Shaping the Physicochemical, Functional, Microbiological and Sensory Properties of Yoghurts Using Plant Additives
Abstract
1. Introduction
2. Materials and Methods
3. Physicochemical Changes in Yoghurts
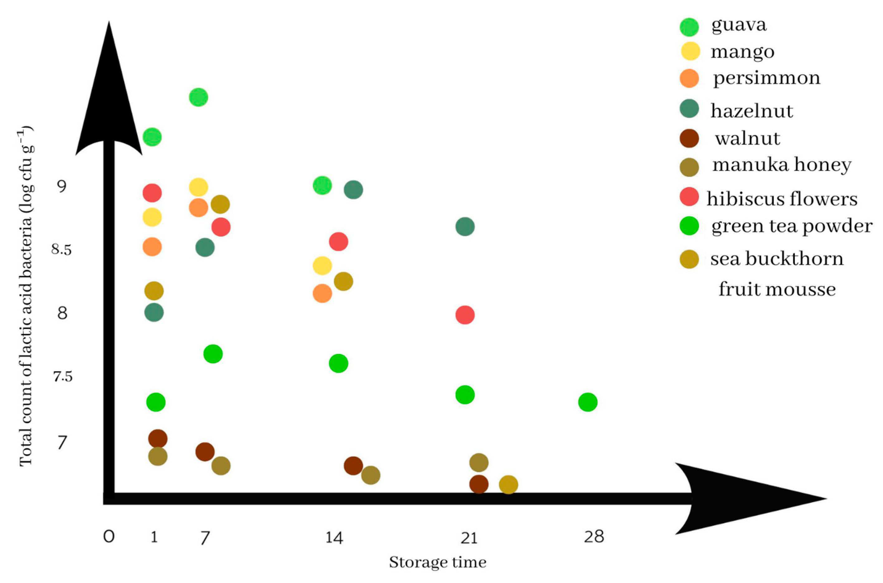
4. Microbiological Changes in Yoghurts
5. Sensory Changes in Yoghurt
6. Prophylactic and Therapeutic Properties of Plain Yoghurts
6.1. Source of Bioactive Proteins
6.2. Source of Vitamins
6.3. Other Health-Promoting Properties of Yoghurt
7. Prophylactic and Therapeutic Properties of Yoghurts with Plant Additives
8. Conclusions
Supplementary Materials
Author Contributions
Funding
Data Availability Statement
Conflicts of Interest
References
- Hoppert, K.; Zahn, S.; Jänecke, L.; Mai, R.; Hoffmann, S.; Rohm, H. Consumer acceptance of regular and reduced–sugar yoghurt enriched with different types of dietary fiber. Int. Dairy J. 2013, 281, 7. [Google Scholar]
 - Tremblay, A.; Panahi, S. Yogurt consumption as a signature of a healthy diet and lifestyle. Nutr. J. 2017, 147, 1476S–1480S. [Google Scholar] [CrossRef]
 - Wang, F.; Wang, H.; Cho, J.H. Consumers for yoghurt packaging design using conjoint analysis. Sustainability 2022, 14, 3463. [Google Scholar] [CrossRef]
 - FAO. 2020. Available online: http://www.fao.org/3/cb2322en/CB2322EN.pdf (accessed on 20 November 2022).
 - Statista. 2021. Available online: https://www.statista.com/statistics/870893/global–yogurt–market–value–forecast/#statisticContainer (accessed on 1 October 2022).
 - Szajner, P. Processing of milk. Milk Mark. Cond. Prospect. 2020, 58, 13. [Google Scholar]
 - Kamal, R.M.; Alnakip, M.E.; Abd El Aal, S.F.; Bayoumi, M.A. Bio–controlling capability of probiotic strain Lactobacillus rhamnosus against some common foodborne pathogens in yoghurt. Int. Dairy J. 2018, 85, 1–7. [Google Scholar] [CrossRef]
 - Bilal, M.; Inayat, S.; Manzoor, S.; Imran, M.; Lashari, M.H.; Hassan, A. Viability of Probiotics (Lactobacillus acidophilus and Bifidobacterium bifidum) in set type yogurt made from buffalo milk. Pure Appl. Biol. 2021, 10, 978–987. [Google Scholar] [CrossRef]
 - Khaliq, A.; Zahoor, T.; Nadeem, M.; Imran, M.; Gilani, S.A.; Chughtai, M.F.J.; Bilal Irshad, M.; Liaqat, A.; Pasha, I.; Ahsan, S.; et al. Assessment of camel milk yogurt as a cogent approach on streptozotocin (STZ) induced diabetes mellitus in Sprague—Dawley rats. J. Microbiol. Biotechnol. Food Sci. 2019, 9, 648–652. [Google Scholar] [CrossRef]
 - Voblikova, T.; Permyakov, A.; Rostova, A.; Masyutina, G.; Eliseeva, A. Study of fatty–acid composition of goat and sheep milk and its transformation in the production of yogurt. International Applied Research Conference. KnE Life Sci. 2020, volume number, 742–751. [Google Scholar]
 - Abdullah, P.B.M.; Nadeem, M.; Babar, M.E.; Khan, G.A. Preparation of functional yoghurt from sheep and goat milk blends. Pak. J. Agric. Sci. 2011, 48, 211–215. [Google Scholar]
 - Ahmed, E.M.E. Physio-Chemicals Characteristics of Yoghurt from Camel’s Milk and Cow’s Milk in Different Ratios. Ph.D. Thesis, Sudan University of Science and Technology, Khartoum, Sudan, April 2015. Available online: http://repository.sustech.edu/handle/123456789/11017 (accessed on 2 July 2022).
 - Sanchez-Segarra, P.J.; García-Martínez, M.; Gordillo-Otero, M.J.; Díaz-Valverde, A.; Amaro-Lopez, M.A.; Moreno-Rojas, R. Influence of the addition of fruit on the mineral content of yoghurts: Nutritional assessment. Food Chem. 2000, 71, 85–89. [Google Scholar] [CrossRef]
 - Damunupola, D.A.P.R.; Weerathilake, W.A.D.V.; Sumanasekara, G.S. Evaluation of quality characteristics of goat milk yogurt incorporated with beetroot juice. Int. J. Sci. Res. Public. 2014, 4, 1–5. [Google Scholar]
 - Galeboe, O.; Seifu, E.; Sekwati-Monang, B. Production of camel milk yoghurt: Physicochemical and microbiological quality and consumer acceptability. Int. J. Food Stud. 2018, 7, 51–63. [Google Scholar] [CrossRef]
 - Joon, R.; Mishra, S.K.; Brar, G.S.; Panwar, H.; Singh, P.K.; Chawla, R.; Baru, A.K. Evaluation of quality of yoghurt prepared from goat milk of Beetal breed. Indian J. Dairy Sci. 2018, 71, 54–60. [Google Scholar]
 - Domagała, J. Instrumental texture, syneresis and microstructure of yoghurts prepared from goat, cow and sheep milk. Int. J. Food Propert. 2009, 12, 605–615. [Google Scholar] [CrossRef]
 - Rahmawati, I.S.; Suntornsuk, W. Effects of fermentation and storage on bioactive activities in milks and yoghurts. Procedia Chem. 2016, 18, 53–62. [Google Scholar] [CrossRef]
 - Revers, L.M.; Danielli, A.J.; Iltchenco, S.; Zeni, J.; Steffens, C.; Steffens, J. Obtenção e caracterização de iogurtes elaborados com leites de ovelha e de vaca. Revista Ceres Viçosa 2016, 63, 747–753. [Google Scholar] [CrossRef]
 - Serafeimidou, A.; Zlatanos, S.; Kritikos, G.; Tourianis, A. Change of fatty acid profile, including conjugated linoleic acid 3 (CLA) content, during refrigerated storage of yogurt made of 4 cow and sheep milk. J. Food Compos. Anal. 2013, 31, 24–30. [Google Scholar] [CrossRef]
 - Stocco, G.; Pazzola, M.; Dettori, M.L.; Paschino, P. Effect of composition on coagulation, curd firming, and syneresis of goat milk. J. Dairy Sci. 2018, 101, 11. [Google Scholar] [CrossRef] [PubMed]
 - Moineau-Jean, A.; Champagne, C.P.; Roy, D.; Raymond, Y.; LaPointe, G. Effect of greek–style yoghurt manufacturing processes on starter and probiotic bacteria populations during storage. Int. Dairy J. 2019, 93, 35–44. [Google Scholar] [CrossRef]
 - Świąder, K.; Kulawiak, M.; Chen, Y. Types of lactose –free products and their availability on the Polish market. Types of lactose –free products and their availability on the Polish market. Postępy Tech. Przetw. Spoż. 2020, 1, 39–45. [Google Scholar]
 - Farag, M.A.; Saleh, H.A.; El Ahmady, S.; Elmassry, M.M. Dissecting yogurt: The impact of milk types, probiotics, and selected additives on yogurt quality. Food Rev. Int. 2021, 38 (suppl. 1), 634–650. [Google Scholar] [CrossRef]
 - Greis, M.; Sainio, T.; Katina, K.; Kinchla, A.J.; Nolden, A.; Partanen, R.; Seppä, L. Dynamic texture perception in plant–based yogurt alternatives: Identifying temporal drivers of liking by TDS. Food Qual. Prefer. 2020, 86, 104019. [Google Scholar] [CrossRef]
 - Terpou, A.; Papadaki, A.; Bosnea, L.; Kanellaki, M.; Kopsahelis, N. Novel frozen yogurt production fortified with sea buckthorn berries and probiotics. LWT-Food Sci. Technol. 2019, 105, 242–249. [Google Scholar] [CrossRef]
