Force Dependent Quantum Phase Transition in the Hybrid Optomechanical System
Abstract
:1. Introduction
2. Model and Hamiltonian
3. Normal Phase and Super-Radiant Phase
3.1. Normal Phase
3.2. Super-Radiant Phase
4. Simulations and Discussion
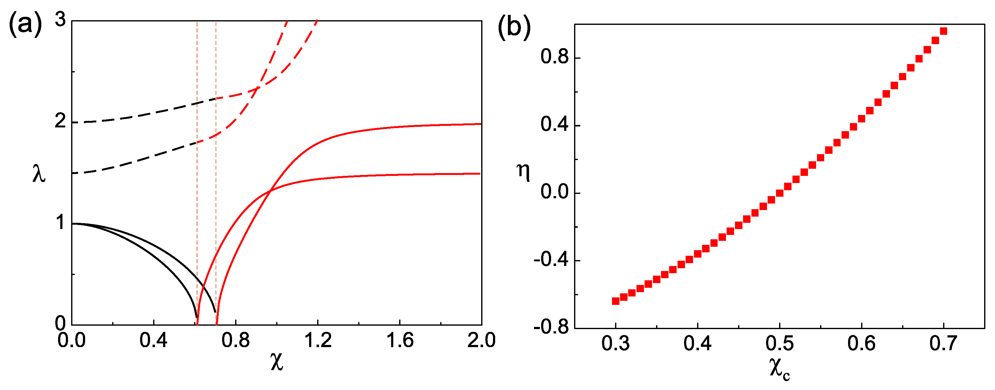
4.1. Force Dependent Quantum Phase Transition
4.2. Force Measurement Based on Squeezed Field
5. Conclusions
Author Contributions
Funding
Institutional Review Board Statement
Informed Consent Statement
Data Availability Statement
Conflicts of Interest
Appendix A. The Mode Transformation
Appendix A.1. Normal Phase
Appendix A.2. Super-Radiant Phase
Appendix B. Variance
References
- Bose, S.; Jacobs, K.; Knight, P.L. Preparation of nonclassical states in cavities with a moving mirror. Phys. Rev. A 1997, 56, 4175. [Google Scholar] [CrossRef] [Green Version]
- Vitali, D.; Gigan, S.; Ferreira, A.; Böhm, H.R.; Tombesi, P.; Guerreiro, A.; Vedral, V.; Zeilinger, A.; Aspelmeyer, M. Optomechanical entanglement between a movable mirror and a cavity field. Phys. Rev. Lett. 2007, 98, 030405. [Google Scholar] [CrossRef] [Green Version]
- Sun, L.H.; Li, G.X.; Ficek, Z. First-order coherence versus entanglement in a nanomechanical cavity. Phys. Rev. A 2012, 85, 022327. [Google Scholar] [CrossRef] [Green Version]
- Liao, J.Q.; Law, C.K. Parametric generation of quadrature squeezing of mirrors in cavity optomechanics. Phys. Rev. A 2011, 83, 033820. [Google Scholar] [CrossRef] [Green Version]
- Han, Y.; Cheng, J.; Zhou, L. The quadrature squeezing of a mirror in cavity optomechanics coupled with atomic media. Eur. Phys. J. D 2013, 67, 20. [Google Scholar] [CrossRef]
- Agarwal, G.S.; Huang, S.M. Electromagnetically induced transparency in mechanical effects of light. Phys. Rev. A 2010, 81, 041803. [Google Scholar] [CrossRef] [Green Version]
- Huang, S.M.; Agarwal, G.S. Electromagnetically induced transparency from two-phonon processes in quadratically coupled membranes. Phys. Rev. A 2011, 83, 023823. [Google Scholar] [CrossRef] [Green Version]
- Safavi-Naeini, A.H.; Alegre, T.P.M.; Chan, J.; Eichenfield, M.; Winger, M.; Lin, Q.; Hill, J.T.; Chang, D.E.; Painter, O. Electromagnetically induced transparency and slow light with optomechanics. Nature 2011, 472, 69. [Google Scholar] [CrossRef] [Green Version]
- Weis, S.; Rivière, R.; Deléglise, S.; Gavartin, E.; Arcizet, O.; Schliesser, A.; Kippenberg, T.J. Optomechanically induced transparency. Science 2010, 330, 1520. [Google Scholar] [CrossRef] [Green Version]
- Zhang, J.-Q.; Li, Y.; Feng, M.; Xu, Y. Precision measurement of electrical charge with optomechanically induced transparency. Phys. Rev. A 2012, 86, 053806. [Google Scholar] [CrossRef] [Green Version]
- Lü, X.Y.; Jing, H.; Ma, J.Y.; Wu, Y. PT-symmetry-breaking chaos in optomechanics. Phys. Rev. Lett. 2015, 114, 253601. [Google Scholar] [CrossRef] [PubMed] [Green Version]
- Bakemeier, L.; Alvermann, A.; Fehske, H. Route to chaos in optomechanics. Phys. Rev. Lett. 2015, 114, 013601. [Google Scholar] [CrossRef] [Green Version]
- Agarwal, G.S.; Huang, S.M. Optomechanical systems as single-photon routers. Phys. Rev. A 2012, 85, 021801. [Google Scholar] [CrossRef] [Green Version]
- Xiong, H.; Si, L.G.; Yang, X.X.; Wu, Y. Asymmetric optical transmission in an optomechanical array. Appl. Phys. Lett. 2015, 107, 091116. [Google Scholar] [CrossRef]
