The Bi-Level Optimal Configuration Model of the CCHP System Based on the Improved FCM Clustering Algorithm
Abstract
1. Introduction
- (1)
- It improves the FCM clustering algorithm and introduces the PFS index to evaluate a dataset’s geometric structure validity and the Vp index is used to evaluate the membership degree validity. It combines the two indexes using the entropy method to comprehensively evaluate the clustering effectiveness. Afterward, the traversal method automatically finds the optimal cluster number and fuzzy degree coefficients according to the data distribution.
- (2)
- It constructs a bi-level CCHP optimization configuration model. The outer layer is the configuration optimization layer, and the inner layer is the operation optimization layer. Additionally, it brings the clustering results of the improved FCM algorithm into the model. For actual cases, the feasibility and effectiveness of the proposed method are verified through comparative analyses.
2. Improved FCM Clustering Algorithm
2.1. FCM Clustering Algorithm
2.2. Fuzzy Clustering Validity Index
2.2.1. PFS
2.2.2. Vp
2.3. The Entropy Method
- (1)
- Calculate the standardized matrix ,
- (2)
- Calculate the information entropy of each target,
- (3)
- Calculate the weight of each target,
2.4. The Calculation Process of Improved FCM Clustering Algorithm
- (1)
- Suppose the amount of input data is n. Set the fuzzy coefficient, m = 1.1, and the number of clusters, c = 2.
- (2)
- Use the FCM algorithm to cluster the input dataset to obtain the clustering result, S.
- (3)
- Calculate the PFS index and Vp index of the clustering result, S, and save them to vectors y1 and y2, respectively.
- (4)
- The number of clusters, c, increases by 1, repeat steps (2)–(3) until the number of clusters is greater than . Obtain the PFS index vector y1 and Vp index vector y2 of different cluster numbers under the same fuzzy coefficient.
- (5)
- According to the entropy weight method described in Section 2.3., use y1 and y2 to calculate the weights, w1 and w2, of the two indicators.
- (6)
- Calculate the comprehensive evaluation index vector, y3 = w1*y1 + w2*y2, corresponding to the fuzzy coefficient, m, and save it in matrix y.
- (7)
- Fuzzy coefficient m is increased by 0.1, and steps (2)–(6) are repeated until the fuzzy coefficient is greater than 5. Obtain comprehensive evaluation index matrix y under different fuzzy coefficients.
- (8)
- m and c corresponding to the largest comprehensive evaluation index in matrix y are the best fuzzy coefficients and cluster numbers. The clustering result obtained under this parameter is the best clustering result.
2.5. Clustering Validity Test for Load and Weather Data
- (1)
- Set m = 1.1.
- (2)
- Keep the value of m unchanged, and calculate c = 2,3, …19, using the traditional FCM algorithm to cluster the light intensity dataset, and the clustering results are recorded as S2, S3, …S19.
- (3)
- Calculate the PFS indexes y_PFS2, y_PFS3, …y_PFS19, and Vp indexes y_Vp2, y_Vp3, …y_Vp19 of S2, S3…S19, respectively. When m = 1.1, the PFS index and Vp index are shown in Table 2.
- (4)
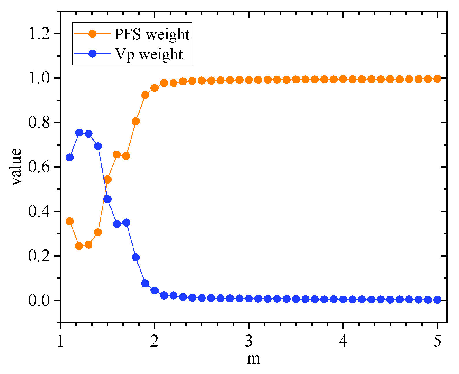
- Taking the vector Y_PFS = [y_PFS2, y_PFS3, …y_PFS19], Y_Vp = [y_Vp2, y_Vp3, …y_Vp19] as input, calculate the index weight according to the entropy weight method described in Section 2.3. When m = 1.1, the weight w1 = 0.356382547, w2 = 0.643617453.