 - Maleki, M.; Ariaii, P.; Soltani, M.S. Fortifying of probiotic yogurt with free and microencapsulated extract of Tragopogon Collinus and its effect on the viability of Lactobacillus casei and Lactobacillus plantarum. Food Sci. Nutr. 2021, 9, 3436–3448. [Google Scholar] [CrossRef]
 - Shah, N. Yogurt in Health and Disease Prevention, 1st ed.; Academic Press: Cambridge, MA, USA, 2017; ISBN 9780128052723. [Google Scholar]
 - Saeed, M. Physicochemical analysis of yogurt fortified with Moringa Oleifera leaf powder. Authorea 2020. [Google Scholar] [CrossRef]
 - Gopalakrishnan, L.; Doriya, K.; Kumar, D.S. Moringa oleifera: A review on nutritive importance and its medicinal application. Food Sci. Hum. Wellness 2016, 5, 49–56. [Google Scholar] [CrossRef]
 - Hussein, H.; Awad, S.; El-Sayed, I.; Ibrahim, A. Impact of chickpea as prebiotic, antioxidant and thickener agent of stirred bio–yoghurt. Ann. Agric. Sci. 2020, 65, 49–58. [Google Scholar] [CrossRef]
 - Bulut, M.; Adal, E.; Aktar, T. Plant protein enrichment effect on the physical, chemical, microbiological, and sensory characteristics of yogurt. J. Food Process. Preserv. 2022, 48, e16865. [Google Scholar] [CrossRef]
 - Abdel-Hamid, M.; Huang, Z.; Suzuki, T.; Enomoto, T.; Hamed, A.M.; Li, L.; Romeih, E. Development of a multifunction set yogurt using Rubus suavissimus S. lee (Chinese sweet tea) extract. Foods 2020, 9, 1163. [Google Scholar] [CrossRef]
 - Van Nieuwenhovea, C.P.; Moyano, A.; Castro-Gómezc, P.; Fontechac, J.; Sáeza, G.; Záratea, G.; Pizarro, P.L. Comparative study of pomegranate and jacaranda seeds as functional components for the conjugated linolenic acid enrichment of yogurt. LWT-Food Sci. Technol. 2019, 111, 401–407. [Google Scholar] [CrossRef]
 - Yildiz, E.; Ozcan, T. Functional and textural properties of vegetable-fibre enriched yoghurt. Int. J. Dairy Technol. 2018, 72, 199–207. [Google Scholar] [CrossRef]
 - Bakirci, S.; Dagdemir, E.; Boran, O.S.; Hayaloglu, A.A. The effect of pumpkin fibre on quality and storage stability of reduced-fat set-type yogurt. Int. J. Food Sci. Technol. 2017, 52, 180–187. [Google Scholar] [CrossRef]
 - Ozturkoglu-Budak, S.; Akal, C.; Yetisemiyen, A. Effect of dried nut fortification on functional, physicochemical, textural, and microbiological properties of yogurt. J. Dairy Sci. 2016, 99, 8511–8523. [Google Scholar] [CrossRef]
 - Al-Shawi, S.G.; Ali, H.I.; Al-Younis, Z.K. The effect of adding thyme extracts on microbiological, chemical and sensory characteristics of yogurt. J. Pure Appl. Microbiol. 2020, 14, 1367–1376. [Google Scholar] [CrossRef]
 - Felfoula, I.; Borchani, M.; Samet-Bali, O.; Attia, H.; Ayadi, M. Effect of ginger (Zingiber officinalis) addition on fermented bovine milk: Rheological properties, sensory attributes and antioxidant potential. J. New Sci. 2017, 44, 2400–2409. [Google Scholar]
 - Hasneen, D.F.; Zaki, N.L.; Abbas, A.M.; Soliman, A.S.; Ashoush, I.S.; Fayed, A.E. Comparative evaluation of some herbs and their suitability for skimmed milk yoghurt and cast Kariesh cheese fortification as functional foods. Ann. Agric. Sci. 2020, 65, 6–12. [Google Scholar] [CrossRef]
 - Sarwar, A.; Aziz, T.; Al-Dalali, A.; Zhao, X.; Zhang, J.; ud Din, J.; Chen, C.; Cao, Y.; Yang, Z. Physicochemical and microbiological properties of synbiotic yogurt made with probiotic yeast Saccharomyces boulardii in combination with inulin. Foods 2019, 8, 468. [Google Scholar] [CrossRef]
 - Szołtysiak, M.; Kucharska, A.Z.; Dąbrowska, A.; Ziębań, T.; Bobak, Ł.; Chrzanowska, J. Effect of two combined functional additives on yoghurt properties. Foods 2021, 10, 1159. [Google Scholar] [CrossRef] [PubMed]
 - Dabija, A.; Codină, G.G.; Ropciuc, S.; Stroe, S.G. Studies regarding the production of a novel yogurt using some local plant raw materials. J. Food Process. Preserv. 2018, 43, 13826. [Google Scholar] [CrossRef]
 - Yekta, M.; Ansari, S. Jujube mucilage as a potential stabilizer in stirred yogurt: Improvements in the physiochemical, rheological, and sensorial properties. Food Sci. Nutr. 2019, 7, 3709–3721. [Google Scholar] [CrossRef]
 - Zarroug, Y.; Boulares, M.; Mejri, J.; Slimi, B.; Hamdaoui, G.; Djebi, S.; Saidi, F.; Nasri, H.; Sfayhi, D.T.; Kharrat, M. Extraction and characterization of tunisian Quercus ilex starch and its effect on fermented dairy product quality. Int. J. Anal. Chem. 2020, 2020, 8868673. [Google Scholar] [CrossRef] [PubMed]
 - Sengul, M.; Erkaya, T.; Senguel, M.; Yilzid, H. The effect of adding sour cherry pulp into yoghurt on the physicochemical properties, phenolic content and antioxidant activity during storage. Int. J. Dairy Technol. 2012, 65, 429–436. [Google Scholar] [CrossRef]
 - Barat, A.; Ozcan, T. Growth of probiotic bacteria and characteristics of fermented milk containing fruit matrices. Int. J. Dairy Technol. 2018, 71, 120–129. [Google Scholar] [CrossRef]
 - Bierzuńska, P.; Cais-Sokolińska, D.; Yiğit, A. Storage stability of texture and sensory properties of yogurt with the addition of polymerized whey proteins. Foods 2019, 8, 548–567. [Google Scholar] [CrossRef]
 - Hassan, L.K.; Haggag, H.F.; El Kalyoubi, M.H.; El-Aziz, M.A.; El-Sayed, M.M.; Sayed, A.F. Physicochemical properties of yoghurt containing cress seed mucilage or guar gum. Ann. Agric. Sci. 2015, 60, 21–28. [Google Scholar] [CrossRef]
 - Basiri, S.; Haidary, N.; Shekarforoush, S.S.; Niakousari, M. Flaxseed mucilage: A natural stabilizer in stirred yogurt. Carbohyd. Polym. 2018, 187, 59–65. [Google Scholar] [CrossRef]
 - Sah, B.N.P.; Vasiljevic, T.; McKechnie, S.; Donkor, O.N. Physicochemical, textural and rheological properties of probiotic yogurt fortified with fibre-rich pineapple peel powder during refrigerated storage. LWT-Food Sci. Technol. 2016, 65, 978–986. [Google Scholar] [CrossRef]
 - da Silva, D.F.; Tenório Junior, N.N.; Gomes, R.G.; dos Santos Pozza, M.S.; Britten, M.; Matumoto-Pintro, P.T. Physical, microbiological and rheological properties of probiotic yogurt supplemented with grape extract. J. Food Sci. Technol. 2017, 54, 1608–1615. [Google Scholar] [CrossRef]
 - Kermiche, F.; Boulekbache-Makhlouf, L.; Fe´lix, M.; Harkat-Madouri, L.; Remini, H.; Madani, K.; Romero, A. Effects of the incorporation of cantaloupe pulp in yogurt: Physicochemical, phytochemical and rheological properties. Food Sci. Technol. Int. 2018, 24, 585–597. [Google Scholar] [CrossRef]
 - Ryan, J.; Hutchings, S.C.; Fang, Z.; Bandara, N.; Gamlath, S.; Ajlouni, S.; Ranadheera, C.S. Microbial, physicochemical and sensory characteristics of mango juice-enriched probiotic dairy drinks. Int. J. Dairy Technol. 2020, 77, 182–190. [Google Scholar] [CrossRef]
