Next Article in Journal
MINLP Model for Operational Optimization of LNG Terminals
Previous Article in Journal
A Comprehensive Review of HCN-Derived Polymers
 
 
Font Type:
Arial Georgia Verdana
Font Size:
Aa Aa Aa
Line Spacing:
Column Width:
Background:
Article

Metal Accumulation Profile of Catharanthus roseus (L.) G.Don and Celosia argentea L. with EDTA Co-Application

1
Department of Environmental Sciences, Quaid-i-Azam University, Islamabad 45320, Pakistan
2
Department of Civil Engineering, College of Engineering, University of Hail, Ha’il 55425, Saudi Arabia
3
Department of Earth & Environmental Sciences, Bahria University (Karachi Campus), Karachi 75260, Pakistan
4
Department of Bio Sciences, COMSATS University Islamabad, Islamabad Campus, Islamabad 45550, Pakistan
*
Authors to whom correspondence should be addressed.
Processes 2021, 9(4), 598; https://doi.org/10.3390/pr9040598
Submission received: 30 December 2020 / Revised: 23 March 2021 / Accepted: 25 March 2021 / Published: 30 March 2021
(This article belongs to the Special Issue Soil Pollution Characterization and Gentle Remediation Options)

Abstract

The problem of metal-induced toxicity is proliferating with an increase in industrialization and urbanization. The buildup of metals results in severe environmental deterioration and harmful impacts on plant growth. In this study, we investigated the potential of two ornamental plants, Catharanthus roseus (L.) G.Don and Celosia argentea L., to tolerate and accumulate Ni, Cr, Cd, Pb, and Cu. These ornamental plants were grown in Hoagland’s nutrient solution containing metal loads (50 µM and 100 µM) alone and in combination with a synthetic chelator, ethylenediaminetetraacetic acid (EDTA) (2.5 mM). Plant growth and metal tolerance varied in both plant species for Ni, Cr, Cd, Pb, and Cu. C. roseus growth was better in treatments without EDTA, particularly in Ni, Cr, and Pb treatments, and Pb content increased in all parts of the plant. In contrast, Cd content decreased with EDTA addition. In C. argentea, the addition of EDTA resulted in improved plant biomass at both doses of Cu. In contrast, plant biomass reduced significantly in the case of Ni. In C. argentea, without EDTA, root length in Cd and Cu treatments was significantly lower than the control and other treatments. However, the addition of EDTA resulted in improved growth at both doses for Pb and Cu. Metal accumulation in C. argentea enhanced significantly with EDTA addition at both doses of Cu and Cd. Hence, it can be concluded that EDTA addition resulted in improved growth and better metal uptake than treatments without EDTA. Metal accumulation increased with EDTA addition compared to treatments without EDTA, particularly for Pb in C. roseus and Cu and Cd in C. argentea. Based on the present results, C. roseus showed a better ability to phytostabilize Cu, Cd, and Ni, while C. argentea worked better for Ni, Cd, Cu, and Pb.

1. Introduction

Metals-induced pollution is a primary environmental concern. It is becoming more problematic in the present era where industrialization and interruption to natural biogeochemical cycles are increasing [1,2]. In the current scenario, the major ecological threat is from high concentrations of metals formed as a by-product from various human activities, mainly discharged from the industries, and have reached toxic water and soil levels [3]. The metals are inorganic contaminants, which accumulate in the environment because they are non-degradable. In soil and water, metal accumulation poses a high risk to humans and their environment. They also tend to bioaccumulate within living organisms in their tissues, and their concentration increases from lower to higher trophic levels, termed as biomagnification [4].
The various physical and chemical remediation technologies to remediate metal contaminated soils and water have been used for a long time [5]. Each of these conventional cleanup technologies has some benefits and severe limitations, however, there still remains a risk of secondary pollution [6]. These prevailing technologies can be efficient, but they have a high cost, intensive labor, and soil disturbance [7]. Many developing and developed countries have been using different biological-based strategies to remediate metal-contaminated sites [8]. These technologies have been used for the last decade and have gained considerable appreciation. Depending on the plant species used in phytoremediation, this technology can treat and remediate the contaminated water/soil to extract or stabilize metals [9]. This emerging technology potentially contributes to environmental restoration by decontaminating metal polluted soils and water. Phytoremediation is a low-cost remediation method that can potentially develop sustainable treatment technologies [10]. As far as public acceptance is concerned, plants used for pollution treatment are a promising technology to clean contaminated sites and create better aesthetics [11].
Ornamental plants (OPs) are grown for decorative purposes in gardens and improve the landscape. Such plants are not particularly part of the food chain and are crucial to accumulate metals to remediate metal contaminated soils [12]. The reported literature shows that ornamental plants are essential from an aesthetic and economic point of view. There is minimal systematic identification for ornamental plants that can be used for remediation applications [13]. In many populous cities, ornamental plants can remediate environmental pollution and beautify the surrounding environment [14].
Furthermore, using OPs and chelating agents enhances the efficiency of phytoextraction [15]. Chelating agents form complexes outside the plant or in the plant body. After forming complexes, they make the metal/s more available for uptake. Chelating agents may be natural (acetate, citrate, phthalate, succinate, tartrate, etc.) or synthetic (ethylenediaminetetraacetic acid (EDTA), hydroxyethylethylenediaminetriacetic acid (HEDTA), ethylenediamine-N,N′-bis(2-hydroxyphenylacetic acid) (EDDHA), etc.). The addition of chelating agents with non-hyperaccumulator OPs can improve the plant’s metal accumulation capacities and uptake efficiency [16]. This work deals with assessing the potential of two ornamental plants, Catharanthus roseus (L.) G.Don and Celosia argentea L., to tolerate different metals by growing them in a hydroponic system.
Hydroponic systems are favorable experimental setups. It is easy to access and quantify the plants’ potential for phytoextraction by comparing their mean level metal accumulation relative to the plant growth rate [17]. Based on some preferable characteristics such as high biomass, broad geographic distribution, easy growth, and resistance against environmental stresses, plants were selected. These plant species were tested for their tolerance against Ni, Cr, Cd, Pb, and Cu in the hydroponic system. Plants were grown in Hoagland’s nutrient solution with different concentrations of selected metals. The effects of synthetic chelator EDTA on the plant’s performance exposed to metals were also evaluated. The current study’s findings will help to determine these plants’ efficacy and EDTA for the phytoremediation of metal-induced pollution. C. roseus and C. argentea will have dual merits of beautification and metal remediation as popular ornamental plants.

2. Materials and Methods

2.1. Growth of Seedlings

Seeds of C. roseus and C. argentea were purchased from Awan Garden, F-8 Islamabad. Seeds of uniform size with no apparent disease symptoms were selected for the experiment and were surface sterilized with 70% ethanol, followed by thorough washing using distilled water. Seeds were sown in plastic pots filled with five to six inches of sterilized sand. These pots were placed in the growth chamber at 27–30 °C and carefully watered with a spray bottle. Germination occurred within a week, and seedlings were grown for four weeks using half-strength Hoagland’s nutrient solution.

2.2. Selection and Acclimatization of Uniform Seedlings

The morphologically uniform seedlings of C. roseus and C. argentea were carefully removed from the sand without damaging the root system after four weeks. Thorough washing was performed using distilled water to remove sand and dirt from the seedlings for hydroponics culture. These seedlings were then carefully wrapped using polyester foam at the root–shoot junction and shifted in thermopore sheets containing holes in them [10]. These thermopore sheets were adjusted in plastic containers of 1.5 L so that they were suspended within the nutrient solution. The containers were lined with polythene sheets to minimize the adsorption of metals and other nutrients on the container walls. Each container with a 1.5 L capacity contained about 1.25 L (1250 mL) of Hoagland’s nutrient solution. It was ensured that the plants’ roots were always submerged in the nutrient solution. Before metal exposure, seedlings were acclimatized in Hoagland’s solution for two weeks [10]. The same recipe of Hoagland’s nutrient solution was used as by Khan et al. [10], and the pH was set at 5.5 by using 1 M NaOH or 1 M H2SO4.

2.3. Treatment Plan and Experimental Conditions

The experiment was conducted for three weeks, after two weeks of acclimatization. Four major treatments were used: metal concentration (MC) of 50 μM, 100 μM MC, 50 μM MC + 2.5 mM EDTA, and 100 μM MC + 2.5 mM EDTA. Three replicates were used at each treatment. Nutrient solution without any metal load and EDTA, and the nutrient solution containing only EDTA were used as controls. The selected metal concentrations in this experiment’s external solution were the maximum possible concentrations applied to ornamental plants [15,18]. For Ni, Cr, Cd, Pb, and Cu, nickel chloride (NiCl2), chromium nitrate (Cr(NO3)2), cadmium chloride dihydrate (CdCl2·2H2O), lead nitrate (Pb(NO3)2), and copper sulfate pentahydrate (CuSO4·5H2O) were used as a source, respectively. Ethylenediaminetetraacetic acid disodium salt dihydrate (C10H14N2Na2O8·2H2O) was dissolved using sodium hydroxide (NaOH) pellets for preparing the EDTA solution. An EDTA level of 2.5 mM was selected based on Habiba et al. [19] and Kanwal et al. [15] with Cu and Pb.
The temperature was maintained at 28 ± 1 °C approximately in the daytime and 20 ± 1 °C at night with a photoperiod of 16:8 (day:night) throughout the experiment [9,11]. Containers were randomly shuffled every day during the growth period to eliminate edge effects. Roots of the plants were stained with carbon black before exposing to different treatments to check the root growth.

2.4. Plant Harvesting

After three weeks of metal exposure, plants were carefully removed from the thermopore sheet, and plant parts were separated into leaves, stems, and roots [20]. These tissues were carefully rinsed with deionized water and later wiped using tissue papers. Plant physical parameters (i.e., number of leaves, leaf area, root length, shoot length, fresh and dried weights of root, stem, and leaves) were measured. Plant roots, stems, and leaves were stored in separate paper envelopes and labeled carefully for dried biomass and metal uptake profiling.

2.5. Plant Analysis

2.5.1. Plant Physiological Parameters

The length of roots and shoots was measured in centimeters (cm) using a scale. Each plant’s root was measured from the basal portion of the shoot to the root’s tip. The shoot length was measured from the base of the plant to the uppermost leaf. All plant leaves were counted and spread on white paper with a scale (cm) drawn on paper. All leaves were kept apart from each other. Photographs of carefully stretched leaves were taken using a mobile camera with a resolution of 1920 × 1080 pixels. The images were opened one by one in ImageJ image processing software to quantify the leaf area [21]. While harvesting, fresh plant samples (leaves, stems, and roots) were weighed to obtain fresh biomass. These plant samples were then air-dried at 70 °C for 48 h until a constant weight was achieved. These samples were then again weighed to obtain the dried weight.