- (5)
- Calculate the comprehensive evaluation index according to the weight, such as y_PFS_Vp2= w1* y_PFS2+ w2* y_Vp2. When m = 1.1, the PFS_Vp index is shown in Table 2.
- (6)
- m = m + 0.1. Repeat steps (2)–(5) until m is greater than 5 to stop the loop.
3. The Mathematical Model of the CCHP System
3.1. System Structure
3.2. Micro Turbine
3.3. Absorption Refrigeration Unit and Electric Refrigeration Unit
3.4. Photovoltaic Panel
3.5. Battery and Thermal Storage Tank
3.6. Gas Boiler and Heat Exchanger
3.7. System Energy Flow
4. Bi-Level Optimization Configuration Model
4.1. Outer Configuration Optimization Model
4.1.1. Decision Variables and Objective Function
4.1.2. Restrictions
4.1.3. Solving Algorithm and Multi-Attribute Decision Making
4.2. Inner Operation Optimization Model
4.2.1. Decision Variables and Objective Function
4.2.2. Constraints and Solving Algorithms
4.3. Model Flow Chart
5. Case Analysis
5.1. Description of the Problem
5.2. Load and Weather Data Clustering Based on Improved FCM Algorithm
5.3. Optimization Configuration Results
5.4. Analysis and Comparison
5.4.1. Compared with a Single-Tier Optimal Configuration Model Based on a Given Operating Mode
- (1)
- Following the electrical load (FEL) mode. The gas generator set in the CCHP system determines its power generation capacity according to the building’s heat under the premise of not exceeding the design capacity. When the heat generated by the system does not meet the demand for cooling and heating loads, it is supplemented by electric refrigerators and electric boilers. When the power generated by the system does not meet the electrical load demand, it is supplemented by the external grid. Since there is no excess heat problem in the system’s operating mode at this time, the energy storage device is not considered.
- (2)
- Following the thermal load (FTL) mode. The gas generator set of the CCHP system determines its power generation capacity according to the electrical load required by the building under the premise of not exceeding its design capacity. When the power generated by the system does not meet the electrical load demand, it is supplemented by the external grid. When the system generates excess heat, the excess heat is stored in the energy storage device. When the heat generated by the system does not meet the demand for cooling and heating loads, it is first replenished by the energy storage device. If it is still not satisfied, it will be supplemented by an electric boiler and an electric refrigerator.
5.4.2. Compared with the Configuration Model Based on the Traditional FCM Clustering Algorithm
5.4.3. Comparison of System Operating Costs before and after Optimized Configuration
6. Conclusions
Author Contributions
Funding
Data Availability Statement
Conflicts of Interest
Abbreviations
| Variables | |
| CCHP | Combined Cooling, Heating and Power |
| FCM | Fuzzy C-means |
| PFS | pseudo-F statistical ratio |
| NSGA-II | Non-dominated Sorting Genetic Algorithm II |
| PSO | Particle swarm optimization |
| FEL | Following the electrical load |
| FTL | Following the thermal load |
| m | the fuzzy coefficient |
| c | the number of clusters |
| natural gas consumption of the micro turbine | |