 - Ibhaze, G.A.; Akinbanjo, D.T.; Jacob, G.T. Evaluation of set yoghurt quality enhanced with selected indigenous fruits. Evaluation 2022, 5, 690–699. [Google Scholar]
 - Al-Sahlany, S.T.G.; Khassaf, W.H.; Niamah, A.K.; Al-Manhel, A.J. Date juice addition to bio-yogurt: The effects on physicochemical and microbiological properties during storage, as well as blood parameters in vivo. J. Saudi Soc. Agric. Sci. 2022, 22, 71–77. [Google Scholar] [CrossRef]
 - El-Kholy, W.M.; Aamer, R.A.; Ali, A.N.A. Utilization of inulin extracted from chicory (Cichorium intybus L.) roots to improve the properties of low-fat synbiotic yoghurt. Ann. Agric. Sci. 2020, 65, 59–67. [Google Scholar] [CrossRef]
 - Pérez-Chabel, M.L.; Cebollón-Juárezelsa, A.; Bosquez-Molina, E.; Totosaus, A. Mango peel flour and potato peel flour as bioactive ingredients in the formulation of functional yogurt. Food Sci. Technol. 2022, 42, 1–8. [Google Scholar] [CrossRef]
 - Donmez, O.; Mogol, B.A.; Gökmenm, V. Syneresis and rheological behaviors of set yogurt containing green tea and green coffee powders. J. Dairy Sci. 2017, 100, 901–907. [Google Scholar] [CrossRef] [PubMed]
 - Si Yeon, K.; Hyeonbin, O.; Phyrim, L.; Young-Soon, K. The quality characteristics, antioxidant activity, and sensory evaluation of reduced-fat yogurt and nonfat yogurt supplemented with basil seed gum as a fat substitute. J. Dairy Sci. 2019, 103, 1324–1336. [Google Scholar]
 - Sutakwa, A.; Nadia, L.S.; Suharman, S. Addition of blue pea flower (Clitoria ternatea L.) extract increase antioxidant activity in yogurt from various types of milk. J. Agrecol. 2021, 3, 31–38. [Google Scholar] [CrossRef]
 - Suharman, N.L.S.; Sutakwa, A. Effect of sucrose addition to antioxidant activity and colour in blue pea flower (Clitoria ternatea L.) yoghurt. Food Res. 2022, 12, 1–5. [Google Scholar] [CrossRef]
 - Arslander, A.; Salik, M.A.; Bakirci, I. The effects of adding Hibiscus sabdariffa L. flowers marmalade on some quality properties, mineral content and antioxidant activities of yogurt. J. Food Sci. Technol. 2020, 58, 223–233. [Google Scholar] [CrossRef]
 - Abiraami, R.; Palanidorai, R.; Pugazhenthi, T.R.; Prabu, M. Physicochemical and sensory evaluation of functional yoghurt enriched with tamarind seed kernel powder. J. Pharmacogn. Phytochem. 2021, 10, 1852–1855. [Google Scholar]
 - Alomary, E.A.I. Effect of Different Levels of Watermelon (Citrullus lanatus) Seeds Powder on Chemical and Sensory Properties of Set Yoghurt during Storage. Ph.D. Thesis, Sudan University of Science and Technology, College of Animal Production Science and Technology, Khartoum, Sudan, 2019. [Google Scholar]
 - Tami, S.H.; Aly, E.; Darwish, A.A.; Mohamed, E.S. Buffalo stirred yoghurt fortified with grape seed extract: New insights into its functional properties. Food Biosci. 2022, 47, 101752. [Google Scholar] [CrossRef]
 - Okur, Ö.D. Effect of walnut (Juglans regia L.) on the physicochemical, sensory, phenolic and antioxidant properties of set type yogurts during storage time. Turk J. Food Agric. Sci. 2022, 10, 1060–1065. [Google Scholar] [CrossRef]
 - Gürbüz, Z.; Kotan, T.E.; Şengül, M. Evaluation of physicochemical, microbiological, texture and microstructure characteristics of set-style yoghurt supplemented with quince seed mucilage powder as a novel natural stabiliser. I. Dairy J. 2021, 114, 104938. [Google Scholar] [CrossRef]
 - Fathy, H.M.; Abd El-Maksoud, A.A.; Cheng, W.; Elshaghabee, F.M.F. Value-added utilization of citrus peels in improving functional properties and probiotic viability of Acidophilus-bifidus-thermophilus (ABT)-type synbiotic yoghurt during cold storage. Foods 2022, 11, 2677. [Google Scholar] [CrossRef] [PubMed]
 - Tupamahu, I.P.C.; Budiarso, T.Y. The effect of oyster mushroom (Pleurotus ostreatus) powder as prebiotic agent on yoghurt quality. AIP Con. Process. 2017, 1844, 030006. [Google Scholar]
 - Salah, A.A.H.; Ali, M.E.; Abd Elbaky, M.A.; Atwaa, E.H. Physicochemical, rheological and sensory properties of low-fat yoghurt supplemented with dried mushroom powder. Zag. J. Agric. Res. 2022, 49, 57–66. [Google Scholar]
 - Part, N.; Kazantseva, J.; Rosenvald, S.; Kallastu, A.; Vaikma, H.; Kriščiunaite, T.; Viiard, E. Microbiological, chemical, and sensorial characterisation of commercially available plant-based yoghurt alternatives. Future Foods 2023, 7, 100212. [Google Scholar] [CrossRef]
 - Güneş Bayir, A.; Bilgin, M.G. The effect of cinnamon on microbiological, chemical and sensory analyses of probiotic yogurt. Bezmialem. Sci. 2018, 7, 311–316. [Google Scholar] [CrossRef]
 - Sarvari, F.; Mortazavian, A.M.; Fazeli, M.R. Biochemical characteristics and viability of probiotic and yogurt bacteria in yogurt during the fermentation and refrigerated storage. Appl. Food Biotechnol. 2014, 1, 55–61. [Google Scholar]
 - Delgado-Fernández, P.; Corzo, N.; Olano, A.; Hernández-Hernández, O.; Moreno, F.J. Effect of selected prebiotics on the growth of lactic acid bacteria and physicochemical properties of yoghurts. Int. Diary J. 2019, 89, 77–85. [Google Scholar] [CrossRef]
 - Rul, F. Yogurt: Microbiology, organoleptic properties and probiotic potential. In Fermented Food—Part II: Technological Interventions; Ray, R.C., Montet, D., Eds.; Food Biology Series; CRC Press: Boca Raton, FL, USA, 2017; Volume 19, pp. 419–449. ISBN 9781138637849. [Google Scholar]
 - Birollo, G.A.; Reinheimer, J.A.; Vinderola, C.G. Viability of lactic acid microflora in different types of yoghurt. Food Res. Int. 2000, 33, 799–805. [Google Scholar] [CrossRef]
 - Dołhańczuk-Śródka, A.; Nabrdalik, M.; Maślak, N.; Wąsiewicz, N.; Ziembik, Z. Rheological properties of natural yoghurts. Conference material. Proc. ECOpole 2015, 9, 193–200. [Google Scholar]
 - Kok, C.R.; Hutkins, R. Yogurt and other fermented foods as sources of health–promoting bacteria. Nutr. Rev. 2018, 76, 4–15. [Google Scholar] [CrossRef] [PubMed]
 - Oyeniran, A.; Gyawali, R.; Aljaloud, S.O.; Krastanov, A.; Ibrahim, S.A. Probiotic Characteristic and Health Benefits of the Yogurt Bacterium Lactobacillus Delbrueckii sp. Bulgaricus; IntechOpen: London, UK, 2019. [Google Scholar] [CrossRef]
 - Redondo-Useros, N.; Gheorghe, A.; Díaz-Prieto, L.E.; Villavisencio, B.; Marcos, A.; Nova, E. Associations of probiotic fermented milk (PFM) and yogurt consumption with Bifidobacterium and Lactobacillus components of the gut microbiota in healthy adults. Nutrients 2019, 11, 651. [Google Scholar] [CrossRef] [PubMed]
