Rapid Processing of Abandoned Oil Palm Trunks into Sugars and Organic Acids by Sub-Critical Water
Abstract
1. Introduction
2. Materials and Methods
2.1. Sample Preparation and Pre-Treatment
2.2. Sub-CW treatment of OPT
2.3. Sub-CW Treatment of OPT
3. Results and Discussion
3.1. Moisture Content and Chemical Composition of OPTs
3.2. Sub-CW Treatment of OPT
3.3. Effect of Reaction Temperature on Yield of TOC
3.4. Effect of Reaction Temperature on Yield of Total Sugar
3.5. Effect of Reaction Temperature on Yield of Solid Residue
3.6. Effect of Sub-CW Temperature on Yield of Free Sugar Components
3.7. Effect of Sub-CW Temperature on Yield of Organic Acids
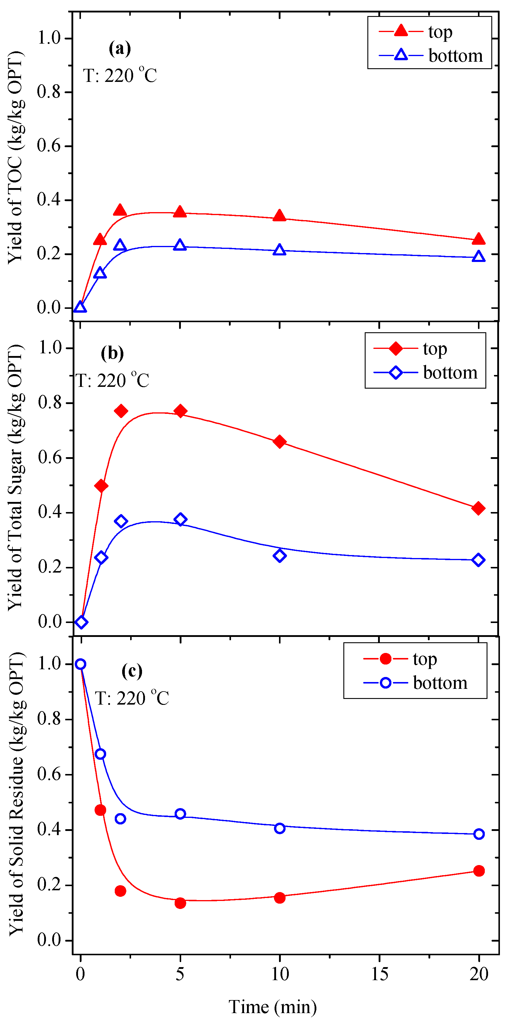
3.8. Effect of Sub-CW Reaction Time of OPT21
4. Conclusions
- OPT21 was more suitable than OPT35 for producing water-soluble products by sub-CW treatment because it produced a higher yield of sugar. The sugars yield can be utilized for second-generation bioethanol production. Furthermore, OPT21 is close to the economic lifespan of an oil palm tree and can be harvested as soon as the oil production of the tree has finished.
- The sub-CW promoted hydrolysis and converted the waste OPT into water-soluble saccharides (cellotriose, cellobiose, glucose, xylose, and fructose) and organic acids (acetic acid, lactic acid, and malic acid). As a result, the OPT solid residual waste was substantially reduced.
- The optimum reaction temperature and time for a maximum yield of total sugar were 240 °C (5 min) for the OPT21-btm and 220 °C (5 min) for the OPT21-top. Overall, the top section had a higher yield of sugar compared to the bottom section.
- From the present study, the sub-CW treatment process showed promising results and an environment-friendly solution to utilize abandoned OPT waste.
