Evaluating the Food Profile in Qatar within the Energy–Water–Food Nexus Approach
Abstract
1. Introduction
2. Methodology
2.1. Food Demand Profiling
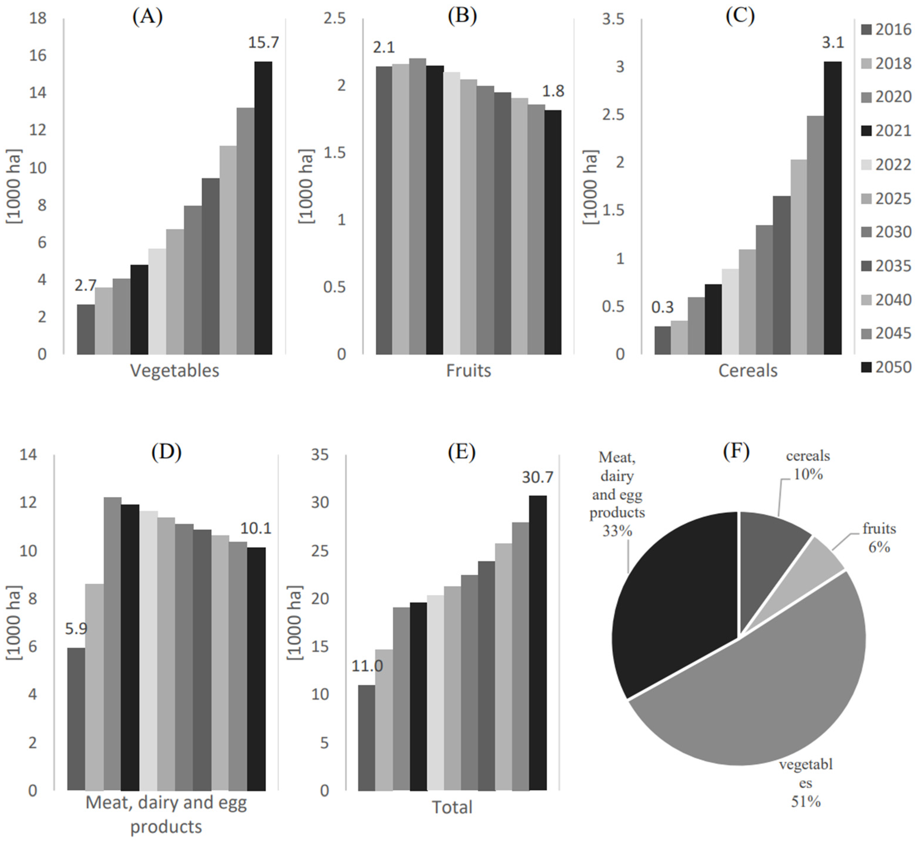
2.2. Local Food Supply Profiling
2.3. International Food Supply Profiling (Imports) and Food Shares by Origin
2.4. Food Self-Sustainability
2.5. Water and Energy for Food
- Groundwater is in finite supply and depleting;
- Desalinated water is costly and, thus, the cost would be transferred to the consumer when purchasing the food products.
3. Results and Discussion
3.1. Food Demand Profiling
3.2. Local Food Supply Profiling
3.3. International Food Supply Profiling
3.4. Water and Energy Profiling
4. Discussion and Conclusions
- For cereals, to secure strategic cereal reservoirs to increase the food security level of this category. The capacity of these reservoirs could be sized to match the additional required local food ( within a period that is defined by the production-to-expiry dates of the cereal products).
- For the meat, vegetables, fruits, and dairy products, it is recommended to size water treatment plants to fulfill the water demands for the existing local supplies ( ) as well as for the to-be added food supplies to achieve food self-sustainability (.
Author Contributions
Funding
Data Availability Statement
Conflicts of Interest
References
- Allan, T. Virtual Water: Tackling the Threat to Our Planet’s Most Precious Resource; I. B. Tauris: London, UK, 2011. [Google Scholar]
- Allan, T.; Keulertz, M.; Woertz, E. The Water–Food–Energy Nexus: An Introduction to Nexus Concepts and Some Conceptual and Operational Problems. Int. J. Water Resour. Dev. 2015, 31, 301–311. [Google Scholar] [CrossRef]
- Waughray, D. (Ed.) Water Security: The Water-Food-Energy-Climate Nexus; Island Press and the World Economic Forum: London, UK, 2011; Available online: http://www3.weforum.org/docs/WEF_WI_WaterSecurity_WaterFoodEnergyClimateNexus_2011.pdf (accessed on 1 September 2022).
