Abstract
Heteroatom-doped porous carbon materials are highly desired for supercapacitors. Herein, we report the preparation of such material from polybenzoxazine (PBZ), a kind of phenolic resin. Four different N- and O-codoped microporous carbon materials were obtained by changing carbonization temperature (600, 700, 800, and 900 °C). Their structures were characterized by scanning electron microscopy (SEM), nitrogen isothermal absorption and desorption, X-ray diffraction (XRD), Raman spectroscopy, elemental analysis and X-ray photoelectron spectroscopy (XPS), and their electrochemical performances were evaluated by cyclovoltammetry (CV) and galvanostatic charge–discharge (GCD) test in a three-electrode system. It was found that the carbon material (C-700) prepared at the carbonization temperature of 700 °C possesses the largest specific surface area (SSA), total pore volume and average pore size among the family, and thus displays the highest specific capacitance with a value of 205 F g−1 at a current density of 0.25 A g−1 and good cycling stability. The work demonstrates that the N- and O-codoped microporous carbon materials with high electrochemical performance can be derived from benzoxazine polymers and are promising for supercapacitor application.
1. Introduction
Accompanying rapid global economic growth, the consumption rate of fossil fuels increases in an explosive and uncontrollable manner, triggering significant social anxiety regarding the exhaustion of the limited fossil resources on our planet and the shortage of future energy supplies. Meanwhile, more and more worsened environmental pollution has directly threatened the survival of human society. Therefore, how to acquire and store green and sustainable energy from solar irradiation, wind, tide, and other natural resources has become one of the central research topics in scientific and industrial communities [1,2,3,4,5,6]. In this aspect, supercapacitors featuring high power density and long cycling life are one of the ideal electrochemical energy storage devices for such green and sustainable energy storage [7,8,9,10,11]. Hence, the exploration of high-performance electrode materials for supercapacitors has attracted great attention [12,13,14].
According to the difference in energy storage and release mechanisms, supercapacitors are divided into two categories: electrochemical double-layer capacitors (EDLCs) and pseudocapacitors [15,16,17]. The energy storage of pseudocapacitors operates through redox reactions of active materials, which include transition metal compounds and conductive polymers [18,19], while for EDLCs, the electrochemical performance is mainly attributed to the ion adsorption/desorption at the interface between electrodes and electrolytes. The representative materials of EDLCs are carbon materials, such as carbon nanotubes, graphene, carbon fibers, and so on [17,20,21,22,23]. Nowadays, porous carbons have attracted increasing attention because of their distinct advantages in energy storage, such as large specific surface areas (SSAs), low prices, optimal conductivities, and stable physical and chemical properties [24,25,26]. What is more, their preparations are generally easy and scalable. However, these kinds of porous carbon materials are often suffering from low specific capacitances, hampering their practical uses [27]. Heteroatom doping (such as the incorporation of B, N, O, P, and/or S) on carbon scaffold is an effective method to improve their electrochemical performances. This is because the doped heteroatoms can serve as electron-donating or electron-accepting sites as referred to carbon scaffold, thus enhancing electric conductivity, improving interfacial wettability between material surface and electrolyte, creating more structural defects and active sites, and absorbing ion species [28,29,30]. Moreover, many heteroatom-containing moieties, such as pyridines, pyrroles, and ketones, are redox-active and can augment material electrochemical capacitances through the Faradaic redox mechanism [26,27,28,29,30,31]. Therefore, porous carbon materials containing heteroatoms are a promising candidate for supercapacitor electrode materials.
So far, various precursors have been applied in the preparation of porous carbon materials, such as polyacrylonitrile, phenolic resins, polyaniline, biomass, and related derivatives [31,32,33,34,35]. Among them, polybenzoxazines (PBZs) are a kind of newly developed phenolic resins based on heterocyclic compounds with good molecular design flexibility. PBZs are derived from benzoxazine monomers by ring-opening polymerization and have been regarded as a kind of promising precursor material for preparation of N- and O-codoped porous carbon materials because of their excellent thermal properties, high char yields, and the absence of volatiles during the curing process [36,37,38]. Recently, Zhang et al. [39] synthesized an acid-modified porous carbon (N-C-(BA-a)) from a commercial benzoxazine resin by soft-templating method, and then fabricated supercapacitor electrodes and achieved specific capacitance up to 99.94 F g−1 at a current density of 0.1 A g−1 in 1 M Na2SO4 electrolyte. Liu et al. [40] prepared N- and O- codoped carbon materials (NOPC-x and NOPC-bis-CN-x) from biobased PBZs by a soft-template method. They found the higher content of the cyano group in benzoxazine monomers can render the resulting carbon materials with higher specific surface area, higher graphitization degree, and better pore size distribution. Consequently, NOPC-bis-CN-x bearing more cyano content displayed much better electrochemical properties than NOPC-x, and achieved an optimal specific capacitance of 167.3 F g−1 at 1 A g−1 with good cycling stability. Wang et al. [41] prepared N-doped mesoporous carbon materials (CNMs) from benzoxazine with a hard template method and investigated the effect of ultrasonic time, benzoxazine concentration, and carbonization temperature on the electrochemical performances of CNMs. Finally, they found CNM-800 prepared by carbonization at 800 °C gave the highest specific capacitance value of 428.8 F g−1 (0.25 A g−1) in the family. Moreover, CNM-800 has a good cycling stability, maintaining 98.5% of the original capacitance after 20,000 cycles at the current density of 5 A g−1.
