A New Group II Phospholipase A2 from Walterinnesia aegyptia Venom with Antimicrobial, Antifungal, and Cytotoxic Potential
Abstract
1. Introduction
2. Materials and Methods
2.1. Venom Collection
2.2. Protein Analysis
2.3. Phospholipase Assay
2.4. Purification of WaPLA2-II
2.5. Enzymes
2.6. In Vitro Hemolytic Activities
2.7. Antimicrobial Activity
- –
- Antibacterial activity
- –
- Antifungal activity
2.8. Cytotoxicity Test
3. Results
3.1. Enzymatic Properties of W. aegyptia Venom PLA2
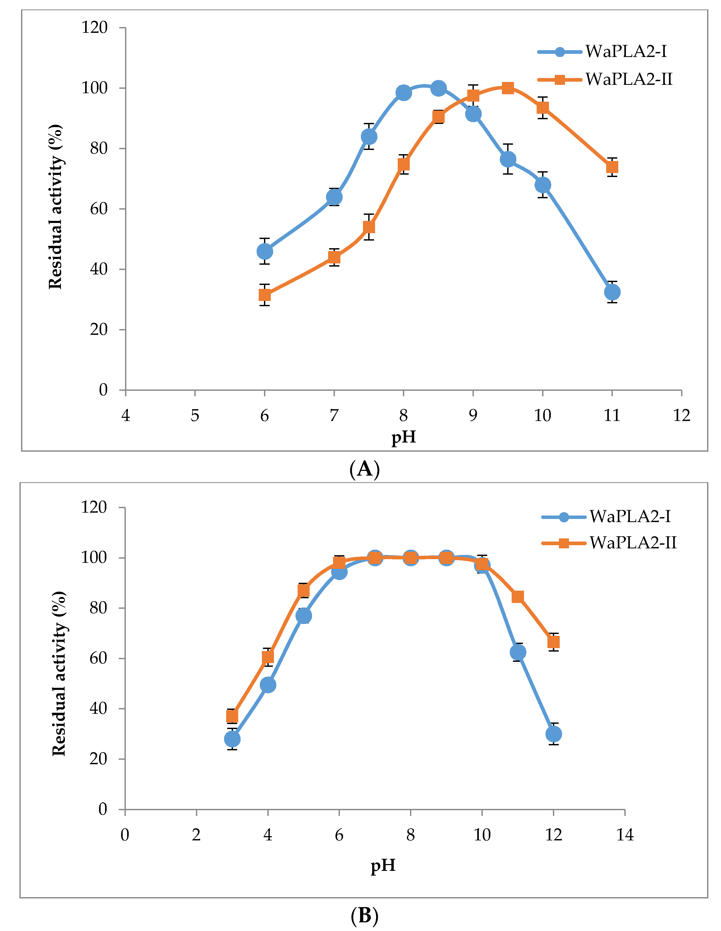
3.1.1. Influence of pH and Temperature on Phospholipase Activity and Stability
3.1.2. Calcium, Metal Ions, and Bile Salt Dependence
3.2. Antimicrobial and Hemolytic Activities
3.3. Cytotoxicity
4. Conclusions
Author Contributions
Funding
Acknowledgments
Conflicts of Interest
References
- Casale, J.; Kacimi, S.E.O.; Varacallo, M. Biochemistry, Phospholipase A2. In StatPearls [Internet]; StatPearls Publishing: Treasure Island, FL, USA, 2020. [Google Scholar]
- Burke, J.E.; Dennis, E.A. Phospholipase A2 biochemistry. Cardiovasc. Drugs Ther. 2009, 23, 49–59. [Google Scholar] [CrossRef]
- Burke, J.E.; Dennis, E.A. Phospholipase A2 structure/function, mechanism, and signaling. J. Lipid Res. 2009, 50, S237–S242. [Google Scholar] [CrossRef]
- Six, D.A.; Dennis, E.A. The expanding superfamily of phospholipase A2 enzymes: Classification and characterization. Biochim. Biophys. Acta Mol. Cell Biol. Lipids 2000, 1488, 1–19. [Google Scholar] [CrossRef]
- Lambeau, G.; Gelb, M.H. Biochemistry and physiology of mammalian secreted phospholipases A2. Annu. Rev. Biochem. 2008, 77, 495–520. [Google Scholar] [CrossRef]
- Bacha, A.B.; Abid, I.; Horchani, H. Antibacterial properties of intestinal phospholipase A2 from the common stingray Dasyatis pastinaca. Appl. Biochem. Biotechnol. 2012, 168, 277–1287. [Google Scholar] [CrossRef]
- Bacha, A.B.; Abid, I. Secretory phospholipase A2 in dromedary tears: A host defense against staphylococci and other gram-positive bacteria. Appl. Biochem. Biotechnol. 2013, 169, 1858–1869. [Google Scholar] [CrossRef]
- Bacha, A.B.; Daihan, S.K.; Moubayed, N.M. Purification and characterization of a phospholipase A2-IIA from common stingray (Dasyatis pastinaca) intestine. Indian J. Biochem. Biophys. 2013, 50, 186–195. [Google Scholar]
- Murakami, M.; Taketomi, Y.; Girard, C. Emerging roles of secreted phospholipase A2 enzymes: Lessons from transgenic and knockout mice. Biochimie 2010, 92, 561–582. [Google Scholar] [CrossRef]
- Murakami, M.; Taketomi, Y.; Miki, Y. Recent progress in phospholipase A2 research: From cells to animals to humans. Prog. Lipid Res. 2011, 50, 152–192. [Google Scholar] [CrossRef]
