Creativity and Emotional Exhaustion in Virtual Work Environments: The Ambiguous Role of Work Autonomy
Abstract
1. Introduction
1.1. Theoretical Framework
Creativity and Emotional Exhaustion (EE)
1.2. Work Autonomy and Emotional Exhaustion (EE)
1.3. Work Autonomy Moderating Effect
2. Methodology
2.1. Type of Study
2.2. Data Collection and Procedures
2.3. Instruments
2.4. Data Analysis
3. Results
3.1. Reliability Analysis
3.2. Confirmatory Factor Analysis
3.3. Convergent and Discriminant Validity
3.4. Validity Analysis
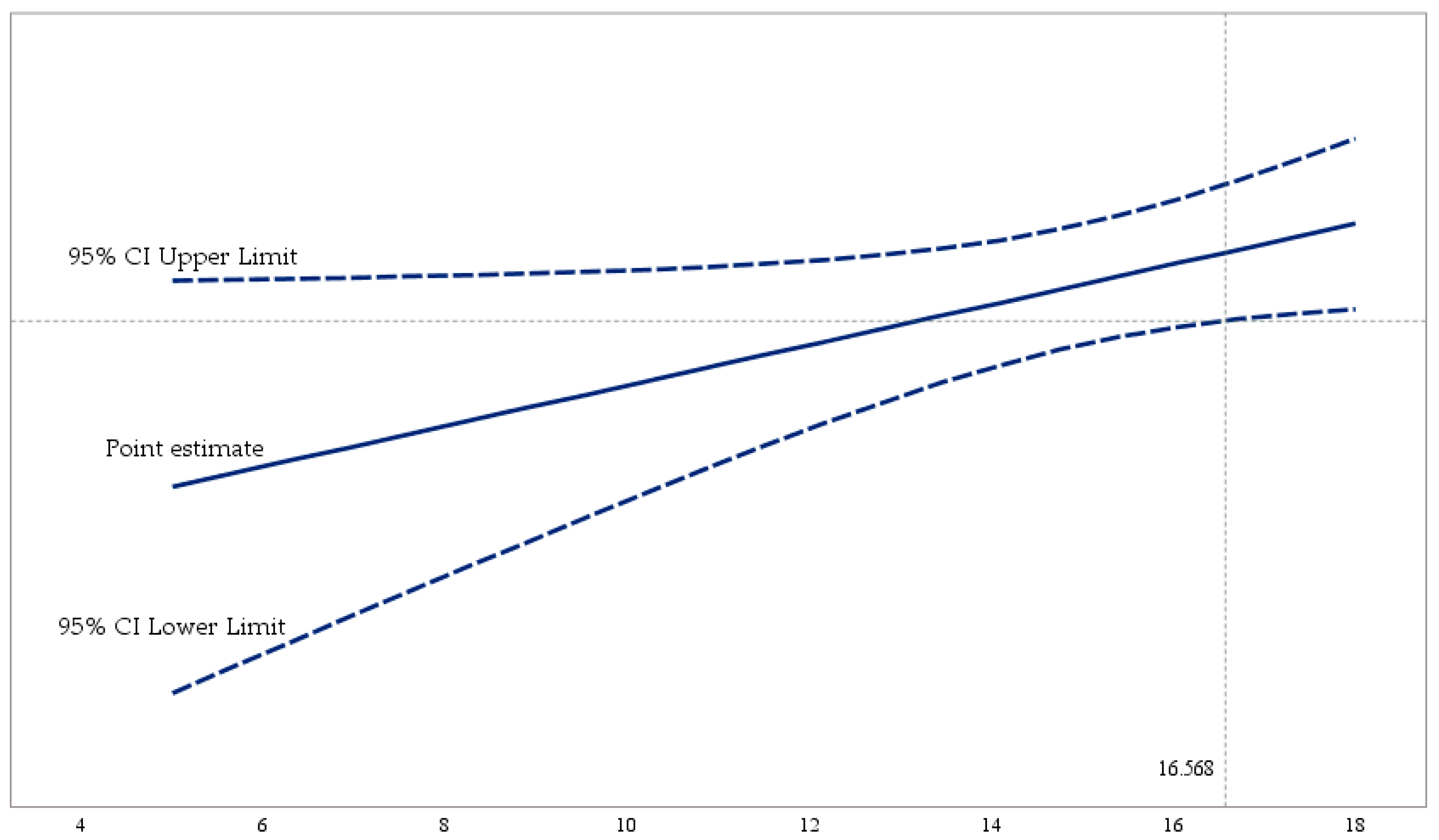
Hypothesis Tests
4. Discussion
5. Conclusions
Limitations and Future Research
Funding
Institutional Review Board Statement
Informed Consent Statement
Data Availability Statement
Conflicts of Interest
References
- Bentley, T.A.; Teo, S.T.T.; McLeod, L.; Tan, F.; Bosua, R.; Gloet, M. The role of organisational support in teleworker wellbeing: A socio-technical systems approach. Appl. Ergon. 2016, 52, 207–215. [Google Scholar] [CrossRef] [PubMed]
- Naotunna, N.P.G.S.I.; Priyankara, H.P.R. The impact of telework on creativity of professional employees in Sri Lanka: Componential and social cognitive theoretical views. Int. J. Mob. Learn. Organ. 2020, 14, 357. [Google Scholar] [CrossRef]
- Junça Silva, A.; Almeida, A.; Rebelo, C. The effect of telework on emotional exhaustion and task performance via work overload: The moderating role of self-leadership. Int. J. Manpow. 2024, 45, 398–421. [Google Scholar] [CrossRef]
- Jamal, M.T.; Alalyani, W.R.; Thoudam, P.; Anwar, I.; Bino, E. Telecommuting during COVID 19: A Moderated-Mediation Approach Linking Job Resources to Job Satisfaction. Sustainability 2021, 13, 11449. [Google Scholar] [CrossRef]
- Turja, T.; Krutova, O.; Melin, H. Telework and perceived workload: Learnings prior to the COVID-19 upheaval. Hum. Syst. Manag. 2022, 41, 251–255. [Google Scholar] [CrossRef]
- Martínez-Líbano, J.; Yeomans, M.M. Emotional exhaustion variables in trainee teachers during the COVID-19 pandemic. Eur. J. Investig. Health Psychol. Educ. 2023, 13, 271–283. [Google Scholar] [CrossRef]
- Liu, X.-Y.; Kwan, H.K.; Zhang, X. Introverts maintain creativity: A resource depletion model of negative workplace gossip. Asia Pac. J. Manag. 2020, 37, 325–344. [Google Scholar] [CrossRef]
- Luqman, A.; Talwar, S.; Masood, A.; Dhir, A. Does enterprise social media use promote employee creativity and well-being? J. Bus. Res. 2021, 131, 40–54. [Google Scholar] [CrossRef]
- Santiago-Torner, C. Curvilinear relationship between ethical leadership and creativity within the Colombian electricity sector The mediating role of work autonomy, affective commitment, and intrinsic motivation. Rev. Iberoam. Estud. Desarro. Iberoam. J. Dev. Stud. 2023, 12, 74–100. [Google Scholar] [CrossRef]
- Santiago-Torner, C. Clima ético egoísta y el teletrabajo en el sector eléctrico colombiano. El papel moderador del liderazgo ético. Acta Colomb. Psicol. 2023, 26, 169–182. [Google Scholar] [CrossRef]