- IEA. World Energy Outlook 2012; OECD: Paris, France, 2012. [Google Scholar]
- Hoogeveen, J.; Faurès, J.-M.; Peiser, L.; Burke, J.; van de Giesen, N. Global: A Global Water Balance Model to Assess Water Use in Irrigated Agriculture. Hydrol. Earth Syst. Sci. Discuss. 2015, 12, 801–838. [Google Scholar] [CrossRef]
- Allan, J.A. WRM/IWRAM: A New Sanctioned Discourse? SOAS Occasional Papers, 50; University of London: London, UK, 2003. [Google Scholar]
- Allan, J.A. The Food-Water Value Chain. In L’Acqua Che Mangiamo: Cos’è l’acqua Virtuale e Come la Consumiamo; Antonelli, M., Greco, F., Eds.; Edizione Ambiente: Milano, Italy, 2013; pp. 12–24. [Google Scholar]
- FAO. Country Profile Saudi Arabia. Aquastat, Version 2008; FAO: Rome, Italy, 2008. [Google Scholar]
- FAO. Food Wastage Footprint: Impacts on Natural Resources; FAO: Rome, Italy, 2013; Available online: http://www.fao.org/docrep/018/i3347e/i3347e.pdf (accessed on 15 September 2022).
- FAO. Technical Workshop: Moving Ahead to Implement the Nexus Approach: Lessons Learned and Discussion of Next Steps regarding Integrated Assessment of Water-Energy-Food Needs in a Climate Change Context; FAO: Rome, Italy, 2013; Available online: http://www.fao.org/energy/36642-025df158829c7a38e35b6ce87337bdbca.p (accessed on 16 September 2022).
- Smil, V. Enriching the Earth: Fritz Haber, Carl Bosch, and the Transformation of World Food Production; MIT Press: Cambridge, MA, USA, 2001. [Google Scholar]
- Planning and Statistics Authority in Qatar. Qatar in Competitiveness Yearbook, 2018; Planning and Statistics Authority: Doha, Qatar, 2018.
- Finley, J.W.; Seiber, J.N. The nexus of food, energy, and water. J. Agric. Food Chem. 2014, 62, 6255–6262. [Google Scholar] [CrossRef] [PubMed]
- Yarbrough, M. The World Economic Forum Water Initiative, Water Security: The Water-Food-Energy-Climate Nexus. Water Law Rev. 2011, 14, 418. [Google Scholar]
- Scanlon, B.R.; Ruddell, B.L.; Reed, P.M.; Hook, R.I.; Zheng, C.; Tidwell, V.C.; Siebert, S. The food-energy-water nexus: Transforming science for society. Water Resour. Res. 2017, 53, 3550–3556. [Google Scholar] [CrossRef]
- Smajgl, A.; Ward, J.; Pluschke, L. The water–food–energy Nexus–Realising a new paradigm. J. Hydrol. 2016, 533, 533–540. [Google Scholar] [CrossRef]
- Endo, A.; Tsurita, I.; Burnett, K.; Orencio, P.M. A review of the current state of research on the water, energy, and food nexus. J. Hydrol. Reg. Stud. 2017, 11, 20–30. [Google Scholar] [CrossRef]
- Zhang, P.; Zhang, L.; Chang, Y.; Xu, M.; Hao, Y.; Liang, S.; Liu, G.; Yang, Z.; Wang, C. Food-energy-water (FEW) nexus for urban sustainability: A comprehensive review. Resour. Conserv. Recycl. 2019, 142, 215–224. [Google Scholar] [CrossRef]
- Van Vuuren, D.P.; Bijl, D.L.; Bogaart, P.; Stehfest, E.; Biemans, H.; Dekker, S.C.; Doelman, J.C.; Gernaat, D.E.; Harmsen, M. Integrated scenarios to support analysis of the food–energy–water nexus. Nat. Sustain. 2019, 2, 1132–1141. [Google Scholar] [CrossRef]
- Beck, M.B.; Walker, R.V. On water security, sustainability, and the water-food-energy-climate nexus. Front. Environ. Sci. Eng. 2013, 7, 626–639. [Google Scholar] [CrossRef]
- Karabulut, A.; Egoh, B.N.; Lanzanova, D.; Grizzetti, B.; Bidoglio, G.; Pagliero, L.; Bouraoui, F.; Aloe, A.; Reynaud, A.; Maes, J.; et al. Mapping water provisioning services to support the ecosystem–water–food–energy nexus in the Danube river basin. Ecosyst. Serv. 2016, 17, 278–292. [Google Scholar] [CrossRef]
