Labeling of Hinokitiol with 90Y for Potential Radionuclide Therapy of Hepatocellular Carcinoma
Abstract
1. Introduction
2. Materials and Methods
2.1. 90Y Radiolabeling
2.2. Extraction in Organic Phase and Log P Determination
2.3. Automated Preparation of 90Y-Hinokitiol/Lipiodol
2.4. Stability
2.5. Over Time Release in the Aqueous Phase
3. Results
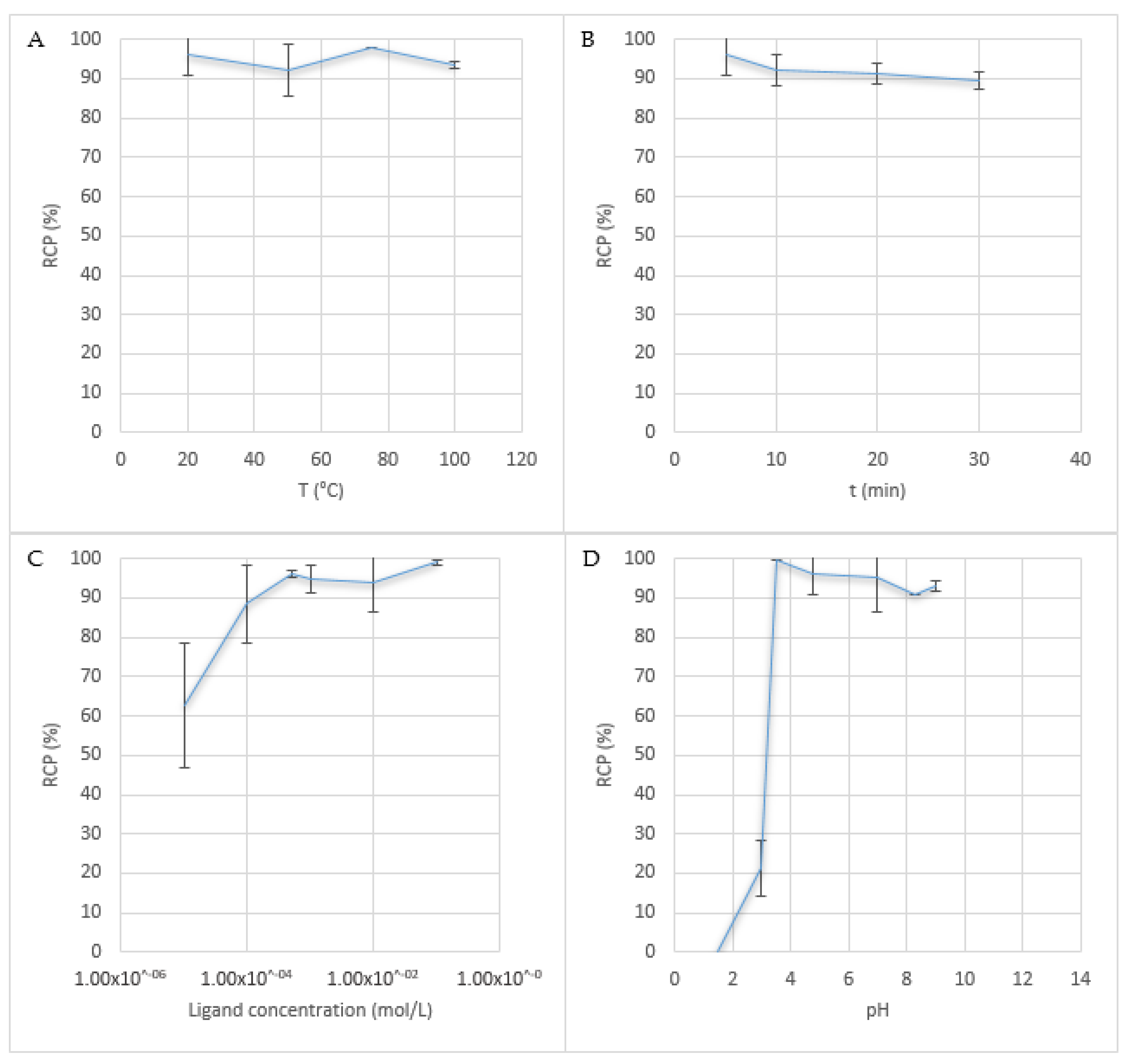
3.1. Preparation of 90Y-Hinokitiol
3.2. Extraction of 90Y-Hinokitiol in Organic Phase and Log P Determination
3.3. Automated Preparation of 90Y-Hinokitiol/Lipiodol
3.4. In Vitro Stability
3.5. Over Time Release in the Aqueous Phase
4. Discussion
5. Conclusions
Author Contributions
Funding
Institutional Review Board Statement
Informed Consent Statement
Data Availability Statement
Conflicts of Interest
References
- Akinyemiju, T.; Abera, S.; Ahmed, M.; Alam, N.; Alemayohu, M.A.; Allen, C.; Al-Raddadi, R.; Alvis-Guzman, N.; Amoako, Y.; Artaman, A.; et al. The Burden of Primary Liver Cancer and Underlying Etiologies from 1990 to 2015 at the Global, Regional, and National Level: Results from the Global Burden of Disease Study 2015. JAMA Oncol. 2017, 3, 1683–1691. [Google Scholar] [CrossRef]
- Sung, H.; Ferlay, J.; Siegel, R.L.; Laversanne, M.; Soerjomataram, I.; Jemal, A.; Bray, F. Global Cancer Statistics 2020: GLOBOCAN Estimates of Incidence and Mortality Worldwide for 36 Cancers in 185 Countries. CA Cancer J. Clin. 2020, 68, 394–424. [Google Scholar] [CrossRef]
- de Ridder, J.; de Wilt, J.H.; Simmer, F.; Overbeek, L.; Lemmens, V.; Nagtegaal, I. Incidence and origin of histologically confirmed liver metastases: An explorative case-study of 23,154 patients. Oncotarget 2016, 7, 55368–55376. [Google Scholar] [CrossRef]
- Ahmed, I.; Lobo, D.N. Malignant tumours of the liver. Surgery 2009, 27, 30–37. [Google Scholar] [CrossRef]
- Altekruse, S.F.; Devesa, S.S.; Dickie, L.A.; McGlynn, K.A.; Kleiner, D.E. Histological classification of liver and intrahepatic bile duct cancers in SEER registries. J. Regist. Manag. 2011, 38, 201–205. [Google Scholar]
- Frager, S.Z.; Schwartz, J.M. Hepatocellular Carcinoma: Epidemiology, Screening, and Assessment of Hepatic Reserve. Curr. Oncol. 2020, 27, 138–143. [Google Scholar] [CrossRef] [PubMed]
- Johnston, C.J.C.; Healey, A.J. Malignant tumours of the liver. Surgery 2020, 38, 480–486. [Google Scholar] [CrossRef]
- Zhu, R.X.; Seto, W.K.; Lai, C.L.; Yuen, M.F. Epidemiology of Hepatocellular Carcinoma in the Asia-Pacific Region. Gut Liver 2016, 10, 332–339. [Google Scholar] [CrossRef] [PubMed]
- Petrick, J.L.; Florio, A.A.; Znaor, A.; Ruggieri, D.; Laversanne, M.; Alvarez, C.S.; Ferlay, J.; Valery, P.C.; Bray, F.; McGlynn, K.A. International trends in hepatocellular carcinoma incidence, 1978–2012. Int. J. Cancer 2020, 147, 317–330. [Google Scholar] [CrossRef]
