Dependence of Ge/Si Avalanche Photodiode Performance on the Thickness and Doping Concentration of the Multiplication and Absorption Layers
Abstract
1. Introduction
2. Device Structure and TCAD Physical Simulation Models
3. The Simulation Results of APD Characteristics
3.1. The Effect of Multiplication Layer Parameters
3.1.1. The Multiplication Gain and Breakdown Voltage
3.1.2. The Bandwidth
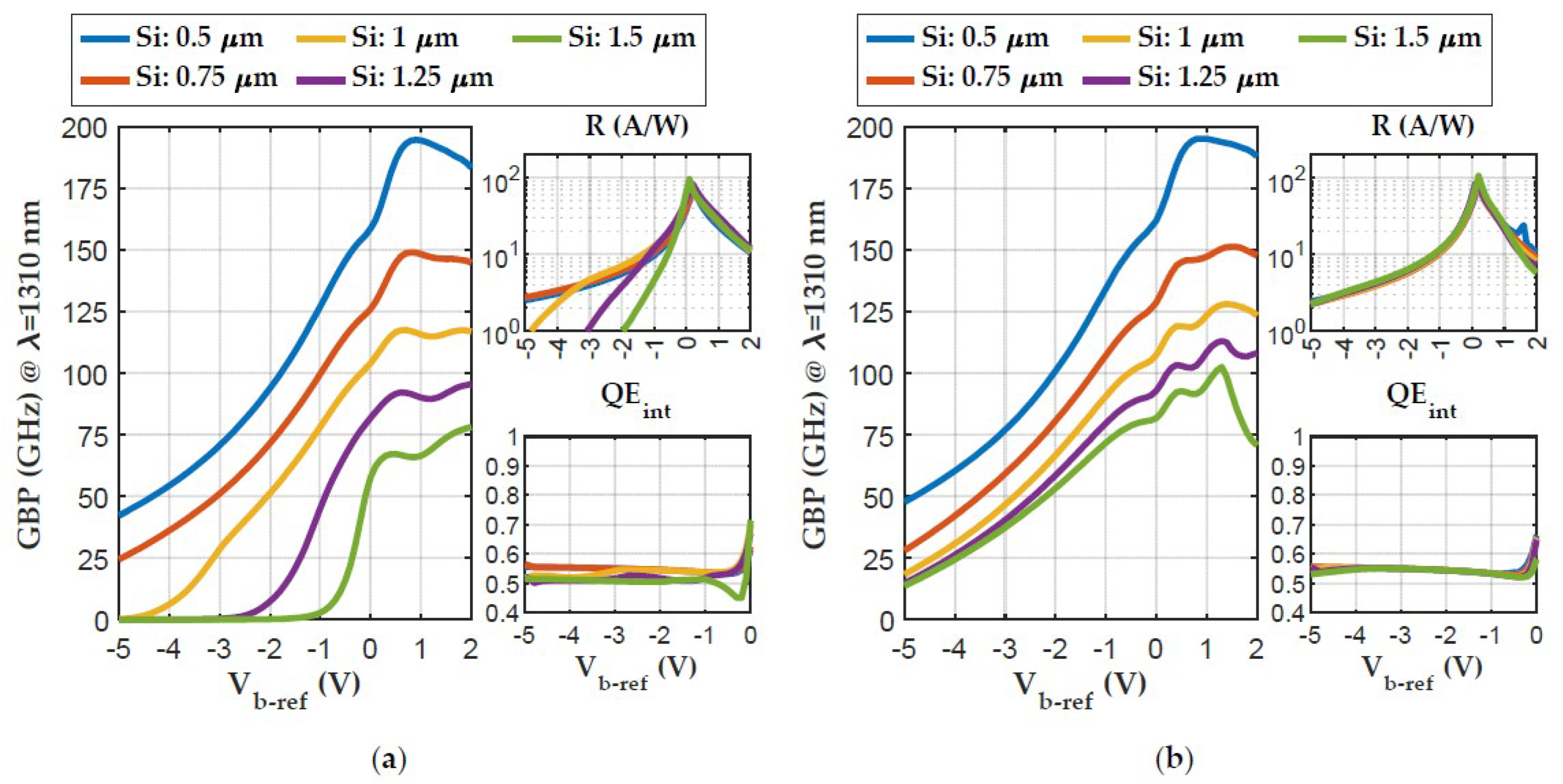
3.1.3. The Gain Bandwidth Product, Responsivity, and Quantum Efficiency
3.1.4. The Photodiode Spectral Response
3.2. The Effect of Absorption Layer Parameters
3.2.1. The Multiplication Gain and Breakdown Voltage
3.2.2. The Bandwidth
3.2.3. The Gain Bandwidth Product, Responsivity, and Quantum Efficiency
3.2.4. The Photodiode Spectral Response
4. Conclusions
Author Contributions
Funding
Data Availability Statement
Conflicts of Interest
References
- Benedikovic, D.; Aubin, G.; Haetmann, J.-M.; Amar, F.; Le Roux, X.; Alonso-Ramos, C.; Cassan, É.; Marris-Morini, D.; Boeuf, F.; Fédéli, J.-M.; et al. Silicon-Germanium Avalanche Receivers with fJ/bit Energy Consumption. IEEE J. Sel. Top. Quantum Electron. 2022, 28, 3802508. [Google Scholar] [CrossRef]
- Srinivasan, S.A.; Lambrecht, J.; Guermandi, D.; Lardenois, D.; Berciano, M.; Absil, P.; Bauwelinck, J.; Yin, X.; Pantouvaki, M.; Campenhout, J.V. 56 Gb/s NRZ O-Band Hybrid BiCMOS-Silicon Photonics Receiver Using Ge/Si Avalanche Photodiode. J. Light. Technol. 2021, 39, 1409–1415. [Google Scholar] [CrossRef]
- Zhang, J.; Kuo, B.P.-P.; Radic, S. 64 Gb/s PAM4 and 160 Gb/s 16QAM modulation reception using a low-voltage Si-Ge waveguide-integrated APD. Opt. Express 2020, 28, 23266. [Google Scholar] [CrossRef]
- Wang, B.; Huang, Z.; Sorin, W.V.; Zeng, X.; Liang, D.; Fiorentino, M.; Beausoleil, R.G. A Low-Voltage Si-Ge Avalanche Photodiode for High-Speed and Energy Efficient Silicon Photonic Links. J. Light. Technol. 2020, 38, 3156–3163. [Google Scholar] [CrossRef]
- Chen, H.T.; Verheyen, V.P.; De Heyn, P.; Lepage, G.; De Coster, J.; Absil, P.; Yin, X.; Bauwelinck, J.; Van Campenhout, J.; Roelkens, G. High sensitivity 10 Gb/s Si photonic receiver based on a low-voltage waveguide-coupled Ge avalanche photodetector. Opt. Express 2015, 23, 815–822. [Google Scholar] [CrossRef] [PubMed]