In a previous work, we developed an effective method to prepare PBZ foam materials with a hierarchical pore structure from a very simple dimeric benzoxazine monomer derived from methylenedianiline [42]. Considering porous structure is favorable to achieve good capacitive performance for carbon materials, we are motivated to carbonize the obtained PBZ foam. Herein, we investigated the effect of carbonization temperatures and the activation process and found carbonization at 700 °C under N2 atmosphere and then activation with zinc chloride (ZnCl2) are the optimal conditions for the preparation of carbon materials. The resultant carbon material was found to have high N and O contents as well as a microporous structure. Moreover, it has been proven to be a good electrode material for supercapacitors with an optimal specific capacitance of 205 F g−1 at the current density of 0.25 A g−1 and good cycling performance.
2. Results and Discussion
The morphology of the obtained N- and O-codoped carbon materials was characterized by scanning electron microscopy (SEM). As shown in Figure 1a–h, all the products were micrometer-sized particles with numerous flat surfaces and sharp edges. Some rough surfaces with wrinkle structure were observed in C-700 and C-800 particles, while some surfaces of C-600 and C-900 particles seemed very smooth with some sunken holes. However, from these SEMs, it is difficult to find clear difference among the four carbon materials prepared by different calcination temperatures.
Figure 1.
SEM images of the N- and O-codoped carbon materials: (a,e) C-600, (b,f) C-700, (c,g) C-800, and (d,h) C-900.
The existence of porous structure in so-prepared carbon materials was analyzed by nitrogen adsorption–desorption experiments. As shown in Figure 2a, all of these four carbon materials prepared from different calcination temperatures displayed almost the same type-I nitrogen adsorption–desorption isotherms, indicating they all have microporous structures [17]. Further pore size distribution analysis (Figure 2b) found the pores in these materials were all ranging from 0.5 to 2.5 nm. However, as shown in Table 1, the parameters of SSA, total pore volume (Vtotal), and average pore size (Davg) were found to increase first and then decrease upon the elevation of carbonization temperaure, in which the largest data (823.10 m2 g−1, 0.352 cm3 g−1, and 1.708 nm, respectively) were reported by C-700 with a calcination temperature of 700 °C. This may be due to more pore canal generating upon the increment in carbonization temperature before the optimal value, leading to the increment in SSA, total pore volume, and average pore size parameters. However, further increment of carbonization temperature after the optimal point will coalesce a part of micropores structure, resulting in decrease in SSA, total pore volume, and average pore size. As we know, the porous structure and large SSA are beneficial to the diffusion and transportation of electrolyte ions, which can improve the electrochemical proeprties to some extent.
Figure 2.
(a) N2 adsorption–desorption isotherms, (b) the pore size distributions, (c) XRD patterns, (d) Raman spectra, and (e) XPS survey of N- and O-codoped carbon materials. (f) N 1s and (g) O 1s XPS spectra of C-700. (h) Schematic illustration of the possible N and O species in the carbon skeleton.
Table 1.
The results of N2 adsorption and desorption measurements, Raman spectra, element content, and N 1s and O 1s XPS peak analyses of the N- and O-codoped carbon materials.
Figure 2c displays X-ray diffraction (XRD) profiles of the obtained carbon materials. Two broad and weak peaks at 2θ of 23.8° and 45.0° are clearly visible in these profiles and can be assigned to the diffractions from (002) and (100) planes of graphite carbons, respectively [16]. The observation demonstrates the obtained carbon materials have been graphitized, but with a mostly amorphous structure. This can be further confirmed by Raman spectroscopy. As shown in Figure 2d, these carbon materials all displayed two characteristic Raman peaks at about 1345 and 1595 cm−1, which are attributed to D and G bands of graphitized structure and represent the structural defects and the well-graphitized structure, respectively. Since their intensity ratio (ID/IG) was found to decrease from 1.07 for C-600, to 1.06 for C-700, 1.04 for C-800 and 1.03 for C-900 (Table 1), the degree of graphitization increased upon the elevation of carbonization temperature. In general, the higher graphitization degree endows the material with better electric conductivity and larger electrochemical capacitance [43,44].
Elemental analysis was performed to determine the C, H, and N contents in the obtained carbon materials, while the O content was obtained using the subtraction method. As shown in Table 1, from C-600 to C-900, the C content increased, while those of H, N and O decreased, confirming again that the higher carbonization temperature resulted in the higher graphitization degree. However, all the obtained carbon materials were confirmed to possess a relatively large N content, ranging from 7.32% to 5.41%, and an O content ranging from 22.21% to 9.56%, demonstrating their N- and O-codoped nature. In order to obtain insight on the chemical states of the residue N and O moieties in the carbon materials, X-ray photoelectron spectroscopy (XPS) was carried out. As shown in Figure 2e, there are three main peaks identified in the survey XPS spectra, corresponding to C 1s, N 1s, and O 1s coral signals. As exemplified in Figure 2f, further deconvolution of the high-resolution N 1s signal can be fitted into the following three kinds of N species, pyridinic-N (N-6 at about 398.5 eV), pyrrolic-N (N-5 at about 400.2 eV), and quaternary-N (N-Q at about 402 eV) [40,45]. Meanwhile, the deconvolution of the O 1s XPS signal yielded three components at 530.2, 531.6 and 533.2 eV (Figure 2g), which can be attributed to carboxylic (O-C=O), ether and phenolic (C–O–C/C–OH), and carbonyl and quinone (C=O) moieties, respectively. The contents of these species are summarized in Table 1. According to these results, the plausible combination modes of N and O heteroatoms in the carbon skeleton may be proposed and schematically illustrated, as in Figure 2h. It can be seen that all other N and O-containing moieties except ether are redox-active and can be expected to contribute pseudocapacitance to the materials. Moreover, the existence of pyridine, pyrrole, carboxylic, and phenolic species can increase the interfacial wettability between the material surface and electrolyte, and can thus facilitate the transportation of electrolyte ions to the electrode inner part, which is favorable for their electrochemical performance. It is also reported that N-Q is beneficial for electron transportation, and increases the conductivity of carbonaceous materials [46]. Furthermore, it is noteworthy that C-700 was found to possess the largest C-O-C/C-OH content, as well as the second largest content of pyridinic N, pyrrolic N and C=O in the four carbon materials, which may be one of the reasons for its good capacitive performance.