- Kulik, L.; El-Serag, H.B. Epidemiology and Management of Hepatocellular Carcinoma. Gastroenterology 2019, 156, 477.e1–491.e1. [Google Scholar] [CrossRef]
- Yang, J.D.; Hainaut, P.; Gores, G.J.; Amadou, A.; Plymoth, A.; Roberts, L.R. A global view of hepatocellular carcinoma: Trends, risk, prevention and management. Nat. Rev. Gastroenterol. Hepatol. 2019, 16, 589–604. [Google Scholar] [CrossRef]
- Lencioni, R. Loco-Regional Treatment of Hepatocellular Carcinoma. Hepatology 2010, 52, 762–773. [Google Scholar] [CrossRef]
- Liapi, E.; Geschwind, J.F. Intra-arterial therapies for hepatocellular carcinoma: Where do we stand? Ann. Surg. Oncol. 2010, 17, 1234–1246. [Google Scholar] [CrossRef]
- Edeline, J.; Gilabert, M.; Garin, E.; Boucher, E.; Raoul, J.L. Yttrium-90 microsphere radioembolization for hepatocellular carcinoma. Liver Cancer 2015, 4, 16–25. [Google Scholar] [CrossRef]
- Bouvry, C.; Palard, X.; Edeline, J.; Ardisson, V.; Loyer, P.; Garin, E.; Lepareur, N. Transarterial Radioembolization (TARE) Agents beyond 90Y-Microspheres. Biomed Res. Int. 2018, 2018, 1435302. [Google Scholar] [CrossRef]
- Ahmadzadehfar, H.; Sabet, A.; Wilhelm, K.; Biersack, H.J.; Risse, J. Iodine-131-lipiodol therapy in hepatic tumours. Methods 2011, 55, 246–252. [Google Scholar] [CrossRef] [PubMed]
- Idée, J.M.; Guiu, B. Use of Lipiodol as a drug-delivery system for transcatheter arterial chemoembolization of hepatocellular carcinoma: A review. Crit. Rev. Oncol. Hematol. 2013, 88, 530–549. [Google Scholar] [CrossRef]
- Lepareur, N.; Ardisson, V.; Noiret, N.; Garin, E. 188Re-SSS/Lipiodol: Development of a Potential Treatment for HCC from Bench to Bedside. Int. J. Mol. Imaging 2012, 2012, 278306. [Google Scholar] [CrossRef]
- Delaunay, K.; Edeline, J.; Rolland, Y.; Lepareur, N.; Laffont, S.; Palard, X.; Bouvry, C.; Le Sourd, S.; Pracht, M.; Ardisson, V.; et al. Preliminary results of the Phase 1 Lip-Re I clinical trial: Biodistribution and dosimetry assessments in hepatocellular carcinoma patients treated with 188Re-SSS Lipiodol radioembolization. Eur. J. Nucl. Med. Mol. Imaging 2019, 46, 1506–1517. [Google Scholar] [CrossRef]
- Laffont, S.; Rolland, Y.; Ardisson, V.; Edeline, J.; Pracht, M.; Le Sourd, S.; Rohou, T.; Lenoir, L.; Lepareur, N.; Garin, E. Occupational radiation exposure of medical staff performing ⁹⁰Y-loaded microsphere radioembolization. Eur. J. Nucl. Med. Mol. Imaging 2016, 43, 824–831. [Google Scholar] [CrossRef]
- Tickner, B.J.; Stasiuk, G.J.; Duckett, S.B.; Angelovski, G. The use of yttrium in medical imaging and therapy: Historical background and future perspectives. Chem. Soc. Rev. 2020, 49, 6169–6185. [Google Scholar] [CrossRef]
- Wang, S.J.; Lin, W.Y.; Lui, W.Y.; Chen, M.N.; Tsai, Z.T.; Ting, G. Hepatic artery injection of yttrium-90-lipiodol: Biodistribution in rats with hepatoma. J. Nucl. Med. 1996, 37, 332–335. [Google Scholar]