| the electric power output of the micro turbine | |
| the waste heat power of the micro turbine | |
| power generation efficiency of the micro turbine | |
| waste heat efficiency of the micro turbine | |
| the calorific value of natural gas | |
| the rated power of the micro turbine | |
| the cooling power of absorption refrigeration unit | |
| the input heat power of absorption refrigeration unit | |
| the coefficient of absorption refrigeration unit | |
| the cooling power of electric refrigeration unit | |
| the power consumption of electric refrigeration unit | |
| the energy efficiency ratio of electric refrigeration unit | |
| photovoltaic power | |
| G | the light intensity |
| the maximum test power under standard test conditions | |
| the power temperature coefficient | |
| the working temperature of the battery panel | |
| the ambient temperature | |
| the remaining energy of battery | |
| the input power of battery | |
| the remaining energy of heat storage tank | |
| the input power of heat storage tank | |
| the loss coefficient of battery | |
| the loss coefficient of energy storage | |
| the energy input conversion efficiency of energy storage | |
| the energy output conversion efficiency of energy storage | |
| the output heat power of the heat exchanger | |
| the input heat power of the heat exchanger | |
| the heating power of the gas boiler | |
| the gas consumption of gas boiler | |
| the efficiency of gas boiler | |
| the efficiency of heat exchanger | |
| the proportion of the waste heat of the micro turbine distributed to the absorption chiller for refrigeration | |
| the value of cold load | |
| the value of heat load | |
| the value of the electrical load other than the power consumption of the electric refrigerator | |
| the system’s own electric power | |
| the system’s own electricity consumption rate | |
| the power purchased by the grid | |
| the heat release power of the heat storage tank | |
| the battery discharge power | |
| the photovoltaic output power | |
| the annual conversion investment cost of the microgrid | |
| k | the total number of scenes |
| T | the number of time periods divided in a day |
| the operating cost of the microgrid at time t in the s scenario | |
| the rated installation capacities of photovoltaic | |
| the rated installation capacities of thermal storage tanks | |
| the maximum charge and discharge power | |
| the rated installation capacity of the battery | |
| the unit capacity cost of photovoltaic | |
| the unit capacity cost of thermal storage tank | |
| the unit power cost | |
| the unit capacity cost | |
| the service life of the battery | |
| the planned service life of the system | |
| the discount rate | |
| the scene probability | |
| the carbon dioxide emissions produced by gas | |
| the equivalent carbon dioxide emissions of the electricity purchased by the power grid | |
| the carbon dioxide conversion coefficient of natural gas | |
| the carbon dioxide conversion coefficient of utility power | |
| the operation and maintenance costs of micro turbine | |
| the operation and maintenance costs of photovoltaic | |
| the operation and maintenance costs of absorption chillers | |