2.5.2. Measurement of Metal Content in Different Plant Parts

Tri-acid digestion (HNO3-H2O2-HCl) was performed to determine the accumulation of metals in different plant parts [22], following a modified EPA 3050B method [23]. The air-dried samples of leaves, stems, and roots were finely ground with the help of a mortar and pestle. Almost 0.5 g of plant material was collected in a beaker of 100 mL capacity. Digestion of the plant samples was performed in the fume hood. At first, 3 mL HNO3 (65%) was added, gyrated carefully, mixed with 3 mL of concentrated H2O2 (30%), and then at the end, 0.5 mL of concentrated HCl was added. The beaker containing the plant sample and digestion mixture was put on the hot plate and heated with an average temperature of about 100 °C until the dense fumes disappeared. The plant material was digested entirely. The digested mixture was removed carefully from the hot plate and allowed to cool. The volume was made up to 25 mL using distilled water and filtered through Whatman®® grade 42 filter paper. The resulting filtrates were stored in sample bottles and run on an atomic absorption spectrometer (AAS) using a Perkin Elmer AAS-700 to determine Ni, Cr, Cd, Pb, and Cu. Data of metal uptake was presented as mg of metal uptake per kg DW of plant and as cumulative metal uptake in µg per plant compartment at the time of harvest.

2.6. Translocation Factor

The translocation factor defines the concentration of metal in the shoot (leaves + stem) compared to roots and is usually used to evaluate the plants’ efficiency for phytoremediation by using a formula;
TF   =   Metal   concentration   in   shoot   ( mg kg DW ) Metal   concentrations   in   roots   ( mg kg   DW )
Furthermore, metal uptake and compartmentalization ability at four treatments (i.e., 50 µM, 100 µM, 50 µM + EDTA, and 100 µM + EDTA) were evaluated by enumerating the bioaccumulation coefficient (BAC) and biological concentration factor (BCF) as determined by Raza et al. [11].
BAC   =   Metal   concentration   in   shoot   ( mg kg DW ) Metal   concentration   in   solution   ( mg kg DW )
BCF   =   Metal   content   in   root   ( mg kg DW ) Metal   concentration   in   solution   ( mg kg DW )

2.7. Statistical Analysis

All values provided in this study are the mean of three samples. Analysis of variance (ANOVA) was performed using IBM SPSS version 20. These were compared through Duncan’s test with significant differences noted at p < 0.05, and significantly different values were shown with different letters.

3. Results

3.1. Physiological Parameters of C. roseus and C. argentea

In both plants, the effects of four major treatments on root growth were different with different metals and their dose levels (Table 1). In C. roseus, a maximum root length of 16.8 cm at 50 µM of Ni was observed, which was 69% higher than the control in which the root length was 5.2 cm. The minimum root length resulted in 100 µM of Cu, which was 75% lower than the maximum root length at 50 µM of Ni and 19% shorter than the root length in the control. In this plant, with the addition of EDTA, there were no significant differences in the root length with different metals except for the root growth at 50 µM Cr + EDTA and Cd and Cu at 100 µM + EDTA. Compared to the EDTA control, root length at 100 µM of Cu decreased significantly. No significant differences in the case of 50 µM Ni, Cd, and Pb with EDTA and 100 µM Ni, Cr, and Pb with EDTA were present, compared to the EDTA control. In the case of C. argentea, maximum root length (i.e., 50.1 cm) was observed at 100 µM Ni without EDTA. The second maximum growth for the root of 45.7 cm was observed in the control. Root lengths in Cd and Cu at both 50 and 100 µM were 88% and 86% lower than the control. After one week of exposure, there was no root growth at 100 µM Cu. With EDTA, the root length was significantly higher at both metal concentrations of Cu and Pb than the EDTA control and other metal treatments (Table 1). Plant height is an excellent indicator to estimate metal stress. In C. roseus treatments without EDTA, the maximum shoot length was 8.8 cm at 50 µM Ni concentrations, while the shortest shoot length of 4.1 cm resulted in 100 µM Cu. Shoot lengths at both Cu levels were significantly lower than the control. With EDTA, the shoot length was maximum in the control, 42% higher than the shoot length at 50 µM Cr + EDTA. In C. argentea without EDTA, the maximum shoot length observed in the control was 15 cm. This shoot length was significantly higher than the shoot length at 50 µM Cd, Pb, and Cu and 100 µM Cd and Cu. With the addition of EDTA, the maximum shoot length was in the EDTA control (i.e., 8.1 cm). In comparison to the control, shoot length was significantly lower at 50 µM Cr + EDTA and 100 µM Ni, Cr, Cd, and Pb + EDTA (Table 1).
In C. roseus, the number of leaves was maximum (i.e., 20 leaves) at 50 µM Ni with no addition of EDTA, and the lowest number of leaves (i.e., 9) at 50 µM Cu, which was 55% less than the maximum. The number of leaves decreased with an increased dose of Ni, but the rest of the treatments did not show major differences in the number of leaves as the metal dose increased. With the addition of EDTA, the maximum numbers of leaves were 13 at 50 µM Cd and 100 µM Cr, which were significantly higher than the EDTA control. The EDTA control resulted in the lowest number of leaves, which was 8. In C. argentea, the maximum number of leaves was observed in the control (i.e., 19 leaves). The lowest number of leaves, that is, nine, resulted at 100 µM Cu. The number of leaves in the rest of the metal treatments except at 50 µM of Cr and 100 µM of Cr and Pb was significantly lower than the control. Without EDTA, increased metal dose resulted in the reduction in the number of leaves. With EDTA addition, the maximum number of leaves was 14 at 50 µM Cu; close to which that in the EDTA control (i.e., 13), and the lowest was nine at 100 µM Ni + EDTA. With EDTA addition, there was no significant effect on the number of leaves with increasing metal concentration. With EDTA, the number of leaves increased at lower metal concentrations than the number of leaves in metal treatments without EDTA (Table 1).
In C. roseus, a maximum leaf area of 2.83 cm2 was determined at 50 µM Pb. Overall, leaf area reduced with an increased metal concentration in the external solution for all metals except for Cu, where leaf area was 56% greater at 100 µM Cu than at 50 µM Cu. The lowest leaf area was 0.70 cm2 at 100 µM Cr, which was 75% lower than the maximum leaf area. With the addition of EDTA, the leaf area was maximum (i.e., 1.73 cm2) at 50 µM of Cu, and lowest (i.e., 0.55 cm2) at 50 µM of Cr. In C. argentea, a maximum leaf area of 68.47 cm2 at 50 µM Ni was found. The leaf area was found in decreasing order, Cu < Pb < Cd < Cr at lower metal dose concentration. With the increase in metal concentration, the leaf area decreased in the case of all metals. The lowest leaf area of 0.95 cm2 resulted at 100 µM Cd, and the second-lowest was at both dose levels of Cu. The maximum leaf area at 50 µM Ni was 70% higher than the leaf area of control (i.e., 20.14 cm2). EDTA addition resulted in a maximum leaf area of 7.59 cm2 at 50 µM Cr + EDTA. The second highest leaf area in EDTA added treatments of 5.54 cm2 was determined at 50 µM Cu + EDTA (Table 1).

3.2. Plant Biomass

For both plants, an increment in the metal concentration resulted in decreased biomass production. In C. roseus, the maximum root fresh–dry weight ratio for treatments without EDTA was 2.50 at both 50 and 100 µM Cu. The lowest root fresh–dry weight ratio was 1.30 at 50 µM Pb. With EDTA addition, the maximum root weight ratio of 3.50 and 3.28 was found at 50 µM and 100 µM Cu, respectively (Table 2). The maximum stem weight ratio of 2.80 at 50 µM Cu was 36% higher than the control. With EDTA addition, stem weight had no significant difference with EDTA control (Table 2). The maximum value for leaf fresh–dry weight ratio was 5.64 at 100 µM of Ni. The second-highest ratio was 5.33 at 50 µM of Ni. A similar trend was observed for leaf fresh–dry weight ratio, which showed a reduction upon an increase in the metal concentrations with EDTA. In the case of Cd and Cu, the leaf fresh–dry weight ratio decreased with increasing metal concentration. The lowest leaf weight ratio for treatments without EDTA was 2.21 at 100 µM Cu, 71% lower than the control. With EDTA, the maximum leaf weight ratio was 4.78 at 100 µM of Ni, 37% lower than the EDTA control, and the lowest of 1.90 at 100 µM of Cu, 75% lower than the control (Table 2).
In the case of C. argentea treatments with no EDTA, the maximum root weight ratio was 20.54 at 50 µM Pb and the lowest weight ratio of 1.16 at 100 µM Cd. Significantly higher root weight ratios were determined at 50 µM Ni (77%), 50, and 100 µM Pb (82 and 80%, respectively) compared to the control. With EDTA, maximum root weight ratios of 20.45 and 19.29 were found at 50 µM Pb + EDTA and 50 µM Cu + EDTA, respectively. It was followed by 15.20 and 15.09 at 100 µM Pb + EDTA and 100 µM Cu + EDTA (Table 3). The biomass ratio for stems at 50 and 100 µM of Ni, Cr, and Pb had no significant differences with the control without EDTA. However, the stem weight ratio in all-metal treatments slightly decreased with increased metal concentration without EDTA. With EDTA addition, the stem fresh–dry weight ratio at 50 µM of Ni and Cd, and 100 µM of Ni significantly decreased compared to the control. The maximum stem weight ratio resulted in 24.41 at 50 µM Cr + EDTA, 32% higher than the stem weight ratio of the EDTA control (18.4). For Cu with EDTA, the stem weight ratio was insignificantly different than the EDTA control. The highest leaf weight ratio of 28.37 was found at 50 µM Ni. The lowest leaf weight ratio of 3.42 resulted at 50 µM Cr. The leaf weight ratio at 50 µM of Ni was 48% higher than the control. With the increase in Ni concentration to 100 µM, the leaf weight ratio decreased by 51%. With EDTA addition, the maximum value of the leaf biomass ratio was 20.70 at 50 µM Cr + EDTA, and the lowest was 1.18 at 100 µM Cd + EDTA. The maximum value was 22% higher than the control, and the lowest value was 92% lower than the control (Table 3).