- Santiago Torner, C. Teleworking and emotional exhaustion in the Colombian electricity sector: The mediating role of affective commitment and the moderating role of creativity. Intang. Cap. 2023, 19, 207–258. [Google Scholar] [CrossRef]
- Li, Y.; Wu, Q.; Li, Y.; Chen, L.; Wang, X. Relationships among psychological capital, creative tendency, and job burnout among Chinese nurses. J. Adv. Nurs. 2019, 75, 3495–3503. [Google Scholar] [CrossRef]
- Matthews, L.M.; Edmondson, D.R. Overcoming emotional exhaustion in a sales setting. J. Glob. Sch. Mark. Sci. 2020, 30, 229–239. [Google Scholar] [CrossRef]
- Gardner, D.G. The importance of being resilient: Psychological well-being, job autonomy, and self-esteem of organization managers. Personal. Individ. Differ. 2020, 155, 109731. [Google Scholar] [CrossRef]
- Day, A.; Crown, S.N.; Ivany, M. Organisational change and employee burnout: The moderating effects of support and job control. Saf. Sci. 2017, 100, 4–12. [Google Scholar] [CrossRef]
- Prem, R.; Kubicek, B.; Diestel, S.; Korunka, C. Regulatory job stressors and their within-person relationships with ego depletion: The roles of state anxiety, self-control effort, and job autonomy. J. Vocat. Behav. 2016, 92, 22–32. [Google Scholar] [CrossRef]
- Konze, A.-K.; Rivkin, W.; Schmidt, K.-H. Is Job Control a Double-Edged Sword? A Cross-Lagged Panel Study on the Interplay of Quantitative Workload, Emotional Dissonance, and Job Control on Emotional Exhaustion. Int. J. Environ. Res. Public Health 2017, 14, 1608. [Google Scholar] [CrossRef]
- Kubicek, B.; Paškvan, M.; Bunner, J. The Bright and Dark Sides of Job Autonomy. In Job Demands in a Changing World of Work; Springer International Publishing: Berlin/Heidelberg, Germany, 2017; pp. 45–63. [Google Scholar] [CrossRef]
- Garmendia, P.; Fernández-Salinero, S.; Holgueras González, A.I.; Topa, G. Social support and its impact on job satisfaction and emotional exhaustion. Eur. J. Investig. Health Psychol. Educ. 2023, 13, 2827–2840. [Google Scholar] [CrossRef] [PubMed]
- Hur, W.-M.; Kim, B.-S.; Park, S.-J. The Relationship between Coworker Incivility, Emotional Exhaustion, and Organizational Outcomes: The Mediating Role of Emotional Exhaustion. Hum. Factors Ergon. Manuf. Serv. Ind. 2015, 25, 701–712. [Google Scholar] [CrossRef]
- Bakker, A.B.; Demerouti, E. Job demands–resources theory: Taking stock and looking forward. J. Occup. Health Psychol. 2017, 22, 273–285. [Google Scholar] [CrossRef]
- Hobfoll, S.E.; Halbesleben, J.; Neveu, J.-P.; Westman, M. Conservation of Resources in the Organizational Context: The Reality of Resources and Their Consequences. Annu. Rev. Organ. Psychol. Organ. Behav. 2018, 5, 103–128. [Google Scholar] [CrossRef]
- Mihalca, L.; Lucia Ratiu, L.; Brendea, G.; Metz, D.; Dragan, M.; Dobre, F. Exhaustion while teleworking during COVID-19: A moderated-mediation model of role clarity, self-efficacy, and task interdependence. Oeconomia Copernic. 2021, 12, 269–306. [Google Scholar] [CrossRef]
