Sustainable Microwave-Assisted Extraction of Santalin from Red Sandal Wood Powder (Ptrecarpus santalinus) for Bio-Coloration of Mordanted Silk Fabric
Abstract
:1. Introduction
2. Materials and Methodology
2.1. Materials Required
2.2. Extraction and Irradiation Process
2.3. Optimization of Dyeing Variables
2.4. Shades Improvement Process
2.5. Analysis of Fabric
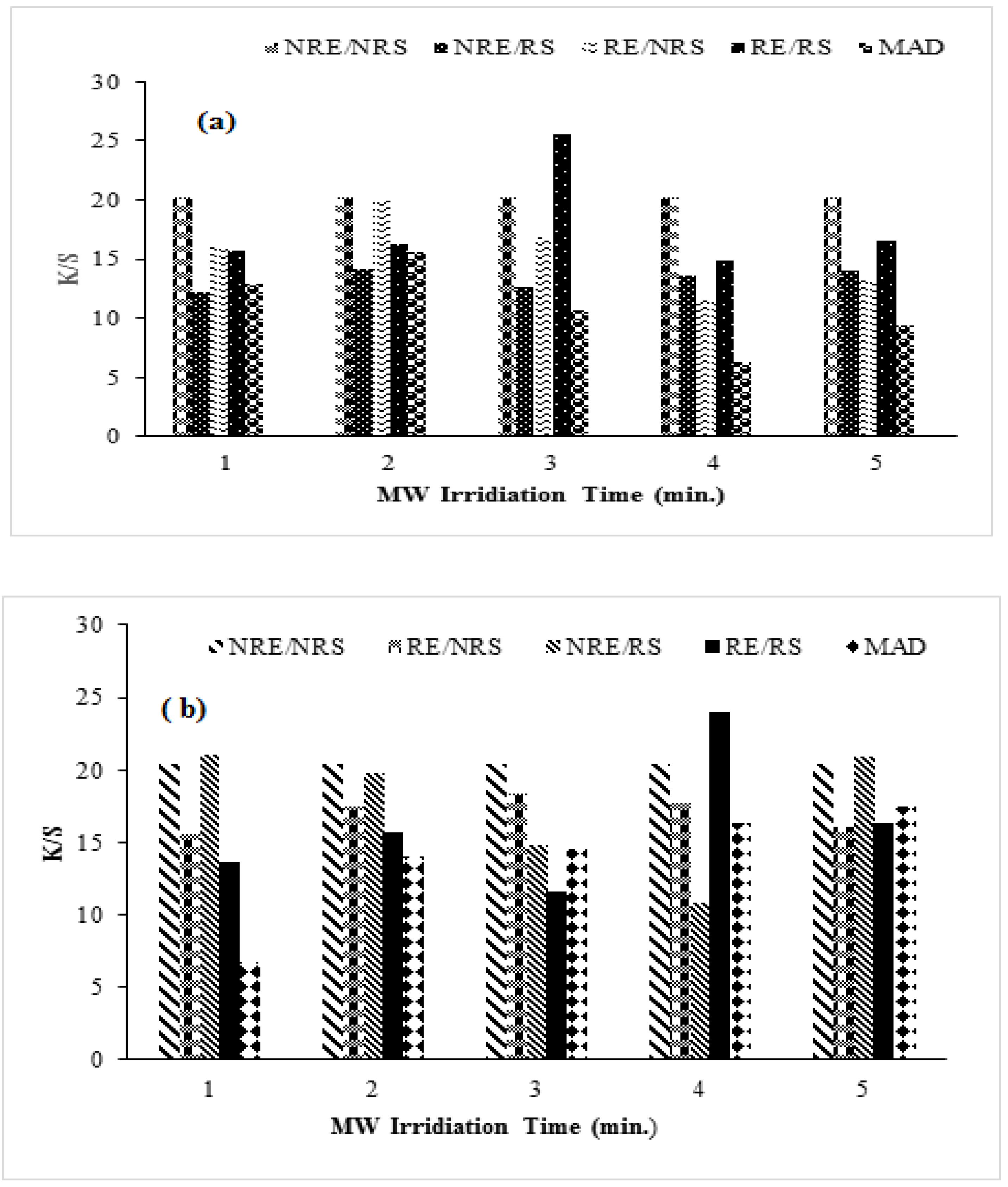
3. Results and Discussion
4. Conclusions
Author Contributions
Funding
Data Availability Statement
Acknowledgments
Conflicts of Interest
References
- Ardila-Leal, L.D.; Poutou-Piñales, R.A.; Pedroza-Rodríguez, A.M.; Quevedo-Hidalgo, B.E. A brief history of color, the environmental impact of synthetic dyes, and removal by using laccases. Molecules 2021, 26, 3813. [Google Scholar] [CrossRef] [PubMed]
- Elmaaty, T.A.; Abouelenin, S.; Elsisi, H.; Okubayashi, S. Eco-friendly approach for dyeing synthetic fabrics with natural dyes using electron beam irradiation. Fibers Polym. 2022, 23, 759–767. [Google Scholar] [CrossRef]
- Elsahida, K.; Fauzi, A.M.; Sailah, I.; Siregar, I.Z. Sustainability of the use of natural dyes in the textile industry. IOP Conf. Ser. Earth Environ. Sci. 2019, 399, 012065. [Google Scholar] [CrossRef]
- Amutha, K.; Sudhapriya, N. Dyeing of textiles with natural dyes extracted from Terminalia arjuna and Thespesia populnea fruits. Ind. Crops Prod. 2020, 148, 112303. [Google Scholar]
- Slama, H.B.; Chenari, B.A.; Pourhassan, Z.; Alenezi, F.N.; Silini, A.; Cherif-Silini, H.; Belbahri, L. Diversity of synthetic dyes from textile industries, discharge impacts and treatment methods. Appl. Sci. 2021, 11, 6255. [Google Scholar] [CrossRef]
- Manzoor, J.; Sharma, M. Impact of textile dyes on human health and environment. Impact Text. Dyes Pub. Health Environ. 2020, 3, 275–290. [Google Scholar]
- Ayele, A.; Getachew, D.; Kamaraj, M.; Suresh, A. Phycoremediation of synthetic dyes: An effective and eco-friendly algal technology for the dye abatement. J. Chem. 2021, 2021, 9923643. [Google Scholar] [CrossRef]
- Jamee, R.; Siddique, R. Biodegradation of synthetic dyes of textile effluent by microorganisms: An environmentally and economically sustainable approach. Eur. J. Microb. Immun. 2019, 9, 114–118. [Google Scholar] [CrossRef]
- Mehta, M.; Sharma, M.; Pathania, K.; Jena, P.K.; Bhushan, I. Degradation of synthetic dyes using nanoparticles: A mini-review. Environ. Sci. Pollut. Res. 2021, 28, 49434–49446. [Google Scholar] [CrossRef]
