed Telerobotic Systems with Damping Adjustment" Processes 13, no. 3: 611. https://doi.org/10.3390/pr13030611
APA StyleXi, L., Zhang, H., Liu, J., Zhang, W., & Fan, Y. (2025). A Novel P + d Control Scheme for Time-Delayed Telerobotic Systems with Damping Adjustment. Processes, 13(3), 611. https://doi.org/10.3390/pr13030611

