Using Artificial Neural Network Analysis to Study Jeffrey Nanofluid Flow in Cone–Disk Systems
Abstract
1. Introduction
- (i)
- The Jeffrey fluid model is an essential part of heat transfer processes because it provides a precise description of the non-Newtonian and elastic behaviors of fluids, which have not yet been studied with the cone-and-disk geometry.
- (ii)
- Studies in the literature have been restricted to a general model that takes into account a Newtonian fluid. In this study, four different scenarios are studied: (i) a static cone and rotating disk, (ii), a static disk and rotating cone, (iii) the cone and disk rotating in the same direction, and (iv) the devices rotating in opposite directions.
- (iii)
- Brownian diffusivity and the thermophoresis mechanism are used to regulate the thermal performance. These have not been studied for this particular system in terms of a Jeffrey fluid model.
- (iv)
- ANN analysis, a new technique, is used to solve this kind of complex model.
2. Problem Formulation
Quantities of Interest
3. Framework of Artificial Neural Networks (AANs)
4. Analyzing Numerical Results
5. Conclusions
- The non-Newtonian behavior of Jeffery fluids enhances the heat transfer rate, leading to improved efficiency in heat-exchanger systems.
- The food-processing industry uses Jeffrey fluids to control the heating and cooling of various food products.
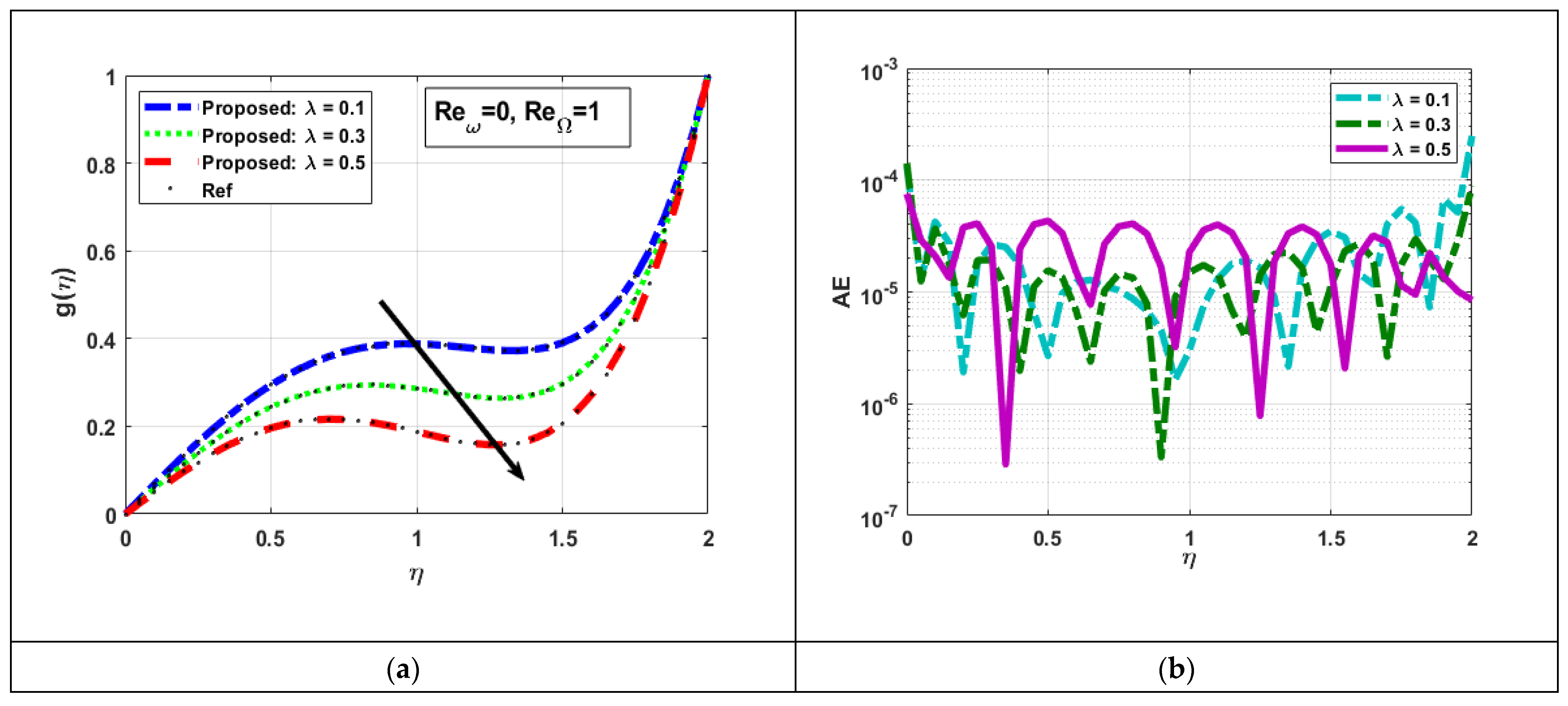
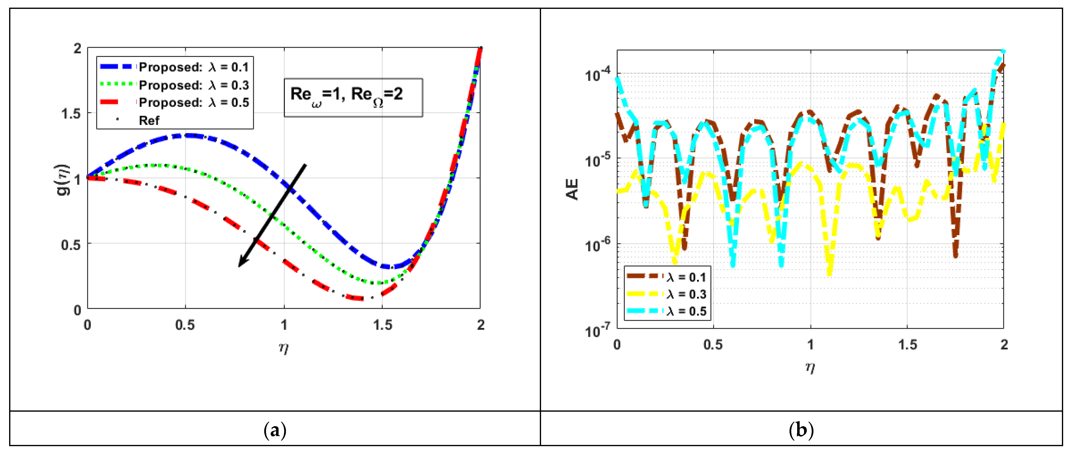
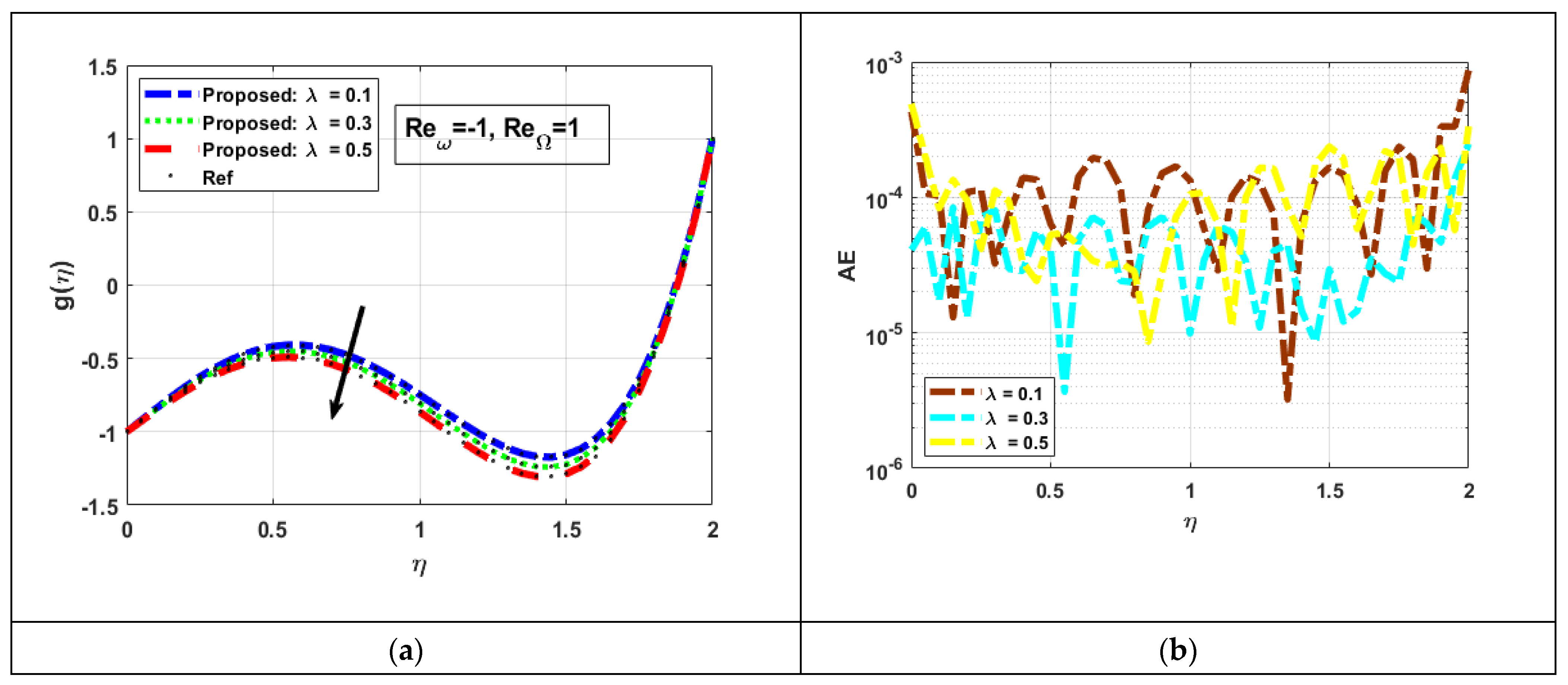
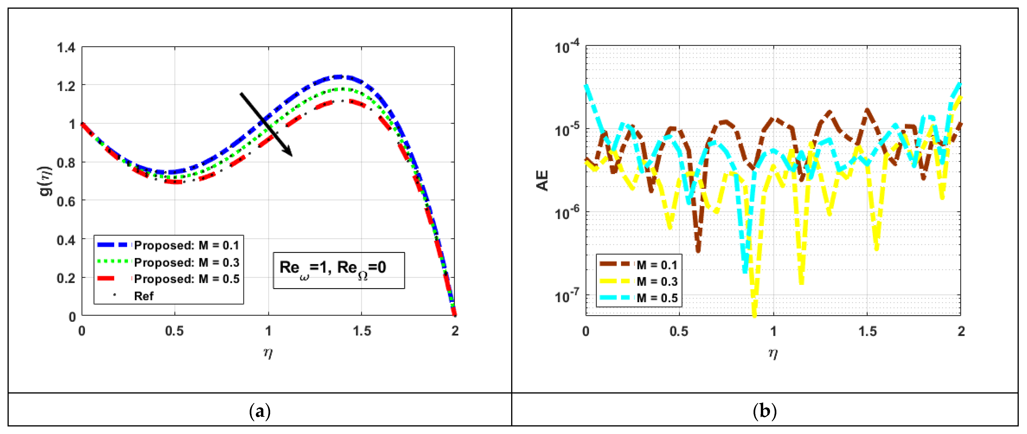
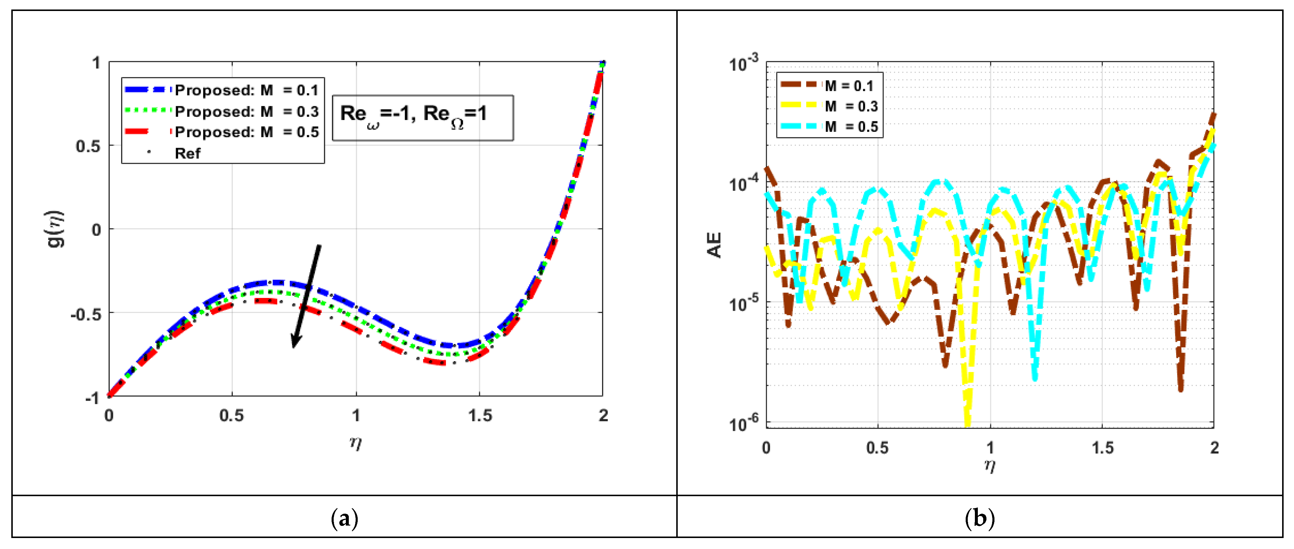
- The present work is validated with the existing literature, as shown in Table 2. Four possible cases of cone and disk rotation are considered, and very close agreement is obtained.
