Study on Meso-Mechanical Evolution Characteristics and Numerical Simulation of Deep Soft Rock
Abstract
1. Introduction
2. Materials and Methods
2.1. Sample Preparation and Test Scheme
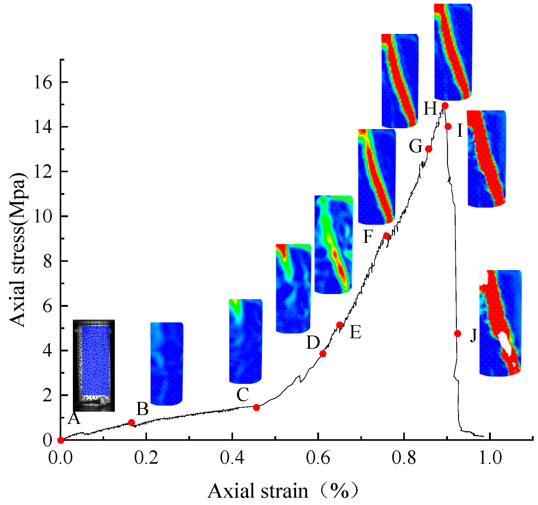
2.2. Evolution Characteristics of Surface Strain Field
2.3. Acoustic Emission Results and Analysis
3. Study on the Evolution of Rock Force Chain
3.1. Numerical Model Establishment and Parameter Calibration
- (1)
- Generating 15,000 particles within a 50 mm × 100 mm enclosed space formed by four walls, assigning particle properties including friction coefficient and density;
- (2)
- Bounce open particles to achieve uniform distribution within the enclosed space while eliminating particle overlap;
- (3)
- Applying inward velocities to the walls to compact particles and close interparticle voids;
- (4)
- Implementing a linear parallel bond model, selected based on extensive research demonstrating its effectiveness in rock numerical simulations;
- (5)
- Removing lateral walls after contact model implementation while retaining upper and lower walls as uniaxial compression loading plates. The numerical model configuration is shown in Figure 12.
3.2. Evolution Characteristics of Strong Force Chain
- (1)
- Composed of three or more particles;
- (2)
- All particles forming the strong force chain are high-stress particles. High-stress particles refer to those with an absolute value of maximum principal stress σ exceeding the average value of all particles, as indicated by the blue particles in Figure 14a. The criterion is expressed in Equation (4);
- (3)
- The minimum angle between the centerlines of adjacent particles in a single force chain must be less than a specified angle α, as shown by the red particles in Figure 14b. The specific angle varies across different models. Based on previous experience, 45, commonly used in rock models, is adopted here.

4. Evolution Law of Rock Acoustic Emission Based on Discrete Element Method
4.1. Introduction of Improved Acoustic Emission Simulation Method
4.2. Statistical Characteristics of Failure Types
5. Discussion
6. Conclusions
- (1)
- Prior to the formation of macroscopic visible fractures, localized high-strain zones emerge on the specimen surface. The crack tip position exerts a guiding effect on both the strain concentration area and the direction of continuous crack propagation. Under sustained stress loading, cracks propagate along the path predicted by high-strain zones. Eventually, these high-strain zones coalesce to form complete strain bands, indicating the penetration of macroscopic fractures through the specimen and the destruction of the original mechanical structure.
- (2)
- The evolution characteristics of strong force chains exhibit high consistency with the macroscopic stress response of specimens. As stress increases and damage progresses, strong force chains concentrate near macroscopic fracture surfaces, aligning with crack propagation directions. Numerous short force chains transform and combine into longer ones. Locally formed “strong force chain arches” through strong force chain transfer and reorganization gradually interconnect under loading, ultimately forming a complete “strong force chain belt” along the failure surface, signaling impending instability of the force chain system.
- (3)
- Based on acoustic emission evolution characteristics, the AE process can be divided into multiple stages: sporadic, gradual increase, stepwise growth, and surge. Shear failures predominantly occur near macroscopic failure surfaces, while tensile and tensile–shear failures dominate other regions. Both typical surrounding rock types in deep soft rock roadways exhibit pre-peak acoustic emission quiescence, which can serve as a precursor indicator for catastrophic failure in deep engineering rock masses, providing critical references for engineering early warning systems.