- Yu, J.; Häfeli, U.O.; Sands, M.; Dong, Y. 90Y-oxine ethiodol, a potential radiopharmaceutical for the treatment of liver cancer. Appl. Radiat. Isot. 2003, 58, 567–573. [Google Scholar] [CrossRef]
- Mu, P.Y.; Jiang, X.L.; Chen, J.; Wang, J.C.; He, Q.; Zhu, Y.J.; Jin, M.J.; Li, F. Research on extracted 90Y with P204 in lipiodol for liver cancer. J. Radioanal. Nucl. Chem. 2007, 272, 669–671. [Google Scholar] [CrossRef]
- Lopez, A.; Noiret, N.; Garin, E.; Lepareur, N. Mixed-ligand complexes of yttrium-90 dialkyldithiocarbamates with 1,10-phenanthroline as a possible agent for therapy of hepatocellular carcinoma. Appl. Radiat. Isot. 2014, 94, 241–246. [Google Scholar] [CrossRef]
- Thakur, M.L.; Coss, R.; Howell, R.; Vassileva-Belnikolovska, D.; Liu, J.; Rao, S.P.; Spana, G.; Wachsberger, P.; Leeper, D.L. Role of lipid-soluble complexes in targeted tumor therapy. J. Nucl. Med. 2003, 44, 1293–1300. [Google Scholar] [PubMed]
- Savić-Gajić, I.M.; Savić, I.M. Drug design strategies with metal-hydroxyquinoline complexes. Expert Opin. Drug Discov. 2020, 15, 383–390. [Google Scholar] [CrossRef] [PubMed]
- Giraudo, C.; Evangelista, L.; Fraia, A.S.; Lupi, A.; Quaia, E.; Cecchin, D.; Casali, M. Molecular Imaging of Pulmonary Inflammation and Infection. Int. J. Mol. Sci. 2020, 21, 894. [Google Scholar] [CrossRef]
- Firsching, F.H.; Cuca, R.C. Solubility products of the rare-earth 8-Quinolinates. J. Chem. Eng. Data 1981, 26, 116–118. [Google Scholar] [CrossRef]
- Das, T.; Chakraborty, S.; Sarma, H.D.; Venkatesh, M.; Banerjee, S. Preparation of 166Ho-oxine-lipiodol and its preliminary bioevaluation for the potential application in therapy of liver cancer. Nucl. Med. Commun. 2009, 30, 362–367. [Google Scholar] [CrossRef] [PubMed]
- Subramanian, S.; Das, T.; Chakraborty, S.; Sarma, H.D.; Banerjee, S.; Samuel, G.; Venkatesh, M. Preparation of 177Lu-labeled oxine in lipiodol as a possible agent for therapy of hepatocellular carcinoma: A Preliminary Animal Study. Cancer Biother. Radiopharm. 2010, 25, 539–543. [Google Scholar] [CrossRef]
- Welch, M.J.; Thakur, M.L.; Coleman, R.E.; Patel, M.; Siegel, B.A.; Ter-Pogossian, M. Gallium-68 labeled red cells and platelets: New agents for positron tomography. J. Nucl. Med. 1977, 18, 558–562. [Google Scholar] [PubMed]
- Loken, M.K.; Clay, M.E.; Carpenter, R.T.; Boudreau, R.J.; McCullough, J.J. Clinical use of indium-111 labeled blood products. Clin. Nucl. Med. 1985, 10, 902–911. [Google Scholar] [CrossRef] [PubMed]
- Datz, F.L.; Bedont, R.A.; Baker, W.J.; Alazraki, N.P.; Taylor, A., Jr. No difference in sensitivity for occult infection between tropolone- and oxine-labeled indium-111 leukocytes. J. Nucl. Med. 1985, 26, 469–473. [Google Scholar] [PubMed]