- Hariprasad, G.; Srinivasan, A.; Singh, R. Structural and phylogenetic basis for the classification of group III phospholipase A2. J. Mol. Model. 2013, 19, 3779–3791. [Google Scholar] [CrossRef]
- Etienne, D.; Boilard, E. Roles of secreted phospholipase A2 group IIA in inflammation and host defense (BBA). Mol. Cell Biol. Lipids 2019, 1864, 789–802. [Google Scholar]
- Herrera, M.; Fernández, J.; Vargas, M. Comparative proteomic analysis of the venom of the taipan snake, Oxyuranus scutellatus, from Papua New Guinea and Australia: Role of neurotoxic and procoagulant effects in venom toxicity. J. Proteom. 2012, 75, 2128–2140. [Google Scholar] [CrossRef] [PubMed]
- Gulati, A.; Isbister, G.K.; Duffull, S.B. Effect of Australian elapid venoms on blood coagulation: Australian Snakebite Project (ASP-17). Toxicon 2013, 61, 94–104. [Google Scholar] [CrossRef]
- Lewin, M.; Samuel, S.; Merkel, J. Varespladib (LY315920) appears to be a potent, broad-spectrum, inhibitor of snake venom phospholipase A2 and a possible pre-referral treatment for envenomation. Toxins 2016, 8, 248. [Google Scholar] [CrossRef]
- Heinrikson, R.L.; Krueger, E.T.; Keim, P.S. Amino acid sequence of phospholipase A2-alpha from the venom of Crotalus adamanteus. A new classification of phospholipases A2 based upon structural determinants. J. Biol. Chem. 1977, 252, 4913–4921. [Google Scholar]
- Valentin, E.; Lambeau, G. What can venom phospholipases A2 tell us about the functional diversity of mammalian secreted phospholipases A2. Biochimie 2000, 82, 815–831. [Google Scholar] [CrossRef]
- Schaloske, R.H.; Dennis, E.A. The phospholipase A2 superfamily and its group numbering system. Biochim. Biophys. Acta 2006, 1761, 1246–1259. [Google Scholar] [CrossRef]
- Dennis, E.A.; Cao, J.; Hsu, Y.H. Phospholipase A2 enzymes: Physical structure, biological function, disease implication, chemical inhibition, and therapeutic intervention. Chem. Rev. 2011, 111, 6130–6185. [Google Scholar] [CrossRef]
- Krayem, N.; Gargouri, Y. Scorpion venom phospholipases A2: A minireview. Toxicon 2020, 184, 48–54. [Google Scholar] [CrossRef]
- Teixeira, C.F.P.; Landucci, E.C.T.; Antunes, E. Inflammatory effects of snake venom myotoxic phospholipases A2. Toxicon 2003, 42, 947–962. [Google Scholar] [CrossRef]
- Costa, S.K.P.; Camargo, E.A.; Antunes, E. Inflammatory action of secretory PLA2 from snake venoms. In Toxins and Drug Discovery; Springer: Dordrecht, The Netherlands, 2015; pp. 1–18. [Google Scholar]
- Zambelli, V.O.; Picolo, G.; Fernandes, C.A.H. Secreted phospholipases A2 from animal venoms in pain and analgesia. Toxins 2017, 9, 406. [Google Scholar] [CrossRef]