3.3. Metal Uptake in C. roseus and C. argentea

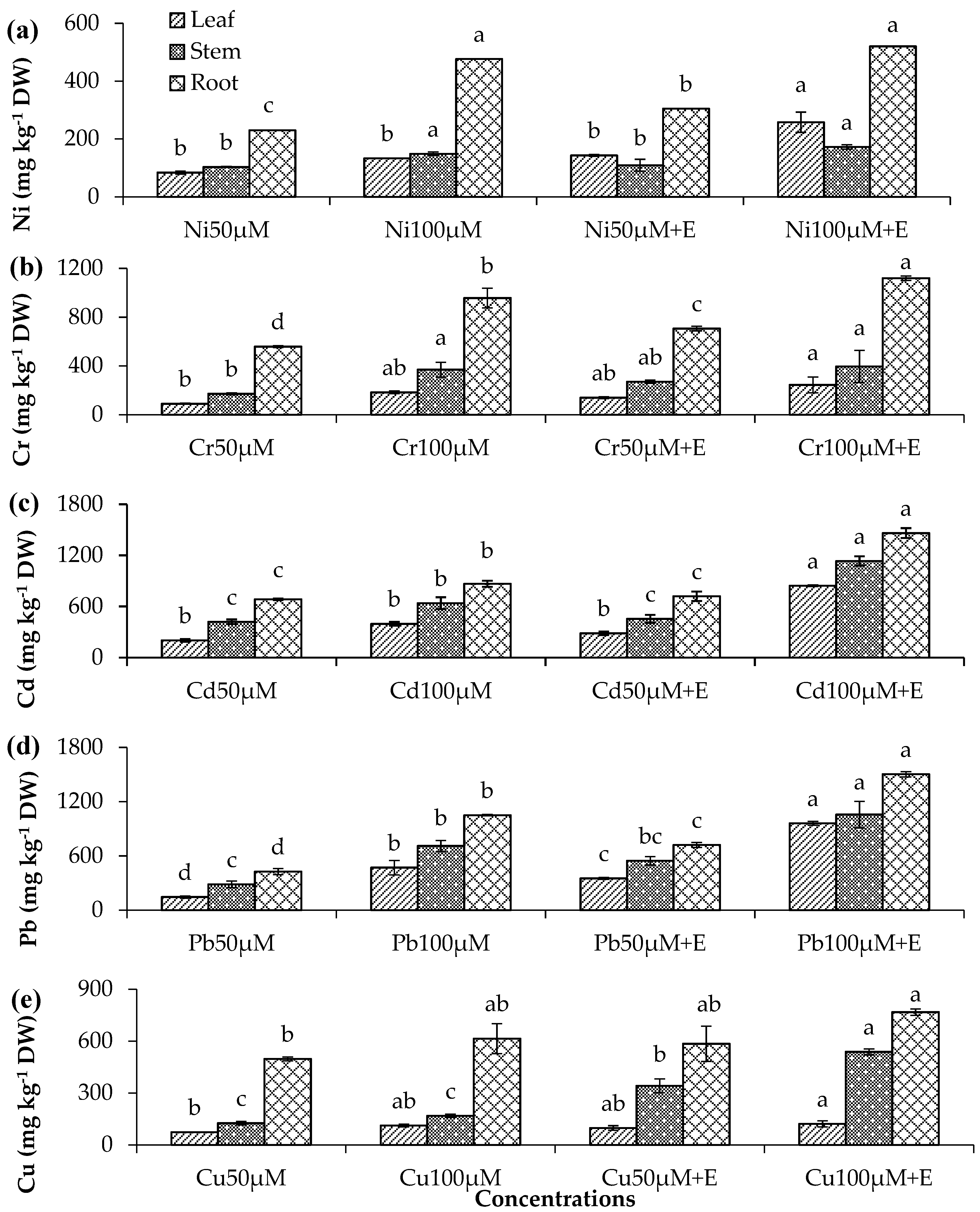
In C. roseus, the highest Ni accumulation was found with EDTA at a higher metal dose. The metal accumulation trend in plant parts was; roots > stems > leaves without EDTA and roots > leaves > stems with EDTA. The addition of EDTA resulted in increased metal accumulation in all plant parts at the same metal dose compared to treatments without EDTA. Maximum plant metal content was present at 100 µM Ni with EDTA (i.e., 520.47 mg kg−1, 172.23 mg kg−1 and 257.73 mg kg−1 DW, in roots, stems, and leaves, respectively, Figure 1a). Cr accumulation in all treatments with and without EDTA had a similar accumulation trend (i.e., root > stem > leaf). Maximum accumulation of Cr was found at 100 µM + EDTA in roots having 1119.57 mg kg−1, which was 15% higher than Cr accumulation at 100 µM without EDTA. At 50 µM Cr + EDTA, accumulation was 20% higher than at 50 µM without EDTA (Figure 1b). Cd accumulation was greater at both Cd concentrations without EDTA with the following trend (i.e., roots > stems ≈ leaves). In non-EDTA treatments, the maximum accumulation of 1015.67 mg kg−1 DW Cd was at 100 µM Cd treatment. In treatments with EDTA, accumulation in leaves was 52% greater than stems, but the accumulation in roots was 64% and 82% greater than Cd accumulation in the leaves and stems, respectively (Figure 1c). Maximum Pb accumulation was determined at the highest Pb level with EDTA addition (i.e., 100 µM Pb + EDTA). In all three parts of the plant, accumulation improved with the addition of EDTA. In roots, stems, and leaves, accumulation was in the order of 100 µM + EDTA > 100 µM > 50 µM + EDTA > 50 µM (Figure 1d). Cu accumulation in three plant parts was observed in the following pattern (i.e., roots > stems > leaves). Accumulation in stems improved considerably in the presence of EDTA compared to treatments without EDTA. Maximum accumulation of Cu in the roots was found in the presence of EDTA at 100 µM Cu, which was 20% higher than at the same metal dose without EDTA (Figure 1e). Among the cumulative metal uptake (µg per plant compartment at the harvest time), the significantly highest uptake in leaves, stem, and roots for Ni, Cr, and Pb was noted in 100 µM metal + EDTA treatment. Specifically, 4.639 ± 0.546, 4.650 ± 0.172, and 9.287 ± 0.429 at 100 µM Ni + EDTA, 6.356 ± 1.177, 10.280 ± 2.95 and 20.156 ± 3.839 at 100 µM Cr + EDTA, and 21.142 ± 5.529, 13.734 ± 1.694, and 19.543 ± 2.017 at 100 µM Pb + EDTA, were determined in leaves, stem, and roots of C. roseus, respectively (Table 4). The highest cumulative metal uptake for Cd and Cu were noted at 100 µM metal treatment, which was 11.315 ± 0.969, 4.722 ± 0.337 and 19.298 ± 3.963 for Cd, and 2.130 ± 0.681, 2.951 ± 0.167 and 6.940 ± 0.280 for Cu in leaves, stem, and roots, respectively.
In C. argentea, uptake and distribution of Ni in plant parts varied with a change in metal concentration and EDTA addition. The highest Ni accumulation was found at the higher dose of Ni (i.e., 100 µM Ni + EDTA) with the following trend, roots > stems > leaves, with roots having 304.46 mg kg−1, stem having 180.1 mg kg−1, and leaves having 162.2 mg kg−1 DW. Without EDTA, Ni concentration in the root, stem, and leaves increased with an increase in dose. However, at a lower concentration of 50 µM Ni, the addition of EDTA increased Ni uptake in the roots and stem and decreased in leaves. At a higher metal dose, EDTA addition improved Ni uptake in the root, but lesser translocation toward the stem and leaves (Figure 2a). Chromium uptake and distribution also varied between treatments. Overall, non-EDTA treatments caused less accumulation of Cr compared to EDTA added treatments. In all cases, the following accumulation trend was observed (i.e., roots > stems > leaves). Accumulation at both metal concentrations was metal dose-dependent as accumulation was higher at 100 µM in both cases, which further increased with the addition of EDTA (Figure 2b). Cd accumulation was greater in the roots than the stem and lowest in leaves in all treatments with or without the addition of EDTA. At 100 µM Cd + EDTA, accumulation was 1461.23 mg kg−1, 1143.31 mg kg−1, and 843.13 mg kg−1 DW in the roots, stems, and leaves, respectively. Accumulation improved at both Cd levels with the addition of EDTA (Figure 2c).
For Pb, accumulation was maximum at the highest dose of Pb with EDTA. At lower concentrations, there was no significant difference in the accumulation of Pb in leaves and roots. However, at a higher metal dose, accumulation improved in all three plant parts with EDTA. In all three parts, maximum accumulation was found at 100 µM Pb + EDTA (Figure 2d). Maximum Cu accumulation in all plant parts at 100 µM + EDTA as 614.5, 370.22, and 221.5 mg kg−1 DW was recorded in the roots, stems, and leaves, respectively. Accumulation at a low dose of Cu (i.e., 50 µM) without EDTA and with EDTA was less than the accumulation of Cu at a high dose (i.e., 100 µM) without EDTA and with EDTA. However, the accumulation increased with the addition of EDTA for both Cu doses compared to Cu treatments not amended with EDTA. Cu accumulation in aerial parts increased significantly at a higher dose of Cu with EDTA than the lower amount of Cu with EDTA (Figure 2e). Among the cumulative metal uptake (µg per plant compartment at the harvest time), significantly highest uptake in leaves, stem, and roots for Ni and Pb were noted in 100 µM metal treatment, which was 8.734 ± 1.972, 4.753 ± 0.432, and 14.551 ± 1.972 for Ni, and 55.179 ± 3.043, 54.171 ± 6.701 and 44.136 ± 3.043 for Pb in the leaves, stem, and roots of C. argentea, respectively (Table 4). The highest cumulative metal uptake for Cr was noted in the plant compartments. The significantly highest cumulative Cr of 19.721 ± 2.669 and 31.654 ± 1.158 was determined in the stem and roots at 50 µM Cr without EDTA, respectively, while 29.203 ± 3.620 was found in the leaves at 50 µM Cr with EDTA. For Cd and Cu, the significantly highest metal levels were noted in 100 µM MCs + EDTA, which were 53.164 ± 4.384, 13.611 ± 2.268, and 54.073 ± 7.384 for Cd, and 12.163 ± 2.458, 11.477 ± 1.370 and 9.218 ± 2.458 for Cu in the leaves, stem, and roots, respectively.

3.4. Translocation Factor, Bioaccumulation Coefficient, and Bioconcentration Factor for Different MCs in C. roseus and C. argentea

The translocation factor (TF) of C. roseus and C. argentea are presented in Table 5. In C. roseus, TF for Ni was highest at 50 µM Ni, decreasing with increasing metal concentration. With EDTA, the translocation increased compared to the increased metal dose without EDTA, but the difference was insignificant. For Cr, TF increased from 0.46 to 0.57 with an increase in Cr concentration from 50 to 100 µM in the external solution and did not increase much in response to the addition of EDTA (Table 4). For Cd, TF increased from 0.39 to 0.65 with an increase in Cd concentration from 50 to 100 µM. TF for Cd was maximum at 50 µM Cd + EDTA (0.73), but decreased by increasing Cd level in the presence of EDTA. The translocation factor for Pb and Cu increased linearly at both doses with EDTA addition (Table 5). For Pb, TF was > 1.
In the case of C. argentea, TF for Ni was highest at 100 µM Ni. With EDTA, the translocation decreased compared to increased metal dose without EDTA. For Cr, TF increased from 0.63 to 0.84 with an increase in Cr concentration from 50 to 100 µM in the external solution and increased slightly in response to EDTA addition. For Cd, TF increased linearly at both doses with EDTA addition. The TF for Pb and Cu decreased with increasing metal concentration with and without EDTA addition, although EDTA increased TF at the same metal concentration (Table 5). The BAC and BCF for removing metals were also estimated using C. roseus and C. argentea in the hydroponic condition. The highest BAC and BCF in C. roseus for Ni (0.086 ± 0.008 and 0.104 ± 0.005, respectively), Cr (0.157 ± 0.009 and 0.272 ± 0.007, respectively), and Cu (0.138 ± 0.017 and 0.184 ± 0.032) were noted in 50 µM metal + EDTA. For Pb, the highest BAC and BCF in C. roseus was noted in 100 µM Pb + EDTA treatment, which was 0.097 ± 0.008 and 0.073 ± 0.001, respectively. C. roseus showed the highest BAC (0.059 ± 0.003) for Cd in 100 µM treatment, while the highest BCF (0.123 ± 0.015) was for the 50 µM treatment. With C. argentea, the highest BAF and BCF were noted in 100 µM metal + EDTA treatments for Cd (00.176 ± 0.005 and 0.130 ± 0.005), Pb (0.089 ± 0.006 and 0.100 ± 0.003), and Cu (0.093 ± 0.001 and 0.097 ± 0.003, respectively). Regarding Ni, the highest BAC was 0.068 ± 0.005 for 100 µM treatment and BCF of 0.075 ± 0.002 with 50 µM Ni + EDTA treatment, while for Cr, the highest BAC (0.164 ± 0.010) and BCF (0.199 ± 0.005) were noted for 50 µM Cr + EDTA treatment.