- Training, testing and analysis, and authentication were achieved for the velocity field, temperature distribution, and concentration profile. On average, these equations exhibited a close configuration and settlement consistent with these results at .
- The LMS-NNA’s exceptional accuracy is demonstrated through the fact that the estimated error (AE) between the reference and targeted data falls within the range of to .
Funding
Data Availability Statement
Conflicts of Interest
References
- Khadrawi, A.F.; Al-Nimr, M.A.; Othman, A. The Jeffreys model is a good way to understand basic viscoelastic fluid flow problems. Chem. Eng. Sci. 2005, 60, 7131–7136. [Google Scholar] [CrossRef]
- Hayat, T.; Ali, N.; Asghar, S. The flow of a Jeffrey fluid is analyzed by peristaltic transport. Acta Mech. 2007, 193, 101–112. [Google Scholar] [CrossRef]
- Wang, F.; Rani, S.P.; Sarada, K.; Gowda, R.P.; Zahran, H.Y.; Mahmoud, E.E. The effects of nanoparticle aggregation and radiation on the flow of nanofluid between the gap of a disk and cone. Case Stud. Therm. Eng. 2022, 33, 101930. [Google Scholar] [CrossRef]
- Moatimid, G.M.; Mohamed, M.A.; Elagamy, K. A Casson nanofluid flow within the conical gap between rotating surfaces of a cone and a horizontal disc. Sci. Rep. 2022, 12, 11275. [Google Scholar] [CrossRef] [PubMed]
- Turkyilmazoglu, M. On the fluid flow and heat transfer between a cone and a disk both stationary or rotating. Math. Comput. Simul. 2020, 177, 329–340. [Google Scholar] [CrossRef]
- Gul, T.; Kashifullah Bilal, M.; Alghamdi, W.; Asjad, M.I.; Abdeljawad, T. Hybrid nanofluid flow within the conical gap between the cone and the surface of a rotating disk. Sci. Rep. 2021, 11, 1180. [Google Scholar] [CrossRef]
- Srilatha, P.; Remidi, S.; Nagapavani, M.; Singh, H.; Prasannakumara, B.C. Heat and mass transfer analysis of a fluid flow across the conical gap of a cone-disk apparatus under the thermophoretic particles motion. Energies 2023, 16, 952. [Google Scholar] [CrossRef]
- Shevchuk, I.V. An improved asymptotic expansion method for fluid flow and convective heat transfer in cone-and-disk geometries with rotating cone. Phys. Fluids 2023, 35, 043603. [Google Scholar] [CrossRef]
- Maraj, E.N.; Akbar, N.S.; Kousar, N.; Zehra, I.; Muhammad, T. Thermal enhancement of nano-fluidic transport confined between disk and cone both rotating with distinct angular velocities and heat transfer. Int. J. Numer. Methods Heat Fluid Flow 2023, 34, 473–493. [Google Scholar] [CrossRef]
- Basavarajappa, M.; Bhatta, D. Lie group analysis of flow and heat transfer of a nanofluid in cone–disk systems with Hall current and radiative heat flux. Math. Methods Appl. Sci. 2023, 46, 15838–15867. [Google Scholar] [CrossRef]
- Nazeer, M.; Hussain, F.; Ahmad, M.O.; Saeed, S.; Khan, M.I.; Kadry, S.; Chu, Y.M. Multi-phase flow of Jeffrey fluid bounded within magnetized horizontal surface. Surf. Interfaces 2021, 22, 100846. [Google Scholar] [CrossRef]
- Tanuja, T.N.; Kavitha, L.; Ur Rehman, K.; Shatanawi, W.; Varma, S.V.K.; Kumar, G.V. Heat transfer in magnetohydrodynamic Jeffery–Hamel molybdenum disulfide/water hybrid nanofluid flow with thermal radiation: A neural networking analysis. Numer. Heat Transf. Part A Appl. 2024, 1–19. [Google Scholar] [CrossRef]
