Research on Bandwidth Improvement of Fine Tracking Control System in Space Laser Communication
Abstract
:1. Introduction
1.1. Research Status
1.1.1. Hysteresis Modeling
1.1.2. Control Methods
1.2. Main Contributions
2. Materials and Methods
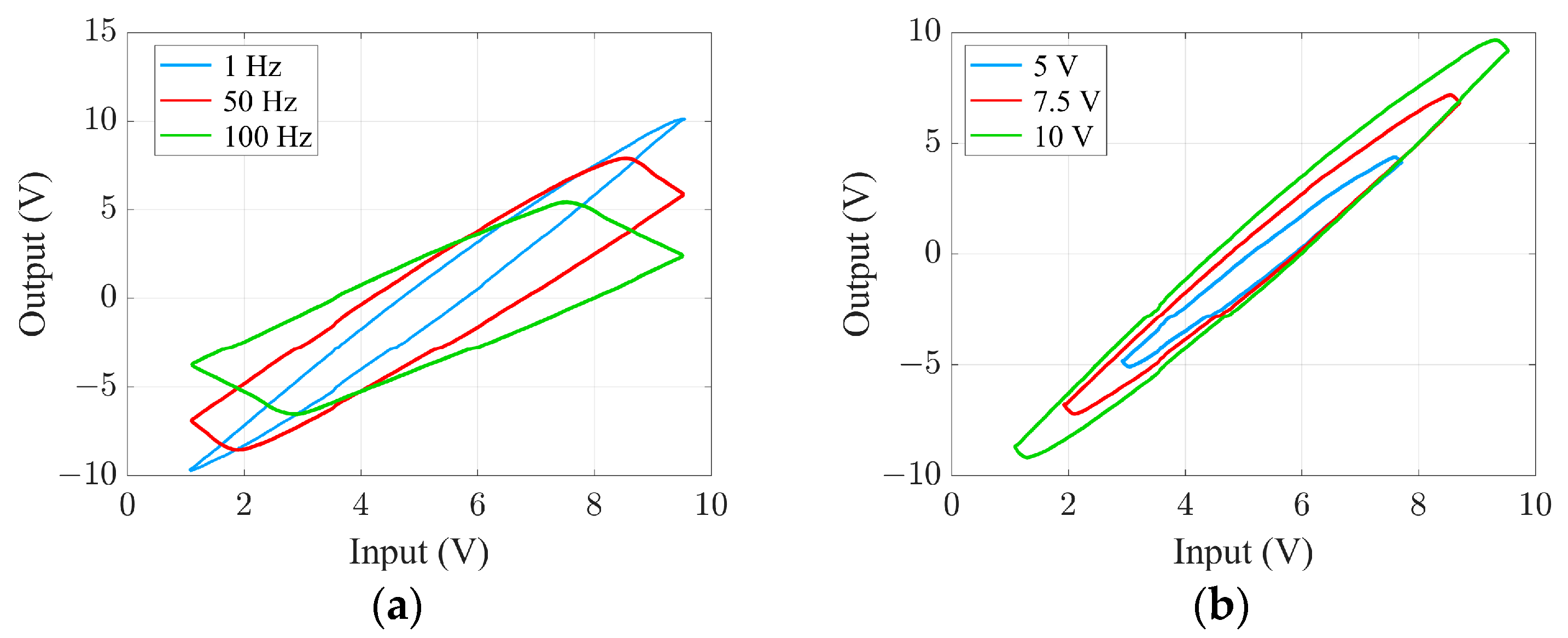
2.1. Hysteresis Characteristic
2.2. P-I Model Based on Play Operator
2.3. Rate-Dependent Hysteresis Model Based on P-I
2.4. Feedforward Control Based on Inverse Model
2.5. Compound Control Method
2.6. Simulation Analysis of Fine Tracking System Performance
- Single-PID feedback control: The PID controller parameters are Kp: 0.15; Ti: 170.2; and Td: 0.00026.