4. Discussion

Due to anthropogenic activities, the problems associated with the unintentional and deliberate release of metals into the environment is becoming more severe with every passing day. Some of the notorious metals are Cr, Cd, Cu, Pb, and Ni [24]. These are known to produce harmful effects on plants when present in concentrations beyond the optimum tolerance range [25]. The extent of metal tolerance in plants can be interpreted by metal tolerance tests that usually compare plant growth [26]. Root growth is crucial in metal tolerance tests as roots are more affected by metals than any other plant part [27]. Many studies compared EDTA and other chelating agents for their efficiency toward increased metal uptake by plants [10,28]. Most such studies reported that the synthetic chelator, EDTA, is sufficient for enhancing the metal phytoextraction [29]. In the present study, Ni, Cr, Cd, Pb, and Cu impact plant growth, and metal extraction capacity was analyzed for prominent OPs including C. roseus and C. argentea. The studied metal-induced impacts varied and were found to be negative with dose dependency. In the case of C. roseus, apparent toxicity symptoms were observed for Cu. Root length, number of leaves, and the size of the leaves were relatively smaller.
A significant decrease in root growth at the higher metal concentrations of Cr, Cd, Pb, and Cu without EDTA was due to metal toxicity. Treatments with EDTA, particularly at high metals, showed an apparent reduction in all plant growth parameters. Due to the nonspecific metal chelation by EDTA, it further exacerbates the metal uptake [30]. Another hypothesis is that this toxicity occurred due to the low uptake of essential nutrients, affecting plant metabolic activities [31,32]. With EDTA addition, plant height increment was observed as in sweet sorghum and sudangrass [33]. The decrease in leaf area with an increase in Ni, Cr, and Pb concentrations is due to the damage to leaf structural integrity at a high metal dose [15].
In the case of C. argentea, overall plant growth was best in nickel treatments without EDTA addition. With the increase in Cr concentration from 50 µM to 100 µM, the resulting decrease in root length and the shoot length was also reported by Peralta et al. [34], working with Medicago sativa L. (Alfalfa). Overall, shoot lengths in metal treatments with EDTA were significantly lower than treatments without EDTA (Table 1). These results align with Mukhtar et al. [35], findings where reduced growth of root and shoot and biomass was reported due to metal toxicity in those treatments that contained EDTA. With no Cu toxicity symptoms, the improved growth and biomass showed that C. argentea tolerated the Cu exposure (Table 2 and Table 3). Total biomass for Ni, Cd, and Cr is decreased in EDTA treatments compared to non-EDTA treatments. It is due to the increase of metal uptake through EDTA (Table 2). Sekhar et al. [36] proved that EDTA addition resulted in enhanced Pb uptake by Hemidesmus indicus, an ornamental plant from the Apocynaceae family. In C. roseus, increased Cu uptake with EDTA addition was observed. Similarly, the phytoextraction of Cu by Elsholtzia splendens, an ornamental plant from the family Lamiaceae, was efficiently enhanced by EDTA compared to other inorganic amendments [37]. Overall increased metal uptake was observed in the EDTA added treatments compared to treatments without EDTA (Figure 1 and Figure 2, Table 4 and Table 5).
Translocation factor (TF) was highest in EDTA treatments in Ni and Cu for C. roseus and Cd and Cu for C. argentea. Maximum TF was determined at 100 µM for C. argentea without EDTA (Table 5). TF represents the potential of plants to translocate the metal toward the harvestable parts [38]. Similarly, BAF indicates the ability of plants to tolerate and accumulate metals [39], while BCF greater than 1 is indicative that the plant is a hyperaccumulator [40]. The TF, BAC, and BCF in the present study depicted less translocation of Cd, Cr, Cu, and Ni toward shoots for C. rouses, as calculated values were <1 under most treatments, while for C. argentea, the values of TF, BAC, and BCF showed that in many treatments (Ni, Cd, Pb, and Cu), the values were significantly higher. C. roseus has a better ability to phytostabilize Cu, Cd, and Ni, while C. argentea can perform better for Ni, Cd, Cu, and Pb (Table 4 and Table 5). This represents that both plants have the varied potential for different MCs. Similar findings were reported in Petunia hybrida and Nicotiana alata [9,10]. Hence, for any phytoremediation experiment at a field scale, it should be assured that the plants’ intrinsic potential is identified at the pretreatment stage. EDTA is reported to be the most useful chelating agent to enhance the phytoextraction of metals [29]. EDTA’s effect on metal uptake differs from no increase to 200-fold increased accumulation depending on the plant and the metal type [41]. Efficient phytoextraction of metals by EDTA can be improved by the appropriate combination of plant species, metals, and chelators [42]. EDTA’s efficiency for metal chelation increases when metals are bioavailable or are in their mobile ionic form. In such a condition, rapid complexation of EDTA and metal occurs. In this hydroponics experiment, metal contents of Ni, Cr, Cd, Pb, and Cu in plant parts depend on the metal type, metal dose, EDTA addition, and plant type used. Different metals and their doses with and without EDTA addition greatly influence the metal uptake of plants [28].

5. Conclusions

This baseline research explored the tolerance potential of C. roseus and C. argentea against Ni, Cr, Cd, Pb, and Cu. The tolerance efficiency was based on the growth changes and metal accumulation in different tissues of these plants. For C. roseus, growth was maximum with Ni, but decreased with increased metal load and EDTA addition. Without EDTA, the growth was better with Ni, Cr, and Pb addition. Without EDTA, stunted roots were evident in the case of Cr and Cu in C. argentea. However, EDTA addition resulted in improved growth and better metal uptake compared to treatments without EDTA. Metal accumulation increased with EDTA addition compared to metal doses without EDTA, particularly for Pb in C. roseus and Cu and Cd in C. argentea. Hence, EDTA can be useful in the fruitful phytoextraction of metals depending on the metal type, EDTA dose, and plant type. It is concluded that C. roseus showed a better capacity to remove Cu, Cd, and Ni, while C. argentea can accumulate Ni, Cd, Cu, and Pb. Moreover, this experiment was conducted with a hydroponics setup. Therefore, to effectively evaluate EDTA’s function and authenticate actual potential of these ornamental plants, more soil-based environment studies and field trials should be carried out to better understand the mechanisms underlying the phytoextraction of metals by these plants.

Author Contributions

Conceptualization, M.Q. and M.I.; Methodology, C.R.M.; Software, S.Y.; Formal analysis, M.Q. and A.H.A.K.; Writing—original draft preparation, M.Q. and W.K.; Writing-review and editing, M.B., I.N., and T.A.B.; Supervision, M.I.; Project administration, B.A.; Funding acquisition, T.A.B. All authors have read and agreed to the published version of the manuscript.

Funding

Scientific Research Deanship funded this research at the University of Ha’il, Saudi Arabia, through project number RG-20 082.

Institutional Review Board Statement

Not applicable.

Informed Consent Statement

Not applicable.

Acknowledgments

We are thankful to Hassaan Javed from the Department of Plant Sciences, QAU, to provide laboratory facilities when required.

Conflicts of Interest

The authors declare no conflicts of interest.