- Rafique, M.A.; Jamal, A.; Afzal, G.; Abrar, S.; Kiran, S.; Nosheen, S.; Majeed, T. Photocatalytic mediated remediation of synthetic dyes effluent using zero-valent iron: A comparative study. Desalin. Water Treat. 2021, 237, 284–291. [Google Scholar] [CrossRef]
- Hamdy, D.; Hassabo, A.G.; Othman, H.A. Various natural dyes using plant palette in coloration of natural fabrics. J. Text. Color. Polym. Sci. 2021, 18, 121–141. [Google Scholar] [CrossRef]
- El-Sayed, G.A.; Othman, H.; Hassabo, A.G. An overview on the eco-friendly printing of jute fabrics using natural dyes. J. Text. Color. Polym. Sci. 2021, 18, 239–245. [Google Scholar] [CrossRef]
- Sk, S.; Mia, R.; Haque, M.; Shamim, A.M. Review on extraction and application of natural dyes. Text. Leather Rev. 2021, 4, 218–233. [Google Scholar]
- Chuk, N.; Šala, M.; Gorjanc, M. Development of antibacterial and U.V. protective cotton fabrics using plant food waste and alien invasive plant extracts as reducing agents for the in-situ synthesis of silver nanoparticles. Cellulose 2021, 28, 3215–3233. [Google Scholar]
- Buyukakinci, Y.B.; Guzel, E.T.; Karadag, R. Organic cotton fabric dyed with dyer’s oak and barberry dye by microwave irradiation and conventional methods. Ind. Text. 2021, 72, 30–38. [Google Scholar] [CrossRef]
- Agrawal, A.; Chopra, S. Sustainable dyeing of selected natural and synthetic fabrics using waste teak leaves (Tectona Grandis L.). Res. J. Text. Appar. 2020, 24, 357–374. [Google Scholar] [CrossRef]
- El-Kader, A.; Gafar, S.M. Effect of gamma radiation on a natural pigment and its possible use as a label dosimeter. J. Radioanal. Nucl. Chem. 2022, 331, 461–467. [Google Scholar] [CrossRef]
- Haji, A. Natural dyeing of wool with Henna and yarrow enhanced by plasma treatment and optimized with response surface methodology. J. Text. Inst. 2020, 111, 467–475. [Google Scholar] [CrossRef]
- Rather, L.J.; Zhou, Q.; Ali, A.; Haque, Q.M.R.; Li, Q. Valorization of agro-industrial waste from peanuts for sustainable natural dye production: Focus on adsorption mechanisms, ultraviolet protection, and antimicrobial properties of dyed wool fabric. Food Sci. Technol. 2021, 1, 427–442. [Google Scholar] [CrossRef]
- Zhang, Y.; Islam, S.U.; Rather, L.J.; Li, Q. Recent advances in the surface modification strategies to improve functional finishing of cotton with natural colourants—A review. J. Clean. Prod. 2022, 335, 130313. [Google Scholar] [CrossRef]
- Karadag, R.; Buyukakinci, B.Y.; Torgan, E. Extraction and natural cotton dyeing of valonia oak and anatolian buckthorn by microwave irradiation. J. Nat. Fiber 2022, 19, 159–172. [Google Scholar] [CrossRef]