- The compound control which combines P-I model feedforward control and PID feedback control: The PID controller parameters are Kp: 0.11; Ti: 301.3; and Td: 0.00051.
- The compound control which combines P-I rate-dependent model feedforward control and PID feedback control: The PID controller parameters are Kp: 0.18; Ti: 351.7; and Td: 0.00048.
3. Results
3.1. Identification and Testing of Hysteresis Model
3.2. Open-Loop Pointing Accuracy Test
3.3. Setting up the Experimental Platform
3.4. Dynamic Target Tracking Experiment
4. Discussion
5. Conclusions
Author Contributions
Funding
Institutional Review Board Statement
Informed Consent Statement
Data Availability Statement
Acknowledgments
Conflicts of Interest
References
- Kaushal, H.; Kaddoum, G. Optical Communication in Space: Challenges and Mitigation Techniques. IEEE Commun. Surv. Tutor 2017, 19, 57–96. [Google Scholar] [CrossRef]
- Zhang, G.; Wu, J.; Li, Y. A Review of Variable-Beam Divergence Angle FSO Communication System. Photonics 2023, 10, 756. [Google Scholar] [CrossRef]
- Takenaka, H.; Carrasco-Casado, A.; Fujiwara, M.; Kitamura, M.; Sasaki, M.; Toyoshima, M. Satellite-to-Ground Quan-tum-Limited Communication Using a 50-Kg-Class Microsatellite. Nat. Photonics 2017, 11, 502–508. [Google Scholar] [CrossRef]
- Do, P.X.; Carrasco-Casado, A.; Hosonuma, T.; Toyoshima, M.; Nakasuka, S. A Study on Optimizing Laser Beam Waist for LEO-To-GEO Communication for 100 Kg-Class Satellite. In Proceedings of the 2020 International Conference on Communications, Computing, Cybersecurity, and Informatics (CCCI), Sharjah, United Arab Emirates, 3–5 November 2020; IEEE: Sharjah, United Arab Emirates, 2020; pp. 1–6. [Google Scholar] [CrossRef]
- Ma, J.G.; Tang, T. Review of compound axis servomechanism tracking control technology. Infrared Laser Eng. 2013, 42, 218–227. (In Chinese) [Google Scholar] [CrossRef]
- Wang, W.; Han, F.; Chen, Z. Modeling and Compensation for Asymmetrical and Dynamic Hysteresis of Piezoelectric Actuators Using a Dynamic Delay Prandtl–Ishlinskii Mode. Micromachines 2021, 12, 92. [Google Scholar] [CrossRef] [PubMed]
- Suzuki, H.; Wood, R.J. Origami-inspired miniaturemanipulator for teleoperated microsurge. Nat. Mach. Intell. 2020, 2, 437–446. [Google Scholar] [CrossRef]
- Zhang, C.; Song, Y. A novel design method for 3D elliptical vibration-assisted cutting mechanism. Mech. Mach. Theory 2019, 134, 308–322. [Google Scholar] [CrossRef]
- Feng, Y.; Liu, J.; Li, H. Deposition behavior optimization of on-demand tin droplet with gravity based on piezoelectric micro-je. Int. J. Heat Mass Transf. 2022, 192, 122902. [Google Scholar] [CrossRef]
- Li, Y.; Xu, Q. Design and analysis of a totally decoupled flexure-based XY parallel micromanipulato. IEEE Trans. Robot. 2009, 25, 645–657. [Google Scholar] [CrossRef]
- Wang, W.; Deng, J.; Liu, Y. Design modeling and experiment of a miniature biped piezoelectric robot. Smart Mater. Struct. 2022, 31, 075004. [Google Scholar] [CrossRef]
- Zhang, S.J.; Liu, Y.X.; Deng, J. Developmentof a low capacitance two-axis piezoelectric tilting mirror used for optical assisted micromanipulatio. Mech Syst Signal Process. 2021, 154, 107602. [Google Scholar] [CrossRef]