The electrochemical performances of the obtained N- and O-codoped carbon materials were investigated with a three-electrode system using the tested carbon material-coated Ni foam as the working electrode in 0.5 M H2SO4 electrolyte at room temperature. Figure 3a displays the recorded cyclic voltammetry (CV) curves at the scan rate of 10 mV s−1. It was found that all the obtained N- and O-codoped carbon materials presented typical quasi-rectangular (slightly deformed rectangular) voltammogram shapes with small and broad redox peaks, suggesting the coexistence of double-layer capacitance and pseudocapacitance in the system. This is the same situation in the galvanostatic charge–discharge (GCD) profiles measured at the current density of 0.5 A g−1, as shown in Figure 3b. Their shapes were all close to isosceles triangles, demonstrating the main energy storage mechanism was belonging to double-layer capacitance. The isosceles triangle shape also indicated good capacitive properties and good cycling reversibility for the obtained carbon materials. However, all the GCD curves showed deviation from linearity, which is a typical sign for the presence of Faradaic capacitance. Since the obtained carbon materials were found to contain relatively high N and O residue contents, it is not surprising to observe pseudocapacitive behavior. In addition, it is because of the existence of pseudocapacitance that the heteroatom-doped carbon materials can have much better energy storage performance than pure carbon materials.
Figure 3.
(a) CV curves of N- and O-codoped carbon materials at the scan rate of 10 mV s−1; (b) GCD curves of N- and O-codoped carbon materials at the current density of 0.5 A g−1; (c) CV curves of C-700 at different scan rates; (d) GCD curves of C-700 at different current densitises; (e) EIS curves of N- and O-codoped carbon materials; (f) cycle stability curves of C-700.
When the comparison was carried out among the obtained carbon materials, one may find C-700 displayed the largest closed area in the CV profiles in Figure 3a, indicating it possesses the best electrochemical performance among the family. Table 2 further confirms C-700 reported the largest specific capacitances at all tested discharging current densities ranging from 0.5 to 5 A g−1. This may be ascribed to the largest values in SSA, total pore volume, and average pore size parameters that C-700 achieved in the family, as shown in Table 1. This coincides with our general knowledge that SSA is the most important factor that determines electrochemical double-layer capacitance with positive correlation. However, it is valuable to point out that complicated factors including the large surface area, the presence of micropores, the existence of heteroatoms, and highly graphitized carbon scaffold contributed to the excellent electrochemical performance of C-700.
Table 2.
The specific capacitances of N- and O-codoped carbon materials at different current densities.
Since C-700 behaved the best in the family, it was subjected to a more detailed investigation. Figure 3c displays its CV profiles at various scan rates. It can be seen that the quasi-rectangular shape was maintained in all these CV profiles, although it was gradually and slightly distorted along with the increment of scan rate. Similarly, the GCD profiles at various current densities kept their isosceles triangle shape, even in a current density as high as 5 A g−1, as shown in Figure 3d. Moreover, the specific capacitance was calculated to be 205, 180, 160, 140, and 105 F g−1 at a current density of 0.25, 0.5, 1, 2, and 5 A g−1, respectively (Table 2). Thus, the specific capacitance retention ratios at 5A g−1 are 58%, as compared to that at 0.5 A g−1, and 66%, as compared to that at 1 A g−1. All these illustrate that the C-700 electrode has excellent capacitive performance and is suitable for rapid charge–discharge operation in energy storage and re-supply [47,48].
In order to investigate the kinetics at the interface between the electrolyte and the electrode, EIS was performed on N- and O-codoped carbon material electrodes in the frequency range of 0.01 Hz–100 kHz. As shown in Figure 3e, the C-700 electrode displayed a Nyquist plot bearing the smallest semicircle in high-frequency region in the family. This reflects that the C-700 electrode had the smallest charge transfer resistance and diffusion resistance between the electrolyte and electrode surface [49], which is one of the reasons for its excellent electrochemical performance.
Finally, the cycling stability of the C-700 electrode was found by repeating the GCD test at a current density of 0.5 A g−1. As shown in Figure 3f, the C-700 electrode successfully retained 94.4% of initial specific capacitance after 5000 cycles, indicating it possesses good cycling stability.