- Sharma, B.K.; Kumar, A.; Gandhi, R.; Bhatti, M.M. Exponential space and thermal-dependent heat source effects on electro-magneto-hydrodynamic Jeffrey fluid flow over a vertical stretching surface. Int. J. Mod. Phys. B 2022, 36, 2250220. [Google Scholar] [CrossRef]
- Sharma, B.K.; Sharma, P.; Mishra, N.K.; Noeiaghdam, S.; Fernandez-Gamiz, U. Bayesian regularization networks for micropolar ternary hybrid nanofluid flow of blood with homogeneous and heterogeneous reactions: Entropy generation optimization. Alex. Eng. J. 2023, 77, 127–148. [Google Scholar] [CrossRef]
- Agarwal, V.; Singh, B.; Nisar, K.S. Numerical analysis of heat transfer in magnetohydrodynamic micropolar Jeffery fluid flow through porous medium over a stretching sheet with thermal radiation. J. Therm. Anal. Calorim. 2022, 147, 9829–9851. [Google Scholar] [CrossRef]
- Benal, S.S.; Tawade, J.V.; Biradar, M.M.; Allasi, H.L. Effects of the magnetohydrodynamic flow within the boundary layer of a jeffery fluid in a porous medium over a shrinking/stretching sheet. Math. Probl. Eng. 2022, 2022, 7326504. [Google Scholar] [CrossRef]
- Rasool, G.; Zhang, T.; Shafiq, A. Second grade nanofluidic flow past a convectively heated vertical Riga plate. Phys. Scr. 2019, 94, 125212. [Google Scholar] [CrossRef]
- Shafiq, A.; Sindhu, T.N.; Khalique, C.M. Numerical investigation and sensitivity analysis on bioconvective tangent hyperbolic nanofluid flow towards stretching surface by response surface methodology. Alex. Eng. J. 2020, 59, 4533–4548. [Google Scholar] [CrossRef]
- Shafiq, A.; Mebarek-Oudina, F.; Sindhu, T.N.; Abidi, A. A study of dual stratification on stagnation point Walters’ B nanofluid flow via radiative Riga plate: A statistical approach. Eur. Phys. J. Plus 2021, 136, 407. [Google Scholar] [CrossRef]
- Kukreja, H.; Bharath, N.; Siddesh, C.S.; Kuldeep, S. An introduction to artificial neural network. Int. J. Adv. Res. Innov. Ideas Educ. 2016, 1, 27–30. [Google Scholar]
- Morimoto, M.; Fukami, K.; Zhang, K.; Fukagata, K. Generalization techniques of neural networks for fluid flow estimation. Neural Comput. Appl. 2022, 34, 3647–3669. [Google Scholar] [CrossRef]
- Li, A.; Yuen, A.C.Y.; Wang, W.; Chen, T.B.Y.; Lai, C.S.; Yang, W.; Wu, W.; Chan, Q.N.; Kook, S.; Yeoh, G.H. Integration of computational fluid dynamics and artificial neural network for optimization design of battery thermal management system. Batteries 2022, 8, 69. [Google Scholar] [CrossRef]
- Affonso, R.R.; Dam, R.S.; Salgado, W.L.; da Silva, A.X.; Salgado, C.M. Flow regime and volume fraction identification using nuclear techniques, artificial neural networks and computational fluid dynamics. Appl. Radiat. Isot. 2020, 159, 109103. [Google Scholar] [CrossRef] [PubMed]
- Mulashani, A.K.; Shen, C.; Nkurlu, B.M.; Mkono, C.N.; Kawamala, M. Enhanced group method of data handling (GMDH) for permeability prediction based on the modified Levenberg Marquardt technique from well log data. Energy 2022, 239, 121915. [Google Scholar] [CrossRef]
- Lv, C.; Xing, Y.; Zhang, J.; Na, X.; Li, Y.; Liu, T.; Wang, F.Y. Levenberg–Marquardt backpropagation training of multilayer neural networks for state estimation of a safety-critical cyber-physical system. IEEE Trans. Ind. Inform. 2017, 14, 3436–3446. [Google Scholar] [CrossRef]