- Gröblacher, S.; Hammerer, K.; Vanner, M.R.; Aspelmeyer, M. Observation of strong coupling between a micromechanical resonator and an optical cavity field. Nature 2009, 460, 724. [Google Scholar] [CrossRef] [PubMed] [Green Version]
- Thompson, J.D.; Zwickl, B.M.; Jayich, A.M.; Marquardt, F.; Girvin, S.M.; Harris, J.G.E. Strong dispersive coupling of a high-finesse cavity to a micromechanical membrane. Nature 2008, 452, 72. [Google Scholar] [CrossRef] [Green Version]
- Li, Y.; Wang, Y.D.; Xue, F.; Bruder, C. Quantum theory of transmission line resonator-assisted cooling of a micromechanical resonator. Phys. Rev. B 2008, 78, 134301. [Google Scholar] [CrossRef] [Green Version]
- Wilson-Rae, I.; Zoller, P.; Imamoglu, A. Laser cooling of a nanomechanical resonator mode to its quantum ground state. Phys. Rev. Lett. 2004, 92, 075507. [Google Scholar] [CrossRef] [Green Version]
- Wilson-Rae, I.; Nooshi, N.; Zwerger, W.; Kippenberg, T.J. Theory of ground state cooling of a mechanical oscillator using dynamical backaction. Phys. Rev. Lett. 2007, 99, 093901. [Google Scholar] [CrossRef] [Green Version]
- Marquardt, F.; Chen, J.P.; Clerk, A.A.; Girvin, S.M. Quantum theory of cavity-assisted sideband cooling of mechanical motion. Phys. Rev. Lett. 2007, 99, 093902. [Google Scholar] [CrossRef] [Green Version]
- Xia, K.; Evers, J. Ground State Cooling of a Nanomechanical Resonator in the Nonresolved Regime via Quantum Interference. Phys. Rev. Lett. 2009, 103, 227203. [Google Scholar] [CrossRef] [Green Version]
- Li, L.C.; Luo, R.H.; Liu, L.J.; Zhang, S.; Zhang, J.Q. Double-passage ground-state cooling induced by quantum interference in the hybrid optomechanical system. Sci. Rep. 2018, 8, 14276. [Google Scholar] [CrossRef] [PubMed]
- Schliesser, A.; Arcizet, O.; Rivière, R.; Anetsberger, G.; Kippenberg, T.J. Resolved-sideband cooling and position measurement of a micromechanical oscillator close to the Heisenberg uncertainty limit. Nat. Phys. 2009, 5, 509. [Google Scholar] [CrossRef] [Green Version]
- He, Y. Sensitivity of optical mass sensor enhanced by optomechanical coupling. Appl. Phys. Lett. 2011, 106, 121905. [Google Scholar] [CrossRef]
- Andreev, A.V.; Emel’yanov, V.I.; Il’Inskii, Y.A. Cooperative Effects in Optics: Superradiance and Phase Transitions; Institute of Physics Pub: Bristol, UK, 1993. [Google Scholar]
- Benedict, M.G. Super-Radiance: Multiatomic Coherent Emission; CRC Press: Los Angeles, CA, USA, 2018. [Google Scholar]
- Rehler, N.E.; Eberly, J.H. Superradiance. Phys. Rev. A 1971, 3, 1735. [Google Scholar] [CrossRef]
- Hepp, K.; Lieb, E.H. On the super-radiant phase transition for molecules in a quantized radiation field: The Dicke maser model. Ann. Phys. 1973, 76, 360. [Google Scholar] [CrossRef]
- Wang, Y.K.; Hioe, F.T. Phase transition in the Dicke model of superradiance. Phys. Rev. A 1973, 7, 831. [Google Scholar] [CrossRef]
- Lewenkopf, C.H.; Nemes, M.C.; Marvulle, V.; Pato, M.P.; Wreszinski, W.F. Level statistics transitions in the spin-boson model. Phys. Lett. A 1991, 155, 113. [Google Scholar] [CrossRef]
- Furuya, K.; Nemes, M.C.; Pellegrino, G.Q. Quantum dynamical manifestation of chaotic behavior in the process of entanglement. Phys. Rev. Lett. 1998, 80, 5524. [Google Scholar] [CrossRef] [Green Version]
- Angelo, R.M.; Furuya, K.; Nemes, M.C.; Pellegrino, G.Q. Recoherence in the entanglement dynamics and classical orbits in the N-atom Jaynes-Cummings model. Phys. Rev. A 2001, 64, 043801. [Google Scholar] [CrossRef] [Green Version]