References

  1. Cheema, A.I.; Liu, G.; Yousaf, B.; Abbas, Q.; Zhou, H. A comprehensive review of biogeochemical distribution and fractionation of lead isotopes for source tracing in distinct interactive environmental compartments. Sci. Total Environ. 2020, 719, 135658. [Google Scholar] [CrossRef]
  2. Ali, H.; Khan, E.; Sajad, M.A. Phytoremediation of heavy metals—Concepts and applications. Chemosphere 2013, 91, 869–881. [Google Scholar] [CrossRef]
  3. Mushtaq, M.U.; Iqbal, A.; Nawaz, I.; Mirza, C.R.; Yousaf, S.; Farooq, G.; Ali, M.A.; Khan, A.H.A.; Iqbal, M. Enhanced uptake of Cd, Cr, and Cu in Catharanthus roseus (L.) G.Don by Bacillus cereus: Application of moss and compost to reduce metal availability. Environ. Sci. Pollut. R. 2020, 27, 39807–39818. [Google Scholar] [CrossRef] [PubMed]
  4. Zhang, L.; Xie, Z.; Cai, G.; Mi, W.; Xu, W. Bioaccumulation and changes of trace metals over the last two decades in marine organisms from Guangdong coastal regions, South China. J. Environ. Sci. 2020, 98, 103–108. [Google Scholar] [CrossRef] [PubMed]
  5. Wang, Y.; Li, A.; Cui, C. Remediation of heavy metal-contaminated soils by electrokinetic technology: Mechanisms and applicability. Chemosphere 2021, 265, 129071. [Google Scholar] [CrossRef] [PubMed]
  6. Zhang, M.; Wang, X.; Yang, L.; Chu, Y. Research on progress in combined remediation technologies of heavy metal polluted sediment. Int. J. Environ. Res. Public Health 2019, 16, 5098. [Google Scholar] [CrossRef]
  7. Aftab, N.; Saleem, K.; Khan, A.H.A.; Butt, T.A.; Mirza, C.R.; Hussain, J.; Farooq, G.; Tahir, A.; Yousaf, S.; Zafar, M.I.; et al. Cosmos sulphureus Cav. is more tolerant to lead than copper and chromium in hydroponics system. Int. J. Environ. Sci. Technol. 2020, 1–10. [Google Scholar] [CrossRef]
  8. Song, Y.; Kirkwood, N.; Maksimović, Č.; Zheng, X.; O’Connor, D.; Jin, Y.; Hou, D. Nature based solutions for contaminated land remediation and brownfield redevelopment in cities: A review. Sci. Total Environ. 2019, 663, 568–579. [Google Scholar] [CrossRef]
  9. Khan, A.H.A.; Nawaz, I.; Qu, Z.; Butt, T.A.; Yousaf, S.; Iqbal, M. Reduced growth response of ornamental plant Nicotiana alata L. upon selected heavy metals uptake, with co-application of ethylenediaminetetraacetic acid. Chemosphere 2020, 241, 125006. [Google Scholar] [CrossRef]
  10. Patra, D.K.; Pradhan, C.; Patra, H.K. Toxic metal decontamination by phytoremediation approach: Concept, challenges, opportunities and future perspectives. Environ. Technol. Innov. 2020, 18, 100672. [Google Scholar] [CrossRef]
  11. Raza, A.; Khan, A.H.A.; Nawaz, I.; Qu, Z.; Yousaf, S.; Ali, M.A.; Sayal, A.U.; Iqbal, M. Evaluation of arsenic-induced stress in Dahlia pinnata Cav: Morphological and physiological response. Soil Sediment Contam. 2019, 28, 716–728. [Google Scholar] [CrossRef]
  12. Iqbal, A.; Mushtaq, M.U.; Khan, A.H.; Nawaz, I.; Yousaf, S.; Iqbal, M. Influence of Pseudomonas japonica and organic amendments on the growth and metal tolerance of Celosia argentea L. Environ. Sci. Pollut. R. 2020, 27, 24671–24685. [Google Scholar] [CrossRef]
  13. Khan, A.H.A.; Kiyani, A.; Mirza, C.R.; Butt, T.A.; Barros, R.; Ali, B.; Iqbal, M.; Yousaf, S. Ornamental plants for the phytoremediation of heavy metals: Present knowledge and future perspectives. Environ. Res. 2021, 195, 110780. [Google Scholar] [CrossRef]
  14. Al-Mefleh, N.K.; Othman, Y.A.; Tadros, M.J.; Al-Assaf, A.; Talozi, S. An assessment of treated greywater reuse in irrigation on growth and protein content of Prosopis and Albizia. Horticulturae 2021, 7, 38. [Google Scholar] [CrossRef]
  15. Kanwal, U.; Ali, S.; Shakoor, M.B.; Farid, M.; Hussain, S.; Yasmeen, T.; Adrees, M.; Bharwana, S.A.; Abbas, F. EDTA ameliorates phytoextraction of lead and plant growth by reducing morphological and biochemical injuries in Brassica napus L. under lead stress. Environ. Sci. Pollut. R. 2014, 21, 9899–9910. [Google Scholar] [CrossRef] [PubMed]
  16. Menhas, S.; Hayat, K.; Niazi, N.K.; Zhou, P.; Amna Bundschuh, J.; Naeem, M.; Munis, M.F.; Yang, X.; Chaudhary, H.J. Microbe-EDTA mediated approach in the phytoremediation of lead-contaminated soils using maize (Zea mays L.) plants. Int. J. Phytoremediat. 2020, 1–12. [Google Scholar] [CrossRef]
  17. Ehsan, M.; Viveros, F.M.L.; Hernaandez, V.E.; Barakat, M.A.; Ortega, A.R.; Maza, A.V.; Monter, J.V. Zinc and cadmium accumulation by Lupinus uncinatus Schldl. grown in nutrient solution. Int. J. Environ. Sci. Technol. 2015, 12, 307–316. [Google Scholar] [CrossRef][Green Version]
  18. January, M.C.; Cutright, T.J.; Keulen, H.V.; Wei, R. Hydroponic phytoremediation of Cd, Cr, Ni, As, and Fe: Can Helianthus annuus hyperaccumulate multiple heavy metals? Chemosphere 2008, 70, 531–537. [Google Scholar] [CrossRef] [PubMed]
  19. Habiba, U.; Ali, S.; Farid, M.; Shakoor, M.B.; Rizwan, M.; Ibrahim, M.; Hayat, T.; Ali, B. EDTA enhanced plant growth, antioxidant defense system, and phytoextraction of copper by Brassica napus L. Environ. Sci. Pollut. R. 2015, 22, 1534–1544. [Google Scholar] [CrossRef]
  20. Arshad, M.; Khan, A.H.A.; Hussain, I.; Zaman, B.; Anees, M.; Iqbal, M.; Soja, G.; Lindef, C.; Yousaf, S. The reduction of chromium (VI) phytotoxicity and phytoavailability to wheat (Triticum aestivum L.) using biochar and bacteria. Appl. Soil Ecol. 2017, 114, 90–98. [Google Scholar] [CrossRef]
  21. Khan, A.H.A.; Kiyani, A.; Cheema, A.S.; Tareen, U.; Nawaz, I.; Iqbal, M.; Yousaf, S. Integrative application of soil conditioners and bio-augmentation for enhanced heavy metal stabilization from wastewater and improved growth of Nicotiana alata L. and Petunia hydrida L. J. Plant Growth Regul. 2021, 40, 240–253. [Google Scholar] [CrossRef]
  22. Estefan, G.; Sommer, R.; Ryan, J. Methods of Soil, Plant, and Water Analysis: A Manual for the West Asia and North Africa Region; International Center for Agricultural Research in the Dry Areas (ICARDA): Beirut, Lebanon, 2013. [Google Scholar]
  23. Khalid, N.; Hussain, M.; Young, H.S.; Ashraf, M.; Hameed, M.; Ahmad, R. Lead concentrations in soils and some wild plant species along two busy roads in Pakistan. Bull. Environ. Contam. Tox. 2018, 100, 250–258. [Google Scholar] [CrossRef]
  24. González-De Zayas, R.; Yera, A.B.; Artiles, M.M.; González, A.L.; Sandoval, F.S.C.; Merino-Ibarra, M. Trace metals in sediments of seven coastal lagoons of the Sabana-Camagüey Archipelago, Cuba. Soil Sediment Contam. 2020, 331–349. [Google Scholar]
  25. Nematollahi, M.J.; Keshavarzi, B.; Zaremoaiedi, F.; Rajabzadeh, M.A.; Moore, F. Ecological-health risk assessment and bioavailability of potentially toxic elements (PTEs) in soil and plant around a copper smelter. Environ. Monit. Assess. 2020, 192, 639. [Google Scholar] [CrossRef]
  26. Emamverdian, A.; Ding, Y.; Mokberdoran, F.; Ahmad, Z.; Xie, Y. Determination of heavy metal tolerance threshold in a bamboo species (Arundinaria pygmaea) as treated with silicon dioxide nanoparticles. Glob. Ecol. Conserv. 2020, 24, e01306. [Google Scholar] [CrossRef]
  27. Iqbal, M.; Nawaz, I.; Hassan, Z.; Hakvoort, H.W.J.; Bliek, M.; Aarts, M.G.M.; Schat, H. Expression of HMA4 cDNAs of the zinc hyperaccumulator Noccaea caerulescens from endogenous NcHMA4 promoters does not complement the zinc-deficiency phenotype of the Arabidopsis thaliana hma2hma4 double mutant. Front. Plant Sci. 2013, 4, 404. [Google Scholar] [CrossRef] [PubMed]
  28. Saifullah; Ghafoor, A.; Zia, M.H.; Murtaza, G.; Waraich, E.A.; Bibi, S.; Srivastava, P. Comparison of organic and inorganic amendments for enhancing soil lead phytoextraction by wheat (Triticum aestivum L.). Int. J. Phytoremediat. 2010, 12, 633–649. [Google Scholar] [CrossRef]
  29. Yang, M.; Xiao, X.-Y.; Miao, X.-F.; Guo, Z.-H.; Wang, F.-Y. Effect of amendments on growth and metal uptake of giant reed (Arundo donax L.) grown on soil contaminated by arsenic, cadmium and lead. Trans. Nonferr. Metal. Soc. 2012, 22, 1462–1469. [Google Scholar] [CrossRef]
  30. Khan, A.H.A.; Butt, T.A.; Mirza, C.R.; Yousaf, S.; Nawaz, I.; Iqbal, M. Combined application of selected heavy metals and EDTA reduced the growth of Petunia hybrida L. Sci. Rep. 2019, 9, 4138. [Google Scholar] [CrossRef] [PubMed]
  31. Gopal, R.; Rizvi, A.H. Excess lead alters growth, metabolism and translocation of certain nutrients in radish. Chemosphere 2008, 70, 1539–1544. [Google Scholar] [CrossRef]
  32. Rossato, L.V.; Nicoloso, F.T.; Farias, J.G.; Cargnelluti, D.; Tabaldi, L.A.; Antes, F.G.; Dressler, V.L.; Morsch, V.M.; Schetinger, M.R.C. Effects of lead on the growth, lead accumulation and physiological responses of Pluchea sagittalis. Ecotoxicology 2012, 21, 111–123. [Google Scholar] [CrossRef]
  33. Székely, Á.; Poór, P.; Bagi, I.; Csiszár, J.; Gémes, K.; Horváth, F.; Tari, I. Effect of EDTA on the growth and copper accumulation of sweet sorghum and sudangrass seedlings. Acta Biol. Szeged. 2011, 55, 159–164. [Google Scholar]
  34. Peralta, J.R.; Gardea-Torresdey, J.L.; Tiemann, K.J.; Gomez, E.; Arteaga, S.; Rascon, E.; Parsons, J.G. Uptake and effects of five heavy metals on seed germination and plant growth in Alfalfa (Medicago sativa L.). Bull. Environ. Contam. Tox. 2001, 66, 727–734. [Google Scholar] [CrossRef] [PubMed]
  35. Mukhtar, S.M.; Bhatti, H.N.; Khalid, M.; Haq, M.A.; Shahzad, S.M. Potential of sunflower (Helianthus annuus L.) for phytoremediation of nickle (Ni) and lead (Pb) contaminated water. Pak. J. Bot. 2010, 42, 4017–4026. [Google Scholar]
  36. Sekhar, K.C.; Kamala, C.T.; Chary, N.S.; Balaram, V.; Garcia, G. Potential of Hemidesmus indicus for phytoextraction of lead from industrially contaminated soils. Chemosphere 2005, 58, 507–514. [Google Scholar] [CrossRef] [PubMed]
  37. Yang, X.-E.; Peng, H.-Y.; Jiang, L.-Y.; He, Z.-L. Phytoextraction of copper from contaminated soil by Elsholtzia splendens as affected by EDTA, citric acid, and compost. Int. J. Phytoremediat. 2005, 7, 69–83. [Google Scholar] [CrossRef]
