Whiter and Greener RP-HPLC Method for Simultaneous Determination of Dorzolamide, Brinzolamide, and Timolol Using Isopropanol as a Sustainable Organic Solvent in the Mobile Phase
Abstract
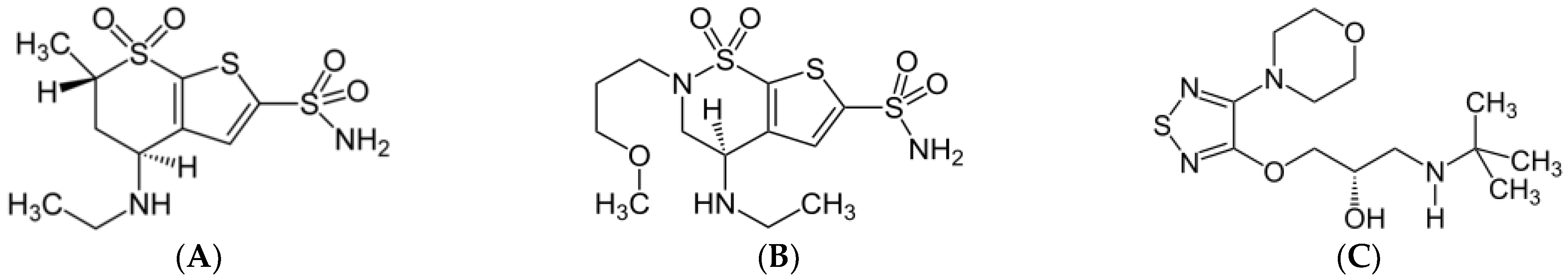
1. Introduction
2. Materials and Methods
2.1. Chemicals and Reagents
2.2. Buffer and Sample Preparation
2.3. Method Validation
2.4. HPLC Analysis
3. Results
3.1. Method Development
3.2. Method Validation
3.3. Greenness and Whiteness Assessments of the Methods
4. Conclusions
Author Contributions
Funding
Data Availability Statement
Acknowledgments
Conflicts of Interest
References
- Anastas, P. Green chemistry. Frontiers 1998, 640, 850. [Google Scholar]
- Gałuszka, A.; Migaszewski, Z.; Namieśnik, J. The 12 principles of green analytical chemistry and the SIGNIFICANCE mnemonic of green analytical practices. TrAC Trends Anal. Chem. 2013, 50, 78–84. [Google Scholar] [CrossRef]
- Gałuszka, A.; Migaszewski, Z.M.; Konieczka, P.; Namieśnik, J. Analytical eco-scale for assessing the greenness of analytical procedures. TrAC Trends Anal. Chem. 2012, 37, 61–72. [Google Scholar] [CrossRef]
- National Environmental Methods Index. Available online: www.nemi.gov (accessed on 8 January 2024).
- Ballester-Caudet, A.; Campíns-Falcó, P.; Pérez, B.; Sancho, R.; Lorente, M.; Sastre, G.; González, C. A new tool for evaluating and/or selecting analytical methods: Summarizing the information in a hexagon. TrAC Trends Anal. Chem. 2019, 118, 538–547. [Google Scholar] [CrossRef]
- Płotka-Wasylka, J. A new tool for the evaluation of the analytical procedure: Green analytical procedure index. Talanta 2018, 181, 204–209. [Google Scholar] [CrossRef] [PubMed]
- Hicks, M.B.; Farrell, W.; Aurigemma, C.; Lehmann, L.; Weisel, L.; Nadeau, K.; Lee, H.; Moraff, C.; Wong, M.; Huang, Y.; et al. Making the move towards modernized greener separations: Introduction of the analytical method greenness score (AMGS) calculator. Green Chem. 2019, 21, 1816–1826. [Google Scholar] [CrossRef]
- Pena-Pereira, F.; Wojnowski, W.; Tobiszewski, M. AGREE—Analytical GREEnness metric approach and software. Anal. Chem. 2020, 92, 10076–10082. [Google Scholar] [CrossRef] [PubMed]
- Nowak, P.M.; Wietecha-Posłuszny, R.; Płotka-Wasylka, J.; Tobiszewski, M. How to evaluate methods used in chemical laboratories in terms of the total chemical risk?—A ChlorTox Scale. Green Anal. Chem. 2023, 5, 100056. [Google Scholar] [CrossRef]
- Nowak, P.M.; Wietecha-Posłuszny, R.; Pawliszyn, J. White analytical chemistry: An approach to reconcile the principles of green analytical chemistry and functionality. TrAC Trends Anal. Chem. 2021, 138, 116223. [Google Scholar] [CrossRef]
- Manousi, N.; Wojnowski, W.; Płotka-Wasylka, J.; Samanidou, V. Blue applicability grade index (BAGI) and software: A new tool for the evaluation of method practicality. Green Chem. 2023, 25, 7598–7604. [Google Scholar] [CrossRef]
- Blue Applicability Grade Index (BAGI). Metric. Available online: https://bagi-index.anvil.app/ (accessed on 8 January 2024).