Author Contributions
Funding
Data Availability Statement
Conflicts of Interest
References
- Tang, K.J.; Liu, D.D.; Xie, S.; Qiu, J.; Lai, J.; Liu, T.; Fang, Y. Analysis of loess water migration regularity and failure response of tunnel structure under rainfall environment. Bull. Eng. Geol. Environ. 2024, 83, 251. [Google Scholar] [CrossRef]
- Qian, X.Y.; Qiu, J.L.; Lai, J.; Liu, Y. Guarantee Rate Statistics and Product-Moment Correlation Analysis of the Optimal Deformation Allowance for Loess Tunnel in China. Appl. Sci. 2025, 15, 2451. [Google Scholar] [CrossRef]
- Qiu, J.L.; Liu, D.D.; Zhao, K.; Lai, J.; Wang, X.; Wang, Z.; Liu, T. Influence spatial behavior of surface cracks and prospects for prevention methods in shallow loess tunnels in China. Tunn. Undergr. Space Technol. 2024, 143, 105453. [Google Scholar] [CrossRef]
- Ali, H.A.; Zainab, M.; Sakhiah, K.A. Deformation behaviour, crack initiation and crack damage of weathered composite sandstone-shale by using the ultrasonic wave and the acoustic emission under uniaxial compressive stress. Int. J. Rock Mech. Min. Sci. 2023, 170, 105497. [Google Scholar] [CrossRef]
- Eidivandi, E.; Nikkhah, M. Acoustic emission analysis of limestone damage evolution using combined parametric and frequency methods under uniaxial compression. Measurement 2025, 247, 116768. [Google Scholar] [CrossRef]
- Zhao, K.; Shi, Y.C.; Yan, Y.; Ma, C.; Liu, Y.; Nie, Q. Acoustic emission response precursor characterization of cemented tailings backfill at different loading rates. Constr. Build. Mater. 2025, 473, 141027. [Google Scholar] [CrossRef]
- Liu, L.W.; Li, H.B.; Zhang, G.; Fu, S.; Li, X. Investigation on Rate Dependency of Acoustic Emission Behaviours of Sandstone Under Quasi-dynamic Uniaxial Compression. Rock Mech. Rock Eng. 2025, 1–14. [Google Scholar] [CrossRef]
- Wang, Y.W.; Zhao, Z.Q.; Hui, Z.; Hao, J.; Zhang, J. Mechanical responses of bedding coals under uniaxial compression: Insights from deformation, energy and acoustic emission characteristics. Case Stud. Constr. Mater. 2025, 22, e04404. [Google Scholar] [CrossRef]
- Shan, T.C.; Li, Z.H.; Zhang, X.; Wang, X.; Jia, H.; Wang, E.; Zhang, Q.; Niu, Y.; Wang, D. Superstatistical approach of electric potential and acoustic emission for investigating damage evolution and precursor of water-bearing sandstone under uniaxial compression. Int. J. Rock Mech. Min. Sci. 2025, 189, 106063. [Google Scholar] [CrossRef]
- Li, S.N.; Zhang, J.H.; Jin, C.; Yang, H.; Shao, Y.; Peng, J.; Chen, K.; Yu, L.; Ren, Z.; Chen, W. Quantitative calculation of the damage of carbonaceous mudstone during uniaxial compressive failure process under dry–wet cycling. Bull. Eng. Geol. Environ. 2025, 84, 190. [Google Scholar] [CrossRef]
- Liu, C.Y.; Zhao, G.M.; Chen, P.; Meng, X.; Xu, W. Experimental Study of Rock Failure and Fractal Characteristics Under True Triaxial Unloading. Fractal Fract. 2025, 9, 182. [Google Scholar] [CrossRef]
- Cyrille, C.; Pierre, B. A true triaxial experimental study on porous Vosges sandstone: From strain localization precursors to failure using full-field measurements. Int. J. Rock Mech. Min. Sci. 2022, 153, 105136. [Google Scholar] [CrossRef]
- Gautam, P.; Dwivedi, R.; Garg, P.; Majumder, D.; Agarwal, S.; McSaveney, M.; Singh, T. Evolution of the damage precursor based on the felicity effect in shale. Int. J. Damage Mech. 2025, 34, 116–139. [Google Scholar] [CrossRef]