 - Osman, M.; Gouda, A.; Blassy, K.; Hamed, M. Functional low fat fruit yoghurt. Isma. J. Dairy Sci. Technol. 2020, 7, 11–20. [Google Scholar]
 - Vargavisi, É.; Pápai, G. How to maintain the effective levels of probiotics throughout the shelf life in yoghurt: A review. Acta Agraria Kaposváriensis 2015, 19, 65. [Google Scholar]
 - Zhi, N.N.; Zong, K.; Thakur, K.; Qu, J.; Shi, J.-J.; Yang, J.-L.; Yao, J.; Wei, Z.-J. Development of a dynamic prediction model for shelf–life evaluation of yogurt by using physicochemical, microbiological and sensory parameters. CyTA J. Food. 2017, 16, 42–49. [Google Scholar] [CrossRef]
 - Coskun, F.; Karabulut Dirican, L. Effects of pine honey on the physicochemical, microbiological and sensory properties of probiotic yoghurt. Food Sci. Technol. 2019, 39, 616–625. [Google Scholar] [CrossRef]
 - Donkor, O.N.; Nilmini, S.L.I.; Stolic, P.; Vasiljevic, T.; Shah, N.P. Survival and activity of selected probiotic organisms in set–type yoghurt during cold storage. Int. Dairy J. 2007, 17, 657–665. [Google Scholar] [CrossRef]
 - Machado, T.A.D.G.; de Oliveira, M.E.G.; Campos, M.I.F.; de Assis, P.O.A.; de Souza, E.L.; Madruga, M.S.; Pacheco, M.T.B.; Pintado, M.M.E.; Queiroga, R.C.R.E. Impact of honey on quality characteristics of goat yogurt containing probiotic Lactobacillus acidophilus. LWT-Food Sci. Technol. 2017, 80, 221–229. [Google Scholar] [CrossRef]
 - Mercan, E.; Akin, N. Effect of different levels of pine honey addition on physicochemical, microbiological and sensory properties of set-type yoghurt. Int. J. Dairy Technol. 2016, 70, 245–252. [Google Scholar] [CrossRef]
 - Sarkar, S.; Chandra, S. Honey as a functional additive in yoghurt—A review. Nutr. Food Sci. 2019, 50, 168–178. [Google Scholar] [CrossRef]
 - Mohan, A.; Hadi, J.; Gutierrez-Maddox, N.; Li, Y.; Leung, I.K.H.; Gao, Y.; Shu, Q.; Quek, S.-Y. Sensory, microbiological and physicochemical characterisation of functional manuka honey yogurts containing probiotic Lactobacillus reuteri DPC16. Foods 2020, 9, 106. [Google Scholar] [CrossRef] [PubMed]
 - Barakat, H.; Hassan, M.F.Y. Chemical, nutritional, rheological, and organoleptical characterizations of stirred pumpkin–yoghurt. Food Nutr. Sci. 2017, 8, 746–759. [Google Scholar] [CrossRef]
 - Hong, H.; Son, Y.-J.; Kwon, S.H.; Kim, S.-K. Biochemical and antioxidant activity of yogurt supplemented with paprika juice of different colours. Food Sci. Anim. Resour. 2020, 40, 613. [Google Scholar] [CrossRef]
 - Kamber, U.; Harmankaya, S. The effect of fruits to the characteristics of fruit yoghurt. Pak. J. Agric. Sci. 2019, 56, 495–502. [Google Scholar]
 - Senadeera, S.S.; Prasanna, P.H.P.; Jayawardana, N.W.I.A.; Senadeera, P.; Chandrasekara, A. Antioxidant, physicochemical, microbiological, and sensory properties of probiotic yoghurt incorporated with various Annona species pulp. Heliy 2018, 4, e00955. [Google Scholar] [CrossRef]
 - Dias, P.G.I.; Rathnayaka, R.M.U.S.K. Alteration of quality attributes in yogurts as a function of natural fibres incorporation. Elixir Food Sci. 2019, 131, 53231–53237. [Google Scholar]
 - Karaca, O.B.; Güzeler, N.; Tangüler, H.; Yaşar, K.; Akin, M.B. Effects of apricot fibre on the physicochemical characterictis, the sensory properties and bacterial viability of nonfat probiotic yoghurts. Foods 2019, 8, 33. [Google Scholar] [CrossRef]
 - Aghajani, A.; Mortavaz, S.A.; Tabtabai Yazdi, F.; Shafari Zenosian, M.; Seaidi Asl, M.R. Color, microbiological and sensory properties of low-fat probiotic yogurt supplemented with Spirulina platensis and Ferulago angulata hydroalcoholic extracts during cold storage. Banat’s J. Biotechnol. 2019, 10, 20–34. [Google Scholar] [CrossRef]
 - Çakmakçı, S.; Öz, E.; Çakıroğlu, K.; Polat, A.; Gülçin, İ.; Ilgaz, Ş.; Seyyedcheraghi, K.; Özhamamcı, İ. Probiotic shelf life, antioxidant, sensory, physical and chemical properties of yogurts produced with Lactobacillus acidophilus and green tea powder. Kafkas. Univ. Vet. Fak. Derg. 2019, 25, 673–682. [Google Scholar]
 - Hanifah, R.; Arief, I.I.; Budiman, C. Antimicrobial activity of goat milk yoghurt with addition of a probiotic Lactobacillus acidophilus IIA–2B4 and roselle (Hibiscus sabdariffa L.) extract. Int. Food Res. J. 2016, 23, 2638–2645. [Google Scholar]
 - El-Sayed, A.M.; Youssef, A.M. Potential application of herbs and spices and their effects in functional dairy products. Heliyon 2019, 5, 01989. [Google Scholar] [CrossRef] [PubMed]
 - Yilmaz, E.L.; Topçuoğlu, E. Microbiological and some physicochemical properties of probiotic yogurt enriched with almond milk. Bursa Uludag Üniversitesi Ziraat Fakültesi Dergisi 2019, 33, 321–339. [Google Scholar]
 - Sert, D.; Mercan, E.; Dertli, E. Characterization of lactic acid bacteria from yogurt–like product fermented with pine cone and determination of their role on physicochemical, textural and microbiological properties of product. LWT—Food Sci. Technol. 2017, 78, 70–76. [Google Scholar] [CrossRef]
 - Cho, W.Y.; Kim, D.H.; Le, H.J.; Yeon, S.J.; Lee, C.H. Quality characteristic and antioxidant activity of yogurt containing olive leaf hot water extract. CyTA–J. Food 2020, 18, 43–50. [Google Scholar] [CrossRef]
 - Chlebowska-Śmigiel, A.; Kycia, K.; Neffe-Skocińska, K.; Kliszek, M.; Gniewosz, M.; Kołożyn-Krajewska, D. Effect of Pullulan on physicochemical, microbiological and sensory quality of yogurts. Curr. Pharma. Biotechnol. 2019, 20, 489–496. [Google Scholar] [CrossRef]
 - Dobija, A.; Codinza, G.G.; Ropciuc, S.; Gnal, A.M.; Rusu, L. Assessment of the antioxidant activity and quality attributes of yogurt enhanced with wild herbs extracts. J. Food Qual. 2018, 4, 5329386. [Google Scholar] [CrossRef]
 - Külcü, D.B.; Koşgin, E.B.; Çelik, Ö.F.; Yolacaner, E.T. Investigation of physicochemical, microbiological, textural, and sensory properties of set–type yogurt with Mentha pulegium L. (pennyroyal) powder. J. Food Process. Preserv. 2021, 45, e15549. [Google Scholar]
 - Keshavarzi, M.; Sharifan, A.; Ardakani, S.A.Y. Effect of the ethanolic extract and essential oil of Ferulago angulata (Schlecht.) Boiss. on protein, physicochemical, sensory, and microbial characteristics of probiotic yogurt during storage time. Food Sci. Nutr. 2021, 9, 197–208. [Google Scholar] [CrossRef]
 - Świąder, K.; Florowska, A.; Konisiewicz, Z.; Chen, Y. Functional tea–infused set yoghurt development by evaluation of sensory quality and textural properties. Foods 2020, 9, 1848. [Google Scholar] [CrossRef]