3. Materials and Methods
3.1. Materials
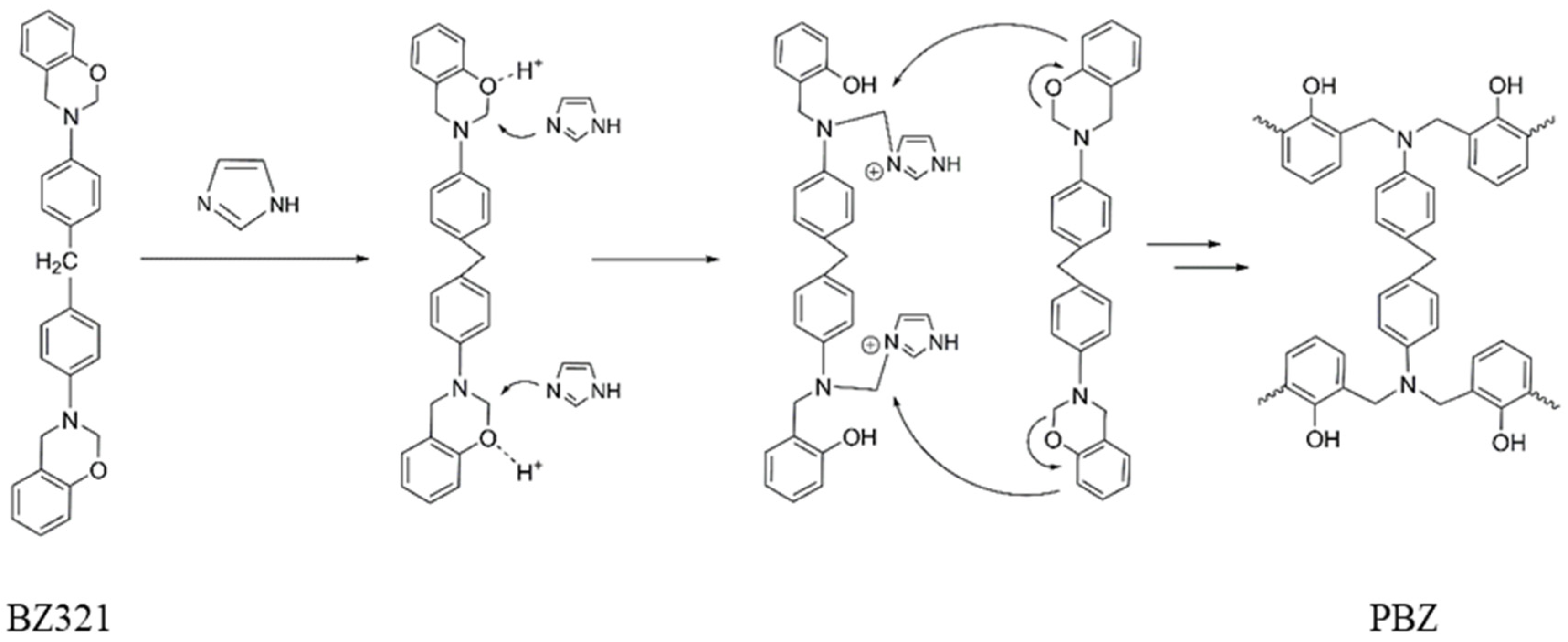
Methylenedianiline-derived dimeric benzoxazine monomer with the commercial name BZ321 (Figure 4) was purchased from Sichuan EM Technology Co., Ltd., (Mianyang, China). Butanone, imidazole, Tween-80, ZnCl2, H2SO4, HCl, and ethanol were obtained from Sinopharm Chemical Reagent Co., Ltd., (Beijing, China). Acetylene black and polyvinylidene fluoride (PVDF) were purchased from Shanxi Lizhiyuan Battery Material Co., Ltd., (Taiyuan, China). All chemical reagents were used without further purification.
Figure 4.
Possible mechanism diagram of the synthesis of PBZ.
3.2. Preparation
3.2.1. Synthesis of Polybenzoxazine
PBZ was prepared by the method developed in our previous work [42]. Briefly, 20 g benzoxazine powder was first mixed with 2 g imidazole. Afterward, 1.5 g Tween-80 and 4 g butanone were added into the system and stirred with a mechanical stirrer to form uniform mixture. Then, the reaction mixture was heated at 135 °C for 3 h for curing, affording about 18.56 g PBZ. The plausible mechanism for PBZ curing is shown in Figure 4.
3.2.2. Preparation of N- and O-Codoped Carbon Materials Derived from PBZ
The preparation of N- and O-codoped carbon materials engaged carbonization and activation in two steps. In the first step, PBZ was subjected to carbonization at various temperatures (600, 700, 800, or 900 °C) in a muffle under N2 atmosphere. The muffle was heated to carbonization temperature at a rate of 5 °C min−1 and then maintained at carbonization temperature for 3 h. In the second activation step, the obtained carbonized intermediates were mixed with ZnCl2 with a mass ratio of 1:3 under the help of appropriate amount of water. After soaking overnight at room temperature and then dried, the mixture was subjected to activation at 800 °C for 1 h in a muffle with N2 atmosphere. Finally, the products were subsequently washed with 20 wt% HCl and water until the pH was 7, and finally dried in vacuum at 85 °C. The obtained N- and O-codoped carbon materials were denoted as C-600, C-700, C-800, and C-900, respectively, according to their carbonization temperatures.