- Hussain, C.G.; Keçili, R. White analytical chemistry approaches for analytical and bioanalytical techniques: Applications and challenges. TrAC Trends Anal. Chem. 2023, 159, 116905. [Google Scholar] [CrossRef]
- Step ICH Guideline Q3C (R8) on Impurities: Guideline for Residual Solvents; European Medicines Agency: Amsterdam, The Netherlands, 2020.
- Prat, D.; Wells, A.; Hayler, J.; Sneddon, H.; McElroy, C.R.; Abou-Shehada, S.; Dunn, P.J. CHEM21 selection guide of classical- and less classical-solvents. Green Chem. 2016, 18, 288–296. [Google Scholar] [CrossRef]
- Byrne, F.P.; Jin, S.; Paggiola, G.; Petchey, T.H.M.; Clark, J.H.; Farmer, T.J.; Hunt, A.J.; McElroy, C.R.; Sherwood, J. Tools and techniques for solvent selection: Green solvent selection guides. Sustain. Chem. Process. 2016, 4, 1. [Google Scholar] [CrossRef]
- Aslamaci, A.; Saat, B.; Aşlamacı, A. GREEN ELECTROSPINNING Making Electrospinning Environmentally Friendly. Available online: https://doi.org/10.13140/RG.2.2.33115.13603 (accessed on 8 January 2024). [CrossRef]
- Larsen, C.; Lundberg, P.; Tang, S.; Ràfols-Ribé, J.; Sandström, A.; Lindh, E.M.; Wang, J.; Edman, L. A tool for identifying green solvents for printed electronics. Nat. Commun. 2021, 12, 4510. [Google Scholar] [CrossRef]
- Isopropanol Safety Data Sheet. Available online: https://www.sigmaaldrich.com/RO/En/sds/SIAL/W292912?userType=undefined (accessed on 1 February 2024).
- Nuzzi, R.; Tridico, F. Glaucoma: Biological trabecular and neuroretinal pathology with perspectives of therapy innovation and preventive diagnosis. Front. Neurosci. 2017, 11, 494. [Google Scholar] [CrossRef] [PubMed]
- Nuzzi, R.; Marolo, P.; Nuzzi, A. What is new in glaucoma: From treatment to biological perspectives. J. Ophthalmol. 2021, 2021, 5013529. [Google Scholar] [CrossRef] [PubMed]
- Bourne, R.R.; Stevens, G.A.; White, R.A.; Smith, J.L.; Flaxman, S.R.; Price, H.; Jonas, J.B.; Keeffe, J.; Leasher, J.; Naidoo, K.; et al. Causes of vision loss worldwide, 1990–2010: A systematic analysis. Lancet Glob. Health 2013, 1, e339–e349. [Google Scholar] [CrossRef]
- Quigley, H.A.; Broman, A.T. The number of people with glaucoma worldwide in 2010 and 2020. Br. J. Ophthalmol. 2006, 90, 262–267. [Google Scholar] [CrossRef] [PubMed]
- Lee, D.A.; Higginbotham, E.J. Glaucoma and its treatment: A review. Am. J. Health Pharm. 2005, 62, 691–699. [Google Scholar] [CrossRef] [PubMed]
- Michaud, J.-E.; Friren, B. Comparison of topical brinzolamide 1% and dorzolamide 2% eye drops given twice daily in addition to timolol 0.5% in patients with primary open-angle glaucoma or ocular hypertension. Am. J. Ophthalmol. 2001, 132, 235–243. [Google Scholar] [CrossRef]
- Ingram, C.J.; Brubaker, R.F. Effect of brinzolamide and dorzolamide on aqueous humor flow in human eyes. Am. J. Ophthalmol. 1999, 128, 292–296. [Google Scholar] [CrossRef]
- Balfour, J.A.; Wilde, M.I. Dorzolamide. Drugs Aging 1997, 10, 384–403. [Google Scholar] [CrossRef]
- Sugrue, M.F. Review the preclinical pharmacology of dorzolamide hydrochloride, a topical carbonic anhydrase inhibitor. J. Ocul. Pharmacol. Ther. 1996, 12, 363–376. [Google Scholar] [CrossRef] [PubMed]
- National Center for Biotechnology Information. PubChem Compound Summary for CID 5284549, Dorzolamide. 2023. Available online: https://pubchem.ncbi.nlm.nih.gov/compound/dorzolamide (accessed on 2 November 2023).