- Ozturk, K.; Onala, M.S.; Efiloglu, O. Association of 5′UTR polymorphism of secretory phospholipase A2 group IIA (PLA2G2A) gene with prostate cancer metastasis. Gene 2020, 742, 144586. [Google Scholar] [CrossRef]
- Van Hensbergen, V.P.; Wu, Y.; Van Sorge, N.M.; Touqui, L. Type IIA Secreted phospholipase A2 in Host Defense against Bacterial Infections. Trend Immunol. 2020, 41, 313–326. [Google Scholar] [CrossRef]
- Moreira, V.; Gutiérrez, J.M.; Lomonte, B. 12-HETE is a regulator of PGE2 production via COX-2 expression induced by a snake venom group IIA phospholipase A2 in isolated peritoneal macrophages. Chem. Biol. Interact. 2020, 317, 108903. [Google Scholar] [CrossRef]
- Buckland, A.G.; Heeley, E.L.; Wilton, D.C. Bacterial cell membrane hydrolysis by secreted phospholipases A2: A major physiological role of human group IIa sPLA2 involving both bacterial cell wall penetration and interfacial catalysis. Biochim. Biophys. Acta 2000, 1484, 195–206. [Google Scholar] [CrossRef]
- Buckland, A.G.; Wilton, D.C. The antibacterial properties of secreted phospholipases A2. Biochim. Biophys. Acta Mol. Cell Biol. Lipids 2000, 1488, 71–82. [Google Scholar] [CrossRef]
- Nevalainen, T.J.; Graham, G.G.; Scott, K.F. Antibacterial actions of secreted phospholipases A2. Biochim. Biophys. Acta Mol. Cell Biol. Lipids 2008, 1781, 1–9. [Google Scholar] [CrossRef]
- Almeida, R.; Palacios, A.L.V.; Patiño, R.S.P. Harnessing snake venom phospholipasesA2 to novel approaches for overcoming antibiotic resistance. Drug Dev. Res. 2019, 80, 68–85. [Google Scholar] [CrossRef]
- Cecilio, A.B.; Caldas, S.; Oliveira, R.A. Molecular characterization of Lys49 and Asp49 phospholipases A2 from snake venom and their antiviral activities against dengue virus. Toxins 2013, 5, 1780–1798. [Google Scholar] [CrossRef]
- Rodrigues, V.M.; Marcussi, S.; Cambraia, R.S. Bactericidal and neurotoxic activities of two myotoxic phospholipases A2 from Bothrops neuwiedi pauloensis snake venom. Toxicon 2004, 44, 305–314. [Google Scholar] [CrossRef]
- Sobrinho, J.C.; Kayano, A.M.; Simões-Silva, R. Anti-platelet aggregation activity of two novel acidic Asp49-phospholipases A2 from Bothrops brazili snake venom. Int. J. Biol. Macromol. 2018, 107, 1014–1022. [Google Scholar] [CrossRef] [PubMed]
- Bustillo, S.; Fernández, J.; Chavez, S. Comparative characterization and synergism between two basic phospholipases A2 from Bothrops diporus snake venom. Toxicon 2020, 177, S44–S45. [Google Scholar] [CrossRef]
- Wang, X.; Huang, C.-J.; Yu, G.-Z.; Wang, J.-J.; Wang, R.; Li, Y.-M.; Wu, Q. Expression of group IIA phospholipase A2 is an independent predictor of favorable outcome for patients with gastric cancer. Hum. Pathol. 2013, 44, 2020–2027. [Google Scholar] [CrossRef] [PubMed]