- Izhnin, I.I.; Lozovoy, K.A.; Kokhanenko, A.P.; Khomyakova, K.I.; Douhan, R.M.H.; Dirko, V.V.; Voitsekhovskii, A.V.; Fitsych, O.I.; Akimenko, Y.N. Single-photon avalanche diode detectors based on group IV materials. Appl. Nanosci. 2022, 12, 253–263. [Google Scholar] [CrossRef]
- Douhan, R.; Lozovoy, K.; Kokhanenko, A.; Deeb, H.; Dirko, V.; Khomyakova, K. Recent Advances in Si-Compatible Nanostructured Photodetectors. Technologies 2023, 11, 17. [Google Scholar] [CrossRef]
- Hakkel, K.D.; Petruzzella, M.; Ou, F.; van Klinken, A.; Pagliano, F.; Liu, T.; van Veldhoven, R.P.J.; Fiore, A. Integrated near-infrared spectral sensing. Nat. Commun. 2022, 13, 69. [Google Scholar] [CrossRef]
- Liu, D.; Li, T.; Tang, B.; Zhang, P.; Wang, W.; Liu, M.; Li, Z. A Near-Infrared CMOS Silicon Avalanche Photodetector with Ultra-Low Temperature Coefficient of Breakdown Voltage. Micromachines 2022, 13, 47. [Google Scholar] [CrossRef]
- Li, Y.; Luo, X.; Liang, G.; Lo, G.-Q. Demonstration of Ge/Si Avalanche Photodetector Arrays for Lidar Application. In Proceedings of the 2019 Optical Fiber Communications Conference and Exhibition (OFC), San Diego, CA, USA, 3–7 March 2019; pp. 1–3. [Google Scholar]
- Campbell, J.C.; Demiguel, S.; Ma, F.; Beck, A. Recent Advances in Avalanche Photodiodes. J. Light. Technol. 2016, 34, 278–285. [Google Scholar] [CrossRef]
- Lacaita, A.; Francese, P.A.; Zappa, F.; Cova, S. Single-photon detection beyond 1 μm: Performance of commercially available germanium photodiodes. Appl. Opt. 1994, 33, 6902–6918. [Google Scholar] [CrossRef]
- Zaoui, W.S.; Chen, H.-W.; Bowers, J.E.; Kang, Y.; Morse, M.; Paniccia, M.J.; Pauchard, A.; Campbell, J.C. Frequency response and bandwidth enhancement in Ge/Si avalanche photodiodes with over 840 GHz gain-bandwidth-product. Opt Express 2009, 17, 12641–12649. [Google Scholar] [CrossRef] [PubMed]
- Kang, Y.; Liu, H.-D.; Morse, M.; Paniccia, M.J.; Zadka, M.; Litski, S.; Sarid, G.; Pauchard, A.; Kuo, Y.-H.; Chen, H.-W.; et al. Monolithic germanium/silicon avalanche photodiodes with 340 GHz gain-bandwidth product. Nat. Photonics 2009, 3, 59–63. [Google Scholar] [CrossRef]
- Duan, N.; Liow, T.-Y.; Lim, A.E.-J.; Ding, L.; Lo, G.Q. 310 GHz gain-bandwidth product Ge/Si avalanche photodetector for 1550 nm light detection. Opt. Express 2012, 20, 11031–11036. [Google Scholar] [CrossRef]