- Jegan, J.; Suresh, R.; Subramanian, E.K.; Ramachandran, A.; Reddy, S.R.R.; Jakeer, S. Analysis of Numerical Computation and ANN Modelling on the Bio-Magnetic Darcy-Forchheimer Ternary Hybrid Nanofluid Flow: Entropy Generation. BioNanoScience 2024, 14, 2602–2624. [Google Scholar] [CrossRef]
- Sharma, B.K.; Sharma, P.; Mishra, N.K.; Fernandez-Gamiz, U. Darcy-Forchheimer hybrid nanofluid flow over the rotating Riga disk in the presence of chemical reaction: Artificial neural network approach. Alex. Eng. J. 2023, 76, 101–130. [Google Scholar] [CrossRef]
- Ullah, H.; Alqahtani, A.M.; Raja, M.A.Z.; Fiza, M.; Ullah, K.; Omer, A.S.; Khan, I.; Shoaib, M. Numerical treatment based on artificial neural network to Soret and Dufour effects on MHD squeezing flow of Jeffrey fluid in horizontal channel with thermal radiation. Int. J. Thermofluids 2024, 23, 100725. [Google Scholar] [CrossRef]
- Sulaiman, M.; Khan, N.A.; Alshammari, F.S.; Laouini, G. Performance of heat transfer in micropolar fluid with isothermal and isoflux boundary conditions using supervised neural networks. Mathematics 2023, 11, 1173. [Google Scholar] [CrossRef]
- Sharma, B.K.; Khanduri, U.; Mishra, N.K.; Mekheimer, K.S. Combined effect of thermophoresis and Brownian motion on MHD mixed convective flow over an inclined stretching surface with radiation and chemical reaction. Int. J. Mod. Phys. B 2023, 37, 2350095. [Google Scholar] [CrossRef]
- Rashid, A.; Dawar, A.; Ayaz, M.; Islam, S.; Galal, A.M.; Gul, H. Homotopic solution of the chemically reactive magnetohydrodynamic flow of a hybrid nanofluid over a rotating disk with Brownian motion and thermophoresis effects. ZAMM-J. Appl. Math. Mech./Z. Angew. Math. Mech. 2023, 103, e202200262. [Google Scholar] [CrossRef]
- Khan, A.; Iqbal, Z.; Ahammad, N.A.; Sidi, M.O.; Elattar, S.; Awad, S.; Eldin, S.M. Bioconvection Maxwell nanofluid flow over a stretching cylinder influenced by chemically reactive activation energy surrounded by a permeable medium. Front. Phys. 2023, 10, 1348. [Google Scholar] [CrossRef]
- Janapatla, P.; Chakraborty, A. Mixed convection nanofluid flow using lie group scaling with the impact of MHD radiation thermophoresis and brownian motion. J. Adv. Res. Fluid Mech. Therm. Sci. 2023, 101, 85–98. [Google Scholar] [CrossRef]
- Khoshtarash, H.; Siavashi, M.; Ramezanpour, M.; Blunt, M.J. Pore-scale analysis of two-phase nanofluid flow and heat transfer in open-cell metal foams considering Brownian motion. Appl. Therm. Eng. 2023, 221, 119847. [Google Scholar] [CrossRef]
- Lone, S.A.; Shamshuddin, M.D.; Shahab, S.; Iftikhar, S.; Saeed, A.; Galal, A.M. Computational analysis of MHD driven bioconvective flow of hybrid Casson nanofluid past a permeable exponential stretching sheet with thermophoresis and Brownian motion effects. J. Magn. Magn. Mater. 2023, 580, 170959. [Google Scholar] [CrossRef]
- Majeed, A.; Zeeshan, A.; Jawad, M. Double stratification impact on radiative MHD flow of nanofluid toward a stretchable cylinder under thermophoresis and brownian motion with multiple slip. Int. J. Mod. Phys. B 2023, 37, 2350232. [Google Scholar] [CrossRef]
- Felicita, A.; Venkatesh, P.; Gireesha, B.J.; Krishnamurthy, M.R. Slip and convective flow of Williamson nanofluid influenced by Brownian motion and thermophoresis mechanism in a horizontal microchannel. Proc. Inst. Mech. Eng. Part N J. Nanomater. Nanoeng. Nanosyst. 2023, 23977914231177340. [Google Scholar] [CrossRef]