- Li, Q.; Liu, L.; Ma, X. Development of multitarget acquisition, pointing, and tracking system for airborne laser communicatio. IEEE Trans Indust. Inform. 2018, 15, 1720–1729. [Google Scholar] [CrossRef]
- Cao, K.; Hao, G.; Li, B. Modified steady tracking strategy for composite axes system in free-space laser communication. Opt. Eng. 2023, 62, 078101. [Google Scholar] [CrossRef]
- Wang, C.; Wang, Y.; Hu, L. Hysteresis compensation of the piezoelectric ceramic actuators–based tip/tilt mirror with a neural network method in adaptive optics. Opt. Eng. 2016, 55, 054107. [Google Scholar] [CrossRef]
- Zhong, J.; Nishida, R.; Shinshi, T. Design and Precision Tracking Control of a High-Bandwidth Fast Steering Mirror for Laser Beam Machining. Precis. Eng. 2022, 73, 128–139. [Google Scholar] [CrossRef]
- Habibulla, H. 30 Years of atomic force microscopy: Creep, hysteresis, cross-coupling, and vibration problems of piezoelectric tube scanner. Measurement 2020, 159, 107776. [Google Scholar] [CrossRef]
- Harper, P.G. Kinematic theory of piezoelectric hysteresis. J. Appl. Phys. 1981, 52, 6851–6855. [Google Scholar] [CrossRef]
- Zhang, Y.; Sun, M.; Song, Y.; Zhang, C.; Zhou, M. Hybrid Adaptive Controller Design with Hysteresis Compensator for a Piezo-Actuated Stage. Appl. Sci. 2022, 13, 402. [Google Scholar] [CrossRef]
- Sabarianand, D.V.; Karthikeyan, P.; Muthuramaing, T. A review on control strategies for compensation of hysteresis and creep on piezoelectric actuators based micro systems. Mech. Syst. Signal Process. 2020, 140, 106634. [Google Scholar] [CrossRef]
- Gan, J.; Zhang, X. A review of nonlinear hysteresis modeling and control of piezoelectric actuators. AIP Adv. 2019, 9, 040702. [Google Scholar] [CrossRef]
- Nie, L.; Luo, Y.; Gao, W. Rate-dependent asymmetric hysteresis modeling and robust adaptive trajectory tracking for piezoelectric micropositioning stage. Nonlinear Dyn. 2022, 108, 2023–2043. [Google Scholar] [CrossRef]
- Mörée, G.; Leijon, M. Review of Play and Preisach models for hysteresis in magnetic material. Materials 2023, 16, 2422. [Google Scholar] [CrossRef] [PubMed]
- Baziyad, A.G.; Ahmad, I.; Salamah, Y.B. Precision Motion Control of a Piezoelectric Actuator via a Modified Preisach Hysteresis Model and Two-Degree-of-Freedom H-Infinity Robust Control. Micromachines 2023, 14, 1208. [Google Scholar] [CrossRef]
- Zhou, C.; Feng, C.; Aye, Y.N. A digitized representation of the modified Prandtl–Ishlinskii hysteresis model for modeling and compensating piezoelectric actuator hysteresis. Micromachines 2021, 12, 942. [Google Scholar] [CrossRef] [PubMed]
- Li, Z.; Shan, J.; Gabbert, U. Inverse compensation of hysteresis using Krasnoselskii-Pokrovskii mode. IEEE ASME Trans. Mechatron. 2018, 23, 966–971. [Google Scholar] [CrossRef]
- Ismail, M.; Ikhouane, F.; Rodellar, J. The hysteresis Bouc-Wen model, a surve. Arch. Comput. Methods Eng. 2009, 16, 161–188. [Google Scholar] [CrossRef]
- Yang, L.; Zhao, Z.; Zhang, Y.; Li, D. Rate-Dependent Modeling of Piezoelectric Actuators for Nano Manipulation Based on Fractional Hammerstein Model. Micromachines 2021, 13, 42. [Google Scholar] [CrossRef]