- Warburton, R.E.; Intermite, G.; Myronov, M.; Allred, P.; Leadley, D.R.; Gallacher, K.; Paul, D.J.; Pilgrim, N.J.; Lever, L.J.M.; Ikonic, Z.; et al. Ge-on-Si single-photon avalanche diode detectors: Design, modeling, fabrication, and characterization at wavelengths 1310 and 1550 nm. IEEE Trans. Electron Devices 2013, 60, 3807–3813. [Google Scholar] [CrossRef]
- Huang, Z.; Li, C.; Liang, D.; Yu, K.; Santori, C.; Fiorentino, M.; Sorin, M.; Palermo, S.; Beausoleil, R.G. 25 Gbps low-voltage Waveguide Si-Ge Avalanche Photodiode. Optica 2016, 3, 793–798. [Google Scholar] [CrossRef]
- Kang, Y.; Zadka, M.; Litski, S.; Sarid, G.; Morse, M.; Paniccia, M.J.; Kuo, Y.-H.; Bowers, J.; Beling, A.; Liu, H.-D.; et al. Epitaxially-grown Ge/Si avalanche photodiodes for 1.3 μm light detection. Opt. Express 2008, 16, 9365–9371. [Google Scholar] [CrossRef]
- Zeng, X.; Huang, Z.; Wang, B.; Liang, D.; Fiorentino, M.; Beausoleil, R.G. Silicon–germanium avalanche photodiodes with direct control of electric field in charge multiplication region. Optica 2019, 6, 772–777. [Google Scholar] [CrossRef]
- Wang, B.; Huang, Z.; Yuan, Y.; Liang, D.; Zeng, X.; Fiorentino, M.; Beausoleil, R.G. 64 Gb/s low-voltage waveguide SiGe avalanche photodiodes with distributed Bragg reflectors. Photonics Res. 2020, 8, 1118–1123. [Google Scholar] [CrossRef]
- Samani, A.; Carpentier, O.; El-Fiky, E.; Jacques, M.; Kumar, A.; Wang, Y.; Guenin, L.; Gamache, C.; Koh, P.-C.; Plant, D.V. Highly Sensitive, 112 Gb/s O-band Waveguide Coupled Silicon-Germanium Avalanche Photodetectors. In Proceedings of the 2019 Optical Fiber Communications Conference and Exhibition (OFC), San Diego, CA, USA, 3–7 March 2019; pp. 1–3. [Google Scholar]
- Carpentier, O.; Samani, A.; Jacques, M.; El-Fiky, E.; Alam, S.; Wang, Y.; Koh, P.-C.; Calvo, N.A.; Plant, D. High Gain-Bandwidth Waveguide Coupled Silicon Germanium Avalanche Photodiode. In Proceedings of the 2020 Conference on Lasers and Electro-Optics (CLEO), San Jose, CA, USA, 10–15 May 2020; pp. 1–2. [Google Scholar]
- Kim, G.; Kim, S.; Kim, S.A.; Oh, J.H.; Jang, K.-S. NDR-effect vertical-illumination-type Ge-on-Si avalanche photodetector. Opt. Lett. 2018, 43, 5583–5586. [Google Scholar] [CrossRef]
- Huang, M.; Cai, P.; Li, S.; Hou, G.; Zhang, N.; Su, T.-I.; Hong, C.; Pan, D. 56 GHz Waveguide Ge/Si Avalanche Photodiode. In Proceedings of the 2018 Optical Fiber Communications Conference and Exhibition (OFC), San Diego, CA, USA, 11–15 March 2018; pp. 1–3. [Google Scholar]