- Iester, M. Brinzolamide. Expert Opin. Pharmacother. 2008, 9, 653–662. [Google Scholar] [CrossRef]
- National Center for Biotechnology Information. PubChem Compound Summary for CID 68844, Brinzolamide. 2023. Available online: https://pubchem.ncbi.nlm.nih.gov/compound/brinzolamide (accessed on 2 November 2023).
- Narendra, A.; Deepika, D.; Annapurna, M.M. Validated LC method for the estimation of dorzolamide HCl (carbonic anhydrase inhibitor) in ophthalmic solutions. J. Chem. 2012, 9, 1238–1243. [Google Scholar] [CrossRef]
- Thangabalan, B.; Kahsay, G.; Eticha, T. New RP-HPLC method development and validation for dorzolamide in ophthalmic dosage form. J. Anal. Methods Chem. 2018, 2018, 4596141. [Google Scholar] [CrossRef] [PubMed]
- Tiwari, B.; Shirsat, M.K.; Kulkarni, A. Analytical method development and validation for the determination of Brinzolamide by RP-HPLC. J. Drug Deliv. Ther. 2020, 10, 92–96. [Google Scholar] [CrossRef]
- Mitrović, M.; Protić, A.; Malenović, A.; Otašević, B.; Zečević, M. Analytical quality by design development of an ecologically acceptable enantioselective HPLC method for timolol maleate enantiomeric purity testing on ovomucoid chiral stationary phase. J. Pharm. Biomed. Anal. 2020, 180, 113034. [Google Scholar] [CrossRef] [PubMed]
- Mohamed, A.-M.I.; Abdel-Wadood, H.M.; Mousa, H.S. Simultaneous determination of dorzolomide and timolol in aqueous humor: A novel salting out liquid–liquid microextraction combined with HPLC. Talanta 2014, 130, 495–505. [Google Scholar] [CrossRef]
- Annapurna, M.M.; Narendra, A.; Deepika, D. Development and validation of RP-HPLC method for simultaneous determination of dorzolamide and timolol maleate in pharmaceutical dosage forms. J. Drug Deliv. Ther. 2012, 2. [Google Scholar] [CrossRef]
- Erk, N. Rapid and sensitive HPLC method for the simultaneous determination of dorzolamide hydrochloride and timolol maleate in eye drops with diode-array and UV detection. Pharmazie 2003, 58, 491–493. [Google Scholar] [PubMed]
- Mandour, A.A.; Nabil, N.; Zaazaa, H.E.; Ibrahim, M.M.; Ibrahim, M.A. Two stability indicating chromatographic methods: TLC densitometric versus HPLC method for the simultaneous determination of brinzolamide and timolol maleate in ophthalmic formulation in the presence of probable carcinogenic oxidative degradation product of timolol maleate. Separations 2023, 10, 37. [Google Scholar] [CrossRef]
- Mandour, A.A.; Nabil, N.; Zaazaa, H.E.; Abdelkawy, M. Review on analytical studies of some pharmaceutical compounds containing heterocyclic rings: Brinzolamide, timolol maleate, flumethasone pivalate, and clioquinol. Future J. Pharm. Sci. 2020, 6, 52. [Google Scholar] [CrossRef]
- Abd-AlGhafar, W.N.; Aly, F.A.; Sheribah, Z.A.; Saad, S. Green HPLC method with time programming for the determination of the co-formulated eye drops of tafluprost and timolol in their challengeable ratio. BMC Chem. 2022, 16, 28. [Google Scholar] [CrossRef]
- Ibrahim, F.; Elmansi, H.; El Abass, S. A versatile HPLC method with an isocratic single mobile phase system for simultaneous determination of anti-glaucoma formulations containing timolol. Ann. Pharm. Françaises 2019, 77, 302–312. [Google Scholar] [CrossRef]
- Hassib, S.T.; Elkady, E.F.; Sayed, R.M. Simultaneous determination of timolol maleate in combination with some other anti-glaucoma drugs in rabbit aqueous humor by high performance liquid chromatography–tandem mass spectroscopy. J. Chromatogr. B 2016, 1022, 109–117. [Google Scholar] [CrossRef]
- Available online: https://green-solvent-tool.herokuapp.com/ (accessed on 2 November 2023).
- International Conference on Harmonization Geneva. ICH Guideline for Validation of Analytical Procedure: Text and Methodology, Q2 (R1); ICH: Geneva, Switzerland, 2005; Available online: https://database.ich.org/sites/default/files/Q2%28R1%29%20Guideline.pdf (accessed on 2 November 2023).