  38. Liang, S.-X.; Jin, Y.; Liu, W.; Li, X.; Shen, S.-G.; Ding, L. Feasibility of Pb phytoextraction using nano-materials assisted ryegrass: Results of a one-year field-scale experiment. J. Environ. Manag. 2017, 190, 170–175. [Google Scholar] [CrossRef]
  39. Mirzaei, M.; Verrelst, J.; Bakhtiari, A.R.; Marofi, S. Potential use of grapevine cv Askari for heavy metal phytoremediation purposes at greenhouse scale. Environ. Sci. Pollut. Res. 2021, 28, 12447–12458. [Google Scholar] [CrossRef]
  40. Usman, K.; Al-Ghouti, M.A.; Abu-Dieyeh, M.H. The assessment of cadmium, chromium, copper, and nickel tolerance and bioaccumulation by shrub plant Tetraena qataranse. Sci. Rep. 2019, 9, 5658. [Google Scholar] [CrossRef]
  41. Evangelou, M.W.H.; Ebel, M.; Schaeffer, A. Chelate assisted phytoextraction of heavy metals from soil. Effect, mechanism, toxicity, and fate of chelating agents. Chemosphere 2007, 68, 989–1003. [Google Scholar] [CrossRef]
  42. Chen, H.; Cutright, T.J. The interactive effects of chelator, fertiliser, and rhizobacteria for enhancing phytoremediation of heavy metal contaminated soil. J. Soil. Sediment 2002, 2, 203–210. [Google Scholar] [CrossRef]
Figure 1. Metal accumulation in the leaves, stems, and roots of Catharanthus roseus, Ni (a), Cr (b), Cd (c), Pb (d) and Cu (e). Exposure at 50 µM and 100 µM MCs without and with 2.5 mM EDTA (E). According to the Duncan test, different letters above the bars denote significant difference at the significance level p < 0.05, with “a” being the significantly highest uptake followed by the other alphabets for respective plant compartment. Each bar is a mean of three replicates ± SE.
Figure 1. Metal accumulation in the leaves, stems, and roots of Catharanthus roseus, Ni (a), Cr (b), Cd (c), Pb (d) and Cu (e). Exposure at 50 µM and 100 µM MCs without and with 2.5 mM EDTA (E). According to the Duncan test, different letters above the bars denote significant difference at the significance level p < 0.05, with “a” being the significantly highest uptake followed by the other alphabets for respective plant compartment. Each bar is a mean of three replicates ± SE.
Processes 09 00598 g001
Figure 2. Metal accumulation in the leaves, stems, and roots of Celosia argentea, Ni (a), Cr (b), Cd (c), Pb (d) and Cu (e). Exposure at 50 µM and 100 µM MCs without and with 2.5 mM EDTA (E). According to the Duncan test, different letters above the bars denote significant difference at significance level p < 0.05, with “a” being significantly highest uptake followed by the other letters for respective plant compartment. Each bar is a mean of three replicates ± SE.
Figure 2. Metal accumulation in the leaves, stems, and roots of Celosia argentea, Ni (a), Cr (b), Cd (c), Pb (d) and Cu (e). Exposure at 50 µM and 100 µM MCs without and with 2.5 mM EDTA (E). According to the Duncan test, different letters above the bars denote significant difference at significance level p < 0.05, with “a” being significantly highest uptake followed by the other letters for respective plant compartment. Each bar is a mean of three replicates ± SE.
Processes 09 00598 g002
Table 1. Physiological parameters of Catharanthus roseus and Celosia argentea at different metal concentrations with and without EDTA.
Table 1. Physiological parameters of Catharanthus roseus and Celosia argentea at different metal concentrations with and without EDTA.
Catharanthus roseusCelosia argentea
Root Length (cm)Shoot Length (cm)Total Leaves Plant−1Leaf Area (cm2)Root Length (cm)Shoot Length (cm)Total Leaves Plant−1Leaf Area (cm2)
Control 15.2 ± 1.2
b12, bc3, c4, b5
7.6 ± 1.6
b1, a1345
11.7 ± 1.2
c1, ab1, b3, a4
1.92 ± 0.32
b124, a3, ab5
45.7 ± 1.7
a12345
15.0 ± 0.6
a12345
19.7 ± 0.7
a12345
20.14 ± 0.48
bc1, b23, a4
Control + EDTA 14.9 ± 0.4
b125, c34
6.7 ± 0.3
bc1, b1345
8.0 ± 0.0
d1, b25, c34
1.44 ± 0.02
c1, b25, bc34
7.7 ± 0.6
d124, b3, c5
8.1 ± 0.8
c123, bc4, b5
13.0 ± 0.0
b12345
3.08 ± 0.48
d15, c234
Ni 5016.8 ± 1.4 a8.8 ± 0.5 a20.0 ± 0.0 a2.71 ± 0.23 a35.5 ± 1.9 b12.4 ± 0.9 a14.3 ± 1.3 b68.47 ± 3.20 a
Ni 10015.9 ± 2.1 a8.1 ± 0.5 a16.7 ± 0.3 b2.30 ± 0.17 ab50.1 ± 1.4 a11.3 ± 1.9 b13.3 ± 2.0 b36.66 ± 1.70 b
Ni 50 + EDTA4.9 ± 0.2 b4.5 ± 0.7 c9.3 ± 0.7 c1.04 ± 0.11 d6.9 ± 0.3 c6.9 ± 1.8 c9.7 ± 0.9 c1.43 ± 0.24 d
Ni 100 + EDTA4.9 ± 0.2 b5.4 ± 0.1 c10.7 ± 0.9 c1.28 ± 0.17 c6.1 ± 0.2 c4.9 ± 1.4 d9.0 ± 0.0 c1.29 ± 0.18 d
Cr 5014.6 ± 1.8 a7.4 ± 1.1 a10.7 ± 0.3 b2.30 ± 0.33 a43.1 ± 1.6 a13.1 ± 0.5 a17.7 ± 1.4 a50.00 ± 3.41 a
Cr 10011.7 ± 0.7 a6.1 ± 0.5 b11.0 ± 0.0 ab0.70 ± 0.03 d35.1 ± 2.3 b10.8 ± 0.8 ab15.0 ± 1.1 ab8.23 ± 1.22 bc
Cr 50 + EDTA3.2 ± 0.5 b3.9 ± 0.8 d9.7 ± 0.9 b0.55 ± 0.02 d6.9 ± 0.7 c6.0 ± 0.6 c11.0 ± 0.6 b7.59 ± 0.20 b
Cr 100 + EDTA4.5 ± 0.1 b5.2 ± 0.1 c13.0 ± 0.6 a0.81 ± 0.07 c6.4 ± 0.4 c5.3 ± 0.7 d11.7 ± 0.7 b2.06 ± 0.43 c
Cd 508.4 ± 1.2 a7.1 ± 0.7 a9.3 ± 0.3 bc1.63 ± 0.10 b6.0 ± 0.6 b9.2 ± 0.3 b12.3 ± 0.3 b27.25 ± 1.08 a
Cd 1006.4 ± 0.6 b6.7 ± 0.1 b12.3 ± 0.9 a1.62 ± 0.08 b5.4 ± 0.4 c6.8 ± 0.3 c13.0 ± 1.528 b0.95 ± 0.45 d
Cd 50 + EDTA4.9 ± 0.4 c5.5 ± 1.0 c13.0 ± 1.1 a1.30 ± 0.15 c7.0 ± 0.4 b6.6 ± 0.7 c12.0 ± 1.1 b4.27 ± 0.26 c
Cd 100 + EDTA3.2 ± 0.5 c4.5 ± 0.4 c10.0 ± 0.6 b0.89 ± 0.10 d6.1 ± 0.1 b5.5 ± 0.3 c10.3 ± 0.7 b4.30 ± 0.98 c
Pb 5015.3 ± 1.8 a8.1 ± 0.8 a12.0 ± 1.1 a2.83 ± 0.44 a40.5 ± 2.6 a9.2 ± 0.4 b12.3 ± 1.2 b11.20 ± 1.00 b
Pb 1007.7 ± 0.2 b6.5 ± 0.5 b12.3 ± 0.9 a1.88 ± 0.31 b37.3 ± 1.5 b11.8 ± 1.1 b15.0 ± 1.1 b9.29 ± 1.19 b
Pb 50 + EDTA5.4 ± 0.3 c5.3 ± 0.4 c9.0 ± 0.6 b1.01 ± 0.07 c15.0 ± 0.5 c7.2 ± 0.6 bc12.7 ± 0.9 b5.13 ± 0.16 bc
Pb 100 + EDTA4.8 ± 0.1 c5.3 ± 0.4 c7.7 ± 0.9 c1.34 ± 0.42 bc10.7 ± 0.3 c5.4 ± 0.6 c10.3 ± 0.9 b2.60 ± 0.06 c
Cu 508.4 ± 1.0 a5.6 ± 0.6 c9.0 ± 0.6 b1.08 ± 0.06 c6.1 ± 0.5 c8.1 ± 1.0 b11.3 ± 0.9 b2.16 ± 0.17 b
Cu 1004.2 ± 0.4 b4.1 ± 0.1 d10.0 ± 0.6 a2.47 ± 0.18 a7.1 ± 0.6 c6.4 ± 0.7 c9.0 ± 0.6 c1.92 ± 0.05 d
Cu 50 + EDTA4.3 ± 0.6 b4.5 ± 0.4 d10.0 ± 1.5 a1.73 ± 0.12 b15.9 ± 2.0 b6.8 ± 1.3 c14.3 ± 0.3 ab5.54 ± 0.42 c
Cu 100 + EDTA2.6 ± 0.4 c4.7 ± 0.1 d9.3 ± 1.3 b0.85 ± 0.09 c17.1 ± 0.1 b7.3 ± 0.2 bc11.0 ± 0.6 b3.87 ± 0.63 cd
1 Alphabets followed by the number (1 = Ni, 2 = Cr, 3 = Cd, 4 = Pb, and 5 = Cu) represent statistical differences of control to each of the metal concentrations. Significantly highest mean was “a” column-wise, followed by later letters for lower means. Similar small letters in the same column within the same metal treatment of the experiment are non-significant. The statistical comparison was made in each metal treatment column with the same control and control + EDTA. Data are presented in means (n = 3 ± SE).
Table 2. Biomass production by Catharanthus roseus at different metal concentrations with and without EDTA.
Table 2. Biomass production by Catharanthus roseus at different metal concentrations with and without EDTA.
Root Fresh Weight (g)Root Dried Weight (g)Root Fresh to Dried Weight RatioStem Fresh Weight (g)Stem Dried Weight (g)Stem Fresh To Dried Weight RatioLeaf Fresh Weight (g)Leaf Dried Weight (g)Leaf Fresh to Dried Weight Ratio
Control 10.041 ± 0.001
a12345
0.022 ± 0.001
a12345
1.86 ± 0.01
b1234, d5
0.048 ± 0.005
b1, a2354
0.027 ± 0.001
a12345
1.78 ± 0.12
b1235, d3
0.289 ± 0.004
a12345
0.038 ± 0.006
b1, a2345
7.60 ± 0.31
a12345
Control + EDTA 10.035 ± 0.003
ab1245, b3
0.018 ± 0.003
a12, b345
2.00 ± 0.30
a1234, c5
0.032 ± 0.006
c12, b345
0.018 ± 0.001
b12345
1.78 ± 0.13
b1235, d3
0.190 ± 0.008
b12345
0.025 ± 0.004
c1, b2345
7.60 ± 0.21
a12345
Ni 500.041 ± 0.008 a0.020 ± 0.004 a2.05 ± 0.06 a0.041 ± 0.005 b0.020 ± 0.004 b2.05 ± 0.04 a0.207 ± 0.031 ab0.050 ± 0.004 a4.14 ± 0.16 b
Ni 1000.030 ± 0.002 b0.020 ± 0.001 a1.47 ± 0.05 c0.051 ± 0.006 a0.026 ± 0.002 a1.96 ± 0.13 a0.158 ± 0.024 c0.033 ± 0.001 b4.78 ± 0.12 b
Ni 50 + EDTA0.032 ± 0.005 b0.016 ± 0.002 ab1.99 ± 0.29 a0.044 ± 0.001 b0.024 ± 0.003 ab1.83 ± 0.18 a0.049 ± 0.010 d0.019 ± 0.000 d2.57 ± 0.18 c
Ni 100 + EDTA0.030 ± 0.006 b0.014 ± 0.001 b2.18 ± 0.36 a0.056 ± 0.031 a0.027 ± 0.001 a2.07 ± 0.06 a0.046 ± 0.018 cd0.018 ± 0.006 c2.50 ± 0.11 d
Cr 500.025 ± 0.005 b0.019 ± 0.006 a1.31 ± 0.21 b0.035 ± 0.009 bc0.018 ± 0.005 b1.94 ± 0.05 a0.230 ± 0.012 b0.044 ± 0.014 a5.22 ± 0.39 b
Cr 1000.019 ± 0.005 c0.014 ± 0.005 b1.35 ± 0.16 b0.031 ± 0.008 c0.018 ± 0.003 b1.73 ± 0.05 b0.141 ± 0.028 bc0.025 ± 0.006 b5.64 ± 0.20 b
Cr 50 + EDTA0.038 ± 0.015 ab0.020 ± 0.005 a1.89 ± 0.06 b0.035 ± 0.004 bc0.026 ± 0.004 a1.34 ± 0.05 c0.060 ± 0.010 c0.027 ± 0.001 b2.22 ± 0.16 c
Cr 100 + EDTA0.036 ± 0.019 ab0.018 ± 0.006 ab2.01 ± 0.32 a0.039 ± 0.011 b0.026 ± 0.010 a1.50 ± 0.19 b0.058 ± 0.009 c0.026 ± 0.003 b2.23 ± 0.33 c
Cd 500.037 ± 0.009 ab0.020 ± 0.008 a1.86 ± 0.30 b0.038 ± 0.010 b0.015 ± 0.008 bc2.53 ± 0.11 a0.100 ± 0.014 c0.036 ± 0.014 a2.77 ± 1.14 b
Cd 1000.025 ± 0.006 c0.019 ± 0.006 ab1.31 ± 0.02 c0.037 ± 0.005 b0.014 ± 0.001 c2.64 ± 0.10 b0.098 ± 0.013 c0.035 ± 0.003 a2.80 ± 0.21 b
Cd 50 + EDTA0.023 ± 0.004 c0.018 ± 0.006 ab1.21 ± 0.05 c0.028 ± 0.007 c0.013 ± 0.001 c2.15 ± 0.13 c0.060 ± 0.008 d0.028 ± 0.011 b2.14 ± 0.11 b
Cd 100 + EDTA0.018 ± 0.002 d0.011 ± 0.004 c1.63 ± 0.01 bc0.025 ± 0.007 c0.016 ± 0.005 bc1.56 ± 0.09 d0.035 ± 0.000 e0.017 ± 0.002 c2.06 ± 0.41 b
Pb 500.030 ± 0.003 b0.023 ± 0.002 a1.30 ± 0.02 c0.034 ± 0.003 b0.026 ± 0.001 a1.30 ± 0.13 a0.130 ± 0.012 c0.039 ± 0.001 a3.33 ± 0.05 b
Pb 1000.027 ± 0.002 c0.019 ± 0.002 a1.46 ± 0.05 c0.028 ± 0.016 c0.020 ± 0.001 b1.40 ± 0.07 c0.104 ± 0.020 d0.034 ± 0.005 a3.06 ± 0.12 bc
Pb 50 + EDTA0.021 ± 0.001 c0.016 ± 0.002 ab1.32 ± 0.12 c0.030 ± 0.004 bc0.019 ± 0.002 b1.56 ± 0.10 c0.074 ± 0.013 de0.025 ± 0.019 b2.96 ± 0.18 c
Pb 100 + EDTA0.020 ± 0.003 c0.013 ± 0.001 c1.54 ± 0.03 bc0.020 ± 0.083 d0.013 ± 0.003 c1.53 ± 0.03 c0.056 ± 0.016 e0.022 ± 0.002 b2.54 ± 0.01 c
Cu 500.035 ± 0.029 b0.014 ± 0.011 b2.50 ± 0.29 b0.026 ± 0.004 c0.015 ± 0.003 b1.73 ± 0.17 b0.052 ± 0.005 c0.022 ± 0.004 b2.36 ± 0.04 b
Cu 1000.025 ± 0.007 c0.010 ± 0.006 bc2.50 ± 0.28 b0.026 ± 0.001 c0.014 ± 0.001 b1.85 ± 0.10 b0.042 ± 0.004 c0.019 ± 0.005 c2.21 ± 0.02 b