- Ibrahim, S.M.; Kumar, P.V.; Lorenzini, G. Influence of Thermophoresis and Brownian Motion of Nanoparticles on Radiative Chemically-Reacting MHD Hiemenz Flow over a Nonlinear Stretching Sheet with Heat Generation. Fluid Dyn. Mater. Process. 2023, 19, 855–868. [Google Scholar] [CrossRef]
- Almeida, F.; Gireesha, B.J.; Venkatesh, P. Magnetohydrodynamic flow of a micropolar nanofluid in association with Brownian motion and thermophoresis: Irreversibility analysis. Heat Transf. 2023, 52, 2032–2055. [Google Scholar] [CrossRef]
- Gul, T.; Ahmed, Z.; Jawad, M.; Saeed, A.; Alghamdi, W. Bio-convectional nanofluid flow due to the thermophoresis and gyrotactic microorganism between the gap of a disk and cone. Braz. J. Phys. 2021, 51, 687–697. [Google Scholar] [CrossRef]
- Ahmad, I.; Ilyas, H.; Urooj, A.; Aslam, M.S.; Shoaib, M.; Raja, M.A.Z. Novel applications of intelligent computing paradigms for the analysis of nonlinear reactive transport model of the fluid in soft tissues and microvessels. Neural Comput. Appl. 2019, 31, 9041–9059. [Google Scholar] [CrossRef]
- Shoaib, M.; Raja, M.A.Z.; Sabir, M.T.; Bukhari, A.H.; Alrabaiah, H.; Shah, Z.; Kumam, P.; Islam, S. A stochastic numerical analysis based on hybrid NAR-RBFs networks nonlinear SITR model for novel COVID-19 dynamics. Comput. Methods Programs Biomed. 2021, 202, 105973. [Google Scholar] [CrossRef]
- Shah, Z.; Raja, M.A.Z.; Shoaib, M. Design of Bayesian stochastic networks for numerical treatment of Williamson fluid stretching flow model with mixed convected heat generation. Numer. Heat Transf. Part B Fundam. 2024, 1–24. [Google Scholar] [CrossRef]
- Farooq, U.; Waqas, H.; Fatima, N.; Imran, M.; Noreen, S.; Bariq, A.; Galal, A.M. Computational framework of cobalt ferrite and silver-based hybrid nanofluid over a rotating disk and cone: A comparative study. Sci. Rep. 2023, 13, 5369. [Google Scholar] [CrossRef] [PubMed]
- Ahmadi, M.H.; Mohseni-Gharyehsafa, B.; Ghazvini, M.; Goodarzi, M.; Jilte, R.D.; Kumar, R. Comparing various machine learning approaches in modeling the dynamic viscosity of CuO/water nanofluid. J. Therm. Anal. Calorim. 2020, 139, 2585–2599. [Google Scholar] [CrossRef]
- Ali, A.; Ahammad, N.A.; Tag-Eldin, E.; Gamaoun, F.; Daradkeh, Y.I.; Yassen, M.F. MHD Williamson nanofluid flow in the rheology of thermal radiation, Joule heating, and chemical reaction using the Levenberg–Marquardt neural network algorithm. Front. Energy Res. 2022, 10, 965603. [Google Scholar] [CrossRef]
- Liu, T.; Li, Y.; Jing, Q.; Xie, Y.; Zhang, D. Supervised learning method for the physical field reconstruction in a nanofluid heat transfer problem. Int. J. Heat Mass Transf. 2021, 165, 120684. [Google Scholar] [CrossRef]
- Raja, M.A.Z.; Shoaib, M.; Khan, Z.; Zuhra, S.; Saleel, C.A.; Nisar, K.S.; Khan, I. Supervised neural networks learning algorithm for three dimensional hybrid nanofluid flow with radiative heat and mass fluxes. Ain Shams Eng. J. 2022, 13, 101573. [Google Scholar] [CrossRef]
- Mishra, S.R.; Baag, S.; Mohapatra, D.K. Chemical reaction and Soret effects on hydromagnetic micropolar fluid along a stretching sheet. Eng. Sci. Technol. Int. J. 2016, 19, 1919–1928. [Google Scholar] [CrossRef]