3.3. Characterizations
An FEI Nova NanoSEM 450 scanning electron microscope (Hillsboro, OR, USA) was utilized to study the morphology of N- and O-codoped carbon materials. In order to know material SSA and porous properties, nitrogen adsorption–desorption experiments were conducted by an ASAP 2020HD88 surface area and pore size analyzer (Atlanta, GA, USA). Before measurements, samples were degassed for more than 2 h at 300 °C under vacuum. The SSA was calculated by the conventional Brunauer-Emmett-Teller (BET) model. The total pore volume was estimated from single point adsorption at a relative pressure P/P0 ≈ 0.99. The pore size distribution plot of the adsorption isotherm was analyzed using the nonlocal density functional theory (NL-DFT) method. The microstructure of the N- and O-codoped carbon materials was characterized by a Bruker D8 Advance X-ray diffractometer (Hardestrahe, Karlsruhe, Germany) using Cu Kα radiation (Rigaku, Japan) and a DXR laser Raman spectrometer (Waltham, MA, USA) with the laser wavelength of 532 nm. Elemental analyzer (Vario MicroCube, Frankfurt, Germany) was used to determine the element contents of C, H, and N. The surface chemical structure of the samples was analyzed by an X-ray photoelectron spectroscope (PHI-5000 Versaprobe III, Maozaki, Japan).
3.4. Electrochemical Measurements
The electrochemical performance of N- and O-codoped carbon materials was investigated by a three-electrode system using CHI760E electrochemical workstation (Chenhua, Shanghai, China) with an Ag/AgCl reference electrode, a platinum counter electrode, and the tested carbon material-coated Ni foam working electrode, which is prepared as follows. First, the tested N- and O-codoped carbon sample was mixed with acetylene black and PVDF uniformly in ethanol with a mass ratio of 8:1:1. Then, the mixture was coated on a Ni foam with the area of 1 × 1 cm2 to form the working electrode. CV and GCD were conducted by an electrochemical workstation at room temperature in 0.5 M H2SO4 electrolyte. The potential scan rates of CV tests were 5, 10, 20, 50, and 100 mV s−1, and the voltage window was −0.2–0.8 V. The GCD experiments were conducted at various current densities of 0.25, 0.5, 1, 2, and 5 A g−1. The specific capacitance (C, F g−1) can be calculated from galvanostatic discharge process by the following equality:
where I (A) is the discharge current, Δt (s) is the discharge time, ΔV (V) is the potential window, and m (g) is the mass of the active material loaded on the working electrode. Cycling stability tests were conducted by 5000 GCD cycles at a current density of 0.5 A g−1. Electrochemical impedance spectroscopy (EIS) was recorded from 100 kHz to 0.01 Hz.
4. Conclusions
Four N- and O-codoped microporous carbon materials have been prepared from carbonization of a PBZ polymer curved from a methylenedianiline-derived dimeric benzoxazine monomer. Various carbonization temperatures have been investigated and finally found that 700 °C is the most suitable one. Under such conditions, the produced carbon material, C-700, possesses a microporous structure with the largest specific surface area, total pore volume, and average pore size among the family. Together with its relatively high residue N content, C-700 displayed the best electrochemical performance among the family and achieved the highest specific capacitance of 205 F g−1 at the current density of 0.25 A g−1 in the three-electrode system and good cycling stability. These results highlight that benzoxazine-derived polymers are a kind of excellent precursor for preparation of porous heteroatom-doped carbon materials with high capacitive performance and promising application in supercapacitors.
Author Contributions
Conceptualization, Y.-Y.L., Z.-W.X. and W.-S.L.; methodology, Y.-L.L., L.-N.L. and W.-S.L.; software, L.-N.L. and Z.-W.X.; validation, G.X.; investigation, Y.-Y.L., Y.-L.L., L.-N.L., Z.-W.X. and G.X.; resources Y.W., T.G. and W.-S.L.; data curation, Z.-W.X., Y.W. and F.-G.Z.; writing—original draft preparation, Y.-Y.L.; writing—review and editing, W.-S.L.; supervision, W.-S.L. All authors have read and agreed to the published version of the manuscript.
Funding
This work was supported by the Science and Technology Breakthrough Plan of Henan Province (232102230154), Basic Research and Applied Research Project of Zhengzhou Science and Technology Bureau (zkz202109), the Key Projects of Henan Provincial High School (22B150021), Higher Education Research and Practice of Teaching Reform Project of Henan Province (2021SJGLX1035), Postdoctoral Innovation Practice Base, Zhengzhou University of Technology (210007), the High-level Talents Research Foundation Project of Zhengzhou University of Technology (22072), Zhengzhou Academician Workstation for Organic Functional Materials.
Data Availability Statement
Not applicable.
Conflicts of Interest
The authors declare no conflict of interest.