- Zhang, C.R.; Ji, H.G.; Fu, Z.; Zhang, Y. Analysis of fracture characteristics and energy evolution of tectonic coal after loading based on acoustic emission. Measurement 2025, 252, 117388. [Google Scholar] [CrossRef]
- Zhang, G.N.; Yu, Y.J.; Zhang, W. Experimental investigation of the acoustic emission and energy evolution of bedded coal under uniaxial compression. Sci. Rep. 2025, 15, 12578. [Google Scholar] [CrossRef] [PubMed]
- Barkat, U.; Zhou, Z.L.; Cai, X.; Lu, J.; Tang, S.; Wang, Z. Effect of freezing and thawing process on fracturing mechanism and acoustic emission characteristics of notched semi-circular bend specimens of red sandstone. Theor. Appl. Fract. Mech. 2024, 129, 104238. [Google Scholar] [CrossRef]
- Mahesh, P.; Chinthapenta, V.; Raju, G.; Ramji, M. Experimental investigation on open-hole CFRP laminate under combined loading using acoustic emission and digital image correlation. Theor. Appl. Fract. Mech. 2024, 130, 104300. [Google Scholar] [CrossRef]
- Li, J.K.; Liu, Z.; Liu, Y.; Zhang, Z.; Xu, C. Effects of axial load on torsional fatigue of 3D braided carbon fiber composites: Mechanisms and life prediction. Compos. Part B 2025, 305, 112732. [Google Scholar] [CrossRef]
- Luo, H.A.; Li, J.B.; Tian, W.; Wang, Y.; Ye, J.; Chen, X.; Zheng, K.; Pan, F. Insights on enhanced mechanical properties of TC4/VK20 magnesium matrix composites sheet via low-temperature asymmetric extrusion. Mater. Sci. Eng. A 2025, 942, 148646. [Google Scholar] [CrossRef]
- Gong, J.; He, M.K.; Zhang, J.; Liang, W.; Wang, S. Dynamic impact mechanical properties of red sandstone based on digital image correlation method. Int. J. Mining Reclam. Environ. 2024, 38, 1–16. [Google Scholar] [CrossRef]
- Wei, L.L.; Zheng, Y.; Tian, J.; Wu, X.; Shen, H.; Zhu, J. Investigation into the fracture mechanical performance of strain hardening cementitious composites hybridized with polyethylene and carbon fiber using digital image correlation (DIC) technique. Structures 2025, 78, 109339. [Google Scholar] [CrossRef]
- Koohbor, B.; Hazaveh, Z.; Doitrand, A.; Girard, H. Fiber–matrix interface debonding and transverse cracking in macro fiber composites. Eng. Fract. Mech. 2025, 325, 111345. [Google Scholar] [CrossRef]
- Subramani, A.; Maimí, P.; Cugnoni, J.; Amacher, R.; Costa, J. Notch nonlinearities in pseudo-ductile composite laminates: A novel LE/HE sublaminate design. Compos. Sci. Technol. 2025, 270, 111250. [Google Scholar] [CrossRef]
- Mehran, N.; Gholamreza, K.; Vahab, S.; Behrouz, R.; Reza, H.N.; Wulf, S. Experimental test and numerical simulation of the effect of brittleness on the microfracturing of sandstone. Bull. Eng. Geol. Environ. 2022, 81, 309. [Google Scholar] [CrossRef]
- Xu, R.C.; Zhao, Y.; Dou, B.; Hou, R.; Li, Z.; Dong, J. Experimental investigation of the effect of strain rate on the cracking behaviour and acoustic emission characteristics of red sandstone containing orthogonal cross flaws under quasistatic uniaxial compression. Eng. Fail. Anal. 2025, 170, 109323. [Google Scholar] [CrossRef]
- Song, Y.Z.; Zhao, Y.; Dang, G.W.; Zhang, M. Mechanical Responses of Sandstone Exposed to Triaxial Differential Cyclic Loading with Distinct Unloading Rates of Confining Stress: A Particle-Based Numerical Investigation. Rock Mech. Rock Eng. 2025, 58, 1–26. [Google Scholar] [CrossRef]