- Zeng, Q.Y.; Pan, Z.X.; Zeng, Z.H.; Wang, J.T.; Guo, C.; Gong, Y.F.; Liu, J.C.; Gong, Z. Space charge effects on the bandwidth of Ge/Si avalanche photodetectors. Semicond. Sci. Technol. 2020, 35, 035026. [Google Scholar] [CrossRef]
- Zhang, J.; Lin, H.; Liu, M.; Yang, Y. Research on the leakage current at sidewall of mesa Ge/Si avalanche photodiode. AIP Adv. 2021, 11, 075320. [Google Scholar] [CrossRef]
- Masini, G.; Colace, L.; Assanto, G.; Luan, H.-C.; Kimerling, L.C. High-performance p-i-n Ge on Si photodetectors for the near infrared: From model to demonstration. IEEE Trans. Electron Devices 2001, 48, 1092–1096. [Google Scholar] [CrossRef]
- Huang, S.; Li, C.; Zhou, Z.; Chen, C.; Zheng, Y.; Huang, W.; Lai, H.; Chen, S. Depth-dependent etch pit density in Ge epilayer on Si substrate with a self-patterned Ge coalescence island template. Thin Solid Films 2012, 520, 2307–2310. [Google Scholar] [CrossRef]
- Wei, Y.; Cai, X.; Ran, J.; Yang, J. Analysis of dark current dependent upon threading dislocations in Ge/Si heterojunction photodetectors. Microelectron. Int. 2012, 29, 136–140. [Google Scholar] [CrossRef]
- Synopsys and Inc. Sentaurus Device User Guide Version H-2020.03; Synopsys: Mountain View, CA, USA, 2017. [Google Scholar]
- Caughey, D.M.; Thomas, R.E. Carrier mobilities in silicon empirically related to doping and field. Proc. IEEE 1967, 55, 2192–2193. [Google Scholar] [CrossRef]
- Ke, S.; Lin, S.; Mao, D.; Ji, X.; Huang, W.; Xu, J.; Li, C.; Chen, S. Interface State Calculation of the Wafer-Bonded Ge/Si Single-Photon Avalanche Photodiode in Geiger Mode. IEEE Trans. Electron Devices 2017, 64, 2556–2563. [Google Scholar] [CrossRef]
- Xu, Y.; Xiang, P.; Xie, X.; Huang, Y. A new modeling and simulation method for important statistical performance prediction of single photon avalanche diode detectors. Semicond. Sci. Technol. 2016, 31, 065024. [Google Scholar] [CrossRef]
- Ke, S.; Lin, S.; Mao, D.; Ye, Y.; Ji, X.; Huang, W.; Li, C.; Chen, S. Design of wafer-bonded structures for near room temperature Geiger-mode operation of germanium on silicon single-photon avalanche photodiode. Appl. Opt. 2017, 56, 4646. [Google Scholar] [CrossRef]
- Selberherr, S. Analysis and Simulation of Semiconductor Devices; Springer: New York, NY, USA, 1984. [Google Scholar] [CrossRef]