 - Öztürk, H.I.; Aydin, S.; Sözeri, D.; Demirci, T.; Sert, D.; Akin, N. Fortification of set–type yoghurts with Elaeagnus angustifolia L. flours: Effects on physicochemical, textural, and microstructural characteristics. LWT-Food Sci. Technol. 2018, 90, 620–629. [Google Scholar] [CrossRef]
 - Brodziak, A.; Król, J.; Matwijczuk, A.; Czernecki, T.; Glibowski, P.; Wlazło, Ł.; Litwińczuk, A. Effect of sea buckthorn (Hippophae rhamnoides L.) mousse on properties of probiotic yoghurt. Appl. Sci. 2021, 11, 545. [Google Scholar] [CrossRef]
 - Nguyen, L.; Hwang, E.-S. Quality characteristics and antioxidant activity of yogurt supplemented with aronia (Aronia melanocarpa) juice. Prev. Nutr. Food Sci. 2016, 21, 330–337. [Google Scholar] [CrossRef] [PubMed]
 - Ardabilchi Marand, M.; Amjadi, S.; Ardabilchi, M.; Roufegarinejad, L.; Jafari, S.M. Fortification of yogurt with flaxseed powder and evaluation of its fatty acid profile, physicochemical, antioxidant, and sensory properties. Powred Technol. 2020, 351, 76–84. [Google Scholar] [CrossRef]
 - Bialasova, K.; Němečková, I.; Kyselka, J.; Štětina, J.; Solichová, K.; Horáčková, Š. Influence of flaxseed components on fermented dairy product properties. Czech J. Food Sci. 2018, 36, 51–56. [Google Scholar] [CrossRef]
 - Vanegas-Azuero, A.M.; Gutiérrez, L.F. Physicochemical and sensory properties of yogurts containing sacha inchi (Plukenetia volubilis L.) seeds and β–glucans from Ganoderma lucidum. J. Dairy Sci. 2018, 10, 1020–1033. [Google Scholar] [CrossRef]
 - Jakubowska, M.; Karamucki, T. The effect of storage time and temperature on the quality of natural yoghurt. Acta Sci. Pol. Zootechnica 2019, 18, 29–39. [Google Scholar] [CrossRef]
 - Yerlikaya, O.; Akpinar, A.; Saygili, D.; Karagozlu, N. Incorporation of Propionibacterium shermanii subsp. freudenreichii in probiotic dairy drink production: Physicochemical, rheological, microbiological and sensorial properties. Int. J. Dairy Technol. 2019, 70, 392–402. [Google Scholar] [CrossRef]
 - Fayyaz, N.; Shahidi, F.; Roshanak, S. Evaluation of the bioprotectivity of Lactobacillus binary/ternary cultures in yogurt. Food Sci. Nutr. 2020, 8, 5036–5047. [Google Scholar] [CrossRef]
 - Soltani, M.; Say, D.; Guzeler, N. Functional properties and nutritional quality of whey proteins. J. Int. Environ. Appl. Sci. 2017, 12, 334–338. [Google Scholar]
 - Trziszka, T.; Różański, H. Functional food and nutraceuticals in the prevention of lifestyle diseases. Herbalism 2015, 1, 9–19. [Google Scholar] [CrossRef]
 - Morell, P.; Fiszman, S. Revisiting the role of protein–induced satiation and satiety. Food Hydrocoll. 2017, 68, 199–210. [Google Scholar] [CrossRef]
 - Martinez-Villaluenga, C.; Peñas, E.; Frias, J. Chapter 2—Bioactive peptides in fermented foods: Production and evidence for health effects. In Fermented Foods in Health and Disease Prevention, 1st ed.; Frías, J., Martínez-Villaluenga, C., Peñas, E., Eds.; Academic Press: Cambridge, MA, USA, 2017; ISBN 9780128025499. [Google Scholar]
 - Patel, S. Functional food relevance of whey protein: A review of recent findings and scopes Ahead. J. Funct. Foods 2015, 19, 308–319. [Google Scholar] [CrossRef]
 - Baspinar, B.; Güldaş, M. Traditional plain yogurt: A therapeutic food for metabolic syndrome? Crit. Rev. Food Sci. Nutr. 2021, 61, 3129–3143. [Google Scholar] [CrossRef]
 - Vatanparast, H.; Islam, N.; Patil, R.P.; Shamloo, A.; Keshavarz, P.; Smith, J.; Whiting, S. Consumption of yogurt in canada and its contribution to nutrient intake and diet quality among Canadians. Nutrients 2019, 11, 1203. [Google Scholar] [CrossRef] [PubMed]
 - Rundblad, A.; Holven, K.B.; Øyri, L.K.L.; Hansson, P.; Ivan, I.H.; Gjevestad, G.O.; Thoresen, M.; Ulven, S.M. Intake of fermented dairy products induces a less pro–inflammatory postprandial peripheral blood mononuclear cell gene expression response than non–fermented dairy products: A randomized controlled cross–over trial. Molec. Nutr. Food Res. 2020, 64, e2000319. [Google Scholar] [CrossRef] [PubMed]
 - Gil, A.; Ortega, R.M. Introduction and executive summary of the supplement, role of milk and dairy products in health and prevention of noncommunicable chronic diseases: A series of systematic reviews. Adv. Nutr. 2019, 10, 67–73. [Google Scholar] [CrossRef]
 - Brouwer-Brolsma, E.M.; Sluik, D.; Singh-Povel, C.M.; Feskens, E.J. Dairy product consumption is associated with pre–diabetes and newly diagnosed type 2 diabetes in the Lifelines Cohort Study. British J. Nutr. 2018, 119, 442–455. [Google Scholar] [CrossRef]
 - Trichia, E.; Luben, R.; Khaw, K.T.; Wareham, N.J.; Imamura, F.; Forouhi, N.G. The associations of longitudinal changes in consumption of total and types of dairy products and markers of metabolic risk and adiposity: Findings from the European Investigation into Cancer and Nutrition (EPIC)–Norfolk study, United Kingdom. Am. J. Clin. Nutr. 2020, 111, 1018–1026. [Google Scholar] [CrossRef]
 - Fernandez, M.A.; Fisberg, M.; Marette, A. Chapter 28—Role of yogurt in the nutrition and health of children and adolescents. In Yogurt in Health and Disease Prevention; Academic Press: Cambridge, MA, USA, 2017; pp. 491–505. [Google Scholar]
 - Matter, A.A.; Mahmoud, A.M.; Zidan, N.S. Fruit flavored yoghurt: Chemical, functional and rheological properties. Int. J. Agric. Environ. Res. 2016, 2, 57–66. [Google Scholar]
 - Panahi, S.; Fernandez, M.A.; Marette, A.; Tremblay, A. Yogurt, diet quality and lifestyle factors. Eur. J. Clin. Nutr. 2017, 71, 573–579. [Google Scholar] [CrossRef] [PubMed]
 - Zhu, Y.; Wang, H.; Hollis, J.H.; Jackques, P.F. The associations between yogurt consumption, diet quality, and metabolic profiles in children in the USA. Eur. J. Clin. Nutr. 2015, 54, 543–550. [Google Scholar] [CrossRef]
 - D’Addezio, L.; Mistura, L.; Sette, S.; Turrini, A. Sociodemographic and lifestyle characteristics of yogurt consumers in Italy: Results from the INRAN–SCAI 2005–06 Survey. Med. J. Nutr. Met. 2015, 8, 119–129. [Google Scholar] [CrossRef]
 - Mistura, L.; D’Addezio, L.; Sette, S.; Piccinelli, R.; Turrini, A. Diet quality of Italian yogurt consumers: An application of the probability of adequate nutrient intake score (PANDiet). Int. J. Food Sci. Nutr. 2016, 67, 232–238. [Google Scholar] [CrossRef]
 - Bose, K. Yoghurt (LAB) as preventive method against COVID-19. Sci. Open Prep. 2022, 1–13. [Google Scholar] [CrossRef]