Author Contributions
Funding
Conflicts of Interest
References
- Sulaiman, F.; Abdullah, N.; Gerhauser, H.; Shariff, A. An Outlook of Malaysian Energy, Oil Palm Industry and Its Utilization of Wastes as Useful Resources. Biomass Bioenergy 2011, 35, 3775–3786. [Google Scholar] [CrossRef]
- Khalil, H.A.; Jawaid, M.; Hassan, A.; Paridah, M.T.; Zaidon, A. Oil Palm Biomass Fibres and Recent Advancement in Oil Palm Biomass Fibres Based Hybrid Biocomposites. Compos. Their Appl. 2012, 187–220. [Google Scholar] [CrossRef]
- Goh, C.S.; Lee, K.T.; Bhatia, S. Hot Compressed Water Pretreatment of Oil Palm Fronds to Enhance Glucose Recovery for Production of Second Generation Bio-Ethanol. Bioresour. Technol. 2010, 101, 7362–7367. [Google Scholar] [CrossRef] [PubMed]
- Aghamohammadi, N.; Reginald, S.S.; Shamiri, A.; Zinatizadeh, A.A.; Wong, L.P.; Meriam, N.; Nik, B. An Investigation of Sustainable Power Generation from Oil Palm Biomass: A Case Study in Sarawak. Sustainability 2016, 8, 416. [Google Scholar] [CrossRef]
- Awalludin, M.F.; Sulaiman, O.; Hashim, R.; Aidawati, W.N. An Overview of the Oil Palm Industry in Malaysia and Its Waste Utilization through Thermochemical Conversion, Specifically via Liquefaction. Renew. Sustain. Energy Rev. 2015, 50, 1469–1484. [Google Scholar] [CrossRef]
- Chin, K.L.; H’ng, P.S.; Wong, L.J.; Tey, B.T.; Paridah, M.T. Production of Glucose from Oil Palm Trunk and Sawdust of Rubberwood and Mixed Hardwood. Appl. Energy 2011, 88, 4222–4228. [Google Scholar] [CrossRef]
- Abdullah, N.; Sulaiman, F. The Oil Palm Wastes in Malaysia. In Biomass Now—Sustainable Growth and Use; IntechOpen: London, UK, 2013; pp. 75–100. [Google Scholar]
- Yamada, H.; Tanaka, R.; Sulaiman, O.; Hashim, R.; Hamid, Z.A.A.; Yahya, M.K.A.; Kosugi, A.; Arai, T.; Murata, Y.; Nirasawa, S.; et al. Old Oil Palm Trunk: A Promising Source of Sugars for Bioethanol Production. Biomass Bioenergy 2010, 34, 1608–1613. [Google Scholar] [CrossRef]
- Lam, M.K.; Tan, K.T.; Lee, K.T.; Mohamed, A.R. Malaysian Palm Oil: Surviving the Food versus Fuel Dispute for a Sustainable Future. Renew. Sustain. Energy Rev. 2009, 13, 1456–1464. [Google Scholar] [CrossRef]
- Lamaming, J.; Hashim, R.; Sulaiman, O.; Sugimoto, T.; Sato, M.; Hiziroglu, S. Measurement of Some Properties of Binderless Particleboards Made from Young and Old Oil Palm Trunks. Meas. J. Int. Meas. Confed. 2014, 47, 813–819. [Google Scholar] [CrossRef]
- Jorge, F.C. Floating Concrete ! Light-Weight Concrete from Granulated Cork Waste. In Proceedings of the ICECFOP1—1st International Conference on Environmentally—Compatible Forest Products, Oporto, Portugal, 22–24 September 2004. [Google Scholar]
- Yuliansyah, A.; Hirajima, T. Efficacy of Hydrothermal Treatment for Production of Solid Fuel from Oil Palm Wastes. In Resource Management for Sustainable Agriculture; BoD–Books on Demand: Norderstedt, Germany, 2012; p. 296. [Google Scholar]
- Lim, K.O.; Ahmaddin, F.H.; Vizhi, S.M. A Note on the Conversion of Oil-Palm Trunks to Glucose via Acid Hydrolysis. Bioresour. Technol. 1997, 59, 33–35. [Google Scholar] [CrossRef]