- Öcal, S.; Gökçek, M.; Çolak, A.B.; Korkanç, M. A comprehensive and comparative experimental analysis on thermal conductivity of TiO2-CaCO3/Water hybrid nanofluid: Proposing new correlation and artificial neural network optimization. Heat Transf. Res. 2021, 52, 55–79. [Google Scholar] [CrossRef]
- Amin, M.; Awwad, F.A.; Ismail, E.A.; Ishaq, M.; Gul, T.; Khan, T.S. Quantitative analysis of the electromagnetic hybrid nanofluid flow within the gap of two tubes using deep learning neural networks. Multidiscip. Model. Mater. Struct. 2024, 20, 671–687. [Google Scholar] [CrossRef]
- Alotaibi, A.; Gul, T.; Saleh Alotaibi, I.M.; Alghuried, A.; Alshomrani, A.S.; Alghuson, M. Artificial neural network analysis of the flow of nanofluids in a variable porous gap between two inclined cylinders for solar applications. Eng. Appl. Comput. Fluid Mech. 2024, 18, 2343418. [Google Scholar] [CrossRef]
- Nasir, S.; Berrouk, A.S.; Gul, T. Analysis of chemical reactive nanofluid flow on stretching surface using numerical soft computing approach for thermal enhancement. Eng. Appl. Comput. Fluid Mech. 2024, 18, 2340609. [Google Scholar] [CrossRef]



















| Cases | MSE | Performance | Gradient | Mu | Epoch | ||
|---|---|---|---|---|---|---|---|
| Training | Validation | Testing | |||||
| 1 | 1000 | ||||||
| 2 | 597 | ||||||
| 3 | 497 | ||||||
| 4 | 909 | ||||||
| 5 | 1000 | ||||||
| 6 | 1000 | ||||||
| 7 | 1000 | ||||||
| 8 | 1000 | ||||||
| Mustafa [3] | Gul et al. [4] | Current Outputs | |||||
|---|---|---|---|---|---|---|---|
| Four Models | |||||||
| 1 | 4.376528 | 5.276516 | 4.376427 | 5.276632 | 4.376431 | 5.276671 | |
| 2 | 4.1862734 | 5.162854 | 4.1863266 | 5.162923 | 4.186356 | 5.162952 | |
| 3 | 3.7235190 | 4.328610 | 3.7236278 | 4.328723 | 3.723687 | 4.328742 | |
| 4 | 5.2532413 | 6.024516 | 5.2533256 | 6.024627 | 5.253372 | 6.024661 | |
Disclaimer/Publisher’s Note: The statements, opinions and data contained in all publications are solely those of the individual author(s) and contributor(s) and not of MDPI and/or the editor(s). MDPI and/or the editor(s) disclaim responsibility for any injury to people or property resulting from any ideas, methods, instructions or products referred to in the content. |
© 2024 by the author. Licensee MDPI, Basel, Switzerland. This article is an open access article distributed under the terms and conditions of the Creative Commons Attribution (CC BY) license (https://creativecommons.org/licenses/by/4.0/).
Share and Cite
Albaqami, N.N. Using Artificial Neural Network Analysis to Study Jeffrey Nanofluid Flow in Cone–Disk Systems. Math. Comput. Appl. 2024, 29, 98. https://doi.org/10.3390/mca29060098
Albaqami NN. Using Artificial Neural Network Analysis to Study Jeffrey Nanofluid Flow in Cone–Disk Systems. Mathematical and Computational Applications. 2024; 29(6):98. https://doi.org/10.3390/mca29060098
Chicago/Turabian StyleAlbaqami, Nasser Nammas. 2024. "Using Artificial Neural Network Analysis to Study Jeffrey Nanofluid Flow in Cone–Disk Systems" Mathematical and Computational Applications 29, no. 6: 98. https://doi.org/10.3390/mca29060098
APA StyleAlbaqami, N. N. (2024). Using Artificial Neural Network Analysis to Study Jeffrey Nanofluid Flow in Cone–Disk Systems. Mathematical and Computational Applications, 29(6), 98. https://doi.org/10.3390/mca29060098