| the operation and maintenance costs of electric chillers | |
| the operation and maintenance costs of heat exchangers | |
| the operation and maintenance costs of batteries | |
| the operation and maintenance costs of heat storage tanks | |
| the maximum charging power of the battery | |
| the maximum discharging power of the battery | |
| the ratio of the minimum load capacity of the battery | |
| the ratio of the maximum load capacity of the battery | |
References
- Wang, J.; Lu, Z.; Li, M.; Lior, N.; Li, W. Energy, exergy, exergoeconomic and environmental (4E) analysis of a distributed generation solar-assisted CCHP (combined cooling, heating and power) gas turbine system. Energy 2019, 175, 1246–1258. [Google Scholar] [CrossRef]
- Gu, W.; Wu, Z.; Bo, R.; Liu, W.; Zhou, G.; Chen, W.; Wu, Z. Modeling, planning and optimal energy management of combined cooling, heating and power microgrid: A review. Int. J. Electr. Power Energy Syst. 2014, 54, 26–37. [Google Scholar] [CrossRef]
- Yang, G.; Zhai, X. Optimization and performance analysis of solar hybrid CCHP systems under different operation strategies. Appl. Therm. Eng. 2018, 133, 327–340. [Google Scholar] [CrossRef]
- Zhang, L.; Zhang, L.; Sun, B.; Zhang, C.; Li, F. Nested optimization design for combined cooling, heating, and power system coupled with solar and biomass energy. Int. J. Electr. Power Energy Syst. 2020, 123, 106236. [Google Scholar] [CrossRef]
- Wang, J.; Qi, X.; Ren, F.; Zhang, G.; Wang, J. Optimal design of hybrid combined cooling, heating and power systems considering the uncertainties of load demands and renewable energy sources. J. Clean. Prod. 2021, 281, 125357. [Google Scholar] [CrossRef]
- Afzali, S.F.; Mahalec, V.J.E. Optimal design, operation and analytical criteria for determining optimal operating modes of a CCHP with fired HRSG, boiler, electric chiller and absorption chiller. Energy 2017, 139, 1052–1065. [Google Scholar] [CrossRef]
- Zheng, L.; Wang, X.; Jiang, B. Multi-Objective Optimal Configuration of the CCHP System. Processes 2020, 8, 351. [Google Scholar] [CrossRef]
- Zhang, L.Z.; Li, F.; Sun, B.; Zhang, C.H. Integrated Optimization Design of Combined Cooling, Heating, and Power System Coupled with Solar and Biomass Energy. Energies 2019, 12, 21. [Google Scholar] [CrossRef]
- Wegener, M.; Malmquist, A.; Isalgue, A.; Martin, A.; Arranz, P.; Camara, O.; Velo, E. A techno-economic optimization model of a biomass-based CCHP/heat pump system under evolving climate conditions. Energy Convers. Manag. 2020, 223, 113256. [Google Scholar] [CrossRef]
- Zhu, X.Y.; Zhan, X.Y.; Liang, H.; Zheng, X.Y.; Qiu, Y.W.; Lin, J.; Chen, J.C.; Meng, C.; Zhao, Y.R. The optimal design and operation strategy of renewable energy-CCHP coupled system applied in five building objects. Renew. Energy 2020, 146, 2700–2715. [Google Scholar] [CrossRef]
- Afzali, S.F.; Cotton, J.S.; Mahalec, V. Urban community energy systems design under uncertainty for specified levels of carbon dioxide emissions. Appl. Energy 2020, 259, 114084. [Google Scholar] [CrossRef]
- Luo, Z.; Yang, S.; Xie, N.; Xie, W.; Liu, J.; Souley Agbodjan, Y.; Liu, Z. Multi-objective capacity optimization of a distributed energy system considering economy, environment and energy. Energy Convers. Manag. 2019, 200, 112081. [Google Scholar] [CrossRef]