- Ando, H.; Kanbe, H. Effect of avalanche build-up time on avalanche photodiode sensitivity. IEEE J. Quantum Electron. 1985, 21, 251–255. [Google Scholar] [CrossRef]









| Layer | p+-Ge | p-Ge | p-Si | n-Si | n+-Si |
|---|---|---|---|---|---|
| Thickness (µm) | 0.1 | 1 | 0.1 | 0.5; 0.75; 1; 1.25; 1.5 | 0.5 |
| Doping concentration () | |||||
| Layer | p+-Ge | p-Ge | p-Si | n-Si | n+-Si |
|---|---|---|---|---|---|
| Thickness (µm) | 0.1 | 0.5; 1; 1.5; 2 | 0.1 | 0.5 | 0.5 |
| Doping Concentration () | |||||
Disclaimer/Publisher’s Note: The statements, opinions and data contained in all publications are solely those of the individual author(s) and contributor(s) and not of MDPI and/or the editor(s). MDPI and/or the editor(s) disclaim responsibility for any injury to people or property resulting from any ideas, methods, instructions or products referred to in the content. |
© 2023 by the authors. Licensee MDPI, Basel, Switzerland. This article is an open access article distributed under the terms and conditions of the Creative Commons Attribution (CC BY) license (https://creativecommons.org/licenses/by/4.0/).
Share and Cite
Deeb, H.; Khomyakova, K.; Kokhanenko, A.; Douhan, R.; Lozovoy, K. Dependence of Ge/Si Avalanche Photodiode Performance on the Thickness and Doping Concentration of the Multiplication and Absorption Layers. Inorganics 2023, 11, 303. https://doi.org/10.3390/inorganics11070303
Deeb H, Khomyakova K, Kokhanenko A, Douhan R, Lozovoy K. Dependence of Ge/Si Avalanche Photodiode Performance on the Thickness and Doping Concentration of the Multiplication and Absorption Layers. Inorganics. 2023; 11(7):303. https://doi.org/10.3390/inorganics11070303
Chicago/Turabian StyleDeeb, Hazem, Kristina Khomyakova, Andrey Kokhanenko, Rahaf Douhan, and Kirill Lozovoy. 2023. "Dependence of Ge/Si Avalanche Photodiode Performance on the Thickness and Doping Concentration of the Multiplication and Absorption Layers" Inorganics 11, no. 7: 303. https://doi.org/10.3390/inorganics11070303
APA StyleDeeb, H., Khomyakova, K., Kokhanenko, A., Douhan, R., & Lozovoy, K. (2023). Dependence of Ge/Si Avalanche Photodiode Performance on the Thickness and Doping Concentration of the Multiplication and Absorption Layers. Inorganics, 11(7), 303. https://doi.org/10.3390/inorganics11070303