- Gala, S.; Sumarno, S.; Mahfud, M. Comparison of microwave and conventional extraction methods for natural dyes in wood waste of mahogany (Swietenia mahagoni). J. Appl. Eng. Sci. 2020, 18, 618–623. [Google Scholar] [CrossRef]
- Guzik, P.; Kulawik, P.; Zając, M.; Migdał, W. Microwave applications in the food industry: An overview of recent developments. Crit. Rev. Food Sci. Nutr. 2022, 62, 7989–8008. [Google Scholar] [CrossRef] [PubMed]
- Hosseinnezhad, M.; Gharanjig, K.; Jafari, R.; Imani, H. Green dyeing of woolen yarns with weld and madder natural dyes in the presences of biomordant. Prog. Color Color. Coat. 2021, 14, 35–45. [Google Scholar]
- Rosyida, A.; Masykuri, M. Minimisation of pollution in the cotton fabric dyeing process with natural dyes by the selection of mordant type. Res. J. Text. Appar. 2021, 26, 41–56. [Google Scholar] [CrossRef]
- Safapour, S.; Rather, L.J. Assessment of colorimetric and fastness properties of prangos ferulacea (jashir) dyed wool yarns in conjunction with mixed metal mordant combinations via reflectance spectroscopy. J. Nat. Fibers 2022, 20, 2134267. [Google Scholar] [CrossRef]
- Shahmoradi, G.F.; Moghaddam, M.K.; Tehrani, M. Comparison of the effect of metal mordants and bio-mordants on the colorimetric and antibacterial properties of natural dyes on cotton fabric. Color. Technol. 2021, 137, 689–698. [Google Scholar] [CrossRef]
- Sinnur, H.D.; Verma, D.K.; Kar, T.R.; Samanta, A.K. Effect of dyeing process variables on colour yield and colour fastness properties for cotton khadi fabric dyed with de-oiled red sandal wood waste. J. Inst. Eng. 2021, 102, 273–292. [Google Scholar] [CrossRef]
- Singhee, D.; Chatterjee, I.; Samanta, A.K. Multiple re-cycled dyeing of silk with de-oiled red sandalwood waste using different mordants to achieve dark shades and improved colour fastness. Man-Made Text. Ind. 2022, 50, 84–89. [Google Scholar]
- Khan, A.A.; Adeel, S.; Azeem, M.; Iqbal, N. Exploring natural colorant behavior of husk of durum (Triticum durum Desf.) and bread (Triticum aestivum L.) wheat species for sustainable cotton fabric dyeing. Enviorn. Sci. Pollut. Res. 2021, 28, 51632–51641. [Google Scholar] [CrossRef]
- Gong, K.; Rather, L.J.; Zhou, Q.; Wang, W.; Li, Q. Natural dyeing of merino wool fibers with Cinnamomum camphora leaves extract with mordants of biological origin: A greener approach of textile coloration. J. Text. Inst. 2022, 111, 1038–1046. [Google Scholar] [CrossRef]
- Bhavsar, P.; Fontana, G.; Tonin, C.; Patrucco, A.; Zoccola, M. Superheated water hydrolyses of waste silkworm pupae protein hydrolysate: A novel application for natural dyeing of silk fabric. Dyes Pigment. 2020, 183, 108678. [Google Scholar] [CrossRef]