- Sulaiman, O.; Salim, N.; Nordin, N.A.; Hashim, R.; Ibrahim, M.; Sato, M. The potential of oil palm trunk biomass as an alternative source for compressed wood othman sulaiman. Bioresources 2012, 7, 2688–2706. [Google Scholar] [CrossRef]
- Abdul Khalil, H.P.S.; Siti Alwani, M.; Ridzuan, R.; Kamarudin, H.; Khairul, A. Chemical Composition, Morphological Characteristics, and Cell Wall Structure of Malaysian Oil Palm Fibers. Polym. Plast. Technol. Eng. 2008, 47, 273–280. [Google Scholar] [CrossRef]
- Kosugi, A.; Tanaka, R.; Magara, K.; Murata, Y.; Arai, T.; Sulaiman, O.; Hashim, R.; Hamid, Z.A.A.; Yahya, M.K.A.; Yusof, M.N.M.; et al. Ethanol and Lactic Acid Production Using Sap Squeezed from Old Oil Palm Trunks Felled for Replanting. J. Biosci. Bioeng. 2010, 110, 322–325. [Google Scholar] [CrossRef] [PubMed]
- Rafein, M.; Nor, M.; Norrrahim, F.; Hirata, S.; Ali, M. Hydrothermal and Wet Disk Milling Pretreatment for High Conversion of Biosugars from Oil Palm Mesocarp Fiber. Bioresour. Technol. 2015, 181, 263–269. [Google Scholar] [CrossRef]
- Pińkowska, H.; Wolak, P.; Złocińska, A. Hydrothermal Decomposition of Xylan as a Model Substance for Plant Biomass Waste—Hydrothermolysis in Subcritical Water. Biomass Bioenergy 2011, 35, 3902–3912. [Google Scholar] [CrossRef]
- Gao, Y.; Wang, H.; Guo, J.; Peng, P.; Zhai, M.; She, D. Hydrothermal Degradation of Hemicelluloses from Triploid Poplar in Hot Compressed Water at 180–340 °C. Polym. Degrad. Stab. 2016, 126, 179–187. [Google Scholar] [CrossRef]
- Brunner, G. Near Critical and Supercritical Water. Part I. Hydrolytic and Hydrothermal Processes. J. Supercrit. Fluids 2009, 47, 373–381. [Google Scholar] [CrossRef]
- Rafein, M.; Hirata, S.; Ali, M. Hydrothermal Pretreatment Enhanced Enzymatic Hydrolysis and Glucose Production from Oil Palm Biomass. Bioresour. Technol. 2015, 176, 142–148. [Google Scholar] [CrossRef]
- Yoshida, M.; Liu, Y.; Uchida, S.; Kawarada, K.; Ukagami, Y.; Ichinose, H.; Kaneko, S.; Fukuda, K. Effects of Cellulose Crystallinity, Hemicellulose, and Lignin on the Enzymatic Hydrolysis of Miscanthus Sinensis to Monosaccharides. Biosci. Biotechnol. Biochem. 2008, 72, 805–810. [Google Scholar] [CrossRef]
- Öhgren, K.; Bura, R.; Saddler, J.; Zacchi, G. Effect of Hemicellulose and Lignin Removal on Enzymatic Hydrolysis of Steam Pretreated Corn Stover. Bioresour. Technol. 2007, 98, 2503–2510. [Google Scholar] [CrossRef]
- Mussatto, S.I.; Fernandes, M.; Milagres, A.M.F.; Roberto, I.C. Effect of Hemicellulose and Lignin on Enzymatic Hydrolysis of Cellulose from Brewer’s Spent Grain. Enzyme Microb. Technol. 2008, 43, 124–129. [Google Scholar] [CrossRef]
- Pumiput, P.; Chuntranuluck, S. Production Process of Hydrolysate from Steam Explosion of Oil Palm Trunk for Xylitol Fermentation. Kasetsart J. 2008, 42, 73–78. [Google Scholar]
- Teng, C.; Yan, Q.; Jiang, Z.; Fan, G.; Shi, B. Production of Xylooligosaccharides from the Steam Explosion Liquor of Corncobs Coupled with Enzymatic Hydrolysis Using a Thermostable Xylanase. Bioresour. Technol. 2010, 101, 7679–7682. [Google Scholar] [CrossRef] [PubMed]