 - Kaya, S.; Uzdil, Z.; Cakiroğlu, F.P. Evaluation of the effects of fear and anxiety on nutrition during the COVID-19 pandemic in Turkey. Public Health Nutr. 2021, 24, 282–289. [Google Scholar] [CrossRef]
 - Angeles-Agdeppa, I.; Sun, Y.; Tanda, K.V. Dietary pattern and nutrient intakes in association with non–communicable disease risk factors among Filipino adults: A cross–sectional study. Nutr. J. 2020, 19, 79–92. [Google Scholar] [CrossRef]
 - Babio, N.; Becerra-Tomas, N.; Martınez-Gonzalez, M.A.; Corella, D.; Estruch, R.; Ros, E.; Sayon-Orea, C.; Fito, M.; Serra-Majem, L.; Aros, F.; et al. Consumption of yogurt, low–fat milk and other low–fat dairy products is associated with lower risk of metabolic syndrome incidence in an elderly mediterranean population. J. Nutr. 2015, 145, 2308–2316. [Google Scholar] [CrossRef]
 - Zhang, K.; Dai, H.; Liang, W.; Zhang, L.; Deng, Z. Fermented dairy foods intake and risk of cancer. Int. J. Cancer 2019, 144, 2099–2108. [Google Scholar] [CrossRef]
 - Chen, Y.; Feng, R.; Yang, X.; Dai, J.; Huang, M.; Ji, X.; Li, Y.; Okekunle, A.P.; Gao, G.; Ucheojor Onwuka, J.; et al. Yogurt improves insulin resistance and liver fat in obese women with nonalcoholic fatty liver disease and metabolic syndrome: A randomized controlled trial. Am. J. Clin. Nutr. 2019, 109, 1611–1619. [Google Scholar] [CrossRef]
 - Zheng, X.; Chen, Y.; Ma, D.; Zhang, M.; Huang, Y.; Tong, M.; Yan, B.; Lin, S.; Yan, X.; Liu, C. Correlation between daily energy intake from fat with insulin resistance in patients with polycystic ovary syndrome. Diabetes Metab. Syndr. Obes. Targets Ther. 2021, 14, 295–303. [Google Scholar] [CrossRef] [PubMed]
 - Asghari, G.; Hasheminia, M.; Heidari, A.; Mirmiran, P.; Guity, K.; Shahrzad, M.K.; Azizi, F.; Hadaegh, F. Adolescent metabolic syndrome and its components associations with incidence of type 2 diabetes in early adulthood: Tehran lipid and glucose study. Diabet. Met. Syndrome 2021, 13, 1. [Google Scholar] [CrossRef] [PubMed]
 - Mandal, N.; Grambergs, R.; Mondal, K.; Basu, S.K.; Tahia, F.; Dagogo-Jack, S. Role of ceramides in the pathogenesis of diabetes mellitus and its complications. J. Diabetes Complicat. 2021, 35, 107734. [Google Scholar] [CrossRef] [PubMed]
 - Salas-Salvadó, J.; Guasch-Ferre, M.; Dıaz-Lopez, A.; Babio, N. Yogurt and diabetes: Overview of recent observational studies. J. Nutr. 2017, 147, 1452S–1461S. [Google Scholar] [CrossRef] [PubMed]
 - Buendia, J.R.; Li, Y.; Hu, F.B.; Cabral, H.J.; Loring Bradlee, M.; Quatromoni, P.A.; Singer, M.R.; Curhan, G.C.; Moore, L.L. Regular yogurt intake and risk of cardiovascular disease among hypertensive adults. Am. J. Hypertens 2018, 31, 557–565. [Google Scholar] [CrossRef] [PubMed]
 - Nicola Di Daniele, N.; Marrone, G.; Di Lauro, M.; Di Daniele, F.; Palazzetti, D.; Guerriero, C.; Noce, A. Effects of caloric restriction diet on arterial hypertension and endothelial dysfunction. Nutrients 2021, 13, 274. [Google Scholar] [CrossRef]
 - Kimani, S.; Mirie, W.; Chege, M.; Okube, O.T.; Muniu, S. Association of lifestyle modification and pharmacological adherence on blood pressure control among patients with hypertension at Kenyatta National Hospital, Kenya: A cross–sectional study. BMJ Open. 2019, 9, e023995. [Google Scholar] [CrossRef]
 - Laird, E.; Molloy, A.M.; McNulty, H.; Ward, M.; McCarroll, K.; Hoey, L.; Hughes, C.F.; Cunningham, C.; Strain, J.J.; Casey, M.C. Greater yogurt consumption is associated with increased bone mineral density and physical function in older adults. Osteoporos. Int. 2017, 28, 2409–2419. [Google Scholar] [CrossRef]
 - Woodward, M.; Rugg-Gunn, A.J. Milk, yoghurts and dental caries. Impact Nutr. Diet Oral Health 2020, 28, 77–90. [Google Scholar]
 - Brar, K.K.; Lanser, B.J.; Schneider, A.; Nowak-Wegrzyn, A. Biologics for the treatment of food allergies. Immunol. Allerg. Clin. N. Am. 2020, 40, 575–591. [Google Scholar] [CrossRef] [PubMed]
 - Mahdavinia, M. Food Allergy in adults: Presentations, evaluation and treatment. Med. Clin. 2020, 104, 145–155. [Google Scholar]
 - Shoda, T.; Futamura, M.; Yang, L.; Narita, M.; Saito, H.; Ohya, Y. Yogurt consumption in infancy is inversely associated with atopic dermatitis and food sensitization at 5 years of age: A hospital–based birth cohort study. J. Dermatol. Sci. 2017, 86, 90–96. [Google Scholar] [CrossRef] [PubMed]
 - Manning, L.P.; Yao, C.K.; Biesiekierski, J.R. Therapy of IBS: Is a low FODMAP diet the answer? Front. Psychiatry 2020, 11, 865. [Google Scholar] [CrossRef] [PubMed]
 - Ramachandran, N.; Varghese, R. Cohort studies on potential use of homemade yogurt for systematic treatment of irritable bowel syndrome (IBS) for remission and cure. Int. J. Contemp. Med. Res. 2020, 7, B5–B10. [Google Scholar] [CrossRef]
 - Shorey, S.; Demutska, A.; Chan, V.; Tien Ho Siah, K. Adults living with irritable bowel syndrome (IBS): A qualitative systematic review. J. Psychosom. Res. 2021, 140, 110289. [Google Scholar] [CrossRef]
 - Akar Sahingoz, S.; Yalcin, E. The COVID-19 Pandemic and fermented products. J. Tour. Gastron. Stud. 2022, 10, 882–894. [Google Scholar] [CrossRef]
 - Nyanzi, P.J.; Kupuje, E.M. Invited review: Probiotic yogurt quality criteria, regulatory framework, clinical evidence, and analytical aspects. J. Dairy Sci. 2021, 104, 1–19. [Google Scholar] [CrossRef]
 - Heydari, S.; Hosseini, S.E.; Mortazavian, A.M.; Taheri, S. Biochemical, microbiological, and sensory properties of probiotic yogurt made from Iranian native strains compared to commercial strains. J. Food Proc. Preven. 2020, 45, e15021. [Google Scholar] [CrossRef]
 - Jafari-Nasab, T.; Khaleghi, M.; Farsinejad, A.; Khorrami, S. Probiotic potential and anticancer properties of Pediococcus sp. isolated from traditional dairy products. Biotechnol. Rep. 2021, 29, e00593. [Google Scholar] [CrossRef]
 - Misra, S.; Hari, P.P.; Mishra, N. Novel approaches for co–encapsulation of probiotic bacteria with bioactive compounds, their health benefits and functional food product development: A review. Trends Food Sci. Technol. 2021, 109, 340–351. [Google Scholar] [CrossRef]
 - Tenea, G.N.; Suárez, J. Probiotic potential and technological properties of bacteriocinogenic Lactococcus lactis Subsp. Lactis UTNGt28 from a native Amazonian fruit as a yogurt starter culture. Microorganisms 2020, 8, 733. [Google Scholar] [CrossRef]
 - Li, X.R.; Liu, C.J.; Tang, X.D.; Zhang, H.M.; Luo, Y.Y.; Zhang, L. Gut microbiota alterations from three–strain yogurt formulation treatments in slow–transit constipation. Canadian J. Inf. Dis. Med. Microbiol. 2020, 2020, 4583973. [Google Scholar] [CrossRef] [PubMed]