- Lomonte, B.; Díaz, C.; Chaves, F. Comparative characterization of Viperidae snake venoms from Perú reveals two compositional patterns of phospholipase A2 expression. Toxicon 2020, 7, 100044. [Google Scholar] [CrossRef]
- Al-Sadoon, M.K. Snake bite envenomation in Riyadh province of Saudi Arabia over the period (2005–2010). Saudi J. Biol. Sci. 2015, 22, 198–203. [Google Scholar] [CrossRef]
- Ismail, M.; Memish, Z.A. Venomous snakes of Saudi Arabia and the Middle East: A keynote for travelers. Int. J. Antimicrob. Agents 2003, 21, 164–169. [Google Scholar] [CrossRef]
- Al-Sadoon, M.K.; Paray, B.A.; Al-Otaibi, H. Survey of the reptilian fauna of the Kingdom of Saudi Arabia. VI. The snake fauna of Turaif region. Saudi J. Biol. Sci. 2017, 24, 925–928. [Google Scholar] [CrossRef]
- Bacha, A.B.; Alonazi, M.A.; Elshikh, M.S.; Karray, A. A novel bactericidal homodimeric PLA2 Group-I from Walterinnesia aegyptia venom. Int. J. Biol. Macromol. 2018, 117, 1140–1146. [Google Scholar] [CrossRef]
- Bradford, M.M. A Rapid and sensitive method for the quantization of microgram quantities of protein utilizing the principle of protein-dye binding. Anal. Biochem. 1976, 72, 248–254. [Google Scholar] [CrossRef]
- Hewick, R.M.; Hunkapiller, M.W.; Hood, L.E. A gas-liquid solid phase peptide and protein sequenator. J. Biol. Chem. 1981, 256, 7990–7997. [Google Scholar]
- Spiro, R.G. Analysis of sugars found in glycoproteins. Meth. Enzymol. 1966, 8, 3–26. [Google Scholar]
- Condrea, E.; Fletcher, J.E.; Rapuano, B.E. Effect of modification of one histidine residue on the enzymatic and pharmacological properties of a toxic phospholipase A2 from Naja nigricollis snake venom and less toxic phospholipases A2 from Hemachatus haemachatus and Naja naja atra snake venoms. Toxicon 1981, 19, 61–71. [Google Scholar] [CrossRef]
- Abousalham, A.; Verger, R. Egg yolk lipoproteins as substrates for lipases. Biochim. Biophys. Acta 2000, 1485, 56–62. [Google Scholar] [CrossRef]
- Boman, H.G.; Kaletta, U. Chromatography of rattle snake venom A separation of three phosphodiesterase. Biochim. Biophys. Acta 1957, 24, 619–631. [Google Scholar] [CrossRef]
- Vanden Berghe, D.A.; Vlietinck, A.J. Screening methods for anti-bacterial and antiviral agents from higher plants. Meth. Plant Biochem. 1991, 6, 47–68. [Google Scholar]
- Ronald, M.A. Microbiologica; Compania Editorial Continental, S.A. de C.V.: Mexico City, Mexico, 1990; pp. 505–525. [Google Scholar]
- Xu, C.; Ma, D.; Yu, H. A bactericidal homodimeric phospholipases A2 from Bungarus fasciatus venom. Peptides 2007, 28, 969–973. [Google Scholar] [CrossRef] [PubMed]