| Solvent | UV Cut-Off Value (nm) | Water Solubility | Density (g/cm3) at 20 °C | Polarity Parameter Kamlet−Taft π * | Partition Coefficient n−Octanol/Water (Log Value) | Boiling Point °C | Flash Point °C at 1.013 hPa (c.c.) | G Score |
|---|---|---|---|---|---|---|---|---|
| Acetonitrile | 190 | miscible in any proportion | 0.78 | 0.75 | −0.54 | 82 | 2 | 5.8 |
| Methanol | 205 | 1000 g/L at 20 °C—completely miscible | 0.791 | 0.61 | −0.77 | 64.7 | 9.7 | 5.8 |
| Ethanol | 210 | ≥1000 g/L at 20 °C | 0.81 | 0.54 | −0.31 | 78 | 9.7 | 6.6 |
| Isopropanol | 205 | miscible in any proportion | 0.786 | 0.48 | 0.05 | 82.4 | 12 | 6.5 |
| Parameter | Dorzolamide | Brinzolamide | Timolol |
|---|---|---|---|
| Linearity (R2) | 0.9995 | 0.9999 | 0.9979 |
| Equation | y = 3947.2x + 10691 | y = 1624.1x − 1048.1 | y = 117.05x − 213.15 |
| Linearity Range (µg/mL) | 20–70 | 40–140 | 20–70 |
| LOD (µg/mL) | 1.61 | 1.60 | 3.16 |
| LOQ (µg/mL) | 4.87 | 4.86 | 9.59 |
| Accuracy (µg/mL) | 99.1–101.0% | 99.3–100.1% | 95.3–101.8% |
| Precision RSD% | |||
| LQC | 0.08% | 0.04% | 0.03% |
| MQC | 0.02% | 0.01% | 0.02% |
| HQC | 0.02% | 0.07% | 0.04% |
| Method | Elution Conditions | Reference | |
|---|---|---|---|
| A | Reported acetonitrile (ACN)-based nongreen method. | HPLC-DAD using RP-C18 column. Isocratic elution using ACN and phosphate buffer (30:70, v/v) as mobile phase | [43] |
| B | Newly developed green isopropanol-based reference method | HPLC-DAD using the C18 column. Isocratic elution using isopropanol and 0.1 M sodium acetate buffer pH 4.25 (10:90, v/v) as mobile phase | This work |
| Parameter | Dorzolamide | Brinzolamide | Timolol | |||
|---|---|---|---|---|---|---|
| IPA Method | ACN Method | IPA Method | ACN Method | IPA Method | ACN Method | |
| tR | 3.223 | 3.7 | 6.138 | 4.8 | 7.369 | 2.3 |
| N | 4888 | 1025 | 8535 | 2100 | 9340 | 1390 |
| L | 150 | 250 | 150 | 250 | 150 | 250 |
| HETP | 0.03 | 0.24 | 0.02 | 0.12 | 0.02 | 0.18 |
Disclaimer/Publisher’s Note: The statements, opinions and data contained in all publications are solely those of the individual author(s) and contributor(s) and not of MDPI and/or the editor(s). MDPI and/or the editor(s) disclaim responsibility for any injury to people or property resulting from any ideas, methods, instructions or products referred to in the content. |
© 2024 by the authors. Licensee MDPI, Basel, Switzerland. This article is an open access article distributed under the terms and conditions of the Creative Commons Attribution (CC BY) license (https://creativecommons.org/licenses/by/4.0/).
Share and Cite
El Deeb, S.; Abdelsamad, K.; Parr, M.K. Whiter and Greener RP-HPLC Method for Simultaneous Determination of Dorzolamide, Brinzolamide, and Timolol Using Isopropanol as a Sustainable Organic Solvent in the Mobile Phase. Separations 2024, 11, 83. https://doi.org/10.3390/separations11030083
El Deeb S, Abdelsamad K, Parr MK. Whiter and Greener RP-HPLC Method for Simultaneous Determination of Dorzolamide, Brinzolamide, and Timolol Using Isopropanol as a Sustainable Organic Solvent in the Mobile Phase. Separations. 2024; 11(3):83. https://doi.org/10.3390/separations11030083
Chicago/Turabian StyleEl Deeb, Sami, Khalid Abdelsamad, and Maria Kristina Parr. 2024. "Whiter and Greener RP-HPLC Method for Simultaneous Determination of Dorzolamide, Brinzolamide, and Timolol Using Isopropanol as a Sustainable Organic Solvent in the Mobile Phase" Separations 11, no. 3: 83. https://doi.org/10.3390/separations11030083
APA StyleEl Deeb, S., Abdelsamad, K., & Parr, M. K. (2024). Whiter and Greener RP-HPLC Method for Simultaneous Determination of Dorzolamide, Brinzolamide, and Timolol Using Isopropanol as a Sustainable Organic Solvent in the Mobile Phase. Separations, 11(3), 83. https://doi.org/10.3390/separations11030083