 - Mirghafourvand, M.; Rad, A.H.; Alizadeh, S.M.C.; Fardiazar, Z.; Shokri, K. The effect of probiotic yogurt on constipation in pregnant women: A randomized controlled clinical trial. Iran. Red. Crescent Med. J. 2016, 18, e39870. [Google Scholar] [CrossRef] [PubMed]
 - Maghaddam, S.T.; Javadi, A.; Matin, A.A. Reduction of bisphenol A by Lactobacillus acidophilus and Lactobacillus plantarum in yoghurt. Int. J. Diary Technol. 2020, 73, 737–742. [Google Scholar] [CrossRef]
 - Banach, K.; Glibowski, P.; Jedut, P. The effect of probiotic yogurt containing Lactobacillus Acidophilus LA–5 and Bifidobacterium Lactis BB–12 on selected anthropometric parameters in obese individuals on an energy–restricted diet: A randomized, controlled trial. Appl. Sci. 2020, 10, 5830. [Google Scholar] [CrossRef]
 - Fiocco, D.; Longo, A.; Arena, M.P.; Russo, P.; Spano, G.; Capozzi, V. How probiotics face food stress: They get by with a little help. Crit. Rev. Food Sci. Nutr. 2020, 60, 1552–1580. [Google Scholar] [CrossRef]
 - Green, M.; Arora, K.; Prakash, S. Microbial medicine: Prebiotic and probiotic functional foods to target obesity and metabolic syndrome. Int. J. Mol. Sci. 2020, 21, 2890. [Google Scholar] [CrossRef] [PubMed]
 - Kowalski, R.; Gustafon, E.; Carroll, M.; de Mejia, E.G. Enhancement of biological properties of blackcurrants by lactic acid fermentation and incorporation into yogurt: A review. Antioxidants 2020, 9, 1194. [Google Scholar] [CrossRef]
 - He, A.; Chin, J.; Lomiguen, C.M. Benefits of probiotic yogurt consumption on maternal health and pregnancy outcomes: A systematic review. Cureus 2020, 12, e9408. [Google Scholar] [CrossRef]
 - Verduci, E.; Mameli, C.; Amatruda, M.; Petitti, A.; Vizzuso, S.; El Assadi, F.; Zuccotti, G.; Alabduljabbar, S.; Terranegra, A. Early nutrition and risk of type 1 diabetes: The role of gut microbiota. Front. Nutr. 2020, 23, 612377. [Google Scholar] [CrossRef]
 - de Souza Ribeiro, A.; da Silva, M.N.; Tagliapietra, B.L.; de Souza Brum Jứnior, B.; Ugalde, M.L.; dos Santos Richards, N.S.P. Development of symbiotic yoghurt and biological evaluation (New Zealand White Rabbits) of its functional properties. Food Sci. Technol. 2019, 39, 2. [Google Scholar]
 - Kumar, H.; Salminen, S.; Verhagen, H.; Rowland, I.; Heimbach, J.; Bañares, S.; Young, T.; Nomoto, K.; Lalonde, M. Novel probiotics and prebiotics: Road to the market. Curr. Opin. Biotechnol. 2015, 32, 99–103. [Google Scholar] [CrossRef] [PubMed]
 - Ban, Q.; Cheng, J.; Sun, X.; Jiang, Y.; Zhao, S.; Song, X.; Guo, M. Effects of a synbiotic yogurt using monk fruit extract as sweetener on glucose regulation and gut microbiota in rats with type 2 diabetes mellitus. J. Dairy Sci. 2020, 103, 2956–2968. [Google Scholar] [CrossRef] [PubMed]
 - Bărboi, O.B.; Ciortescu, I.; Chirilă, I.; Anton, C.; Drug, V. Effect of inulin in the treatment of irritable bowel syndrome with constipation (Review). Exp. Ther. Med. 2020, 20, 185. [Google Scholar] [CrossRef] [PubMed]
 - Alvarez-Bueno, C.; Cavero-Redondo, I.; Martinez-Vizcaino, V.; Sotos-Prieto, M.; Ruiz, J.R.; Gil, A. Effects of milk and dairy product consumption on type 2 diabetes: Overview of systematic reviews and meta–analyses. Adv. Nutr. 2019, 10, 154–163. [Google Scholar] [CrossRef] [PubMed]
 - Bhupathi, V.; Mazariegos, M.; Cruz Rodriguez, J.B.; Deoker, A. Dairy intake and risk of cardiovascular disease. Curr. Cardiol. Rep. 2020, 29, 11. [Google Scholar] [CrossRef]
 - Bhavadharini, B.; Dehghan, M.; Mente, A.; Rangarajan, S.; Sheridan, P.; Mohan, V.; Iqbal, R.; Gupta, R.; Lear, S.; Wentzel-Viljoen, E.; et al. Association of dairy consumption with metabolic syndrome, hypertension and diabetes in 147812 individuals from 21 countries. BMJ Open Diabetes Res. Care 2020, 8, e000826. [Google Scholar] [CrossRef]
 - Guo, J.; Givens, I.; Astrup, A.; Bakker, S.J.L.; Goossens, G.H.; Kratz, M.; Marette, A.; Pijl, H.; Soedamah-Muthu, S.S. The impact of dairy products in the development of type 2 diabetes: Where does the evidence stand in 2019? Adv. Nutr. 2019, 10, 1066–1075. [Google Scholar] [CrossRef]
 - Zhang, X.; Chen, X.; Xu, Y.; Yang, J.; Du, L.; Li, K.; Zhou, Y. Milk consumption and multiple health outcomes: Umbrella review of systematic reviews and meta analyses in humans. Nutr. Metab. 2021, 18, 7. [Google Scholar] [CrossRef]
 - WHO. 2018. Available online: http://www.who.int/news-room/fact-sheets/detail/noncommunicable-diseases (accessed on 15 August 2022).
 - Aisha, Z.M.; Ayodeji, O.A.; Datsugwai, M.S.S.; Moriki, A.I. Microbiological analysis of baobab yoghurt produced using Lactobacillus bulgaricus. Int. J. Microbiol. Biotechnol. 2017, 2, 93–101. [Google Scholar]
 - Kandylis, P.; Kokkinomagoulos, E. Food applications and potential health benefits of pomegranate and its derivatives. Foods 2020, 9, 122. [Google Scholar] [CrossRef]
 - Kostogrys, R.B.; Franczyk-Żarów, M.; Wybrańskia, I. Nutrient Genomics and “Novel Foods”—The Use of “Omics” Techniques in the Food Industry. In Innovative Solutions in Food Technology and Human Nutrition; Tarko, T., Drożdż, I., Najgebauer-Lejko, D., Duda-Chodak, A., Eds.; Małopolska Branch of the Polish Society of Food Technologists Publishing: Kraków, Poland, 2016; ISBN 978-83-937001-8-9. [Google Scholar]
 - Plasek, B.; Lakner, Z.; Kasza, G.; Temesi, A. Consumer evaluation of the role of functional food products in disease prevention and the characteristics of target groups. Nutrients 2020, 12, 69. [Google Scholar] [CrossRef]
 - Shetty, K.; Sarkar, D. Functional Foods and Biotechnology: Biotransformation and analysis of functional foods and ingredients. In Functional foods and Biotechnology Biotransformation and Analysis of Functional Foods and Ingredients, 1st ed.; Shetty, K., Sarkar, D., Eds.; CRC Press: Boca Raton, FL, USA, 2020; ISBN 9781003003793. [Google Scholar]
 - Alenisan, M.A.; Alqattan, H.H.; Tolbach, L.S.; Shori, A.B. Antioxidant properties of dairy products fortified with natural additives: A review. Arab J. Basic Appl. Sci. 2017, 24, 101–106. [Google Scholar] [CrossRef]
 - Fernandez, M.A.; Marette, A. Potential health benefits of combining yogurt and fruits based on their probiotic and prebiotic properties. Adv. Nutr. 2017, 8, 155–164. [Google Scholar] [CrossRef] [PubMed]
 - Liu, D.; Lv, X.X. Effect of blueberry flower pulp on sensory, physicochemical properties, lactic acid bacteria, and antioxidant activity of set-type yogurt during refrigeration. J. Food Process. Preserv. 2019, 43, e13856. [Google Scholar] [CrossRef]
