Rotational Dynamics Induced by Low-Energy Binary Collisions of Quantum Droplets
(This article belongs to the Section Quantum Photonics and Technologies)
Abstract
1. Introduction
2. Evolution Equation
Ground State
3. Binary Collisions of Quantum Droplets
Initial State
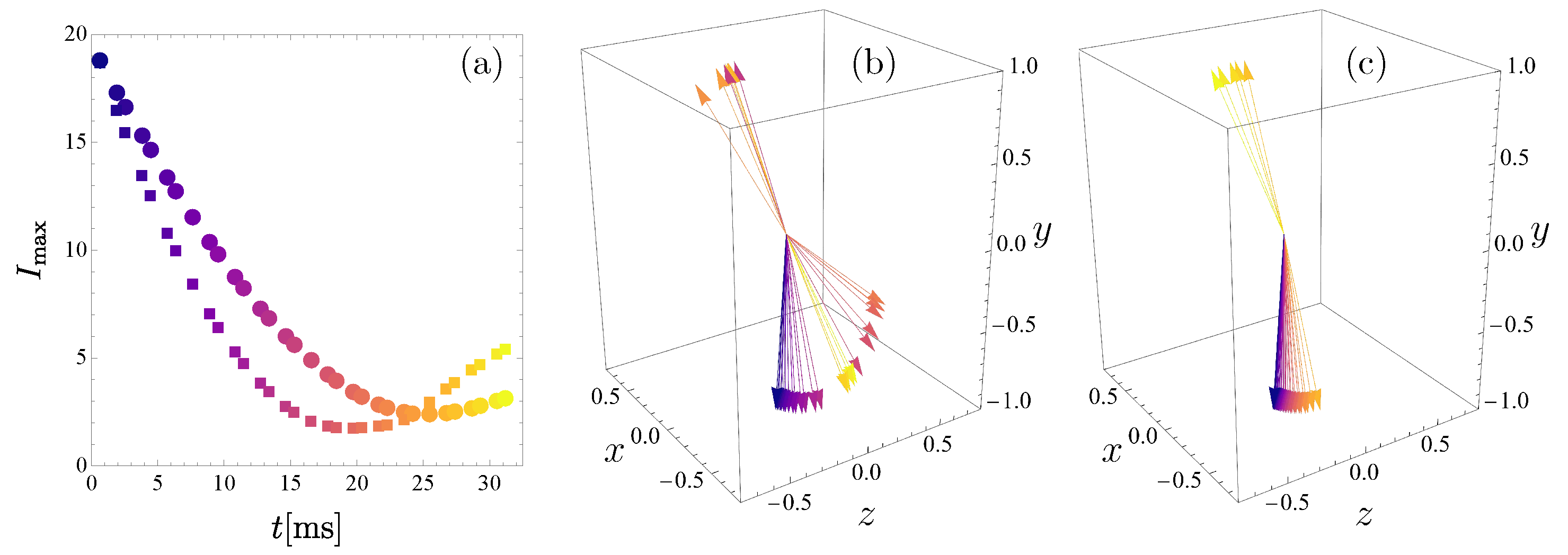
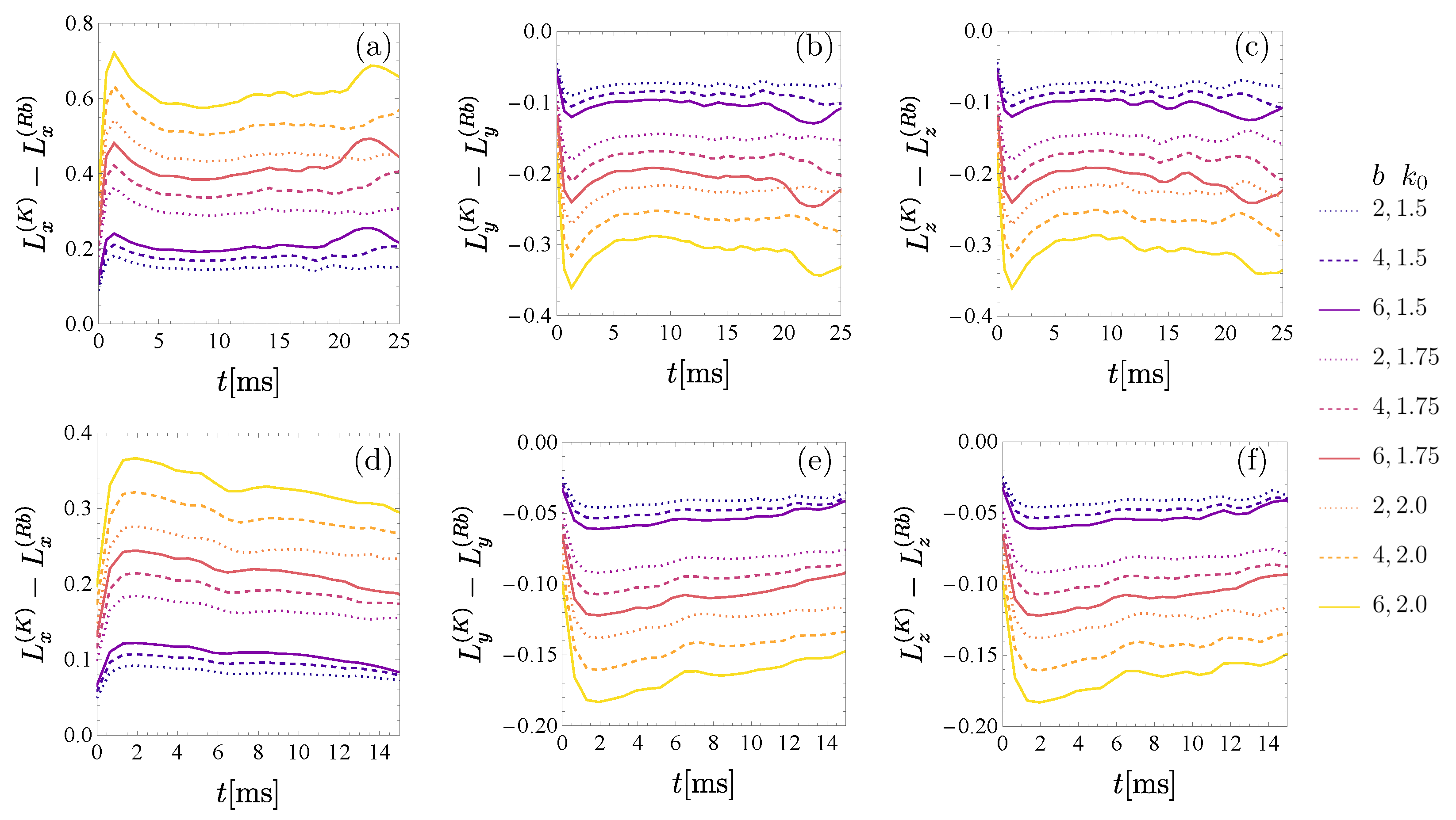
4. Evolution of Dynamical Variables during the Collision
- (i)
- Symmetric mixtures of homonuclear K atoms and scattering lengths compatible with the Feshbach resonances of such atoms: , [3];
- (ii)
- Mixtures of K and Rb [5] with scattering lengths , , . The stability condition was imposed.
5. Conclusions
Author Contributions
Funding
Institutional Review Board Statement
Informed Consent Statement
Data Availability Statement
Conflicts of Interest
References
- Petrov, D.S. Quantum mechanical stabilization of a collapsing Bose-Bose mixture. Phys. Rev. Lett. 2015, 115, 155302. [Google Scholar] [CrossRef] [PubMed]
- Petrov, D.S.; Astrakharchik, G.E. Ultradilute low-dimensional liquids. Phys. Rev. Lett. 2016, 117, 100401. [Google Scholar] [CrossRef] [PubMed]
- Cabrera, C.R.; Tanzi, L.; Sanz, J.; Naylor, B.; Thomas, P.; Cheiney, P.; Tarruell, L. Quantum liquid droplets in a mixture of Bose-Einstein condensates. Science 2017, 359, 301. [Google Scholar] [CrossRef] [PubMed]
- Semeghini, G.; Ferioli, G.; Masi, L.; Mazzinghi, C.; Wolswijk, L.; Minardi, F.; Modugno, M.; Modugno, G.; Inguscio, M.; Fattori, M. Self-bound quantum droplets of atomic mixtures in free space. Phys. Rev. Lett. 2018, 120, 235301. [Google Scholar] [CrossRef]
- D’Errico, C.; Burchianti, A.; Prevedelli, M.; Salasnich, L.; Ancilotto, F.; Modugno, M.; Minardi, F.; Fort, C. Observation of quantum droplets in a heteronuclear bosonic mixture. Phys. Rev. Res. 2019, 1, 033155. [Google Scholar]
- Guo, Z.; Jia, F.; Li, L.; Ma, Y.; Hutson, J.M.; Cui, X.; Wang, D. Lee-Huang-Yang effects in the ultracold mixture of 23Na and 87Rb with attractive interspecies interactions. Phys. Rev. Res. 2021, 3, 033247. [Google Scholar]
- Lee, T.D.; Huang, K.; Yang, C.N. Eigenvalues and eigenfunctions of a Bose system of hard spheresand its low-temperature properties. Phys. Rev. 1957, 106, 1135. [Google Scholar] [CrossRef]