- Wang, L.T.; Zhang, Y.P.; Xu, Y.L. Dual-loop control strategy for fast-steering mirror driven by PZT. Chin. J. Sci. Instrum. 2014, 35, 68–72. (In Chinese) [Google Scholar]
- Wang, Y.K.; Hu, L.F.; Wang, C.C. Adaptive inverse control for tip/tilt mirror in adaptive optical system. Opt. Precis. Eng. 2015, 23, 2203–2210. (In Chinese) [Google Scholar] [CrossRef]
- Wang, G.; Rao, C. Adaptive control of piezoelectric fast steering mirror for high precision tracking applicatio. Smart Mater. Struct. 2015, 24, 035019. [Google Scholar] [CrossRef]
- Wittig, M.E.; Van Holtz, L.; Tunbridge, D.E.L.; Vermeulen, H.C. In-Orbit Measurements of Microaccelerations of ESA’s Communication Satellite Olympus; Begley, D. In Proceedings of the Free-Space Laser Communication Technologies II, Los Angeles, CA, USA, 15–17 January 1990; Begley, D.L., Seery, B.D., Eds.; pp. 205–214. [Google Scholar] [CrossRef]



















| Frequency (Hz) | PZT RMS (μrad) | PI RMS (μrad) | (R-D)PI RMS (μrad) |
|---|---|---|---|
| 1 | 28.69 | 14.58 | 17.64 |
| 10 | 45.74 | 27.43 | 27.27 |
| 20 | 64.59 | 43.23 | 34.74 |
| 30 | 83.11 | 60.03 | 38.28 |
| 40 | 104.48 | 80.19 | 45.29 |
| 50 | 125.98 | 100.17 | 55.19 |
| Frequency (Hz) | PZT P-P (μrad) | PI P-P (μrad) | (R-D)PI P-P (μrad) |
|---|---|---|---|
| 1 | 94.96 | 55.75 | 65.09 |
| 10 | 140.91 | 87.82 | 84.12 |
| 20 | 195.14 | 140.97 | 106.61 |
| 30 | 247.78 | 189.71 | 118.68 |
| 40 | 304.19 | 245.57 | 142.81 |
| 50 | 369.88 | 301.35 | 173.39 |
| Control Methods | Simulation Results | Experimental Results |
|---|---|---|
| PID | 48.7 Hz | 40.3 Hz |
| PI + PID | 57.5 Hz | 47.2 Hz |
| (R-D)PI + PID | 69.6 Hz | 57 Hz |
Disclaimer/Publisher’s Note: The statements, opinions and data contained in all publications are solely those of the individual author(s) and contributor(s) and not of MDPI and/or the editor(s). MDPI and/or the editor(s) disclaim responsibility for any injury to people or property resulting from any ideas, methods, instructions or products referred to in the content. |
© 2023 by the authors. Licensee MDPI, Basel, Switzerland. This article is an open access article distributed under the terms and conditions of the Creative Commons Attribution (CC BY) license (https://creativecommons.org/licenses/by/4.0/).
Share and Cite
Lv, F.; Liu, Y.; Gao, S.; Wu, H.; Guo, F. Research on Bandwidth Improvement of Fine Tracking Control System in Space Laser Communication. Photonics 2023, 10, 1179. https://doi.org/10.3390/photonics10111179
Lv F, Liu Y, Gao S, Wu H, Guo F. Research on Bandwidth Improvement of Fine Tracking Control System in Space Laser Communication. Photonics. 2023; 10(11):1179. https://doi.org/10.3390/photonics10111179
Chicago/Turabian StyleLv, Furui, Yongkai Liu, Shijie Gao, Hao Wu, and Feng Guo. 2023. "Research on Bandwidth Improvement of Fine Tracking Control System in Space Laser Communication" Photonics 10, no. 11: 1179. https://doi.org/10.3390/photonics10111179
APA StyleLv, F., Liu, Y., Gao, S., Wu, H., & Guo, F. (2023). Research on Bandwidth Improvement of Fine Tracking Control System in Space Laser Communication. Photonics, 10(11), 1179. https://doi.org/10.3390/photonics10111179