- Ramaswami, A.; Boyer, D.; Nagpure, A.S.; Fang, A.; Bogra, S.; Bakshi, B.; Cohen, E.; Rao-Ghorpade, A. An urban systems framework to assess the trans-boundary food-energy-water nexus: Implementation in Delhi, India. Environ. Res. Lett. 2017, 12, 025008. [Google Scholar] [CrossRef]
- Lin, L.; Xu, F.; Ge, X.; Li, Y. Improving the sustainability of organic waste management practices in the food-energy-water nexus: A comparative review of anaerobic digestion and composting. Renew. Sustain. Energy Rev. 2018, 89, 151–167. [Google Scholar] [CrossRef]
- Miao, R.; Khanna, M. Harnessing advances in agricultural technologies to optimize resource utilization in the food-energy-water nexus. Annu. Rev. Resour. Econ. 2020, 12, 65–85. [Google Scholar] [CrossRef]
- van Genuchten, M.; Hatton, L. Compound annual growth rate for software. IEEE Softw. 2012, 29, 19–21. [Google Scholar] [CrossRef]
- Okonkwo, E.C.; Abdullatif, Y.M.; Tareq, A.A. A nanomaterial integrated technology approach to enhance the energy-water-food nexus. Renew. Sustain. Energy Rev. 2021, 145, 111118. [Google Scholar] [CrossRef]
- Namany, S.; Al-Ansari, T.; Govindan, R. Optimisation of the energy, water, and food nexus for food security scenarios. Comput. Chem. Eng. 2019, 129, 106513. [Google Scholar] [CrossRef]
- Bilal, H.; Govindan, R.; Al-Ansari, T. Investigation of groundwater depletion in the state of Qatar and its implication to energy water and food nexus. Water 2021, 13, 2464. [Google Scholar] [CrossRef]
- Available online: https://www.mathworks.com/products/matlab.html (accessed on 18 September 2022).
- Lahlou, F.-Z.; Mackey, H.R.; McKay, G.; Onwusogh, U.; Al-Ansari, T. Water planning framework for alfalfa fields using treated wastewater fertigation in Qatar: An energy-water-food nexus approach. Comput. Chem. Eng. 2020, 141, 106999. [Google Scholar] [CrossRef]
- Haji, M.; Govindan, R.; Al-Ansari, T. Novel approaches for geospatial risk analytics in the energy–water–food nexus using an EWF nexus node. Comput. Chem. Eng. 2020, 140, 106936. [Google Scholar] [CrossRef]
- Govindan, R.; Al-Ansari, T. Computational decision framework for enhancing resilience of the energy, water and food nexus in risky environments. Renew. Sustain. Energy Rev. 2019, 112, 653–668. [Google Scholar] [CrossRef]
- Al-Ansari, T.; Korre, A.; Nie, Z.; Shah, N. Development of a life cycle assessment tool for the assessment of food production systems within the energy, water and food nexus. Sustain. Prod. Consump. 2015, 2, 52–66. [Google Scholar] [CrossRef]
- Al-Ansari, T.; Govindan, R.; Korre, A.; Nie, Z.; Shah, N. An energy, water and food nexus approach aiming to enhance food production systems through CO2 fertilization. Comput. Aided Chem. Eng. 2018, 43, 1487–1492. [Google Scholar]
- Ghiat, I.; Al-Ansari, T. A review of carbon capture and utilisation as a CO2 abatement opportunity within the EWF nexus. J. CO2 Util. 2021, 45, 101432. [Google Scholar] [CrossRef]
- Namany, S.; Al-Ansari, T.; Govindan, R. Sustainable energy, water and food nexus systems: A focused review of decision-making tools for efficient resource management and governance. J. Clean. Prod. 2019, 225, 610–626. [Google Scholar] [CrossRef]
- Available online: https://www.psa.gov.qa/en/statistics1/pages/topicslisting.aspx?parent=Economic&child=Agriculture (accessed on 24 September 2022).