- Ala, S.; Campos, F.R.; Relva, I.C. Emotional Exhaustion Scale (ECE): Psychometric properties in a sample of portuguese university students. Eur. J. Investig. Health Psychol. Educ. 2024, 14, 1044–1054. [Google Scholar] [CrossRef]
- Gocłowska, M.A.; Ritter, S.M.; Elliot, A.J.; Baas, M. Novelty seeking is linked to openness and extraversion, and can lead to greater creative performance. J. Personal. 2019, 87, 252–266. [Google Scholar] [CrossRef]
- Shahsavari Isfahani, S.; Hosseini, M.A.; Fallahi Khoshknab, M.; Peyrovi, H.; Khanke, H.R. Is Nurses’ Creativity An Advantage or Disadvantage? A Qualitative Study in an Iranian Context. Iran. Red Crescent Med. J. 2015, 17, e20895. [Google Scholar] [CrossRef] [PubMed]
- Belmonte-Lillo, V.M.; Parodi, A.I. Creativity and adolescence: Differences according to gender, course and cognitive level. Eur. J. Investig. Health Psychol. Educ. 2017, 7, 177–188. [Google Scholar] [CrossRef]
- Redó, N.A.; Gutiérrez, M.Á.M.; Cano, J.D.V. Dimensions of creativity in secondary school high-ability students. Eur. J. Investig. Health Psychol. Educ. 2021, 11, 953–961. [Google Scholar] [CrossRef] [PubMed]
- Acar, S.; Tadik, H.; Myers, D.; Sman, C.; Uysal, R. Creativity and Well-being: A Meta-analysis. J. Creat. Behav. 2021, 55, 738–751. [Google Scholar] [CrossRef]
- Spagnoli, P.; Molinaro, D. Negative (Workaholic) Emotions and Emotional Exhaustion: Might Job Autonomy Have Played a Strategic Role in Workers with Responsibility during the Covid-19 Crisis Lockdown? Behav. Sci. 2020, 10, 192. [Google Scholar] [CrossRef]
- Stiglbauer, B.; Kovacs, C. The more, the better? Curvilinear effects of job autonomy on well-being from vitamin model and PE-fit theory perspectives. J. Occup. Health Psychol. 2018, 23, 520–536. [Google Scholar] [CrossRef]
- Brunelle, E.; Fortin, J.-A. Distance Makes the Heart Grow Fonder: An Examination of Teleworkers’ and Office Workers’ Job Satisfaction Through the Lens of Self-Determination Theory. SAGE Open 2021, 11, 215824402098551. [Google Scholar] [CrossRef]
- Petcu, M.A.; Sobolevschi-David, M.I.; Anica-Popa, A.; Curea, S.C.; Motofei, C.; Popescu, A.-M. Multidimensional Assessment of Job Satisfaction in Telework Conditions. Case Study: Romania in the COVID-19 Pandemic. Sustainability 2021, 13, 8965. [Google Scholar] [CrossRef]
- Dolce, V.; Vayre, E.; Molino, M.; Ghislieri, C. Far Away, So Close? The Role of Destructive Leadership in the Job Demands–Resources and Recovery Model in Emergency Telework. Soc. Sci. 2020, 9, 196. [Google Scholar] [CrossRef]
- Abdel Hadi, S.; Bakker, A.B.; Häusser, J.A. The role of leisure crafting for emotional exhaustion in telework during the COVID-19 pandemic. Anxiety Stress Coping 2021, 34, 530–544. [Google Scholar] [CrossRef]