References
- Wang, D.; Zhou, Q.; Fu, H.; Lian, Y.; Zhang, H. A Fe2(SO4)3-assisted approach towards green synthesis of cuttlefish ink-derived carbon nanospheres for high-performance supercapacitors. J. Colloid Interface Sci. 2023, 638, 695–708. [Google Scholar] [CrossRef]
- Zhang, W.; Zhang, L.; Guo, J.; Lee, J.; Lin, L.; Diao, G. Carbon nanofibers based on potassium citrate/polyacrylonitrile for supercapacitors. Membranes 2022, 12, 272. [Google Scholar] [CrossRef]
- Liu, T.; Chen, L.; Chen, L.; Tian, G.; Ji, M.; Zhou, S. Layer-by-layer heterostructure of MnO2@reduced graphene oxide composites as high-performance electrodes for supercapacitors. Membranes 2022, 12, 1044. [Google Scholar] [CrossRef] [PubMed]
- Yuan, L.; Xin, N.; Liu, Y.; Shi, W. In situ construction of multi-dimensional Co3O4/NiCo2O4 hierarchical flakes on self-supporting carbon substrate with ultra-high capacitance for hybrid supercapacitors. J. Colloid Interface Sci. 2021, 599, 158–167. [Google Scholar] [CrossRef]
- Pang, Z.; Li, G.; Xiong, X.; Ji, L.; Xu, Q.; Zou, X.; Lu, X. Molten salt synthesis of porous carbon and its application in supercapacitors: A review. J. Energy Chem. 2021, 61, 622–640. [Google Scholar] [CrossRef]
- Chen, L.; Hao, C.; Zhang, Y.; Wei, Y.; Dai, L.; Cheng, J.; Zhang, H. Guest ions pre-intercalation strategy of manganese-oxides for supercapacitor and battery applications. J. Energy Chem. 2021, 60, 480–493. [Google Scholar] [CrossRef]
- Yuan, F.; Li, C.; Wu, J.; Liang, Y.; Huang, H.; Xu, S.; Liang, X.; Zhou, W.; Guo, J. Binder-free hybrid cobalt-based sulfide/oxide nanoarrays toward enhanced energy storage performance for hybrid supercapacitors. J. Energy Storage 2023, 63, 106979. [Google Scholar] [CrossRef]
- Chen, G.; Zhang, L.; Zhu, Y.; Wan, Z.; Huang, X.; Yin, J.; Liu, Z.; Zhou, Y.; Xia, Y. A supercapacitor electrode with ultrahigh areal capacity by using loofah-inspired bimetallic selenide-incorporated hierarchical nanowires. J. Alloys Compd. 2023, 943, 169045. [Google Scholar] [CrossRef]
- Lu, Y.H.; Wang, Y.Z.; Tsai, M.Y.; Lin, H.P.; Hsu, C.H. Electrospun benzimidazole-based polyimide membrane for supercapacitor applications. Membranes 2022, 12, 961. [Google Scholar] [CrossRef] [PubMed]
- Joshi, B.; Samuel, E.; Park, C.; Kim, Y.; Lee, H.S.; Yoon, S.S. Bimetallic ZnFe2O4 nanosheets prepared via electrodeposition as binder-free high-performance supercapacitor electrodes. Appl. Surf. Sci. 2021, 559, 149951. [Google Scholar] [CrossRef]
- Zhang, X.; Shao, B.; Guo, A.; Sun, Z.; Zhao, J.; Cui, F.; Yang, X. MnO2 nanoshells/Ti3C2Tx MXene hybrid film as supercapacitor electrode. Appl. Surf. Sci. 2021, 560, 150040. [Google Scholar] [CrossRef]
- Dai, T.; Cai, B.; Yang, X.; Jiang, Y.; Wang, L.; Wang, J.; Li, X.; Lü, W. Asymmetric supercapacitors based on SnNiCoS ternary metal sulfide electrodes. Nanotechnology 2023, 34, 225401. [Google Scholar] [CrossRef] [PubMed]
- Yu, J.; Ding, C.; Wang, X.; Huang, P. Optimized synthesis of N-doped multi-channel carbon derived from fiber-reinforced polyimide composites for supercapacitors. Mater. Lett. 2023, 339, 134036. [Google Scholar] [CrossRef]
- Liu, Y.; Xiang, C.; Chu, H.; Qiu, S.; McLeod, J.; She, Z.; Xu, F.; Sun, L.; Zou, Y. Binary Co-Ni oxide nanoparticle-loaded hierarchical graphitic porous carbon for high-performance supercapacitors. J. Mater. Sci. Technol. 2020, 37, 135–142. [Google Scholar] [CrossRef]
- Li, J.; Yang, J.; Wang, P.; Cong, Z.; Shi, F.; Wei, L.; Wang, K.; Tong, Y. NiCo2S4 combined 3D hierarchical porous carbon derived from lignin for high-performance supercapacitors. Int. J. Biol. Macromol. 2023, 232, 123344. [Google Scholar] [CrossRef]
- Liu, Z.; Zhao, Z.; Xu, A.; Li, W.; Qin, Y. Facile preparation of graphene/polyaniline composite hydrogel film by electrodeposition for binder-free all-solid-state supercapacitor. J. Alloys Compd. 2021, 875, 159931. [Google Scholar] [CrossRef]
- Cao, L.; Li, H.; Liu, X.; Liu, S.; Zhang, L.; Xu, W.; Yang, H.; Hou, H.; He, S.; Zhao, Y.; et al. Nitrogen, sulfur co-doped hierarchical carbon encapsulated in graphene with ‘‘sphere-in-layer” interconnection for high-performance supercapacitor. J. Colloid Interface Sci. 2021, 599, 443–452. [Google Scholar] [CrossRef] [PubMed]