- Vallabhajosula, S.; Machac, J.; Goldsmith, S.J.; Lipszyc, H.; Badimon, L.; Rand, J.; Fuster, V. Indium-111 platelet kinetics in normal human subjects: Tropolone versus oxine methods. J. Nucl. Med. 1986, 27, 1669–1674. [Google Scholar]
- Hendershott, L.; Gentilcore, R.; Ordway, F.; Fletcher, J.; Donati, R. Tropolone: A lipid solubilizing agent for cationic metals. Eur. J. Nucl. Med. 1982, 7, 234–236. [Google Scholar] [CrossRef] [PubMed]
- Schmaljohann, J.; Karanikas, G.; Sinzinger, H. Synthesis of cobalt-55/57-complexes for radiolabelling of platelets as a potential PET imaging agent. J. Label. Compd. Radiopharm. 2001, 44, 395–403. [Google Scholar] [CrossRef]
- Socan, A.; Petrik, M.; Kolenc Peitl, P.; Krošelj, M.; Rangger, C.; Novy, Z.; Svajger, U.; Gmeiner, T.; Decristoforo, C. On-cartridge preparation and evaluation of 68Ga-, 89Zr- and 64Cu-precursors for cell radiolabelling. Nucl. Med. Biol. 2019, 71, 23–31. [Google Scholar] [CrossRef]
- Ballinger, J.R.; Boxen, I. Gallium-67-labelled red blood cells as a blood-pool marker for dual-isotope imaging. Int. J. Radiat. Appl. Instrum. Part B. Nucl. Med. Biol. 1992, 19, 79–81. [Google Scholar] [CrossRef]
- Yano, Y.; Budinger, T.F.; Ebbe, S.N.; Mathis, C.A.; Singh, M.; Brennan, K.M.; Moyer, B.R. Gallium-68 lipophilic complexes for labeling platelets. J. Nucl. Med. 1985, 26, 1429–1437. [Google Scholar]
- Ferris, T.J.; Charoenphun, P.; Meszaros, L.K.; Mullen, G.E.; Blower, P.J.; Went, M.J. Synthesis and characterisation of zirconium complexes for cell tracking with Zr-89 by positron emission tomography. Dalton Trans. 2014, 43, 14851–14857. [Google Scholar] [CrossRef] [PubMed]
- Spitznagle, L.A.; Marino, C.A.; Kasina, S. Tropolone, a ligand for a lipophilic chelate with technetium-99m. J. Radioanal. Nucl. Chem. 1982, 74, 307–313. [Google Scholar] [CrossRef]
- Imai, N.; Doi, Y.; Nabae, K.; Tamano, S.; Hagiwara, A.; Kawabe, M.; Ichihara, T.; Ogawa, K.; Shirai, T. Lack of hinokitiol (beta-thujaplicin) carcinogenicity in F344/DuCrj rats. J. Toxicol. Sci. 2006, 31, 357–370. [Google Scholar] [CrossRef] [PubMed][Green Version]
- Saniewski, M.; Horbowicz, M.; Kanlayanarat, S. The Biological Activities of Troponoids and Their Use in Agriculture A Review. J. Hortic. Res. 2014, 22, 5–19. [Google Scholar] [CrossRef]
- Shen, Y.F.; Ho, C.C.; Shie, M.Y.; Wang, K.; Fang, H.Y. Hinokitiol-Loaded Mesoporous Calcium Silicate Nanoparticles Induce Apoptotic Cell Death through Regulation of the Function of MDR1 in Lung Adenocarcinoma Cells. Materials 2016, 9, 306. [Google Scholar] [CrossRef]
- Jayakumar, T.; Liu, C.H.; Wu, G.Y.; Lee, T.Y.; Manubolu, M.; Hsieh, C.Y.; Yang, C.H.; Sheu, J.R. Hinokitiol Inhibits Migration of A549 Lung Cancer Cells via Suppression of MMPs and Induction of Antioxidant Enzymes and Apoptosis. Int. J. Mol. Sci. 2018, 19, 939. [Google Scholar] [CrossRef] [PubMed]