- Zouari-Kessentini, R.; Luis, J.; Karray, A.; Kallech-Ziri, O.; Srairi-Abid, O.; Bazaa, A.; Loret, E.; Bezzine, S.; El Ayeb, M.; Marrakchi, N. Two purified and characterized phospholipases A2 from Cerastes cerastes venom, that inhibit cancerous cell adhesion and migration. Toxicon 2009, 53, 444–453. [Google Scholar] [CrossRef] [PubMed]
- Tsai, I.-H.; Wang, Y.-M.; Cheng, A.-C.; Starkov, V.; Osipov, A.; Nikitin, I.; Makarova, Y.; Ziganshin, R.; Utkin, Y. cDNA cloning, structural, and functional analyses of venom phospholipases A₂ and a Kunitz-type protease inhibitor from steppe viper Vipera ursinii renardi. Toxicon 2011, 57, 332–341. [Google Scholar] [CrossRef] [PubMed]
- Rigoldi, F.; Donini, S.; Redaelli, A.; Parisini, E.; Gautieri, A. Engineering of thermostable enzymes for industrial applications featured. APL Bioeng. 2018, 2, 011501. [Google Scholar] [CrossRef] [PubMed]
- Fleer, E.A.; Puijk, W.C.; Slotboom, A.J. Modification of arginine residues in porcine pancreatic phospholipase A2. Eur. J. Biochem. 1981, 116, 277–284. [Google Scholar] [CrossRef]
- Scott, D.L.; Otwinowski, Z.; Gelb, M.H. Crystal structure of bee-venom phospholipase A2 in a complex with a transition-state analogue. Science 1990, 250, 1563–1566. [Google Scholar] [CrossRef] [PubMed]
- Verger, R.; Mieras, M.C.; De Haas, G.H. Action of phospholipase A at interfaces. J. Biol. Chem. 1973, 248, 4023–4034. [Google Scholar] [PubMed]
- Yu, B.Z.; Berg, O.G.; Jain, M.K. The divalent cation is obligatory for the binding of ligands to the catalytic site of secreted phospholipase A2. Biochemistry 1993, 32, 6485–6492. [Google Scholar] [CrossRef] [PubMed]
- Janssen, M.J.W.; Vermeulen, L.; Van der Helm, H.A.; Aarsman, A.J.; Slotboom, A.J.; Egmond, M.R. Enzymatic properties of rat group IIA and V phospholipases A2 compared. Biochim. Biophys. Acta Mol. Cell Biol. Lipids 1999, 1440, 59–72. [Google Scholar] [CrossRef]
- De Haas, G.H.; Slotboom, A.J.; Bonsen, P.P. Studies on phospholipase A and its zymogen from porcine pancreas. II. The assignment of the position of the six disulfide bridges. Biochim. Biophys. Acta Mol. Cell Biol. Lipids 1970, 221, 54–61. [Google Scholar] [CrossRef]
- Glaser, H.S.R. Bactericidal activity of Crotalus venom in vitro. Copeia 1948, 4, 245–247. [Google Scholar] [CrossRef]
- Perumal Samy, R.; Gopalakrishnakone, P.; Thwin, M.M.; Chow, T.K.V.; Bow, H.; Yap, E.H.; Thong, T.W.J. Antibacterial activity of snake, scorpion and bee venoms: A comparison with purified venom phospholipase A2 enzymes. J. Appl. Microbiol. 2007, 102, 650–659. [Google Scholar] [CrossRef]
- Samy, R.P.; Manikandan, J.; Sethi, G. Snake venom proteins: Development into antimicrobial and wound healing agents. Org. Chem. 2014, 11, 4–14. [Google Scholar] [CrossRef]