- Yoon, S.Y.; Han, S.H.; Shin, S.J. The Effect of Hemicelluloses and Lignin on Acid Hydrolysis of Cellulose. Energy 2014, 77, 19–24. [Google Scholar] [CrossRef]
- Pessoa, J.R.A.; Mancilha, I.M.; Sato, S. Acid Hydrolysis of Hemicellulose from Sugarcane Bagasse. Braz. J. Chem. Eng. 1997, 14, 1–8. [Google Scholar] [CrossRef]
- Zavrel, M.; Bross, D.; Funke, M.; Büchs, J.; Spiess, A.C. High-Throughput Screening for Ionic Liquids Dissolving (Ligno-) Cellulose. Bioresour. Technol. 2009, 100, 2580–2587. [Google Scholar] [CrossRef] [PubMed]
- Mäki-arvela, P.; Anugwom, I.; Virtanen, P.; Sjöholm, R.; Mikkola, J.P. Dissolution of Lignocellulosic Materials and Its Constituents Using Ionic Liquids—A Review. Ind. Crop. Prod. 2010, 32, 175–201. [Google Scholar] [CrossRef]
- Tan, H.T.; Lee, K.T. Understanding the Impact of Ionic Liquid Pretreatment on Biomass and Enzymatic Hydrolysis. Chem. Eng. J. 2012, 183, 448–458. [Google Scholar] [CrossRef]
- Thanh, H.; Tanda, V.; Jae, J.; Sik, H.; Lee, H. Hydrolysis of Ionic Cellulose to Glucose. Bioresour. Technol. 2014, 167, 484–489. [Google Scholar]
- Lai, L.W.; Idris, A. Disruption of Oil Palm Trunks and Fronds by Microwave-Alkali Pretreatment. Bioresources 2013, 8, 2792–2804. [Google Scholar] [CrossRef]
- Li, C.; Knierim, B.; Manisseri, C.; Arora, R.; Scheller, H.V.; Auer, M.; Vogel, K.P.; Simmons, B.A.; Singh, S. Comparison of Dilute Acid and Ionic Liquid Pretreatment of Switchgrass: Biomass Recalcitrance, Delignification and Enzymatic Saccharification. Bioresour. Technol. 2010, 101, 4900–4906. [Google Scholar] [CrossRef] [PubMed]
- Lachos-Perez, D.; Brown, A.B.; Mudhoo, A.; Timko, M.T.; Rostagno, M.A.; Forster-Carneiro, T. Applications of Subcritical and Supercritical Water Conditions for Extraction, Hydrolysis, Gasification, and Carbonization of Biomass: A Critical Review. Biofuel Res. J. 2017, 4, 611–626. [Google Scholar] [CrossRef]
- Mazaheri, H.; Lee, K.T.; Bhatia, S.; Mohamed, A.R. Sub/Supercritical Liquefaction of Oil Palm Fruit Press Fiber for the Production of Bio-Oil: Effect of Solvents. Bioresour. Technol. 2010, 101, 7641–7647. [Google Scholar] [CrossRef] [PubMed]
- Qian, Y.; Zuo, C.; Tan, J.; He, J. Structural Analysis of Bio-Oils from Sub-and Supercritical Water Liquefaction of Woody Biomass. Energy 2007, 32, 196–202. [Google Scholar] [CrossRef]
- Yoshida, H.; Asghari, F.S. Kinetics of the Decomposition of Fructose Catalyzed by Hydrochloric Acid in Subcritical Water: Formation of 5-Hydroxymethylfurfural, Levulinic, and Formic Acids. Ind. Eng. Chem. Res. 2007, 46, 7703–7710. [Google Scholar] [CrossRef]
- Yoshida, H.; Matsuzaki, T. Conversion of Chicken Wastes to Valuable Materials, Oils, and Calcium Phosphate Using Sub-critical Water. In Proceedings of the 7th International Conference on Sustainable Agriculture for Food, Energy and Industry in Regional and Global Context (ICSAFEI2015), Kuala Lumpur, Malaysia, 25‒26 August 2015. ICSAFEI-158. [Google Scholar]