- Grillo, A.S.; SantaMaria, A.M.; Kafina, M.D.; Cioffi, A.G.; Huston, N.C.; Han, M.; Seo, Y.A.; Yien, Y.Y.; Nardone, C.; Menon, A.V.; et al. Restored iron transport by a small molecule promotes absorption and hemoglobinization in animals. Science 2017, 356, 608–616. [Google Scholar] [CrossRef]
- Noro, J. Solvent extraction of several trivalent metal ions with 4-isopropyltropolone into chloroform. Anal. Sci. 1998, 14, 1099–1105. [Google Scholar] [CrossRef]
- Pourbaix, M. Atlas of Electrochemical Equilibria in Aqueous Solutions, 2nd ed.; National Association of Corrosion Engineers: Houston, TX, USA, 1974; pp. 177–182. [Google Scholar]
- Uccelli, L.; Martini, P.; Cittanti, C.; Carnevale, A.; Missiroli, L.; Giganti, M.; Bartolomei, M.; Boschi, A. Therapeutic Radiometals: Worldwide Scientific Literature Trend Analysis (2008–2018). Molecules 2019, 24, 640. [Google Scholar] [CrossRef]
- Goffredo, V.; Paradiso, A.; Ranieri, G.; Gadaleta, C.D. Yttrium-90 (90Y) in the principal radionuclide therapies: An efficacy correlation between peptide receptor radionuclide therapy, radioimmunotherapy and transarterial radioembolization therapy. Ten years of experience (1999–2009). Crit. Rev. Oncol. Hematol. 2011, 80, 393–410. [Google Scholar] [CrossRef]
- Saini, A.; Wallace, A.; Alzubaidi, S.; Knuttinen, M.G.; Naidu, S.; Sheth, R.; Albadawi, H.; Oklu, R. History and Evolution of Yttrium-90 Radioembolization for Hepatocellular Carcinoma. J. Clin. Med. 2019, 8, 55. [Google Scholar] [CrossRef]
- Pellegrinelli, J.; Chevallier, O.; Manfredi, S.; Dygai-Cochet, I.; Tabouret-Viaud, C.; Nodari, G.; Ghiringhelli, F.; Riedinger, J.-M.; Popoff, R.; Vrigneaud, J.-M.; et al. Transarterial Radioembolization of Hepatocellular Carcinoma, Liver-Dominant Hepatic Colorectal Cancer Metastases, and Cholangiocarcinoma Using Yttrium90 Microspheres: Eight-Year Single-Center Real-Life Experience. Diagnostics 2021, 11, 122. [Google Scholar] [CrossRef] [PubMed]
- Park, C.; Choi, S.I.; Kim, H.; Yoo, H.S.; Lee, Y.B. Distribution of Lipiodol in hepatocellular carcinoma. Liver Int. 1990, 10, 72–78. [Google Scholar] [CrossRef]
- Gaba, R.C.; Schwind, R.M.; Ballet, S. Mechanism of Action, Pharmacokinetics, Efficacy, and Safety of Transarterial Therapies Using Ethiodized Oil: Preclinical Review in Liver Cancer Models. J. Vasc. Interv. Radiol. 2018, 29, 413–424. [Google Scholar] [CrossRef]
- Dutt, Y.; Singh, R.P.; Katyal, M. Metal complexes with tropolones. Talanta 1969, 16, 1369–1382. [Google Scholar] [CrossRef]
- Bryant, B.E.; Fernelius, W.C.; Douglas, B.E. Formation Constants of Metal Complexes of Tropolone and Its Derivatives. I. Tropolone. J. Am. Chem. Soc. 1953, 75, 3784–3786. [Google Scholar] [CrossRef]