- Available online: https://www.psa.gov.qa/en/statistics1/pages/topicslisting.aspx?parent=Population&child=Population (accessed on 25 September 2022).
- Available online: https://www.psa.gov.qa (accessed on 15 September 2022).
- Available online: https://baladna.com/ (accessed on 1 September 2022).
- Baladna in deal with ABA Group to distribute dairy products. Gulf Times, 4 May 2017.
- Bennett, J.O.; Briggs, W.L.; Badalamenti, A. Using and Understanding Mathematics: A Quantitative Reasoning Approach; Pearson Addison Wesley: Reading, PA, USA, 2008. [Google Scholar]
- Water Use in Qatar—Fanack Water. Available online: https://water.fanack.com/qatar/water-use-in-qatar/ (accessed on 1 September 2022).
- Mohammed, S.; Darwish, M. Water footprint and virtual water trade in Qatar. Desalin. Water Treat. 2017, 66, 117–132. [Google Scholar] [CrossRef]
- Roadmap to a Resource Efficient Europe. EC. Communication from the Commission to the European Parliament, the Council, the European Economic and Social Committee and the Committee of the Regions, Roadmap to a Resource Efficient Europe; COM(2011)571 final; EC: Brussels, Belgium, 2011. [Google Scholar]
- Karanisa, T.; Amato, A.; Richer, R.; Majid, S.A.; Skelhorn, C.; Sayadi, S. Agricultural production in Qatar’s hot arid climate. Sustainability 2021, 13, 4059. [Google Scholar] [CrossRef]
- Moustafa, A.T. Potential of Protected Agriculture and Hydroponics for Improving the Productivity and Quality of High Value Cash Crops in Qatar; Technical Assistance Program for the Qatar National Food Security Program (QNFSP); Task No 8; International Center for Agricultural Research in the Dry Areas (ICARDA): Beirut, Lebanon, 2010. [Google Scholar]
- Pearce, G.K. UF/MF pre-treatment to RO in seawater and wastewater reuse applications: A comparison of energy costs. Desalination 2008, 222, 66–73. [Google Scholar] [CrossRef]
- Pelletier, N.; Audsley, E.; Brodt, S.; Garnett, T.; Henriksson, P.; Kendall, A.; Kramer, K.J.; Murphy, D.; Nemecek, T.; Troell, M. Energy intensity of agriculture and food systems. Annu. Rev. Environ. Resour. 2011, 36, 223–246. [Google Scholar] [CrossRef]
- Paletz, D.; Jakubowicz, K. Business as Usual. Continuity and Change in East Central European Media; Hampton Press: New York, NY, USA, 2003. [Google Scholar]












| Food Category | Year | ||||||
|---|---|---|---|---|---|---|---|
| 2015 | 2016 | 2017 | 2018 | 2019 | 2020 | ||
| Cereals [tone] | 478,022 | 692,891 | 410,644 | 586,720 | 561,578 | 491,140 | 0.543 |
| Fruits [tone] | 187,912 | 265,962 | 221,651 | 274,004 | 288,833 | 284,471 | 8.647 |
| Vegetables [tone] | 425,649 | 435,583 | 338,803 | 512,863 | 474,180 | 468,688 | 1.945 |
| Meat [tone] | 173,665 | 376,732 | 232,597 | 233,803 | 304,136 | 231,576 | 5.924 |
| Dairy products [tone] | 248,392 | 231,946 | 209,458 | 334,412 | 274,481 | 276,353 | 2.156 |
| Egg products [tone] | 32,526 | 37,762 | 42,412 | 44,387 | 50,383 | 47,967 | 8.079 |