- Balducci, C.; Alessandri, G.; Zaniboni, S.; Avanzi, L.; Borgogni, L.; Fraccaroli, F. The impact of workaholism on day-level workload and emotional exhaustion, and on longer-term job performance. Work. Stress 2021, 35, 6–26. [Google Scholar] [CrossRef]
- Putnam, L.L.; Myers, K.K.; Gailliard, B.M. Examining the tensions in workplace flexibility and exploring options for new directions. Hum. Relat. 2014, 67, 413–440. [Google Scholar] [CrossRef]
- Ganiev, A.G.; Abdunazarova, Z.S. Biophysics of Brain Activity. Brain Activity In The Development of “Creative Thinking”, “Mind Map”. Turk. J. Comput. Math. Educ. (TURCOMAT) 2021, 12, 1–6. [Google Scholar] [CrossRef]
- Sánchez Flores, F.A. Fundamentos Epistémicos de la Investigación Cualitativa y Cuantitativa: Consensos y Disensos. Rev. Digit. Investig. Docencia Univ. 2019, 13, 101–122. [Google Scholar] [CrossRef]
- Virick, M.; DaSilva, N.; Arrington, K. Moderators of the curvilinear relation between extent of telecommuting and job and life satisfaction: The role of performance outcome orientation and worker type. Hum. Relat. 2010, 63, 137–154. [Google Scholar] [CrossRef]
- George, J.M.; Zhou, J. When openness to experience and conscientiousness are related to creative behavior: An interactional approach. J. Appl. Psychol. 2001, 86, 513–524. [Google Scholar] [CrossRef]
- Scott, S.G.; Bruce, R.A. Determinants of Innovative Behavior: A Path Model of Individual Innovation in the Workplace. Acad. Manag. J. 1994, 37, 580–607. [Google Scholar] [CrossRef]
- Santiago-Torner, C. Ethical climate and creativity: The moderating role of work autonomy and the mediator role of intrinsic motivation. Cuad. Gest. 2023, 23, 93–105. [Google Scholar] [CrossRef]
- Santiago-Torner, C.; Tarrats-Pons, E.; Corral-Marfil, J.A. Effects of Intensity of Teleworking and Creative Demands on the Cynicism Dimension of Job Burnout. Empl. Responsib. Rights J. 2023, 1–23. [Google Scholar] [CrossRef]
- Spreitzer, G.M. Psychological Empowerment in the Workplace: Dimensions, Measurement, and Validation. Acad. Manag. J. 1995, 38, 1442–1465. [Google Scholar] [CrossRef]
- Santiago-Torner, C. Influencia del teletrabajo sobre el desempeño creativo en empleados con alta formación académica: La función mediadora de la autonomía laboral, la autoeficacia y la autoeficacia creativa. Rev. Galega Econ. 2023, 32, 1–26. [Google Scholar] [CrossRef]
- Schaufeli, W.B.; Leiter, M.P.; Maslach, C.Y.; Jackson, S.E. Maslach Burnout Inventory—General Survey. In The Maslach Burnout Inventory-Test Manual, 3rd ed.; Maslach, E.C., Jackson, S.E., Leiter, M.P., Eds.; Consulting Psychologists Press: Palo Alto, CA, USA, 1996. [Google Scholar]
- Salanova, M.; Schaufeli, W.B. Exposure to information technology and its relation to burnout. Behav. Inf. Technol. 2000, 19, 385–392. [Google Scholar] [CrossRef]
- Santiago-Torner, C.; Corral-Marfil, J.A.; Tarrats-Pons, E. Relationship between Personal Ethics and Burnout: The Unexpected Influence of Affective Commitment. Adm. Sci. 2024, 14, 123. [Google Scholar] [CrossRef]