- Guo, L.; Liu, W.J.; Cai, J.J.; Hong, B.W.; Wang, C.S. A two-stage optimal planning and design method for combined cooling, heat and power microgrid system. Energy Convers. Manag. 2013, 74, 433–445. [Google Scholar] [CrossRef]
- Lv, S.; Li, J.; Guo, Y.; Shi, Z. A Typical Distributed Generation Scenario Reduction Method Based on an Improved Clustering Algorithm. Appl. Sci. 2019, 9, 4262. [Google Scholar] [CrossRef]
- Charwand, M.; Gitizadeh, M.; Siano, P.; Chicco, G.; Moshavash, Z. Clustering of electrical load patterns and time periods using uncertainty-based multi-level amplitude thresholding. Int. J. Electr. Power Energy Syst. 2020, 117, 105624. [Google Scholar] [CrossRef]
- Yu, F.H.; Xu, H.K.; Wang, L.M.; Zhou, X.J. An Improved Automatic FCM Clustering Algorithm; IEEE: New York, NY, USA, 2010. [Google Scholar]
- Liu, J.W.; Xu, M.Z. Kernelized fuzzy attribute C-means clustering algorithm. Fuzzy Sets Syst. 2008, 159, 2428–2445. [Google Scholar] [CrossRef]
- Fahad, A.; Alshatri, N.; Tari, Z.; Alamri, A.; Khalil, I.; Zomaya, A.Y.; Foufou, S.; Bouras, A. A Survey of Clustering Algorithms for Big Data: Taxonomy and Empirical Analysis. IEEE Trans. Emerg. Top. Comput. 2014, 2, 267–279. [Google Scholar] [CrossRef]
- Yu, Q.; Ding, Z. Improved Canopy-FCM algorithm based on MapReduce. In Proceedings of the 2016 9th International Congress on Image and Signal Processing, BioMedical Engineering and Informatics (CISP-BMEI), Datong, China, 15–17 October 2016; IEEE: New York, NY, USA, 2016. [Google Scholar]
- Zheng, Y.H.; Jeon, B.; Xu, D.H.; Wu, Q.M.J.; Zhang, H. Image segmentation by generalized hierarchical fuzzy C-means algorithm. J. Intell. Fuzzy Syst. 2015, 28, 961–973. [Google Scholar] [CrossRef]
- Wang, Z.J.; Zhou, R.J. Web log mining based on improved FCM clustering algorithm. In International Conference on Image Processing and Pattern Recognition in Industrial Engineering; Du, Z., Liu, B., Eds.; SPIE—International Society for Optics and Photonics: Bellingham, WA, USA, 2010; Volume 7820. [Google Scholar]
- Chen, X.G. Improvement of FCM Clustering Analysis Approach Based on the Weighted Indicator Variable. In Proceedings of the 3rd International Institute of Statistics and Management Engineering Symposium, Weihai, China, 24–29 July 2010; pp. 345–350. [Google Scholar]
- Cebeci, Z.; Cebeci, C. kpeaks: An R Package for Quick Selection of K for Cluster Analysis. In Proceedings of the 2018 International Conference on Artificial Intelligence and Data Processing (IDAP), Malatya, Turkey, 28–30 September 2018; IEEE: New York, NY, USA, 2018. [Google Scholar]
- Xu, Y.J. Optimization of the clusters number of an improved fuzzy C-means clustering algorithm. In Proceedings of the 2015 10th International Conference on Computer Science & Education (ICCSE), Cambridge, UK, 22–24 July 2015; IEEE: New York, NY, USA, 2015; pp. 931–935. [Google Scholar]
- Zhu, L.F.; Wang, J.S.; Wang, H.Y. A Novel Clustering Validity Function of FCM Clustering Algorithm. IEEE Access 2019, 7, 152289–152315. [Google Scholar] [CrossRef]