- Emary, C.; Brandes, T. Quantum chaos triggered by precursors of a quantum phase transition: The Dicke model. Phys. Rev. Lett. 2003, 90, 044101. [Google Scholar] [CrossRef] [Green Version]
- Hou, X.W.; Hu, B. Decoherence, entanglement, and chaos in the Dicke model. Phys. Rev. A 2004, 69, 042110. [Google Scholar] [CrossRef]
- Lambert, N.; Emary, C.; Brandes, T. Entanglement and the phase transition in single-mode superradiance. Phys. Rev. Lett. 2004, 92, 073602. [Google Scholar] [CrossRef] [Green Version]
- Vidal, J.; Dusuel, S. Finite-size scaling exponents in the Dicke model. Europhys. Lett. 2006, 74, 817. [Google Scholar] [CrossRef] [Green Version]
- Liu, T.; Zhang, Y.Y.; Chen, Q.H.; Wang, K.L. Large-N scaling behavior of the ground-state energy, fidelity, and the order parameter in the Dicke model. Phys. Rev. A 2009, 80, 023810. [Google Scholar] [CrossRef] [Green Version]
- Dimer, F.; Estienne, B.; Parkins, A.S.; Carmichael, H.J. Proposed realization of the Dicke-model quantum phase transition in an optical cavity QED system. Phys. Rev. A 2007, 75, 013804. [Google Scholar] [CrossRef] [Green Version]
- Chen, G.; Chen, Z.D.; Liang, J.Q. Simulation of the super-radiant quantum phase transition in the superconducting charge qubits inside a cavity. Phys. Rev. A 2007, 76, 055803. [Google Scholar] [CrossRef]
- Boller, K.J.; Imamoğlu, A.; Harris, S.E. Observation of electromagnetically induced transparency. Phys. Rev. Lett. 1991, 66, 2593. [Google Scholar] [CrossRef] [Green Version]
- Teufel, J.D.; Donner, T.; Li, D.; Harlow, J.W.; Allman, M.S.; Cicak, K.; Sirois, A.J.; Whittaker, J.D.; Lehnert, K.W.; Simmonds, R.W. Sideband cooling of micromechanical motion to the quantum ground state. Nature 2011, 475, 359. [Google Scholar] [CrossRef] [Green Version]
- Barzanjeh, S.; Abdi, M.; Milburn, G.J.; Tombesi, P.; Vitali, D. Reversible optical-to-microwave quantum interface. Phys. Rev. Lett. 2012, 109, 130503. [Google Scholar] [CrossRef]
- Pflanzer, A.C.; Romero-Isart, O.; Cirac, J.I. Optomechanics assisted by a qubit: From dissipative state preparation to many-partite systems. Phys. Rev. A 2013, 88, 033804. [Google Scholar] [CrossRef] [Green Version]
- Ian, H.; Gong, Z.R.; Liu, Y.X.; Sun, C.P.; Nori, F. Cavity optomechanical coupling assisted by an atomic gas. Phys. Rev. A 2008, 78, 013824. [Google Scholar] [CrossRef] [Green Version]
- Genes, C.; Ritsch, H.; Drewsen, M.; Dantan, A. Atom-membrane cooling and entanglement using cavity electromagnetically induced transparency. Phys. Rev. A 2011, 84, 051801. [Google Scholar] [CrossRef] [Green Version]
- Li, L.C.; Hu, X.M.; Rao, S.; Xu, J. Atom-mirror entanglement via cavity dissipation. Phys. Rev. A 2015, 91, 052320. [Google Scholar] [CrossRef]
- Tan, H.T.; Sun, L.H. Hybrid Einstein-Podolsky-Rosen steering in an atom-optomechanical system. Phys. Rev. A 2015, 92, 063812. [Google Scholar] [CrossRef]
- Zhang, S.; Zhang, J.Q.; Zhang, J.; Wu, C.W.; Wu, W.; Chen, P.X. Ground state cooling of an optomechanical resonator assisted by a Λ-type atom. Opt. Express 2014, 22, 28118. [Google Scholar] [CrossRef] [PubMed]
- Vogell, B.; Stannigel, K.; Zoller, P.; Hammerer, K.; Rakher, M.T.; Korppi, M.; Jöckel, A.; Treutlein, P. Cavity-enhanced long-distance coupling of an atomic ensemble to a micromechanical membrane. Phys. Rev. A 2013, 87, 023816. [Google Scholar] [CrossRef] [Green Version]