- Larsen, D.M. Binary mixtures of dilute Bose gases with repulsive interactions at low temperature. Ann. Phys. 1963, 24, 89. [Google Scholar] [CrossRef]
- Ferrier-Barbut, I.; Kadau, H.; Schmitt, M.; Wenzel, M.; Pfau, T. Observation of quantum droplets in a strongly dipolar Bose gas. Phys. Rev. Lett. 2016, 116, 215301. [Google Scholar] [CrossRef]
- Schmitt, M.; Wenzel, M.; Böttcher, F.; Ferrier-Barbut, I.; Pfau, T. Self-bound droplets of a dilute magnetic quantum liquid. Nature 2016, 539, 259. [Google Scholar] [CrossRef]
- Chomaz, L.; Baier, S.; Petter, D.; Mark, M.J.; Wächtler, F.; Santos, L.; Ferlaino, F. Quantum-fluctuation-driven crossover from a dilute Bose-Einstein condensate to a macrodroplet in a dipolar quantum fluid. Phys. Rev. X 2016, 6, 041039. [Google Scholar] [CrossRef]
- Tanzi, L.; Lucioni, E.; Famà, F.; Catani, J.; Fioretti, A.; Gabbanini, C.; Bisset, R.N.; Santos, L.; Modugno, G. Observation of a dipolar quantum gas with metastable supersolid properties. Phys. Rev. Lett. 2019, 122, 130405. [Google Scholar] [CrossRef] [PubMed]
- Böttcher, F.; Wenzel, M.; Schmidt, J.N.; Guo, M.; Langen, T.; Ferrier-Barbut, I.; Pfau, T.; Bombín, R.; Sánchez-Baena, J.; Boronat, J.; et al. Dilute dipolar quantum droplets beyond the extended Gross-Pitaevskii equation. Phys. Rev. Res. 2019, 1, 033088. [Google Scholar] [CrossRef]
- Fetter, A.L. Rotating trapped Bose-Einstein condensates. Rev. Mod. Phys. 2009, 81, 647. [Google Scholar] [CrossRef]
- Malomed, B.A. Vortex solitons: Old results and new perspectives. Phys. D 2019, 399, 108. [Google Scholar] [CrossRef]
- Kartashov, Y.V.; Malomed, B.A.; Torner, L. Metastability of. Quantum Droplet Clusters. Phys. Rev. Lett. 2019, 122, 193902. [Google Scholar] [CrossRef]
- Luo, Z.-H.; Pang, W.; Liu, B.; Li, Y.-Y.; Malomed, B.A. A new form of liquid matter: Quantum droplets. Front. Phys. 2021, 16, 32201. [Google Scholar] [CrossRef]
- Li, Y.; Chen, Z.; Luo, Z.; Huang, C.; Tan, H.; Pang, W.; Malomed, B.A. Two-dimensional vortex quantum droplets. Phys. Rev. A 2018, 98, 063602. [Google Scholar] [CrossRef]
- Examilioti, P.; Kavoulakis, G.M. Ground state and rotational properties of two-dimensional self-bound quantum droplets. J. Phys. B 2020, 53, 175301. [Google Scholar] [CrossRef]