- Adeel, S.; Zuber, M.A.; Hussaan, M.; Amin, N.; Ozomay, M. Sustainable Extraction of Colourant from Harmal Seeds (Peganum harmala) for Dyeing of Bio-Mordanted Wool Fabric. Sustainability 2022, 14, 12226. [Google Scholar] [CrossRef]
- Syafaatullah, A.Q.; Mahfud, M. Optimization extraction of Indigofera tinctoria L. using microwave-assisted extraction. Conf. Ser. Mater. Sci. Eng. 2021, 1053, 012131. [Google Scholar] [CrossRef]
- El-Apasery, M.A.; Hussein, A.M.; El-Din, N.M.N.; Saleh, M.O.; El-Adasy, A.B.A. Microwave-assisted dyeing of wool fabrics with natural dyes as eco-friendly dyeing method: Part I. Dyeing performance and fastness properties. Egyp. J. Chem. 2021, 64, 3751–3759. [Google Scholar]
- Yameen, M.; Adeel, S.; Nasreen, H.; Ghaffar, A.; Ahmad, T.; Inayat, A. Sustainable eco-friendly extraction of yellow natural dye from haar singhar (Nyctanthes arbor-tritis) for bio coloration of cotton fabric. Environ. Sci. Pollut. Res. 2022, 29, 83810–83823. [Google Scholar] [CrossRef]
- da Silva, R.C.; de Aguiar, S.B.; da Cunha, P.L.R.; de Paula, R.C.M.; Feitosa, J.P. Effect of microwave on the synthesis of polyacrylamide-g-chitosan gel for azo dye removal. React. Funct. Polym. 2020, 148, 104491. [Google Scholar] [CrossRef]
- Habib, N.; Ali, A.; Adeel, S.; Aftab, M.; Inayat, A. Assessment of wild Turmeric–based eco-friendly yellow natural bio-colorant for dyeing of wool fabric. Environ. Sci. Pollut. Res. 2023, 30, 4570–4581. [Google Scholar] [CrossRef]
- Vargas, S.; Santamaria-Holek, I.; Rodríguez, R. Photocurrent oscillations in natural dyes-based DSSCs with different mordant and assistants: Their role in oscillations and color stability. Mater. Chem. Phys. 2022, 286, 126163. [Google Scholar] [CrossRef]
- Adeel, S.; Kiran, S.; Alam, M.; Farooq, T.; Amin, N.; Gulzar, T. Alkanna tinctoria-based sustainable alkanin natural colorant for eco-dyeing of wool. Environ. Sci. Pollut. Res. 2022, 1–8. [Google Scholar] [CrossRef]
- Ennaceur, S.; Bouaziz, A.; Gargoubi, S.; Mnif, W.; Dridi, D. Enhanced Natural Dyeing and Antibacterial Properties of Cotton by Physical and Chemical Pretreatments. Processes 2022, 10, 2263. [Google Scholar] [CrossRef]
- Zhang, Y.; Zhou, Q.; Rather, L.J.; Li, Q. Agricultural waste of Eriobotrya japonica L. (Loquat) seeds and flora leaves as source of natural dye and bio-mordant for coloration and bio-functional finishing of wool textile. Ind. Crops Prod. 2021, 169, 113633. [Google Scholar] [CrossRef]