- Liu, Y.; Li, Z.; Xiong, H.; Gao, X.; Wu, J.; Wu, S. Understanding and Enhancement of Internal Clustering Validation Measures. IEEE Trans. Cybern. 2013, 43, 982–994. [Google Scholar] [CrossRef]
- Arbelaitz, O.; Gurrutxaga, I.; Muguerza, J.; Pérez, J.M.; Perona, I. An extensive comparative study of cluster validity indices. Pattern Recognit. 2013, 46, 243–256. [Google Scholar] [CrossRef]
- Bezdek, J.C. Numerical taxonomy with fuzzy sets. J. Math. Biol. 1974, 1, 57–71. [Google Scholar] [CrossRef]
- Kim, Y.-I.; Kim, D.-W.; Lee, D.; Lee, K.H. A cluster validation index for GK cluster analysis based on relative degree of sharing. Inf. Sci. 2004, 168, 225–242. [Google Scholar] [CrossRef]
- Kim, D.W.; Lee, K.H.; Lee, D. On cluster validity index for estimation of the optimal number of fuzzy clusters. Pattern Recognit. 2004, 37, 2009–2025. [Google Scholar] [CrossRef]
- Roubens, M. Pattern classification problems and fuzzy sets. Fuzzy Sets Syst. 1978, 1, 239–253. [Google Scholar] [CrossRef]
- Chen, M.-Y.; Linkens, D.A. Rule-Base Self-Generation and Simplification for Data-Driven Fuzzy Models. In Proceedings of the 10th IEEE International Conference on Fuzzy Systems, Melbourne, VIC, Australia, 2–5 December 2001. [Google Scholar]
- Wang, C.X.; Yan, C.J. Comparison of Four Kinds of Fuzzy C-Means Clustering Methods and Their Applications on Posture Classification; Academy Publisher: Oulu, Finland, 2009; pp. 382–385. [Google Scholar]
- Vogel, M.A.; Wong, A.K. PFS Clustering Method. IEEE Trans. Pattern Anal. Mach. Intell. 1979, 1, 237. [Google Scholar] [CrossRef] [PubMed]
- Caliński, T.; Harabasz, J. A dendrite method for cluster analysis. Commun. Stat. 1974, 3, 1–27. [Google Scholar]
- Milligan, G.W.; Cooper, M.C. An examination of procedures for determining the number of clusters in a data set. Psychometrika 1985, 50, 159–179. [Google Scholar] [CrossRef]
- Chen, W.J.; Dong, H.L.; Wu, Q.F.; Lin, L. Research on Fuzzy Clustering Validity. In Advances in Science and Engineering, Pts 1 and 2; Zhilin, Z., Wang, P., Eds.; Trans Tech Publications Ltd.: Yantai, China, 2011; Volume 40–41, pp. 174–182. [Google Scholar]
- Wang, J.-J.; Jing, Y.-Y.; Zhang, C.-F.; Zhao, J.-H. Review on multi-criteria decision analysis aid in sustainable energy decision-making. Renew. Sustain. Energy Rev. 2009, 13, 2263–2278. [Google Scholar] [CrossRef]
- Ozkan, I.; Turksen, I.B. Upper and Lower Values for the Level of Fuzziness in FCM. Fuzzy Log. 2007, 177, 5143–5152. [Google Scholar]
- Wei, D.; Chen, A.; Sun, B.; Zhang, C. Multi-objective optimal operation and energy coupling analysis of combined cooling and heating system. Energy 2016, 98, 296–307. [Google Scholar] [CrossRef]
- Wang, J.-J.; Jing, Y.-Y.; Zhang, C.-F. Optimization of capacity and operation for CCHP system by genetic algorithm. Appl. Energy 2010, 87, 1325–1335. [Google Scholar] [CrossRef]
- Ren, F.; Wang, J.; Zhu, S.; Chen, Y. Multi-objective optimization of combined cooling, heating and power system integrated with solar and geothermal energies. Energy Convers. Manag. 2019, 197. [Google Scholar] [CrossRef]
- Cao, Y.; Wang, Q.; Du, J.; Nojavan, S.; Jermsittiparsert, K.; Ghadimi, N. Optimal operation of CCHP and renewable generation-based energy hub considering environmental perspective: An epsilon constraint and fuzzy methods. Sustain. Energy, Grids Networks 2019, 20, 100274. [Google Scholar] [CrossRef]