- Tengstrand, M.N.; Stürmer, P.; Karabulut, E.Ö.; Reimann, S.M. Rotating binary Bose-Einstein condensates and vortex clusters in quantum droplets. Phys. Rev. Lett. 2019, 123, 160405. [Google Scholar] [CrossRef]
- Stürmer, P.; Tengstrand, M.N.; Sachdeva, R.; Reimann, S.M. Breathing mode in two-dimensional binary self-bound Bose-gas droplets. Phys. Rev. A 2021, 103, 053302. [Google Scholar] [CrossRef]
- Kartashov, Y.V.; Malomed, B.A.; Torner, T. Structured heterosymmetric quantum droplets. Phys. Rev. Res. 2020, 2, 033522. [Google Scholar] [CrossRef]
- Otajonov, S.R.; Tsoy, E.N.; Abdullaev, F.K. Variational approximation for two-dimensional quantum droplets. Phys. Rev. E 2020, 102, 062217. [Google Scholar] [CrossRef] [PubMed]
- Kartashov, Y.V.; Malomed, B.A.; Tarruell, L.; Torner, L. Three-dimensional droplets of swirling superfluids. Phys. Rev. A 2018, 98, 013612. [Google Scholar] [CrossRef]
- Ancilotto, F.; Barranco, M.; Guilleumas, M.; Pi, M. Self-bound ultradilute Bose mixtures within local density approximation. Phys.Rev. A 2018, 98, 053623. [Google Scholar] [CrossRef]
- Caldara, M.; Ancilotto, F. Vortices in quantum droplets of heteronuclear Bose mixtures. Phys. Rev. A 2022, 105, 063328. [Google Scholar] [CrossRef]
- Ferioli, G.; Semeghini, G.; Masi, L.; Giusti, G.; Modugno, G.; Inguscio, M.; Gallemi, A.; Recati, A.; Fattori, M. Collisions of Self-Bound Quantum Droplets. Phys. Rev. Lett. 2019; 122, 090401. [Google Scholar]
- Cikojević, V.; Vranješ Markić, L.; Pi, M.; Barranco, M.; Ancilotto, F.; Boronat, J. Dynamics of equilibration and collisions in ultradilute quantum droplets. Phys. Rev. Res. 2021, 3, 043139. [Google Scholar] [CrossRef]
- Alba-Arroyo, J.E.; Caballero-Benitez, S.F.; Jáuregui, R. Weber number and the outcome of binary collisions between quantum droplets. Sci. Rep. 2022, 12, 18467. [Google Scholar] [CrossRef]
- Frohn, A.; Roth, N. Dynamics of Droplets; Springer Science and Business Media: Berlin/Heidelberg, Germany, 2000. [Google Scholar]
- Cikojević, V.; Dẽlalija, K.; Stipanović, P.; Vranješ Markić, L.; Boronat, J. Ultradilute quantum liquid drops. Phys. Rev. B 2018, 97, 140502. [Google Scholar] [CrossRef]