- Podsakoff, P.M.; MacKenzie, S.B.; Podsakoff, N.P. Sources of Method Bias in Social Science Research and Recommendations on How to Control It. Annu. Rev. Psychol. 2012, 63, 539–569. [Google Scholar] [CrossRef] [PubMed]
- Hayes, A.F. Partial, conditional, and moderated moderated mediation: Quantification, inference, and interpretation. Commun. Monogr. 2018, 85, 4–40. [Google Scholar] [CrossRef]
- Aguinis, H.; Edwards, J.R.; Bradley, K.J. Improving Our Understanding of Moderation and Mediation in Strategic Management Research. Organ. Res. Methods 2017, 20, 665–685. [Google Scholar] [CrossRef]
- Morata-Ramirez, M.Á.; Holgado Tello, F.P.; Barbero-García, M.I.; Mendez, G. Análisis factorial confirmatorio. Recomendaciones sobre mínimos cuadrados no ponderados en función del error Tipo I de Ji-Cuadrado y RMSEA. Acción Psicol. 2015, 12, 79–90. [Google Scholar] [CrossRef]
- Bonett, D.G.; Wright, T.A. Cronbach’s alpha reliability: Interval estimation, hypothesis testing, and sample size planning. J. Organ. Behav. 2015, 36, 3–15. [Google Scholar] [CrossRef]
- Chin, W.W. The partial least squares approach to structural equation modeling. In Modern Methods for Business Research; Lawrence Erlbaum Associates: Mahwah, NJ, USA, 1998; pp. 295–358. [Google Scholar]
- Hair, J.F.; Black, W.C.; Babin, B.J.; Anderson, R.E.; Tatham, R.L. Multivariate Data Analysis; Pearson Prentice Hall: Upper Saddle River, NJ, USA, 2006; Volume 6. [Google Scholar]
- Fornell, C.; Larcker, D.F. Evaluating Structural Equation Models with Unobservable Variables and Measurement Error. J. Mark. Res. 1981, 18, 39–50. [Google Scholar] [CrossRef]
- Bunjak, A.; Černe, M.; Popovič, A. Absorbed in technology but digitally overloaded: Interplay effects on gig workers’ burnout and creativity. Inf. Manag. 2021, 58, 103533. [Google Scholar] [CrossRef]
- Saadé, R.; Bahli, B. The impact of cognitive absorption on perceived usefulness and perceived ease of use in on-line learning: An extension of the technology acceptance model. Inf. Manag. 2005, 42, 317–327. [Google Scholar] [CrossRef]
- Nouri, R.; Erez, M.; Lee, C.; Liang, J.; Bannister, B.D.; Chiu, W. Social context: Key to understanding culture’s effects on creativity. J. Organ. Behav. 2015, 36, 899–918. [Google Scholar] [CrossRef]
- Dubois, C.-A.; Bentein, K.; Mansour, J.; Gilbert, F.; Bédard, J.-L. Why Some Employees Adopt or Resist Reorganization of Work Practices in Health Care: Associations between Perceived Loss of Resources, Burnout, and Attitudes to Change. Int. J. Environ. Res. Public Health 2013, 11, 187–201. [Google Scholar] [CrossRef]
- Anastasiou, S.; Belios, E. Effect of Age on Job Satisfaction and Emotional Exhaustion of Primary School Teachers in Greece. Eur. J. Investig. Health Psychol. Educ. 2020, 10, 644–655. [Google Scholar] [CrossRef]



| Variables | N | M | SD | Sex | CRE | LA | EE |
|---|---|---|---|---|---|---|---|
| Sex | 1 | 0.39 | 0.488 | x | |||
| Creativity (CRE) | 13 | 64.89 | 7.92 | −0.189 * | 0.690 | ||