Cu 50 + EDTA0.028 ± 0.006 c0.008 ± 0.005 c3.50 ± 0.52 a0.014 ± 0.006 d0.005 ± 0.002 c2.80 ± 0.20 a0.034 ± 0.004 d0.014 ± 0.001 c2.42 ± 0.03 b
Cu 100 + EDTA0.023 ± 0.020 c0.007 ± 0.020 c3.28 ± 0.12 a0.013 ± 0.005 d0.006 ± 0.003 c2.16 ± 0.22 a0.019 ± 0.002 e0.010 ± 0.002 d1.90 ± 0.05 c
1 Alphabet followed by the number (1 = Ni, 2 = Cr, 3 = Cd, 4 = Pb, and 5 = Cu) represents statistical differences of control to each of the metal concentration. Significantly highest mean was “a” column-wise, followed by later letters for lower means. Similar small letters in the same column within the same metal treatment of the experiment are non-significant. The statistical comparison was made in each metal treatment column with the same control and control + EDTA. Data are presented in means (n = 3 ± SE).
Table 3. Biomass production by Celosia argentea at different metal concentrations with and without EDTA.
Table 3. Biomass production by Celosia argentea at different metal concentrations with and without EDTA.
Root Fresh Weight (g)Root Dried Weight (g)Root Fresh to Dried Weight RatioStem Fresh Weight (g)Stem Dried Weight (g)Stem Fresh to Dried Weight RatioLeaf Fresh Weight (g)Leaf Dried Weight (g)Leaf Fresh to Dried Weight Ratio
Control 12.634 ± 0.500
a12345
0.713 ± 0.024
a12345
3.65 ± 0.58
c13, b2, a3, d5
0.820 ± 0.113
b12, a35, bc4
0.043 ± 0.004
b125, a3, c4
19.32 ± 2.67
b12, a35, ab4
1.042 ± 0.002
c14, b2, a35
0.071 ± 0.000
bc1, b25, a3, d4
14.69 ± 0.02
b12, a345
Control + EDTA 10.224 ± 0.073
c123, d4, b5
0.076 ± 0.04
a12, b345
3.86 ± 1.06
c13, b2, a3, d5
0.688 ± 0.073
b125, a3, c4
0.038 ± 0.005
c14, b25, a3
18.40 ± 0.74
b12, a35, ab4
1.127 ± 0.024
c14, b2, a35
0.070 ± 0.001
bc1, b25, a3, d4
16.07 ± 0.24
b12, a34, a5
Ni 501.290 ± 0.046 b0.075 ± 0.005 a17.31 ± 0.51 a3.150 ± 0.191 a0.150 ± 0.026 a22.01 ± 2.72 a3.293 ± 0.014 a0.117 ± 0.013 b28.37 ± 2.60 a
Ni 1000.331 ± 0.020 c0.059 ± 0.008 b5.72 ± 0.41 bc0.425 ± 0.026 b0.022 ± 0.002 c19.35 ± 0.45 b1.185 ± 0.179 c0.117 ± 0.041 b11.82 ± 4.19 c
Ni 50 + EDTA0.152 ± 0.007 c0.021 ± 0.001 c7.40 ± 0.30 b0.189 ± 0.013 c0.058 ± 0.003 b3.26 ± 0.04 c2.210 ± 0.248 b0.156 ± 0.010 a14.00 ± 0.73 c
Ni 100 + EDTA0.154 ± 0.026 c0.024 ± 0.004 c6.38 ± 0.02 b0.212 ± 0.042 c0.065 ± 0.015 b3.34 ± 0.16 c0.131 ± 0.007 d0.052 ± 0.007 c2.60 ± 0.25 d
Cr 500.598 ± 0.138 b0.082 ± 0.003 a7.22 ± 1.45 a2.458 ± 0.161 a0.133 ± 0.018 a18.80 ± 1.30 b0.105 ± 0.021 c0.031 ± 0.007 c3.42 ± 0.26 c
Cr 1000.302 ± 0.097 bc0.040 ± 0.019 b8.67 ± 1.26 s0.549 ± 0.012 c0.036 ± 0.001 b15.11 ± 0.10 c0.275 ± 0.056 c0.065 ± 0.013 b4.24 ± 0.08 c
Cr 50 + EDTA0.145 ± 0.009 cd0.037 ± 0.007 b4.09 ± 0.59 b0.479 ± 0.125 c0.019 ± 0.003 c24.41 ± 3.40 a3.193 ± 0.170 a0.154 ± 0.010 a20.70 ± 0.17 a
Cr 100 + EDTA0.083 ± 0.040 d0.031 ± 0.011 b2.95 ± 1.54 c0.417 ± 0.035 c0.038 ± 0.009 c11.79 ± 1.76 c0.925 ± 0.214 b0.054 ± 0.012 c17.24 ± 0.49 b
Cd 500.128 ± 0.007 b0.046 ± 0.009 c2.97 ± 0.54 b0.194 ± 0.016 b0.018 ± 0.002 c10.94 ± 0.27 b0.216 ± 0.049 c0.017 ± 0.002 c12.24 ± 1.39 b
Cd 1000.085 ± 0.009 c0.073 ± 0.008 b1.16 ± 0.02 c0.197 ± 0.007 b0.023 ± 0.004 c9.15 ± 1.12 b0.251 ± 0.024 c0.068 ± 0.010 a3.71 ± 0.16 c
Cd 50 + EDTA0.115 ± 0.032 b0.042 ± 0.009 c2.63 ± 0.23 b0.065 ± 0.003 c0.015 ± 0.001 c4.44 ± 0.19 c0.077 ± 0.003 b0.057 ± 0.009 b1.36 ± 0.29 c
Cd 100 + EDTA0.065 ± 0.003 c0.037 ± 0.003 c1.78 ± 0.08 c0.190 ± 0.017 b0.012 ± 0.002 d16.95 ± 1.75 ab0.075 ± 0.002 b0.063 ± 0.001 a1.18 ± 0.01 c
Pb 501.247 ± 0.009 b0.061 ± 0.001 c20.54 ± 0.28 a1.450 ± 0.308 b0.061 ± 0.013 b24.03 ± 0.15 a2.089 ± 0.030 b0.129 ± 0.000 b16.24 ± 0.22 a
Pb 1000.532 ± 0.017 c0.029 ± 0.002 d18.69 ± 1.03 b2.013 ± 0.342 a0.097 ± 0.012 a20.56 ± 0.91 a3.380 ± 0.456 a0.221 ± 0.029 a15.29 ± 0.09 a
Pb 50 + EDTA0.498 ± 0.059 c0.025 ± 0.004 d20.45 ± 0.97 a0.685 ± 0.005 c0.041 ± 0.000 c16.73 ± 0.19 b1.228 ± 0.022 c0.095 ± 0.002 c12.94 ± 0.06 ab
Pb 100 + EDTA0.181 ± 0.026 d0.012 ± 0.001 d15.20 ± 0.56 b0.307 ± 0.006 d0.016 ± 0.003 d20.27 ± 3.64 a0.428 ± 0.011 d0.037 ± 0.001 d11.63 ± 0.34 b
Cu 500.024 ± 0.009 c0.004 ± 0.001 d5.88 ± 0.28 c0.431 ± 0.031 c0.052 ± 0.001 a8.23 ± 0.41 b0.308 ± 0.005 c0.041 ± 0.003 c7.61 ± 0.37 d
Cu 1000.018 ± 0.003 c0.005 ± 0.001 d3.51 ± 0.14 d0.136 ± 0.007 d0.016 ± 0.002 c8.58 ± 0.73 b0.299 ± 0.020 c0.045 ± 0.004 c6.73 ± 0.24 d
Cu 50 + EDTA0.658 ± 0.056 b0.034 ± 0.004 c19.29 ± 0.63 a0.867 ± 0.076 a0.050 ± 0.004 a17.16 ± 0.26 a1.341 ± 0.147 a0.104 ± 0.009 a12.86 ± 0.40 b
Cu 100 + EDTA0.233 ± 0.076 b0.015 ± 0.004 d15.09 ± 1.18 b0.521 ± 0.004 bc0.031 ± 0.001 bc16.88 ± 0.22 a0.524 ± 0.044 b0.055 ± 0.005 c9.51 ± 0.144 c
1 Alphabet followed by the number (1 = Ni, 2 = Cr, 3 = Cd, 4 = Pb, and 5 = Cu) represents statistical differences of control to each of the metal concentration. Significantly highest mean was “a” column-wise, followed by later letters for lower means. Similar small letters in the same column within the same metal treatment of the experiment are non-significant. The statistical comparison was made in each metal treatment column with the same control and control + EDTA. Data are presented in means (n = 3 ± SE).
Table 4. Cumulative metal uptake in µg per plant compartment at the time of harvest.
Table 4. Cumulative metal uptake in µg per plant compartment at the time of harvest.
C. roseusC. argentea
LeavesStemRootsLeavesStemRoots
Ni 504.194 ± 0.3352.067 ± 0.4134.602 ± 0.7488.817 ± 0.990 *12.338 ± 2.138 *14.856 ± 0.990 *
Ni 1004.386 ± 0.133 *3.862 ± 0.297 *9.535 ± 0.281 *8.734 ± 1.972 *4.753 ± 0.43214.551 ± 1.972 *
Ni 50 + EDTA2.720 ± 0.0102.632 ± 0.3284.878 ± 0.5055.084 ± 0.2186.427 ± 0.3324.593 ± 0.218
Ni 100 + EDTA4.639 ± 0.546 *4.650 ± 0.172 *9.287 ± 0.429 *8.435 ± 1.21711.707 ± 2.701 *7.307 ± 1.217
Cr 503.942 ± 1.2543.075 ± 0.85410.607 ± 1.5623.004 ± 1.15819.721 ± 2.669 *31.654 ± 1.158 *
Cr 1004.576 ± 1.0986.638 ± 1.10613.392 ± 2.7597.091 ± 0.4679.591 ± 0.26617.826 ± 5.467
Cr 50 + EDTA3.753 ± 0.1397.024 ± 1.08014.125 ± 2.04529.203 ± 3.620 *4.500 ± 0.71019.136 ± 3.620
Cr 100 + EDTA6.356 ± 1.177 *10.280 ± 2.95 *20.156 ± 3.839 *16.121 ± 2.97714.812 ± 3.50822.481 ± 3.977
Cd 505.024 ± 1.9532.024 ± 1.07913.875 ± 2.1963.422 ± 0.1477.559 ± 0.83931.419 ± 6.147
Cd 10011.315 ± 0.969 *4.722 ± 0.337 *19.298 ± 3.963 *26.893 ± 3.93514.682 ± 2.553 *63.286 ± 6.935 *
Cd 50 + EDTA4.001 ± 0.5720.502 ± 0.0934.444 ± 1.08916.222 ± 3.4716.812 ± 0.45430.200 ± 6.471
Cd 100 + EDTA3.346 ± 0.3941.959 ± 0.2127.598 ± 1.27753.164 ± 4.384 *13.611 ± 2.268 *54.073 ± 7.384 *
Pb 505.647 ± 1.4487.415 ± 0.2859.807 ± 0.85918.072 ± 0.73924.340 ± 5.18745.128 ± 2.739 *
Pb 10015.984 ± 2.35114.196 ± 0.709 *19.943 ± 2.359 *55.179 ± 3.043 *54.171 ± 6.701 *44.136 ± 3.043 *
Pb 50 + EDTA8.780 ± 0.70210.365 ± 1.09111.543 ± 1.79316.877 ± 3.32129.632 ± 3.20020.754 ± 3.320
Pb 100 + EDTA21.142 ± 5.529 *13.734 ± 1.694 *19.543 ± 2.017 *21.092 ± 2.06717.519 ± 3.28424.804 ± 2.067
Cu 501.612 ± 0.5251.887 ± 0.3776.961 ± 1.194 *1.193 ± 0.0993.624 ± 0.0690.399 ± 0.099
Cu 1002.130 ± 0.681 *2.951 ± 0.167 *6.940 ± 0.280 *4.779 ± 0.4243.085 ± 0.3852.124 ± 0.424
Cu 50 + EDTA1.366 ± 0.0211.705 ± 0.6824.676 ± 0.1937.343 ± 0.6126.660 ± 0.5335.209 ± 0.612
Cu 100 + EDTA1.213 ± 0.0063.126 ± 0.613 *5.373 ± 1.17912.163 ± 2.458 *11.477 ± 1.370 *9.218 ± 2.458 *
Data are presented in means (n = 3 ± SE). * represent statistically highest mean among all metal treatments.
Table 5. Calculated translocation factor, bioaccumulation coefficient, and bioconcentration factor of Catharanthus roseus and Celosia argentea concerning metal concentrations and EDTA addition.
Table 5. Calculated translocation factor, bioaccumulation coefficient, and bioconcentration factor of Catharanthus roseus and Celosia argentea concerning metal concentrations and EDTA addition.
C. roseusC. argentea
Translocation FactorBioaccumulation CoefficientBioconcentration FactorTranslocation FactorBioaccumulation CoefficientBioconcentration Factor
Ni 500.814 ± 0.3140.064 ± 0.0030.078 ± 0.0080.796 ± 0.1040.054 ± 0.0030.067 ± 0.010
Ni 1000.590 ± 0.2070.048 ± 0.0010.081 ± 0.0061.629 ± 0.131 *0.068 ± 0.005 *0.042 ± 0.002
Ni 50 + EDTA0.829 ± 0.187 *0.086 ± 0.008 *0.104 ± 0.005 *0.656 ± 0.1280.049 ± 0.0020.075 ± 0.002 *
Ni 100 + EDTA0.826 ± 0.166 *0.073 ± 0.0070.089 ± 0.0001.124 ± 0.1960.058 ± 0.0010.052 ± 0.011
Cr 500.466 ± 0.0600.100 ± 0.0050.215 ± 0.0030.635 ± 0.1600.094 ± 0.0050.148 ± 0.003
Cr 1000.577 ± 0.204 *0.106 ± 0.0140.184 ± 0.0150.843 ± 0.1110.072 ± 0.0030.086 ± 0.004
Cr 50 + EDTA0.579 ± 0.019 *0.157 ± 0.009 *0.272 ± 0.007 *0.825 ± 0.0690.164 ± 0.010 *0.199 ± 0.005 *
Cr 100 + EDTA0.571 ± 0.071 *0.123 ± 0.0380.215 ± 0.0040.949 ± 0.081 *0.132 ± 0.0190.139 ± 0.002
Cd 500.396 ± 0.1740.049 ± 0.0040.123 ± 0.015 *0.910 ± 0.2980.111 ± 0.0080.122 ± 0.001
Cd 1000.650 ± 0.2610.059 ± 0.003 *0.090 ± 0.0091.193 ± 0.5240.092 ± 0.0080.077 ± 0.003
Cd 50 + EDTA0.735 ± 0.099 *0.032 ± 0.0040.044 ± 0.0031.027 ± 0.2220.131 ± 0.0120.128 ± 0.010 *
Cd 100 + EDTA0.462 ± 0.0940.028 ± 0.0030.061 ± 0.0001.354 ± 0.142 *0.176 ± 0.005 *0.130 ± 0.005 *
Pb 501.008 ± 0.4870.042 ± 0.0050.041 ± 0.0030.729 ± 0.2710.052 ± 0.0030.071 ± 0.001
Pb 1001.124 ± 0.0900.057 ± 0.0070.051 ± 0.0000.531 ± 0.2530.039 ± 0.0010.073 ± 0.001
Pb 50 + EDTA1.243 ± 0.2090.087 ± 0.0060.070 ± 0.0031.085 ± 0.580 *0.087 ± 0.003 *0.080 ± 0.006
Pb 100 + EDTA1.342 ± 0.198 *0.097 ± 0.008 *0.073 ± 0.001 *0.806 ± 0.2770.089 ± 0.006 *0.100 ± 0.003 *
Cu 500.400 ± 0.0580.063 ± 0.0040.156 ± 0.0040.991 ± 0.1530.031 ± 0.0040.031 ± 0.003
Cu 1000.456 ± 0.2000.044 ± 0.0030.097 ± 0.0140.704 ± 0.3450.047 ± 0.0020.067 ± 0.005
Cu 50 + EDTA0.750 ± 0.227 *0.138 ± 0.017 *0.184 ± 0.032 *1.330 ± 0.114 *0.064 ± 0.0030.048 ± 0.003
Cu 100 + EDTA0.859 ± 0.077 *0.104 ± 0.0060.121 ± 0.0030.962 ± 0.2470.093 ± 0.001 *0.097 ± 0.003 *
Data are presented in means (n = 3 ± SE). * represent statistically highest mean among all metal treatments.
Publisher’s Note: MDPI stays neutral with regard to jurisdictional claims in published maps and institutional affiliations.