| Fish [tone] | 47,069 | 51,575 | 48,426 | 49,243 | 53,382 | 48,855 | 0.748 |
| Food Category | Year | |||||
|---|---|---|---|---|---|---|
| 2016 | 2017 | 2018 | 2019 | 2020 | ||
| Cereals [tone] | 1844 | 2573 | 3106 | 1980 | 3307 | 22.75413 |
| Fruits [tone] | 29,795 | 28,975 | 29,277 | 26,400 | 26,914 | −2.39743 |
| Vegetables [tone] | 53,599 | 55,579 | 74,650 | 91,470 | 103,693 | 18.47552 |
| Meat [tone] | 183,988 | 24,805 | 36,036 | 32,555 | 46,124 | −2.30513 |
| Dairy products [tone] | 62,061 | 56,146 | 226,408 | 199,926 | 206,683 | 71.35022 |
| Egg products [tone] | 4962 | 5753 | 8372 | 7943 | 9358 | 18.53886 |
| Fish [tone] | 14,513 | 15,358 | 14,665 | 16,938 | 15,087 | 1.470364 |
| Food Category | Designated Local Agricultural Area [1000 ha] |
|---|---|
| Cereals | 0.3 |
| Fruits | 2.1 |
| Vegetables | 2.7 |
| Meat, dairy, and egg products | 5.9 |
| Total | 11.0 |
| Food Category | [%] [44] | [44] | [44] | [1000 kg] [36] | [m3 Water/kg Crop] | [kWh/kg Crop] |
|---|---|---|---|---|---|---|
| Cereals and flour | 51 | 137.34 | 11.45 | 1844 | 74.48 | 89.376 |
| Fruits and sugar | 6 | 16.16 | 1.35 | 29,795 | 0.54 | 0.648 |
| Vegetables | 11 | 29.62 | 2.47 | 53,599 | 0.55 | 0.66 |
| Meat | 13 | 35.01 | 2.9 | 183,988 | 0.19 | 0.228 |
| Dairy products | 17 | 45.78 | 3.81 | 62,061 | 0.74 | 0.888 |
| Egg products | 0 | 0.00 | 0.00 | 4962 | 0.00 | 0 |
| Fish | 0 | 0.00 | 0.00 | 14,513 | 0.00 | 0 |
Disclaimer/Publisher’s Note: The statements, opinions and data contained in all publications are solely those of the individual author(s) and contributor(s) and not of MDPI and/or the editor(s). MDPI and/or the editor(s) disclaim responsibility for any injury to people or property resulting from any ideas, methods, instructions or products referred to in the content. |
© 2023 by the authors. Licensee MDPI, Basel, Switzerland. This article is an open access article distributed under the terms and conditions of the Creative Commons Attribution (CC BY) license (https://creativecommons.org/licenses/by/4.0/).
Share and Cite
Alrebei, O.F.; Al-Ansari, T.; Al-Kuwari, M.S.; Amhamed, A. Evaluating the Food Profile in Qatar within the Energy–Water–Food Nexus Approach. Foods 2023, 12, 230. https://doi.org/10.3390/foods12020230
Alrebei OF, Al-Ansari T, Al-Kuwari MS, Amhamed A. Evaluating the Food Profile in Qatar within the Energy–Water–Food Nexus Approach. Foods. 2023; 12(2):230. https://doi.org/10.3390/foods12020230
Chicago/Turabian StyleAlrebei, Odi Fawwaz, Tareq Al-Ansari, Mohammad S. Al-Kuwari, and Abdulkarem Amhamed. 2023. "Evaluating the Food Profile in Qatar within the Energy–Water–Food Nexus Approach" Foods 12, no. 2: 230. https://doi.org/10.3390/foods12020230
APA StyleAlrebei, O. F., Al-Ansari, T., Al-Kuwari, M. S., & Amhamed, A. (2023). Evaluating the Food Profile in Qatar within the Energy–Water–Food Nexus Approach. Foods, 12(2), 230. https://doi.org/10.3390/foods12020230