- Hosseinnezhad, M.; Gharanjig, K.; Imani, H.; Razani, N. Green dyeing of wool yarns with yellow and black myrobalan extract as bio-mordant with natural dyes. J. Nat. Fiber 2022, 19, 3893–3915. [Google Scholar] [CrossRef]
- Jabar, J.M.; Owokotomo, I.A.; Ogunsade, A.F. Sustainable dyeing of cotton fabric with mangiferin: Roles of microwave-rays and bio-mordants on fabric colorimetric and fastness properties. Sustain. Chem. Pharm. 2022, 29, 100822. [Google Scholar] [CrossRef]
- Botteri, L.; Miljković, A.; Glogar, M.I. Influence of cotton pre-treatment on dyeing with onion and pomegranate peel extracts. Molecules 2022, 27, 4547. [Google Scholar] [CrossRef]
- Özomay, M.; Akalın, M. Optimization of fastness properties with gray relational analysis method in dyeing of hemp fabric with natural and classic mordant. J. Nat. Fibers 2022, 19, 2914–2928. [Google Scholar] [CrossRef]










| Aqueous | |||||
|---|---|---|---|---|---|
| Radiation Time | Conditions | K/S | L* | a* | b* |
| 0.0 min | NRE/NRS | 20.169 | 34.55 | 20.79 | 26.71 |
| 1 min | RE/NRS | 17.110 | 36.15 | 20.47 | 26.6 |
| 2 min | NRE/RS | 16.822 | 38.26 | 20.96 | 29.24 |
| 3 min | RE/RS | 25.441 | 38.26 | 20.43 | 29.01 |
| 4 min | RE/RS | 14.894 | 36.39 | 20.65 | 24.52 |
| 5 min | MAD | 16.581 | 32.78 | 21.8 | 24.68 |
| Acidic | |||||
| 0.0 min | NRE/NRS | 20.42 | 42.74 | 25.66 | 35.29 |
| 1 min | RE/NRS | 15.611 | 38.43 | 25.12 | 35.31 |
| 2 min | RE/NRS | 19.762 | 36.97 | 19.26 | 23.96 |
| 3 min | NRE/RS | 18.44 | 36.17 | 19.81 | 22.97 |
| 4 min | RE/RS | 23.987 | 37.77 | 18.98 | 22.23 |
| 5 min | RE/NRS | 20.92 | 36.39 | 21.46 | 25.38 |
| Exp. No | A (pH) | B (mL) Volume | C (min) Time | D (c) Temperature | E (g/100 mL) Salt | F (K/s) Color Strength |
|---|---|---|---|---|---|---|
| 1 | 4 | 30 | 45 | 45 | 4 | 18.99 |
| 2 | 4 | 50 | 45 | 45 | 2 | 16.78 |
| 3 | 4 | 30 | 65 | 45 | 2 | 13.62 |
| 4 | 4 | 50 | 65 | 45 | 4 | 12.70 |
| 5 | 4 | 30 | 45 | 65 | 2 | 17.49 |
| 6 | 4 | 50 | 45 | 65 | 4 | 19.50 |
| 7 | 4 | 30 | 65 | 65 | 4 | 24.08 |
| 8 | 4 | 50 | 65 | 65 | 2 | 17.45 |
| 9 | 8 | 30 | 45 | 45 | 2 | 27.71 |
| 10 | 8 | 50 | 45 | 45 | 4 | 10.19 |
| 11 | 8 | 30 | 65 | 45 | 4 | 8.96 |
| 12 | 8 | 50 | 65 | 45 | 2 | 12.23 |
| 13 | 8 | 30 | 45 | 65 | 4 | 8.70 |
| 14 | 8 | 50 | 45 | 65 | 2 | 12.64 |
| 15 | 8 | 30 | 65 | 65 | 2 | 15.46 |
| 16 | 8 | 50 | 65 | 65 | 4 | 22.11 |
| 17 | 2 | 40 | 55 | 55 | 3 | 21.67 |
| 18 | 10 | 40 | 55 | 55 | 3 | 17.78 |
| 19 | 6 | 20 | 55 | 55 | 3 | 3.763 |
| 20 | 6 | 60 | 55 | 55 | 3 | 15.61 |
| 21 | 6 | 40 | 35 | 55 | 3 | 17.99 |
| 22 | 6 | 40 | 75 | 55 | 3 | 24.95 |
| 23 | 6 | 40 | 55 | 35 | 3 | 13.52 |