- Russo, R.R.; DosSantos, J.; Cintra, A.C.O. Purification and virucidal activity of two recombinant isoforms of phospholipase A2 from Crotalus durissus terrificus venom. Arch. Virol. 2019, 164, 1159–1171. [Google Scholar] [CrossRef]
- Hebleen, B.; Loría, G.D.; Lomonte, B. Potent virucidal activity against Flaviviridae of a group IIA phospholipase A2 isolated from the venom of Bothrops asper. Biologicals 2020, 63, 48–52. [Google Scholar]
- Sudarshan, S.; Dhananjaya, B.L. Antibacterial potential of a basic phospholipase A2 (VRV-PL-V) of Daboia russellii pulchella (Russell’s viper) venom. Biochem. Mosc. 2014, 79, 1237–1244. [Google Scholar] [CrossRef] [PubMed]
- Sudharshan, S.; Dhananjaya, B.L. Antibacterial potential of a basic phospholipase A2 (VRV-PL-VIIIa) from Daboia russelii Pulchella (Russell’s viper) venom. J. Venom. Anim. Toxins Incl. Trop. Dis. 2015, 21, 17–26. [Google Scholar] [CrossRef] [PubMed]
- De Oliveira Junior, N.G.; Silva Cardoso, M.H.; Franco, O.L. Snake venoms: Attractive antimicrobial proteinaceous compounds for therapeutic purposes. Cell. Mol. Life Sci. 2013, 70, 4645–4658. [Google Scholar] [CrossRef] [PubMed]
- Roberto, P.G.; Kashima, S.; Marcussi, S. Cloning and identification of a complete cDNA coding for a bactericidal and antitumoral acidic phospholipase A2 from Bothrops jararacussu venom. Protein J. 2004, 23, 273–285. [Google Scholar] [CrossRef] [PubMed]
- Bazaa, A.; Luis, J.; Srairi-Abid, N.; Kallech-Ziri, O.; Kessentini-Zouari, R.; Defilles, C.; Lissitzky, J.C.; ElAyeb, M.; Marrakchi, N. MVL-PLA2, a phospholipase A2 from Macrovipera lebetina transmediterranea venom, inhibits tumor cells adhesion and migration. Matrix Biol. 2009, 28, 188–193. [Google Scholar] [CrossRef] [PubMed]








| Purification Step | Total Activity 1 (U) | Protein 2 (mg) | Specific Activity (U/mg) | Activity Recovery (%) | Purification Factor |
|---|---|---|---|---|---|
| Extraction | 8000 | 160 | 50 | 100 | 1 |
| Ammonium sulfate fractionation (65%) | 6400 | 61 | 104.9 | 80 | 2.1 |
| Heat treatment (70 °C, 30 min) | 5056 | 9.7 | 521.2 | 63.2 | 10.4 |
| C18 RP-HPLC | 950 | 0.76 | 1250 | 11.9 | 25 |
| Strains | Inhibition Zone (mm) | IC50 (µg/mL) | ||||||
|---|---|---|---|---|---|---|---|---|
| Gram-positive bacteria | Crude extract | WaPLA2-I | WaPLA2-I +p-BPB | WaPLA2-II | WaPLA2-II +p-BPB | Ampicillin/ Cycloheximide | WaPLA2-I | WaPLA2-II |
| B. cereus (ATCC 14579) | 11 ± 0.8 | 21 ± 1.4 | 2.3 ± 0.6 | 17 ± 1.2 | 4.2 ± 0.2 | 22 ± 1 | 15 ± 0.8 | 16 ± 0.7 |
| B. subtilis (ATCC 6633) | 13.5 ± 0.7 | 23.5 ± 0.7 | 4.3 ± 0.6 | 20 ± 0.5 | 5.1 ± 0.3 | 25 ± 1 | 14.3 ± 0.4 | 20 ± 1 |