- Shi, X.F.; Bariani, F.; Kennedy, T.A.B. Entanglement of neutral-atom chains by spin-exchange Rydberg interaction. Phys. Rev. A 2014, 90, 062327. [Google Scholar] [CrossRef] [Green Version]
- Jäger, S.B.; Cooper, J.; Holland, M.J.; Morigi, G. Nonequilibrium Quantum Phase Transition in a Hybrid Atom-Optomechanical System. Phys. Rev. Lett. 2018, 120, 063605. [Google Scholar] [CrossRef] [Green Version]
- Jäger, S.B.; Cooper, J.; Holland, M.J.; Morigi, G. Dynamical Phase Transitions to Optomechanical Superradiance. Phys. Rev. Lett. 2019, 123, 053601. [Google Scholar] [CrossRef] [Green Version]
- Wang, Z.; Lian, J.; Liang, J.Q.; Yu, Y.; Liu, W.M. Collapse of the superradiant phase and multiple quantum phase transitions for Bose-Einstein condensates in an optomechanical cavity. Phys. Rev. A 2016, 93, 033630. [Google Scholar] [CrossRef]
- Santos, J.P.; Semiao, F.L.; Furuya, K. Probing the quantum phase transition in the Dicke model through mechanical vibrations. Phys. Rev. A 2010, 82, 063801. [Google Scholar] [CrossRef] [Green Version]
- Wang, Y.; Liu, B.; Lian, J.; Liang, J. A scheme for detecting the atom-field coupling constant in the Dicke superradiation regime using hybrid cavity optomechanical system. Phys. Rev. A 2016, 93, 033630. [Google Scholar] [CrossRef]
- Aggarwal, N.; Mahajana, S.; Bhattacherjee, A.B. Optomechanical effect on the Dicke quantum phase transition and quasi-particle damping in a Bose–Einstein condensate: A new tool to measure weak force. J. Mod. Opt. 2013, 60, 1263. [Google Scholar] [CrossRef] [Green Version]
- Wu, Z.; Luo, R.H.; Zhang, J.Q.; Wang, Y.H.; Yang, W.; Feng, M. Force-induced transparency and conversion between slow and fast light in optomechanics. Phys. Rev. A 2017, 96, 033832. [Google Scholar] [CrossRef] [Green Version]
- Emary, C.; Brandes, T. Chaos and the quantum phase transition in the Dicke model. Phys. Rev. E 2003, 67, 066203. [Google Scholar] [CrossRef] [Green Version]
- Sachdev, S. Quantum Phase Transitions. Handbook of Magnetism and Advanced Magnetic Materials; John Wiley Sons Inc.: New York, NY, USA, 2007. [Google Scholar]
- Glauber, R. Coherent and incoherent states of the radiation field. Phys. Rev. Lett. 1963, 131, 2766. [Google Scholar] [CrossRef]
- Bishop, R.F.; Vourdas, A. Generalised coherent states and Bogoliubov transformations. J. Phys. A 1986, 19, 2525. [Google Scholar] [CrossRef]




Publisher’s Note: MDPI stays neutral with regard to jurisdictional claims in published maps and institutional affiliations. |
© 2021 by the authors. Licensee MDPI, Basel, Switzerland. This article is an open access article distributed under the terms and conditions of the Creative Commons Attribution (CC BY) license (https://creativecommons.org/licenses/by/4.0/).
Share and Cite
Li, L.; Zhang, J.-Q. Force Dependent Quantum Phase Transition in the Hybrid Optomechanical System. Photonics 2021, 8, 588. https://doi.org/10.3390/photonics8120588
Li L, Zhang J-Q. Force Dependent Quantum Phase Transition in the Hybrid Optomechanical System. Photonics. 2021; 8(12):588. https://doi.org/10.3390/photonics8120588
Chicago/Turabian StyleLi, Lingchao, and Jian-Qi Zhang. 2021. "Force Dependent Quantum Phase Transition in the Hybrid Optomechanical System" Photonics 8, no. 12: 588. https://doi.org/10.3390/photonics8120588
APA StyleLi, L., & Zhang, J.-Q. (2021). Force Dependent Quantum Phase Transition in the Hybrid Optomechanical System. Photonics, 8(12), 588. https://doi.org/10.3390/photonics8120588