| 24 | 6 | 40 | 55 | 75 | 3 | 29.075 |
| 25 | 6 | 40 | 55 | 55 | 1 | 16.53 |
| 26 | 6 | 40 | 55 | 55 | 5 | 13.28 |
| 27 | 6 | 40 | 55 | 55 | 3 | 17.75 |
| 28 | 6 | 40 | 55 | 55 | 3 | 15.14 |
| 29 | 6 | 40 | 55 | 55 | 3 | 14.204 |
| 30 | 6 | 40 | 55 | 55 | 3 | 13.58 |
| 31 | 6 | 40 | 55 | 55 | 3 | 22.81 |
| 32 | 6 | 40 | 55 | 55 | 3 | 19.24 |
| Source | DF | Adj SS | Adj MS | F-Value | p-Value | |||
|---|---|---|---|---|---|---|---|---|
| Model | 16 | 721.771 | 45.111 | 30.10 | 0.000 | |||
| Linear | 5 | 75.473 | 15.095 | 10.07 | 0.001 | |||
| pH | 1 | 38.458 | 38.458 | 25.66 | 0.000 | |||
| Volume | 1 | 7.356 | 7.356 | 4.91 | 0.051 | |||
| Time | 1 | 2.610 | 2.610 | 1.74 | 0.216 | |||
| Temperature | 1 | 18.719 | 18.719 | 12.49 | 0.005 | |||
| Salt | 1 | 8.931 | 8.931 | 5.96 | 0.035 | |||
| Square | 3 | 255.807 | 85.269 | 56.90 | 0.000 | |||
| pH × pH | 1 | 36.488 | 36.488 | 24.35 | 0.001 | |||
| Vol × Vol | 1 | 137.312 | 137.312 | 91.63 | 0.000 | |||
| Time × time | 1 | 109.111 | 109.111 | 72.81 | 0.000 | |||
| 2-Way Interaction | 8 | 379.699 | 47.462 | 31.67 | 0.000 | |||
| pH × temperature | 1 | 17.224 | 17.244 | 11.49 | 0.007 | |||
| pH × Salt | 1 | 49.003 | 49.003 | 32.70 | 0.000 | |||
| Volume × Time | 1 | 16.320 | 16.320 | 10.89 | 0.008 | |||
| Volume × Temperature | 1 | 34.103 | 34.103 | 22.76 | 0.001 | |||
| Volume × Salt | 1 | 22.466 | 22.466 | 14.99 | 0.003 | |||
| Time × temperature | 1 | 137.706 | 137.706 | 91.90 | 0.000 | |||
| Time × salt | 1 | 43.360 | 43.360 | 28.94 | 0.000 | |||
| Temp × Salt | 1 | 59.518 | 59.518 | 39.72 | 0.000 | |||
| Error | 10 | 14.985 | 1.499 | - | - | - | - | |
| Lack-of-Fit | 7 | 4.867 | 0.695 | 0.21 | 0.961 | |||
| Pure Error | 3 | 10.119 | 3.373 | - | - | - | - | |
| Total | 26 | 736.756 | - | - | - | - | - | - |
| Mordants Used | Mordant Conc.% | K/S | L* | a* | b* |
|---|---|---|---|---|---|
| Al | 2% Pre | 4.555 | 50.60 | 16.2 | 22.8 |
| Al | 1% Post | 10.25 | 41.5 | 18.9 | 26.1 |
| Fe | 1.5% Pre | 6.785 | 49.2 | 8.33 | 22.1 |
| Fe | 0.5% Post | 19.32 | 41.5 | 18.9 | 26.1 |
| TA | 2.5% Pre | 9.444 | 40.4 | 16.4 | 21.2 |
| TA | 2.5% Post | 10.84 | 40.0 | 17.5 | 23.2 |
| Amaltas | 1% Pre | 20.8 | 26.7 | 18.5 | 16.0 |
| Amaltas | 1% Post | 22.8 | 24.3 | 18.7 | 16.9 |
| Arjun | 1.5% Pre | 25.0 | 22.3 | 28.2 | 31.9 |
| Arjun | 2% Post | 18.9 | 27.1 | 18.0 | 15.1 |
| Henna | 1.5% Pre | 22.2 | 25.1 | 15.2 | 18.1 |
| Henna | 1.5% Post | 24.5 | 25.2 | 16.4 | 20.7 |
| Pomegranate | 2% Pre | 24.7 | 20.7 | 13.4 | 33.2 |
| Pomegranate | 1.5% Post | 26.1 | 26.8 | 12.1 | 29.6 |
| Mordants Used | Mordant Conc.% | LF | WF | DRF | WRF |