- Bryant, B.E.; Fernelius, W.C. Formation Constants of Metal Complexes of Tropolone and its Derivatives. II. Some Alkyltropolones. J. Am. Chem. Soc. 1954, 76, 1696–1697. [Google Scholar] [CrossRef]
- Hirai, M.; Oka, Y. Stability of Tropolone Chelates of the Bi- and Tervalent Metal Ions. Bull. Chem. Soc. Jpn. 1970, 43, 778–782. [Google Scholar] [CrossRef]
- Cilindro, L.G.; Keller, C. Complexation of some Transuranium Elements with Tropolone and β-Isopropyltropolone. Radiochim. Acta 1974, 21, 29–32. [Google Scholar] [CrossRef]
- Lepareur, N.; Ardisson, V.; Noiret, N.; Boucher, E.; Raoul, J.L.; Clément, B.; Garin, E. Automation of labelling of Lipiodol with high-activity generator-produced 188Re. Appl. Radiat. Isot. 2011, 69, 426–430. [Google Scholar] [CrossRef]
- Cahouet, A.; Denizot, B.; Hindré, F.; Passirani, C.; Heurtault, B.; Moreau, M.; Le Jeune, J.; Benoît, J. Biodistribution of dual radiolabeled lipidic nanocapsules in the rat using scintigraphy and gamma counting. Int. J. Pharm. 2002, 242, 367–371. [Google Scholar] [CrossRef]
- Vanpouille-Box, C.; Lacoeuille, F.; Roux, J.; Aubé, C.; Garcion, E.; Lepareur, N.; Oberti, F.; Bouchet, F.; Noiret, N.; Garin, E.; et al. Lipid nanocapsules loaded with rhenium-188 reduce tumor progression in a rat hepatocellular carcinoma model. PLoS ONE 2011, 6, e16926. [Google Scholar] [CrossRef] [PubMed]
- Wang, H.E.; Yu, H.M.; Lu, Y.C.; Heish, N.N.; Tseng, Y.L.; Huang, K.L.; Chuang, K.T.; Chen, C.H.; Hwang, J.J.; Lin, W.J.; et al. Internal radiotherapy and dosimetric study for 111In/177Lu-pegylated liposomes conjugates in tumor-bearing mice. Nucl. Instrum. Methods Phys. Res. Sect. A Accel. Spectrom. Detect. Assoc. Equip. 2006, 569, 533–537. [Google Scholar] [CrossRef]
- Gawne, P.J.; Clarke, F.; Turjeman, K.; Cope, A.P.; Long, N.J.; Barenholz, Y.; Terry, S.Y.A.; de Rosales, R.T.M. PET Imaging of Liposomal Glucocorticoids using 89Zr-oxine: Theranostic Applications in Inflammatory Arthritis. Theranostics 2020, 10, 3867–3879. [Google Scholar] [CrossRef] [PubMed]
- Uccelli, L.; Pasquali, M.; Boschi, A.; Giganti, M.; Duatti, A. Automated preparation of Re-188 lipiodol for the treatment of hepatocellular carcinoma. Nucl. Med. Biol. 2011, 38, 207–213. [Google Scholar] [CrossRef]
- Lepareur, N.; Laffont, S.; Ardisson, V.; Noiret, N.; Garin, E. Reduction of β-radiation exposure during preparation of 188Re-labelled Lipiodol for hepatocellular carcinoma treatment. Nucl. Med. Commun. 2012, 33, 205–208. [Google Scholar] [CrossRef]
- Muetterties, E.L.; Wright, C.M. Chelate Chemistry. III. Chelates of High Coordination Number. J. Am. Chem. Soc. 1965, 87, 4706–4717. [Google Scholar] [CrossRef]
- Campbell, D.L.; Moeller, T. Observations on the rare earths MLXXXI. Formation constants of tropolone chelates of the tripositive ions at 25. J. Inorg. Nucl. Chem. 1969, 31, 1077–1082. [Google Scholar] [CrossRef]