- Wang, Y.; Liu, G.; Liu, Y.; Yang, J.; Liu, P.; Jiang, Q.; Jiang, F.; Liu, C.; Ding, W.; Xu, J. Heterostructural conductive polymer with multi-dimensional carbon materials for capacitive energy storage. Appl. Surf. Sci. 2021, 558, 149910. [Google Scholar] [CrossRef]
- Xiao, Y.; Liu, Y.; Liu, F.; Han, P.; Qin, G. Wearable pseudocapacitor based on porous MnO2 composite. J. Alloys Compd. 2020, 813, 152089. [Google Scholar] [CrossRef]
- Gu, J.; Wang, H.; Li, S.; Riaz, M.S.; Ning, J.; Pu, X.; Hu, Y. Tuning pyridinic-N and graphitic-N doping with 4,4′-bipyridine in honeycomb-like porous carbon and distinct electrochemical roles in aqueous and ionic liquid gel electrolytes for symmetric supercapacitors. J. Colloid Interface Sci. 2023, 635, 254–264. [Google Scholar] [CrossRef]
- Samal, R.; Bhat, M.; Kapse, S.; Thapa, R.; Late, D.J.; Rout, C.S. Enhanced energy storage performance and theoretical studies of 3D cuboidal manganese diselenides embedded with multiwalled carbon nanotubes. J. Colloid Interface Sci. 2021, 598, 500–510. [Google Scholar] [CrossRef]
- Zhao, Z.; Shen, T.; Liu, Z.; Zhong, Q.; Qin, Y. Facile fabrication of binder-free reduced graphene oxide/MnO2/Ni foam hybrid electrode for high-performance supercapacitors. J. Alloys Compd. 2020, 812, 152124. [Google Scholar] [CrossRef]
- Sha, Z.; Zhou, Y.; Huang, F.; Yang, W.; Yu, Y.; Zhang, J.; Wu, S.; Brown, S.A.; Peng, S.; Han, Z.; et al. Carbon fibre electrodes for ultra long cycle life pseudocapacitors by engineering the nano-structure of vertical graphene and manganese dioxide. Carbon 2021, 177, 260–270. [Google Scholar] [CrossRef]
- Fu, F.; Yang, D.; Zhao, B.; Fan, Y.; Liu, W.; Lou, H.; Qiu, X. Boosting capacitive performance of N, S co-doped hierarchical porous lignin-derived carbon via self-assembly assisted template-coupled activation. J. Colloid Interface Sci. 2023, 640, 698–709. [Google Scholar] [CrossRef] [PubMed]
- Guo, N.; Liu, A.; Luo, W.; Ma, R.; Yan, L.; Ai, L.; Xu, M.; Wang, L.; Jia, D. Hybrid nanoarchitectonics of coal-derived carbon with oxidationinduced morphology-selectivity for high-performance supercapacitor. J. Colloid Interface Sci. 2023, 639, 171–179. [Google Scholar] [CrossRef] [PubMed]
- Yang, J.; Tan, Z.; Chen, X.; Liang, Y.; Zheng, M.; Hu, H.; Dong, H.; Liu, X.; Liu, Y.; Xiao, Y. A mild method to prepare nitrogen-rich interlaced porous carbon nanosheets for high-performance supercapacitors. J. Colloid Interface Sci. 2021, 599, 381–389. [Google Scholar] [CrossRef]
- Lei, X.; Pan, F.; Hua, C.; Wang, S.; Xiong, B.; Liu, Y.; Fu, Z.; Xiang, B.; Lu, Y. Oxide-doped hierarchically porous carbon for high-performance supercapacitor. J. Alloys Compd. 2022, 901, 163624. [Google Scholar] [CrossRef]
- Periyasamy, T.; Asrafali, S.P.; Kim, S.C. Heteroatom-enhanced porous carbon materials based on polybenzoxazine for supercapacitor electrodes and CO2 capture. Polymers 2023, 15, 1564. [Google Scholar] [CrossRef] [PubMed]
- Lu, Z.; Liu, X.; Wang, T.; Huang, X.; Dou, J.; Wu, D.; Yu, J.; Wu, S.; Chen, X. S/N-codoped carbon nanotubes and reduced graphene oxide aerogel based supercapacitors working in a wide temperature range. J. Colloid Interface Sci. 2023, 638, 709–718. [Google Scholar] [CrossRef] [PubMed]
- Lin, S.; Mo, L.; Wang, F.; Shao, Z. N/O co-doped hierarchically porous carbon with three-dimensional conductive network for high-performance supercapacitors. J. Alloys Compd. 2021, 873, 159705. [Google Scholar] [CrossRef]
- Wang, R.; Lei, W.; Wang, L.; Li, Z.; Chen, J.; Hu, Z. N-doped carbon nanofibrous film with unique wettability, enhanced supercapacitive property, and facile capacity to demulsify surfactant free oil-in-water emulsions. Chem. Res. Chin. Univ. 2021, 37, 436–442. [Google Scholar] [CrossRef]
- Wen, J.; Chen, X.; Huang, M.; Yang, W.; Deng, J. Core-shell-structured MnO2@carbon spheres and nitrogen-doped activated carbon for asymmetric supercapacitors with enhanced energy density. J. Chem. Sci. 2020, 132, 6. [Google Scholar] [CrossRef]
- Xiang, X.; Liu, E.; Huang, Z.; Shen, H.; Tian, Y.; Xiao, C.; Yang, J.; Mao, Z. Preparation of activated carbon from polyaniline by zinc chloride activation as supercapacitor electrodes. J. Solid State Electrochem. 2011, 15, 2667–2674. [Google Scholar] [CrossRef]