- Hu, R.; Ma, J.; Li, Z.; Lü, Q.; Zhang, D.; Qian, X. Optimal allocation and applicability analysis of distributed combined cooling-heating-power system. Power Syst. Technol. 2017, 41, 418–425. [Google Scholar]



















| Scene Number | Probability of Temperature Scene | Probability of Lighting Scene | Load Scenario Probability |
|---|---|---|---|
| 1 | 7.95% | 4.38% | 12.05% |
| 2 | 6.03% | 9.32% | 2.74% |
| 3 | 11.78% | 5.48% | 4.93% |
| 4 | 4.11% | 6.85% | 7.12% |
| 5 | 3.56% | 7.67% | 18.08% |
| 6 | 3.01% | 2.74% | 8.49% |
| 7 | 6.03% | 5.21% | 8.49% |
| 8 | 11.78% | 6.03% | 1.92% |
| 9 | 4.38% | 9.86% | 6.85% |
| 10 | 1.37% | 5.75% | 9.59% |
| 11 | 4.38% | 5.21% | 3.84% |
| 12 | 6.85% | 3.29% | 4.66% |
| 13 | 1.64% | 8.77% | 3.56% |
| 14 | 6.58% | 4.11% | 4.93% |
| 15 | 4.38% | 8.49% | 1.64% |
| 16 | 7.12% | 6.85% | 1.10% |
| 17 | 3.56% | —— | —— |
| 18 | 5.48% | —— | —— |
| c | PFS | Vp | PFS_Vp |
|---|---|---|---|
| 2 | 2.200036 | 0.784055 | |
| 3 | 4.363254 | 1.554988 | |
| 4 | 6.466143 | 2.304421 | |
| 5 | 8.487213 | 3.024695 | |
| 6 | 10.40768 | 3.709114 | |
| 7 | 12.21195 | 4.352125 | |
| 8 | 13.88793 | 4.949416 | |
| 9 | 15.4271 | 5.497951 | |
| 10 | 16.82442 | 5.99593 | |
| 11 | 18.07806 | 6.442704 | |
| 12 | 19.18904 | 6.838638 | |
| 13 | 20.16081 | 7.184961 | |
| 14 | 20.99879 | 7.483601 | |
| 15 | 21.70987 | 7.737019 | |
| 16 | 22.30203 | 7.948056 | |
| 17 | 22.78393 | 8.119796 | |
| 18 | 23.16457 | 8.255449 | |
| 19 | 23.45302 | 8.358246 |
| Parameter | Value | Parameter | Value | Parameter | Value |
|---|---|---|---|---|---|
| 800 kW | 349 kW*3 + 180 kW*1 | 0.88 | |||
| 872 kW | 5.54 & 5.6 | 0.01 | |||
| 1.2 | 2462 kW | 150 kW | |||
| 780 kW | 0.9 | 200 kW | |||
| 0.8 | 0.067 | 0.95 | |||
| 300 kW | 2.3 | 0 | |||
| 0.97 | 0.03 yuan/kWh | 0.08 yuan/kWh | |||
| 0.02 | 0.025 yuan/kWh | 0.02 yuan/kWh | |||
| 100 kW | 0.01 yuan/kWh | 0.016 yuan/kWh | |||
| 0.9 | 0.025 yuan/kWh | 0.23 | |||
| 0.2 | 0.02 yuan/kWh | 0.972 kg/kWh | |||
| 1.1098 yuan/kWh (7:00–11:00, 19:00–23:00); | |||||
| 0.7504 yuan/kWh (11:00–19:00); | |||||
| 0.3911 yuan/kWh (23:00–7:00) | |||||
| No. | Ppv | Ees | Pes | Ehs | f1 | f2 | No. | Ppv | Ees | Pes | Ehs | f1 | f2 |
|---|---|---|---|---|---|---|---|---|---|---|---|---|---|
| 1 | 102 | 135 | 178 | 303 | 6,624,241 | 7,255,373 | 26 | 310 | 134 | 110 | 492 | 7,068,870 | 7,002,639 |
| 2 | 103 | 120 | 180 | 307 | 6,627,559 | 7,232,301 | 27 | 321 | 134 | 111 | 486 | 7,081,129 | 6,997,209 |
| 3 | 101 | 135 | 179 | 287 | 6,628,379 | 7,256,557 | 28 | 335 | 129 | 115 | 478 | 7,101,363 | 6,964,088 |
| 4 | 101 | 142 | 185 | 305 | 6,628,904 | 7,211,204 | 29 | 334 | 127 | 115 | 478 | 7,111,486 | 6,961,011 |
| 5 | 102 | 170 | 161 | 357 | 6,634,380 | 7,230,568 | 30 | 333 | 127 | 115 | 479 | 7,117,842 | 6,991,920 |
| 6 | 115 | 164 | 174 | 352 | 6,697,833 | 7,211,654 | 31 | 343 | 132 | 116 | 482 | 7,120,329 | 6,952,122 |
| 7 | 126 | 164 | 175 | 356 | 6,703,487 | 7,200,944 | 32 | 351 | 128 | 108 | 458 | 7,139,012 | 6,947,780 |
| 8 | 148 | 162 | 157 | 332 | 6,721,298 | 7,161,418 | 33 | 343 | 143 | 116 | 494 | 7,143,969 | 6,931,829 |