- Zhou, J.; Zhang, L.; Peng, X.; Liu, H.; Jiang, R.; Zhang, L.; Wang, S. Numerical study of voids geometry effects on sandstone’s mesoscopic fracture Mechanism: Insights from acoustic emission and moment tensor inversion. Theor. Appl. Fract. Mech. 2024, 133, 104588. [Google Scholar] [CrossRef]
- Jing, W.; Cao, Z.H.; Jing, L.; Jin, R.; Rong, C. Crack Initiation and Propagation Mechanism of Flawed Rock Mass Based on Improved Maximum Distortion Energy Theory and PFC Numerical Simulation. J. Fail. Anal. Prev. 2024, 24, 1799–1813. [Google Scholar] [CrossRef]
- Nitka, M.; Rucka, M. 3D DEM modelling of acoustic emission in concrete: Insights into elastic waves initiated by microcracks. Ultrasonics 2025, 150, 107599. [Google Scholar] [CrossRef] [PubMed]
- Zhou, L.; Sarfarazi, V.; Haeri, H.; Shahbazian, A.; Far, A.; Marji, M. Rock joint filling breakage under three different instant loading conditions; physical test and PFC simulation. Comput. Part. Mech. 2024, 12, 1–22. [Google Scholar] [CrossRef]
- Lotidis, M.A.; Nomikos, P.P.; Sofianos, A. Experimental and Numerical Investigation of the Fracturing Process of Marble Plates with a Pair of Twin Cylindrical Holes Subjected to Uniaxial Compression. Geotech. Geol. Eng. 2024, 42, 4173–4190. [Google Scholar] [CrossRef]
- Liu, X.W.; Meng, Y.Y.; Jing, H.; Liu, W.; Wan, C.; Cao, Y.; Yin, Q. Effects of bedding plane properties on mechanical, acoustic emission and micro failure characteristics of bedded rock mass. Bull. Eng. Geol. Environ. 2024, 83, 191. [Google Scholar] [CrossRef]
- Li, X.C.; Li, Y.; Yang, C.; Zhang, L.; Li, Z.; Huang, T. Acoustic emission response characteristics and numerical simulation of soil failure under uniaxial compression. J. Appl. Geophys. 2024, 222, 105310. [Google Scholar] [CrossRef]
- Li, X.; Wang, X.Q.; Wang, K.; Diao, H.; Zhang, H. Damage Evolution of Rocks Containing a Set of Cross-Joints Based on Acoustic Emission Characteristics. Adv. Mater. Sci. Eng. 2022, 2022, 4120287. [Google Scholar] [CrossRef]
- Cheng, G.Q.; Sun, X.H.; Li, J. Study on the Precursors of Coal-Rock Fracture Based on the Maximum Lyapunov Exponent of Acoustic Emission Parameters. Geofluids 2022, 2022, 3280185. [Google Scholar] [CrossRef]
- Zhang, H.D.; Zhou, L.; Nie, F.; Qi, J.; Hua, J.; Liu, B. Experimental and numerical research on crack extension behavior of multi-cracked rock based on discrete element method. Theor. Appl. Fract. Mech. 2025, 138, 104944. [Google Scholar] [CrossRef]
- Yang, Y.S.; Peng, J.C.; Cui, Z.; Yan, L.; Kang, Z. Mechanical Properties of Marble Under Triaxial and Cyclic Loading Based on Discrete Elements. Appl. Sci. 2025, 15, 3576. [Google Scholar] [CrossRef]
- Zhang, J.W.; Zhang, Y.; Wang, S.; Xing, C.; Dong, X.; Wu, S.; Song, Z.; Zhou, Y. Study of the mechanical response and numerical simulation of uniaxial compression of coal based on size effect. Int. J. Press. Vessel. Piping 2025, 215, 105463. [Google Scholar] [CrossRef]
- Ma, Y. Discrete modeling of acoustic emission and fracture process zone in quasi-brittle rocks. Comput. Part. Mech. 2025, prepublish, 1–15. [Google Scholar] [CrossRef]
- GB/T23561.7-2009; Method for Determination of physical and mechanical properties of coal and rock. China Standards Press: Beijing, China, 2009.