|---|---|---|---|---|---|
| Al | 2% Pre | 5 | 4/5 | 5 | 5 |
| Al | 1% Post | 5 | 4 | 5 | 5 |
| Fe | 1.5% Pre | 5 | 4 | 5 | 5 |
| Fe | 0.5% Post | 5 | 5 | 5 | 5 |
| TA | 2.5% Pre | 5 | 5 | 5 | 5 |
| TA | 2.5% Post | 5 | 4 | 5 | 5 |
| Mordants Used | Mordant Conc.% | LF | WF | DRF | WRF |
|---|---|---|---|---|---|
| Amaltas | 1% Pre | 5 | 4 | 5 | 4 |
| Amaltas | 1% Post | 5 | 5 | 5 | 5 |
| Arjun | 1.5% Pre | 5 | 5 | 5 | 5 |
| Arjun | 2% Post | 5 | 4 | 5 | 5 |
| Henna | 1.5% Pre | 5 | 5 | 5 | 5 |
| Henna | 1.5% Post | 5 | 5 | 5 | 5 |
| Pomegranate | 2% Pre | 5 | 5 | 5 | 5 |
| Pomegranate | 1.5% Post | 5 | 4 | 5 | 5 |
Disclaimer/Publisher’s Note: The statements, opinions and data contained in all publications are solely those of the individual author(s) and contributor(s) and not of MDPI and/or the editor(s). MDPI and/or the editor(s) disclaim responsibility for any injury to people or property resulting from any ideas, methods, instructions or products referred to in the content. |
© 2023 by the authors. Licensee MDPI, Basel, Switzerland. This article is an open access article distributed under the terms and conditions of the Creative Commons Attribution (CC BY) license (https://creativecommons.org/licenses/by/4.0/).
Share and Cite
Barkaat, S.; Mehboob, M.; Adeel, S.; Fazal-ur-Rehman; Amin, N.; Habib, N.; Hosseinnezhad, M. Sustainable Microwave-Assisted Extraction of Santalin from Red Sandal Wood Powder (Ptrecarpus santalinus) for Bio-Coloration of Mordanted Silk Fabric. Separations 2023, 10, 118. https://doi.org/10.3390/separations10020118
Barkaat S, Mehboob M, Adeel S, Fazal-ur-Rehman, Amin N, Habib N, Hosseinnezhad M. Sustainable Microwave-Assisted Extraction of Santalin from Red Sandal Wood Powder (Ptrecarpus santalinus) for Bio-Coloration of Mordanted Silk Fabric. Separations. 2023; 10(2):118. https://doi.org/10.3390/separations10020118
Chicago/Turabian StyleBarkaat, Samra, Maria Mehboob, Shahid Adeel, Fazal-ur-Rehman, Nimra Amin, Noman Habib, and Mozhgan Hosseinnezhad. 2023. "Sustainable Microwave-Assisted Extraction of Santalin from Red Sandal Wood Powder (Ptrecarpus santalinus) for Bio-Coloration of Mordanted Silk Fabric" Separations 10, no. 2: 118. https://doi.org/10.3390/separations10020118
APA StyleBarkaat, S., Mehboob, M., Adeel, S., Fazal-ur-Rehman, Amin, N., Habib, N., & Hosseinnezhad, M. (2023). Sustainable Microwave-Assisted Extraction of Santalin from Red Sandal Wood Powder (Ptrecarpus santalinus) for Bio-Coloration of Mordanted Silk Fabric. Separations, 10(2), 118. https://doi.org/10.3390/separations10020118