| E. faecalis (ATCC 29122) | 10.5 ± 0.7 | 21 ± 0.5 | 1.7 ± 0.6 | 27 ± 2.5 | 2.8 ± 0.1 | 24.2 ± 0.7 | 13 ± 0.3 | 16.7 ± 0.8 |
| S. epidermidis (ATCC 14990) | 12 ± 1.4 | 23 ± 2.1 | 3.2 ± 0.3 | 25 ± 2.2 | 6.5 ± 0.5 | 26 ± 0.5 | 15 ± 1.1 | 12 ± 0.7 |
| S. aureus (ATCC 25923) | 15 ± 1.4 | 27 ± 1.2 | 2.6 ± 0.3 | 30 ± 1.7 | 3.3 ± 0.3 | 21.5 ± 1.4 | 13 ± 0.5 | 17 ± 0.4 |
| Gram-negative bacteria | ||||||||
| E. coli (ATCC 25966) | 10 ± 0.8 | 24.2 ± 1 | 3.2 ± 0.3 | 27 ± 2.1 | 4.1 ± 0.1 | 22.6 ± 1.5 | 14 ± 1.1 | 12 ± 0.9 |
| K. pneumonia (ATCC 700603) | 11.5 ± 0.7 | 23 ± 0.7 | 2 ± 0 | 18.5 ± 0.6 | 1.2 ± 0.07 | 25.4 ± 1.7 | 10 ± 0.3 | 14 ± 1.1 |
| P. aeruginosa (ATCC 27853) | 12.5 ± 0.7 | 19.5 ± 0.7 | 1.7 ± 0.3 | 12.5 ± 0.7 | 1.5 ± 0.1 | 20 ± 0.7 | 12 ± 0.7 | 9 ± 0.2 |
| S. enteric (ATCC 43972) | 11 ± 1.4 | 24 ± 1.4 | 2.7 ± 0.6 | 28 ± 2.4 | 4 ± 0.4 | 19.5 ± 0.3 | 17 ± 1.4 | 11 ± 0.5 |
| Fungi | ||||||||
| A. niger | 9 ± 0.7 | 19.5 ± 0.5 | 2.3 ± 0.5 | 15.5 ± 0.5 | 1.5 ± 0.05 | 28 ± 0.6 | 25 ± 1.3 | 20 ± 1.1 |
| B. cinerea | 12 ± 0.5 | 17.8 ± 1.4 | 1.3 ± 0.3 | 19 ± 1.4 | 2.1 ± 0.1 | 29 ± 1 | 26.2 ± 1.7 | 32.7 ± 1.2 |
| F. solani | 7 ± 0.8 | 10.5 ± 0.7 | 1 ± 0 | 13.5 ± 1.7 | 1 ± 0 | 27.5 ± 0.7 | 24.1 ± 1.4 | 19.4 ± 0.8 |
| P. digitatum | 8.5 ± 0.6 | 12 ± 0.7 | 1 ± 0 | 15.4 ± 0.7 | 1.4 ± 0.1 | 21 ± 0.5 | 15.8 ± 0.7 | 10.2 ± 0.2 |
Publisher’s Note: MDPI stays neutral with regard to jurisdictional claims in published maps and institutional affiliations. |
© 2020 by the authors. Licensee MDPI, Basel, Switzerland. This article is an open access article distributed under the terms and conditions of the Creative Commons Attribution (CC BY) license (http://creativecommons.org/licenses/by/4.0/).
Share and Cite
Abid, I.; Jemel, I.; Alonazi, M.; Ben Bacha, A. A New Group II Phospholipase A2 from Walterinnesia aegyptia Venom with Antimicrobial, Antifungal, and Cytotoxic Potential. Processes 2020, 8, 1560. https://doi.org/10.3390/pr8121560
Abid I, Jemel I, Alonazi M, Ben Bacha A. A New Group II Phospholipase A2 from Walterinnesia aegyptia Venom with Antimicrobial, Antifungal, and Cytotoxic Potential. Processes. 2020; 8(12):1560. https://doi.org/10.3390/pr8121560
Chicago/Turabian StyleAbid, Islem, Ikram Jemel, Mona Alonazi, and Abir Ben Bacha. 2020. "A New Group II Phospholipase A2 from Walterinnesia aegyptia Venom with Antimicrobial, Antifungal, and Cytotoxic Potential" Processes 8, no. 12: 1560. https://doi.org/10.3390/pr8121560
APA StyleAbid, I., Jemel, I., Alonazi, M., & Ben Bacha, A. (2020). A New Group II Phospholipase A2 from Walterinnesia aegyptia Venom with Antimicrobial, Antifungal, and Cytotoxic Potential. Processes, 8(12), 1560. https://doi.org/10.3390/pr8121560