- Jaouadi, M.; Marzouki, M.; Hamzaoui, A.H.; Ghodbane, O. Enhanced electrochemical performance of olive stonesderived activated carbon by silica coating for supercapacitor applications. J. Appl. Electrochem. 2022, 52, 125–137. [Google Scholar] [CrossRef]
- Qu, K.; Chen, M.; Wang, W.; Yang, S.; Jing, S.; Guo, S.; Tian, J.; Qi, H.; Huang, Z. Biomass-derived carbon dots regulating nickel cobalt layered double hydroxide from 2D nanosheets to 3D flower-like spheres as electrodes for enhanced asymmetric supercapacitors. J. Colloid Interface Sci. 2022, 616, 584–594. [Google Scholar] [CrossRef]
- Yin, Q.; Zhang, Z.; Liu, H. Research progress of low dielectric benzoxazine resin. J. Polym. Sci. Eng. 2018, 1, 234. [Google Scholar] [CrossRef]
- Yu, Z.L.; Qin, B.; Ma, Z.Y.; Huang, J.; Li, S.C.; Zhao, H.Y.; Li, H.; Zhu, Y.B.; Wu, H.A.; Yu, S.H. Superelastic hard carbon nanofiber aerogels. Adv. Mater. 2019, 31, 1900651. [Google Scholar] [CrossRef]
- Thirukumaran, P.; Atchudan, R.; Parveen, A.S.; Lee, Y.R.; Kim, S.C. Polybenzoxazine originated N-doped mesoporous carbon ropes as an electrode material for high-performance supercapacitors. J. Alloys Compd. 2018, 750, 384–391. [Google Scholar] [CrossRef]
- Zhang, K.; Shang, Z.; Wu, S.; Wang, J.; Sheng, W.; Shen, X.; Zhu, M. Commercialized benzoxazine resin-derived porous carbon as high performance electrode materials for supercapacitor. J. Inorg. Organomet. Polym. 2017, 27, 1423–1429. [Google Scholar] [CrossRef]
- Liu, Y.; Cao, L.; Luo, J.; Peng, Y.; Ji, Q.; Dai, J.; Zhu, J.; Liu, X. Biobased nitrogen- and oxygen-codoped carbon materials for high-performance supercapacitor. ACS Sustain. Chem. Eng. 2019, 7, 2763–2773. [Google Scholar] [CrossRef]
- Wang, L.; Sun, J.; Zhang, H.; Xu, L.; Liu, G. Preparation of benzoxazine-based N-doped mesoporous carbon material and its electrochemical behaviour as supercapacitor. J. Electroanal. Chem. 2020, 868, 114196. [Google Scholar] [CrossRef]
- Zhou, X.; Li, Y.; Li, J.; Wang, Y.; Liu, C.; Wang, L.; Li, S.; Song, Y. Preparation and characterization of polybenzoxazine foam with flame retardancy. Polym. Adv. Technol. 2020, 31, 3095–3103. [Google Scholar] [CrossRef]
- Zhao, M.Q.; Zhang, Q.; Huang, J.Q.; Tian, G.L.; Nie, J.Q.; Peng, H.J.; Wei, F. Unstacked double-layer templated graphene for high-rate lithium-sulphur batteries. Nat. Commun. 2014, 5, 3410. [Google Scholar] [CrossRef] [PubMed]
- He, W.; Ren, P.G.; Dai, Z.; Hou, X.; Ren, F.; Jin, Y.L. Hierarchical porous carbon composite constructed with 1-D CNT and 2-D GNS anchored on 3-D carbon skeleton from spent coffee grounds for supercapacitor. Appl. Surf. Sci. 2021, 558, 149899. [Google Scholar] [CrossRef]
- Liu, W.; Mei, J.; Liu, G.; Kou, Q.; Yi, T.; Xiao, S. Nitrogen-doped hierarchical porous carbon from wheat straw for supercapacitors. ACS Sustain. Chem. Eng. 2018, 6, 11595–11605. [Google Scholar] [CrossRef]
- Zhang, H.; Xu, L.; Liu, G. Synthesis of benzoxazine-based N-doped mesoporous carbons as high-performance electrode materials. Appl. Sci. 2020, 10, 422. [Google Scholar] [CrossRef]
- Wang, D.; Wang, Y.; Liu, H.; Xu, W.; Xu, L. Unusual carbon nanomesh constructed by interconnected carbon nanocages for ionic liquid-based supercapacitor with superior rate capability. Chem. Eng. J. 2018, 342, 474–483. [Google Scholar] [CrossRef]
- Chen, L.F.; Zhang, X.D.; Liang, H.W.; Kong, M.; Guan, Q.F.; Chen, P.; Wu, Z.Y.; Yu, S.H. Synthesis of nitrogen-doped porous carbon nanofibers as an efficient electrode material for supercapacitors. ACS Nano 2012, 6, 7092–7102. [Google Scholar] [CrossRef]
- Guan, X.; Pan, L.; Fan, Z. Flexible, transparent and highly conductive polymer film electrodes for all-solid-state transparent supercapacitor applications. Membranes 2021, 11, 788. [Google Scholar] [CrossRef]
Disclaimer/Publisher’s Note: The statements, opinions and data contained in all publications are solely those of the individual author(s) and contributor(s) and not of MDPI and/or the editor(s). MDPI and/or the editor(s) disclaim responsibility for any injury to people or property resulting from any ideas, methods, instructions or products referred to in the content. |
© 2023 by the authors. Licensee MDPI, Basel, Switzerland. This article is an open access article distributed under the terms and conditions of the Creative Commons Attribution (CC BY) license (https://creativecommons.org/licenses/by/4.0/).