| Work Autonomy (WA) | 3 | 14.91 | 2.50 | −0.039 | 0.304 * | 0.890 | |
| Emotional Exhaustion (EE) | 5 | 23.11 | 5.55 | 0.028 | −0.262 * | −0.200 * | 0.810 |
| Goodness-of-Fit Measure | Acceptable Fit Levels | Results |
|---|---|---|
| CMIN (χ2) | χ2 (small) | 465.24 |
| χ2/df | <3 | 2.60 |
| RMSEA | <0.06 | 0.046 |
| SRMSR | <0.08 | 0.066 |
| GFI | >0.90 | 0.916 |
| IFI | >0.90 | 0.922 |
| CFI | >0.90 | 0.914 |
| NFI | >0.90 | 0.911 |
| ALPHA 1 | CR 2 | CFC 3 | AVE 4 | DV 5 | |
|---|---|---|---|---|---|
| CRE | 0.93 | >1.96 | 0.820 | 0.480 | 0.690 |
| WA | 0.87 | >1.96 | 0.850 | 0.790 | 0.890 |
| EE | 0.90 | >1.96 | 0.860 | 0.650 | 0.810 |
| Effect | Route | p | t | SE | LLCI | ULCI | ||
|---|---|---|---|---|---|---|---|---|
| Effect CRE 1—EE 2 | b1 | −0.299 | 0.001 | −5.362 | 0.181 | −0.638 | −0.112 | |
| Effect WA 3—EE | b2 | −1.064 | 0.001 | −5.245 | 0.162 | −2.513 | −0.385 | |
| Effect CRE × WA—EE | b3 | 0.023 | 0.030 | 2.859 | 0.048 | 0.001 | 0.045 | |
| Effect Sex Control Variable | 0.155 | 0.768 | 0.296 | 0.525 | −0.876 | 1.186 | ||
| Ef. Condition WA (CRE-EE) | Low (12) | −0.027 | 0.570 | −0.568 | 0.048 | −0.121 | 0.067 | |
| Medium (15) | 0.041 | 0.234 | 1.191 | 0.034 | −0.027 | 0.108 | ||
| High (18) | 0.109 | 0.026 | 2.239 | 0.045 | 0.013 | 0.204 | ||
Disclaimer/Publisher’s Note: The statements, opinions and data contained in all publications are solely those of the individual author(s) and contributor(s) and not of MDPI and/or the editor(s). MDPI and/or the editor(s) disclaim responsibility for any injury to people or property resulting from any ideas, methods, instructions or products referred to in the content. |
© 2024 by the author. Licensee MDPI, Basel, Switzerland. This article is an open access article distributed under the terms and conditions of the Creative Commons Attribution (CC BY) license (https://creativecommons.org/licenses/by/4.0/).
Share and Cite
Santiago-Torner, C. Creativity and Emotional Exhaustion in Virtual Work Environments: The Ambiguous Role of Work Autonomy. Eur. J. Investig. Health Psychol. Educ. 2024, 14, 2087-2100. https://doi.org/10.3390/ejihpe14070139
Santiago-Torner C. Creativity and Emotional Exhaustion in Virtual Work Environments: The Ambiguous Role of Work Autonomy. European Journal of Investigation in Health, Psychology and Education. 2024; 14(7):2087-2100. https://doi.org/10.3390/ejihpe14070139
Chicago/Turabian StyleSantiago-Torner, Carlos. 2024. "Creativity and Emotional Exhaustion in Virtual Work Environments: The Ambiguous Role of Work Autonomy" European Journal of Investigation in Health, Psychology and Education 14, no. 7: 2087-2100. https://doi.org/10.3390/ejihpe14070139
APA StyleSantiago-Torner, C. (2024). Creativity and Emotional Exhaustion in Virtual Work Environments: The Ambiguous Role of Work Autonomy. European Journal of Investigation in Health, Psychology and Education, 14(7), 2087-2100. https://doi.org/10.3390/ejihpe14070139