- Pourali, O. Production of Valuable Materials from Rice Bran Biomass Using Subcritical Water. Ph.D. Thesis, Osaka Prefecture University, Osaka, Japan, 2009; pp. 5–124. [Google Scholar]
- Mazaheri, H.; Lee, K.T.; Bhatia, S.; Mohamed, A.R. Subcritical Water Liquefaction of Oil Palm Fruit Press Fiber in the Presence of Sodium Hydroxide: An Optimisation Study Using Response Surface Methodology. Bioresour. Technol. 2010, 101, 9335–9341. [Google Scholar] [CrossRef]
- Carrier, M.; Loppinet-Serani, A.; Absalon, C.; Aymonier, C.; Mench, M. Degradation Pathways of Holocellulose, Lignin and α-Cellulose from Pteris Vittata Fronds in Sub- and Super Critical Conditions. Biomass Bioenergy 2012, 43, 65–71. [Google Scholar] [CrossRef]
- Prado, J.M.; Follegatti-Romero, L.A.; Forster-Carneiro, T.; Rostagno, M.A.; Maugeri Filho, F.; Meireles, M.A.A. Hydrolysis of Sugarcane Bagasse in Subcritical Water. J. Supercrit. Fluids 2014, 86, 15–22. [Google Scholar] [CrossRef]
- Prado, J.M.; Forster-Carneiro, T.; Rostagno, M.A.; Follegatti-Romero, L.A.; Maugeri Filho, F.; Meireles, M.A.A. Obtaining Sugars from Coconut Husk, Defatted Grape Seed, and Pressed Palm Fiber by Hydrolysis with Subcritical Water. J. Supercrit. Fluids 2014, 89, 89–98. [Google Scholar] [CrossRef]
- Oomori, T.; Khajavi, S.H.; Kimura, Y.; Adachi, S.; Matsuno, R. Hydrolysis of Disaccharides Containing Glucose Residue in Subcritical Water. Biochem. Eng. J. 2004, 18, 143–147. [Google Scholar] [CrossRef]
- Lin, R.; Cheng, J.; Ding, L.; Song, W.; Qi, F.; Zhou, J.; Cen, K. Subcritical Water Hydrolysis of Rice Straw for Reducing Sugar Production with Focus on Degradation By-Products and Kinetic Analysis. Bioresour. Technol. 2015, 186, 8–14. [Google Scholar] [CrossRef] [PubMed]
- Salak, F.; Yoshida, H. Conversion of Japanese Red Pine Wood (Pinus Densiflora) into Valuable Chemicals under Subcritical Water Conditions. Carbohydr. Res. 2010, 345, 124–131. [Google Scholar] [CrossRef]
- Sasaki, M.; Kabyemela, B.; Malaluan, R.; Hirose, S.; Takeda, N.; Adschiri, T.; Arai, K. Cellulose Hydrolysis in Subcritical and Supercritical Water. J. Supercrit. Fluids 1998, 13, 261–268. [Google Scholar] [CrossRef]
- Mustapa, A.N.; Manan, Z.A.; Mohd Azizi, C.Y.; Setianto, W.B.; Mohd Omar, A.K. Extraction of β-Carotenes from Palm Oil Mesocarp Using Sub-Critical R134a. Food Chem. 2011, 125, 262–267. [Google Scholar] [CrossRef]
- Hanim, S.S.; Norsyabilah, R.; Suhaila, M.H.N.; Noraishah, A.; Kartina, A.K.S. Effects of Temperature, Time and Pressure on the Hemicelluloses Yield Extracted Using Subcritical Water Extraction. Procedia Eng. 2012, 42, 562–565. [Google Scholar] [CrossRef]
- Yoshida, H.; Terashima, M.; Takahashi, Y. Production of Organic Acids and Amino Acids from Fish Meat by Sub-Critical Water Hydrolysis. Biotechnol. Prog. 1999, 15, 1090–1094. [Google Scholar] [CrossRef] [PubMed]
- Mhd Ramle, S.F.; Sulaiman, O.; Hashim, R.; Arai, T.; Kosugi, A.; Abe, H.; Murata, Y.; Mori, Y. Characterization of Parenchyma and Vascular Bundle of Oil Palm Trunk as Function of Storage. Lignocellulose 2012, 1, 33–44. [Google Scholar]
- Lim, S.C.; Gan, K.S. Characteristics and Utilisation of Oil Palm Stem. Timber Technol. Bull. 2005, 35, 81–96. [Google Scholar]