- Hu, H.; Liu, X.J. Microscopic derivation of the extended Gross-Pitaevskii equation for quantum droplets in binary Bose mixtures. Phys. Rev. A 2020, 102, 043302. [Google Scholar] [CrossRef]
- Strang, G. On the construction and comparison of difference schemes. SIAM J. Numer. Anal. 1968, 5, 506. [Google Scholar] [CrossRef]
- Bao, W.; Jaksch, D.; Markowich, P.A. Numerical solution of the Gross-Pitaevskii equation for Bose-Einstein condensation. J. Comp. Phys. 2003, 187, 318. [Google Scholar] [CrossRef]
- Press, W.H. Numerical Recipies in Fortran 77: The Art of Scientific Computing, 2nd ed.; University of Cambridge: Cambridge, UK, 1992. [Google Scholar]






| [m] | ||
|---|---|---|
| 96,818 = 7.64 | 3.36 | 2.50 |
| 70,227 = 5.54 | 2.97 | 3.17 |
| 37,000 = 2.9 | 2.31 | 3.40 |
Disclaimer/Publisher’s Note: The statements, opinions and data contained in all publications are solely those of the individual author(s) and contributor(s) and not of MDPI and/or the editor(s). MDPI and/or the editor(s) disclaim responsibility for any injury to people or property resulting from any ideas, methods, instructions or products referred to in the content. |
© 2023 by the authors. Licensee MDPI, Basel, Switzerland. This article is an open access article distributed under the terms and conditions of the Creative Commons Attribution (CC BY) license (https://creativecommons.org/licenses/by/4.0/).
Share and Cite
Alba-Arroyo, J.E.; Caballero-Benitez, S.F.; Jáuregui, R. Rotational Dynamics Induced by Low-Energy Binary Collisions of Quantum Droplets. Photonics 2023, 10, 823. https://doi.org/10.3390/photonics10070823
Alba-Arroyo JE, Caballero-Benitez SF, Jáuregui R. Rotational Dynamics Induced by Low-Energy Binary Collisions of Quantum Droplets. Photonics. 2023; 10(7):823. https://doi.org/10.3390/photonics10070823
Chicago/Turabian StyleAlba-Arroyo, J. E., S. F. Caballero-Benitez, and R. Jáuregui. 2023. "Rotational Dynamics Induced by Low-Energy Binary Collisions of Quantum Droplets" Photonics 10, no. 7: 823. https://doi.org/10.3390/photonics10070823
APA StyleAlba-Arroyo, J. E., Caballero-Benitez, S. F., & Jáuregui, R. (2023). Rotational Dynamics Induced by Low-Energy Binary Collisions of Quantum Droplets. Photonics, 10(7), 823. https://doi.org/10.3390/photonics10070823