- van Deun, R.; Fias, P.; Nockemann, P.; Schepers, A.; Parac-Vogt, T.N.; van Hecke, K.; van Meervelt, L.; Binnemans, K. Rare-Earth Quinolinates: Infrared-Emitting Molecular Materials with a Rich Structural Chemistry. Inorg. Chem. 2004, 43, 8461–8469. [Google Scholar] [CrossRef]
- Bertolo, L.; Tamburini, S.; Vigato, P.A.; Porzio, W.; Macchi, G.; Meinardi, F. Tris(tropolonato)phenanthroline Lanthanide(III) Complexes as Photochemical Devices. Eur. J. Inorg. Chem. 2006, 2006, 2370–2376. [Google Scholar] [CrossRef]
- Dyrssen, D.; Uusitalo, E.; Larsen, I.; Prydz, H. Studies on the extraction of metal complexes. Acta Chem. Scand. 1955, 9, 1567–1574. [Google Scholar] [CrossRef]
- Narbutt, J.; Czerwiński, M.; Krejzler, J. Seven-Coordinate d0 and d10 Ions—Computational and Experimental Studies on Tris(tropolonato)metal(III)−TOPO Adducts. Eur. J. Inorg. Chem. 2001, 2001, 3187–3197. [Google Scholar] [CrossRef]
- Narbutt, J.; Krejzler, J. High coordination numbers of metal ions in chelate complexes: Molecular adducts of scandium tris-α-diketonates in solution. Inorg. Chim. Acta 1999, 286, 175–180. [Google Scholar] [CrossRef]
- Brossard, C.; Vlach, M.; Vène, E.; Ribault, C.; Dorcet, V.; Noiret, N.; Loyer, P.; Lepareur, N.; Cammas-Marion, S. Synthesis of poly(malic acid) derivatives end-functionalized with peptides and preparation of biocompatible nanoparticles to target hepatoma cells. Nanomaterials 2021, 11, 958. [Google Scholar] [CrossRef]








Publisher’s Note: MDPI stays neutral with regard to jurisdictional claims in published maps and institutional affiliations. |
© 2021 by the authors. Licensee MDPI, Basel, Switzerland. This article is an open access article distributed under the terms and conditions of the Creative Commons Attribution (CC BY) license (https://creativecommons.org/licenses/by/4.0/).
Share and Cite
Bouvry, C.; Ardisson, V.; Noiret, N.; Garin, E.; Lepareur, N. Labeling of Hinokitiol with 90Y for Potential Radionuclide Therapy of Hepatocellular Carcinoma. Processes 2021, 9, 940. https://doi.org/10.3390/pr9060940
Bouvry C, Ardisson V, Noiret N, Garin E, Lepareur N. Labeling of Hinokitiol with 90Y for Potential Radionuclide Therapy of Hepatocellular Carcinoma. Processes. 2021; 9(6):940. https://doi.org/10.3390/pr9060940
Chicago/Turabian StyleBouvry, Christelle, Valérie Ardisson, Nicolas Noiret, Etienne Garin, and Nicolas Lepareur. 2021. "Labeling of Hinokitiol with 90Y for Potential Radionuclide Therapy of Hepatocellular Carcinoma" Processes 9, no. 6: 940. https://doi.org/10.3390/pr9060940
APA StyleBouvry, C., Ardisson, V., Noiret, N., Garin, E., & Lepareur, N. (2021). Labeling of Hinokitiol with 90Y for Potential Radionuclide Therapy of Hepatocellular Carcinoma. Processes, 9(6), 940. https://doi.org/10.3390/pr9060940