Share and Cite

MDPI and ACS Style

Qurban, M.; Mirza, C.R.; Khan, A.H.A.; Khalifa, W.; Boukendakdji, M.; Achour, B.; Yousaf, S.; Nawaz, I.; Butt, T.A.; Iqbal, M. Metal Accumulation Profile of Catharanthus roseus (L.) G.Don and Celosia argentea L. with EDTA Co-Application. Processes 2021, 9, 598. https://doi.org/10.3390/pr9040598

AMA Style

Qurban M, Mirza CR, Khan AHA, Khalifa W, Boukendakdji M, Achour B, Yousaf S, Nawaz I, Butt TA, Iqbal M. Metal Accumulation Profile of Catharanthus roseus (L.) G.Don and Celosia argentea L. with EDTA Co-Application. Processes. 2021; 9(4):598. https://doi.org/10.3390/pr9040598

Chicago/Turabian Style

Qurban, Muneeba, Cyrus Raza Mirza, Aqib Hassan Ali Khan, Walid Khalifa, Mustapha Boukendakdji, Belkacem Achour, Sohail Yousaf, Ismat Nawaz, Tayyab Ashfaq Butt, and Mazhar Iqbal. 2021. "Metal Accumulation Profile of Catharanthus roseus (L.) G.Don and Celosia argentea L. with EDTA Co-Application" Processes 9, no. 4: 598. https://doi.org/10.3390/pr9040598

APA Style

Qurban, M., Mirza, C. R., Khan, A. H. A., Khalifa, W., Boukendakdji, M., Achour, B., Yousaf, S., Nawaz, I., Butt, T. A., & Iqbal, M. (2021). Metal Accumulation Profile of Catharanthus roseus (L.) G.Don and Celosia argentea L. with EDTA Co-Application. Processes, 9(4), 598. https://doi.org/10.3390/pr9040598

Note that from the first issue of 2016, this journal uses article numbers instead of page numbers. See further details here.

Article Metrics

Back to TopTop