| 9 | 159 | 132 | 141 | 365 | 6,723,092 | 7,145,922 | 34 | 353 | 131 | 113 | 454 | 7,154,276 | 6,928,483 |
| 10 | 150 | 133 | 155 | 364 | 6,724,757 | 7,156,029 | 35 | 357 | 138 | 110 | 447 | 7,159,408 | 6,924,401 |
| 11 | 160 | 133 | 155 | 364 | 6,753,346 | 7,134,707 | 36 | 375 | 114 | 109 | 452 | 7,173,281 | 6,919,122 |
| 12 | 156 | 132 | 145 | 365 | 6,754,448 | 7,141,065 | 37 | 367 | 140 | 101 | 432 | 7,175,483 | 6,915,743 |
| 13 | 181 | 334 | 102 | 199 | 6,832,967 | 7,114,179 | 38 | 374 | 136 | 109 | 446 | 7,176,399 | 6,906,823 |
| 14 | 186 | 325 | 105 | 194 | 6,834,544 | 7,118,199 | 39 | 372 | 136 | 109 | 446 | 7,187,486 | 6,901,102 |
| 15 | 189 | 325 | 106 | 193 | 6,842,776 | 7,101,519 | 40 | 383 | 154 | 100 | 472 | 7,201,504 | 6,895,461 |
| 16 | 194 | 324 | 102 | 198 | 6,866,794 | 7,101,474 | 41 | 383 | 155 | 100 | 473 | 7,206,517 | 6,895,513 |
| 17 | 201 | 330 | 103 | 195 | 6,883,223 | 7,098,761 | 42 | 391 | 119 | 104 | 448 | 7,213,183 | 6,874,998 |
| 18 | 213 | 331 | 103 | 205 | 6,883,863 | 7,095,332 | 43 | 392 | 170 | 105 | 449 | 7,252,047 | 6,879,032 |
| 19 | 204 | 306 | 152 | 234 | 6,885,253 | 7,110,427 | 44 | 404 | 168 | 107 | 452 | 7,254,693 | 6,874,154 |
| 20 | 214 | 325 | 106 | 212 | 6,887,530 | 7,067,371 | 45 | 404 | 163 | 114 | 433 | 7,261,429 | 6,871,308 |
| 21 | 209 | 337 | 114 | 188 | 6,895,676 | 7,089,063 | 46 | 405 | 163 | 107 | 453 | 7,269,018 | 6,841,216 |
| 22 | 213 | 330 | 106 | 211 | 6,902,767 | 7,074,296 | 47 | 415 | 171 | 108 | 458 | 7,287,006 | 6,865,981 |
| 23 | 224 | 365 | 100 | 189 | 6,926,245 | 7,049,328 | 48 | 424 | 185 | 108 | 460 | 7,339,251 | 6,852,201 |
| 24 | 229 | 332 | 105 | 187 | 6,933,234 | 7,044,454 | 49 | 464 | 553 | 158 | 486 | 7,516,527 | 6,844,550 |
| 25 | 239 | 333 | 121 | 248 | 6,965,539 | 7,047,380 | 50 | 464 | 548 | 160 | 488 | 7,569,934 | 6,837,387 |
Publisher’s Note: MDPI stays neutral with regard to jurisdictional claims in published maps and institutional affiliations. |
© 2021 by the authors. Licensee MDPI, Basel, Switzerland. This article is an open access article distributed under the terms and conditions of the Creative Commons Attribution (CC BY) license (https://creativecommons.org/licenses/by/4.0/).
Share and Cite
Zhang, K.; Feng, P.; Zhang, G.; Xie, T.; Hou, J.; He, X. The Bi-Level Optimal Configuration Model of the CCHP System Based on the Improved FCM Clustering Algorithm. Processes 2021, 9, 907. https://doi.org/10.3390/pr9060907
Zhang K, Feng P, Zhang G, Xie T, Hou J, He X. The Bi-Level Optimal Configuration Model of the CCHP System Based on the Improved FCM Clustering Algorithm. Processes. 2021; 9(6):907. https://doi.org/10.3390/pr9060907
Chicago/Turabian StyleZhang, Kaoshe, Peiji Feng, Gang Zhang, Tuo Xie, Jinwang Hou, and Xin He. 2021. "The Bi-Level Optimal Configuration Model of the CCHP System Based on the Improved FCM Clustering Algorithm" Processes 9, no. 6: 907. https://doi.org/10.3390/pr9060907
APA StyleZhang, K., Feng, P., Zhang, G., Xie, T., Hou, J., & He, X. (2021). The Bi-Level Optimal Configuration Model of the CCHP System Based on the Improved FCM Clustering Algorithm. Processes, 9(6), 907. https://doi.org/10.3390/pr9060907