- Dungani, R.; Jawaid, M.; Khalil, H.P.S.A.; Aprilia, S. A Review on Quality Enhancement of Oil Palm Trunk Waste by Resin Impregnation: Future Materials. Bioresources 2013, 8, 3136–3156. [Google Scholar] [CrossRef]
- Pourali, O.; Salak, F.; Yoshida, H. Sub-Critical Water Treatment of Rice Bran to Produce Valuable Materials. Food Chem. 2009, 115, 1–7. [Google Scholar] [CrossRef]
- Atnaw, S.M.; Sulaiman, S.A.; Yusup, S. Downdraft Gasification of Oil Palm Fronds. Trends Appl. Sci. Res. 2011, 6, 1006–1018. [Google Scholar]
- Kong, S.H.; Loh, S.K.; Bachmann, R.T.; Rahim, S.A.; Salimon, J. Biochar from Oil Palm Biomass: A Review of Its Potential and Challenges. Renew. Sustain. Energy Rev. 2014, 39, 729–739. [Google Scholar] [CrossRef]
- Zhao, H.; Jones, C.L.; Baker, G.A.; Xia, S.; Olubajo, O.; Person, V.N.; Division, C.S.; Ridge, O.; Ridge, O. Regenerating Cellulose from Ionic Liquids for an Accelerated Enzymatic Hydrolysis. J. Biotechnol. 2009, 139, 47–54. [Google Scholar] [CrossRef] [PubMed]
- Tavakoli, O.; Yoshida, H. Conversion of Scallop Viscera Wastes to Valuable Compounds Using Sub-Critical Water. Green Chem. 2006, 8, 100–106. [Google Scholar] [CrossRef]
- Abe, H.; Murata, Y.; Kubo, S.; Watanabe, K.; Tanaka, R.; Sulaiman, O.; Hashim, R.; Fatimah, S.; Ramle, M.; Zhang, C.; et al. Estimation of the Ratio of Vascular Bundles to Parenchyma Tissue in Oil Palm Trunks Using NIR Spectroscopy. Bioresources 2013, 8, 1573–1581. [Google Scholar] [CrossRef]
- Murai, K.; Kondo, R. Extractable Sugar Contents of Trunks from Fruiting and Nonfruiting Oil Palms of Different Ages. J. Wood Sci. 2011, 57, 140–148. [Google Scholar] [CrossRef]
- Azrin, N.; Kurnin, A.; Halim, M.; Ismail, S.; Yoshida, H.; Izhar, S. Recovery of Palm Oil and Valuable Material from Oil Palm Empty Fruit Bunch by Sub- Critical Water Recovery of Palm Oil and Valuable Material from Oil Palm Empty Fruit Bunch by Sub-Critical Water. J. Oleo Sci. 2016, 65, 283–289. [Google Scholar] [CrossRef][Green Version]
- Yoshida, H.; Izhar, S.; Nishio, E.; Utsumi, Y.; Kakimori, N.; Asghari, F.S. Application of Sub-Critical Water for Recovery of Tin and Glass Substrates from LCD Panel E-Waste. Detritus 2018, 4, 98–103. [Google Scholar] [CrossRef]
- Zhu, G.; Zhu, X.; Fan, Q.; Wan, X. Pyrolysis Production of Reducing Sugars from Bean Dregs Waste by Hydrolysis in Subcritical Water. J. Anal. Appl. Pyrolysis 2011, 90, 183–187. [Google Scholar] [CrossRef]
- Zhao, Y.; Lu, W.; Wang, H. Supercritical Hydrolysis of Cellulose for Oligosaccharide Production in Combined Technology. Chem. Eng. J. 2009, 150, 411–417. [Google Scholar] [CrossRef]
- Wyman, C.; Decker, S.; Himmel, M.; Brady, J.; Skopec, C.; Viikari, L. Hydrolysis of Cellulose and Hemicellulose. Polysaccharides 2004. [Google Scholar] [CrossRef]
- Cardenas-Toro, F.P.; Alcazar-Alay, S.C.; Forster-Carneiro, T.; Meireles, M.A.A. Obtaining Oligo–and Monosaccharides from Agroindustrial and Agricultural Residues Using Hydrothermal Treatments. Food Public Heal. 2014, 4, 123–139. [Google Scholar] [CrossRef]