- He, M.C. The future of rock mechanics lies with China: Inaugural editorial for Rock Mechanics Bulletin. Rock Mech. Bull. 2022, 1, 100010. [Google Scholar] [CrossRef]
- Macqueen, J. Some methods for classification and analysis of multivariate observations. In Proceedings of the Fifth Berkeley Symposium on Mathematical Statistics and Probability, Berkeley, CA, USA, 21 June–18 July 1965 and 27 December 1965–7 January 1966. [Google Scholar]
- Jain, A.K.; Dubes, R.C. Algorithms for Clustering Data; Prentice Hall: Saddle River, NJ, USA, 1988. [Google Scholar] [CrossRef]
- Gutenberg, B.; Richter, C.F. Frequency of earthquakes in California. Bull. Seismol. Soc. Am. 1944, 34, 185–188. [Google Scholar] [CrossRef]
- Rothenburg, L.; Bathurst, R. Analytical study of induced anisotropy in idealized granular materials. Geotechnique 1989, 39, 601–614. [Google Scholar] [CrossRef]
- Feignier, B.; Young, R.P. Moment tensor inversion of induced microseisnmic events: Evidence of non-shear failures in the −4 < M < −2 moment magnitude range. Geophys. Res. Lett. 1992, 19, 1503–1506. [Google Scholar] [CrossRef]




















| Proportion of Stretching Events/% | Proportion of Shear Events/% | b-Value | |
|---|---|---|---|
| SN-1 | 26.4 | 73.6 | 0.041 |
| SN-2 | 59.6 | 40.4 | 0.046 |
| SN-3 | 43.7 | 56.3 | 0.045 |
| S-1 | 84.7 | 15.3 | 0.062 |
| S-2 | 86.3 | 13.7 | 0.065 |
| S-3 | 89.9 | 10.1 | 0.044 |
| Mesoscopic Parameters | Numerical Value |
|---|---|
| Least radius/mm | 0.24 |
| Particle size ratio | 1.66 |
| Volume density/(kg·m−3) | 2600 |
| Particle modulus/GPa | 1.6 |
| Stiffness ratio of particle | 1.1 |
| Friction factor | 0.4 |
| Tensile strength between bonding/MPa | 21 |
| Shear strength between bond/MPa | 28 |
| Parallel bond modulus/GPa | 2.5 |
| Parallel bond stiffness ratio | 3.4 |
| Mesoscopic Parameters | 1 | 2 | 3 | 4 | 5 |
|---|---|---|---|---|---|
| Least Radius/mm | 0.16 | 0.2 | 0.24 | 0.28 | 0.32 |
| Peak Strain (%) | 0.88 | 0.93 | 0.94 | 0.89 | 0.95 |
| Peak Stress/Mpa | 14.8 | 15.1 | 15 | 15.4 | 15.3 |
Disclaimer/Publisher’s Note: The statements, opinions and data contained in all publications are solely those of the individual author(s) and contributor(s) and not of MDPI and/or the editor(s). MDPI and/or the editor(s) disclaim responsibility for any injury to people or property resulting from any ideas, methods, instructions or products referred to in the content. |
© 2025 by the authors. Licensee MDPI, Basel, Switzerland. This article is an open access article distributed under the terms and conditions of the Creative Commons Attribution (CC BY) license (https://creativecommons.org/licenses/by/4.0/).
Share and Cite
Yuan, A.; Huang, H.; Li, T. Study on Meso-Mechanical Evolution Characteristics and Numerical Simulation of Deep Soft Rock. Processes 2025, 13, 2358. https://doi.org/10.3390/pr13082358
Yuan A, Huang H, Li T. Study on Meso-Mechanical Evolution Characteristics and Numerical Simulation of Deep Soft Rock. Processes. 2025; 13(8):2358. https://doi.org/10.3390/pr13082358
Chicago/Turabian StyleYuan, Anying, Hao Huang, and Tang Li. 2025. "Study on Meso-Mechanical Evolution Characteristics and Numerical Simulation of Deep Soft Rock" Processes 13, no. 8: 2358. https://doi.org/10.3390/pr13082358
APA StyleYuan, A., Huang, H., & Li, T. (2025). Study on Meso-Mechanical Evolution Characteristics and Numerical Simulation of Deep Soft Rock. Processes, 13(8), 2358. https://doi.org/10.3390/pr13082358