- Lachos-Perez, D.; Martinez-Jimenez, F.; Rezende, C.A.; Tompsett, G.; Timko, M.; Forster-Carneiro, T. Subcritical Water Hydrolysis of Sugarcane Bagasse: An Approach on Solid Residues Characterization; Elsevier: Amsterdam, The Netherlands, 2016; Volume 108. [Google Scholar] [CrossRef]
- Öztürk Ilker, I.; Irmak, S.; Hesenov, A.; Erbatur, O. Hydrolysis of Kenaf (Hibiscus cannabinus L.) Stems by Catalytical Thermal Treatment in Subcritical Water. Biomass Bioenergy 2010, 34, 1578–1585. [Google Scholar] [CrossRef]
- Huber, G.W.; Iborra, S.; Corma, A. Synthesis of Transportation Fuels from Biomass: Chemistry, Catalysts, and Engineering. Chem. Rev. 2006, 106, 4044–4098. [Google Scholar] [CrossRef]
- Möller, M.; Nilges, P.; Harnisch, F.; Schröder, U. Subcritical Water as Reaction Environment: Fundamentals of Hydrothermal Biomass Transformation. ChemSusChem 2011, 4, 566–579. [Google Scholar] [CrossRef]
- Prado, J.M.; Carneiro, T.F.; Gigo, M.A.; Celestrino, R.C.C.; Follegatti, L.A.; Filho, F.M.; Meireles, M.A.A. Subcritical Water Hydrolysis of Sugarcane Bagasse. In Proceedings of the III Iberoamerican Conference on Supercritical Fluids, Cartagena de Indias, Colombia, 1–5 April 2013; pp. 1–9. [Google Scholar]
- H’ng, P.S.; Wong, L.J.; Chin, K.L.; Tor, E.S.; Tan, S.E.; Tey, B.T.; Maminski, M. Oil Palm (Elaeis guineensis) Trunk as a Resource of Starch and Other Sugars. J. Appl. Sci. 2011, 11, 3053–3057. [Google Scholar] [CrossRef]
- Eom, I.Y. Efficient Ethanol Production from Dried Oil Palm Trunk Treated by Hydrothermolysis and Subsequent Enzymatic Hydrolysis. Biotechnol. Biofuels 2015, 8, 83. [Google Scholar] [CrossRef] [PubMed]











| OPT Composition | Section (% Dry Weight) | |
|---|---|---|
| Top | Bottom | |
| Moisture | 81.5 (76.3) 1 | 61.6 (79.0) 1 |
| Hemicellulose | 23.3 | 31.9 |
| Cellulose | 28.9 | 33.9 |
© 2019 by the authors. Licensee MDPI, Basel, Switzerland. This article is an open access article distributed under the terms and conditions of the Creative Commons Attribution (CC BY) license (http://creativecommons.org/licenses/by/4.0/).
Share and Cite
Ishak, H.; Yoshida, H.; Muda, N.A.; Ismail, M.H.S.; Izhar, S. Rapid Processing of Abandoned Oil Palm Trunks into Sugars and Organic Acids by Sub-Critical Water. Processes 2019, 7, 593. https://doi.org/10.3390/pr7090593
Ishak H, Yoshida H, Muda NA, Ismail MHS, Izhar S. Rapid Processing of Abandoned Oil Palm Trunks into Sugars and Organic Acids by Sub-Critical Water. Processes. 2019; 7(9):593. https://doi.org/10.3390/pr7090593
Chicago/Turabian StyleIshak, Hazwani, Hiroyuki Yoshida, Noor Azura Muda, Mohd Halim Shah Ismail, and Shamsul Izhar. 2019. "Rapid Processing of Abandoned Oil Palm Trunks into Sugars and Organic Acids by Sub-Critical Water" Processes 7, no. 9: 593. https://doi.org/10.3390/pr7090593
APA StyleIshak, H., Yoshida, H., Muda, N. A., Ismail, M. H. S., & Izhar, S. (2019). Rapid Processing of Abandoned Oil Palm Trunks into Sugars and Organic Acids by Sub-Critical Water. Processes, 7(9), 593. https://doi.org/10.3390/pr7090593