 - Maqsood, S.; Adiamo, O.; Ahmad, M.; Mudgil, P. Bioactive compounds from date fruit and seed as potential nutraceutical and functional food ingredients. Food Chem. 2020, 308, 125522. [Google Scholar] [CrossRef] [PubMed]
 - Kennas, A.; Amellal-Chibane, H. Sensory acceptance, quality characteristics and antioxidant activity of yoghurt fortified with honey and pomegranate peel. Annals. Food Sci. Technol. 2019, 20, 240–250. [Google Scholar]
 - Kavak, D.D.; Akdenİz, B. Physicochemical characteristic and antioxidant capacity of traditional yogurt fortified with grape (Vitis vinifera L.) seed extract at different levels. Kocatepe Vet. J. 2019, 12, 389–395. [Google Scholar]
 - Oliveira, A.; Alexandre, E.M.C.; Coelho, M.; Lopes, C.; Almeida, D.P.F.; Pintado, M. Incorporation of strawberries preparation in yoghurt: Impact on phytochemicals and milk proteins. Food Chem. 2015, 171, 370–378. [Google Scholar] [CrossRef]
 - Raikos, V.; Ni, H.; Hayes, H.; Ranawana, V. Antioxidant properties of a yogurt beverage enriched with salal (Gaultheria shallon) berries and blackcurrant (Ribes nigrum) pomace during cold storage. Beverages 2018, 5, 2. [Google Scholar] [CrossRef]
 - Muniandy, P.; Shori, A.B.; Baba, A.S. Influence of green, white and black tea addition on the antioxidant activity of probiotic yogurt during refrigerated storage. Food Packag. Shelf Life 2016, 8, 1–8. [Google Scholar] [CrossRef]
 - Amirdivani, S.; Baba, A.S. Changes in yogurt fermentation characteristics, and antioxidant potential and in vitro inhibition of angiotensin–1 converting enzyme upon the inclusion of peppermint, dill and basil. Lebensm.—Wiss. Technol. 2011, 44, 1458–1464. [Google Scholar] [CrossRef]
 - Gaglio, R.; Gentile, C.; Bonanno, A.; Vintaloro, L.; Perrone, A.; Mazza, F.; Barbaccia, P.; Settanni, L.; Di Giorgio, A. Effect of saffron addition on the microbiological, physicochemical, antioxidant and sensory characteristics of yoghurt. Int. J. Diary Technol. 2019, 72, 208–217. [Google Scholar] [CrossRef]
 - Caleja, C.; Barros, L.; Antonio, A.L.; Carocho, M.; Oliviera, M.B.P.P.; Ferreira, I.C.F.R. Fortification of yogurts with different antioxidant preservatives: A comparative study between natural and synthetic additives. Food Chem. 2016, 210, 262–268. [Google Scholar] [CrossRef]
 - Shori, A.B. Storage quality and antioxidant properties of yogurt fortified with polyphenol extract from nutmeg, black pepper, and white pepper. Electronic J. Biotechnol. 2022, 57, 24–30. [Google Scholar] [CrossRef]
 - Baba, W.N.; Jan, K.; Punoo, H.A.; Wani, T.A.; Dar, M.M.; Masoodi, F.A. Techno–functional properties of yoghurts fortified with walnut and flaxseed oil emulsions in guar gum. LWT—Food Sci. Technol. 2018, 92, 242–249. [Google Scholar] [CrossRef]
 



| Production | Milk (MM t) *  | Yoghurt (MM t) *  | Percentage (%)  | 
|---|---|---|---|
| World | 132,601.202 | 230.801 | 0.17 | 
| Europe | 229 | 8.20 | 3.58 | 
| Poland | 1.447 | 0.73 | 5.04 | 
| Composition | Animal Species | ||||
|---|---|---|---|---|---|
| Cow | Sheep | Goat | Buffalo | Camel | |
| Basic Nutritional Value | |||||
| Total protein (%) | 3.2–4.6 | 5.1–9.5 | 3.9–7.9 | 4.2–4.7 | 3.2–3.6 | 
| Casein (%) | 2.5–2.7 | 3.9–7.6 | 2.9–6.3 | 3.2–3.7 | 2.2–2.8 | 
| Fat 9%) | 3.5–5.3 | 7.0–9.3 | 5.3–6.3 | 5.5–6.4 | 3.1–4.4 | 
| Lactose (%) | 4.0–4.7 | 4.7–5.0 | 3.3–4.2 | 4.8–5.2 | 3.4–6.9 | 
| Lactic acid (%) | 0.7–1.1 | 0.7–0.8 | 0.8–0.9 | 0.8–0.9 | 0.8–1.3 | 
| Ash (%) | 0.7–0.8 | 0.9–1.5 | 0.7–0.8 | 0.7–0.8 | 0.8–1.1 | 
| Minerals | |||||
| Calcium (mg/100 g) | 98–245 | 295–330 | 84–160 | 142–197 | 72–130 | 
| Phosphorus (mg/100 g) | 88–170 | 180–268 | 89–140 | 125–200 | 50–72 | 
| Magnesium (mg/100 g) | 10–13 | 19–22 | 8–15 | 10–16 | 9–13 | 
| Potassium (mg/100 g) | 26–42 | 100–223 | 127–162 | 58–112 | 120–160 | 
| Physical features | |||||
| Active acidity (pH value) | 4.4–5.2 | 4.4–4.7 | 4.2–4.5 | 4.3–4.5 | 4.3–5.6 | 
| Syneresis (%) | 22–56 | 5–28 | 7–47 | 10–12 | 45–58 | 
| Moisture (%) | 75–84 | 73–80 | 72–80 | 82–86 | 83–88 | 
| Additive Used | Evaluated Parameters | Experimental Approach—Factors Included | Results | References | 
|---|---|---|---|---|
| Fruits | ||||
| Pineapple—powder peel | 
  | 
  | Syneresis ↑ pH value ↓ firmness ↑ viscosity ↑ colour intensity ↑ probiotic cultures ↓  | [51] | 
| Grape—extract from grapes from Vitis vinifera  | 
  | 
  | microbial growth ↓ pH value ↓ syneresis ↑ strength ↓ sensory properties ↓  | [52] | 
| Cantaloupe (C. melon)—powder and puree | 
  | 
  | pH value ↓ antioxidant activity ↓ WHC ↓ lactic flora ↓ quality of yoghurts ↑  | [53] | 
| Mango—juice | 
  | 
  | number of bacteria ↓ pH value ↓ viscosity ↑ TA ↑ colour value ↑  | [54] | 
| Lemon, grape, pawpaw, orange—juice, synthetic pineapple—flavourant | 
  | 
  | WHC ↑ viscosity ↓ syneresis ↓ moisture ↑ ash ↓ fat ↓ protein ↓ carbohydrates ↑ pH value ↑↓ lactic acid ↑ vitamin C ↓ FFA ↓ lactose ↑ cholesterol ↓ peroxide value ↑  | [55] | 
| Date—juice | 
  | 
  | pH value ↓ total acidity ↑ syneresis ↓ total lactic acid bacteria ↓  | [56] | 
| Vegetables | ||||
| Pumpkin, carrots, green peas, zucchini—puree | 
  | 
  | pH value ↓ number of bacteria ↓ titratable acidity ↓ syneresis ↓ total solids ↓ ash ↓ dietary fibre ↑ total carotenoid ↑ total antioxidant capacity ↑ ascorbic acid ↑ total phenolic content ↑  | [35] | 
| Chicory—inulin extracted from chicory roots (Cichorium intybus L.) | 
  | 
  | microstructural properties ↑ rheological properties ↑ sensory properties ↓ pH value ↑ titratable acidity ↑ WHC ↓ microbial ↓  | [57] | 
| Potato peel flour | 
  | 
  | syneresis ↓ apparent viscosity ↑ titratable acidity ↑ pH value ↓ sensory acceptation ↓  | [58] | 
| Herbs and tea | ||||
| Green coffee powder and green tea powder | 
  | 
  | syneresis ↓ pH value ↓ shear stress ↑ flow behaviour index ↓ colour—no significant differences  | [59] | 
| Basil gum from basil seeds | 
  | 
  | total phenol content ↑ pH value ↓ titratable acidity ↑  | [60] | 
| Flowers | ||||
| Blue pea flower (Clitoria ternatea L.) | 
  | 
  | antioxidant activity ↑ colour ↑  | [61] | 
| Blue pea flower (Clitoria ternatea) | 
  | 
  | antioxidant activity ↑ colour ↑  | [62] | 
| Hibiscus sabdariffa L. flowers | 
  | 
  | pH value ↓ titratable acidity ↑ total solids ↑↓ fat ↑↓ protein ↓ ash ↑ lactic acid ↓ viscosity ↑↓ syneresis ↑↓ serum separation ↓ macro minerals ↓ micro minerals ↓ antioxidant activity ↑ sensory properties ↓  | [63] | 
| Seeds | ||||
| Lyophilized tamarind (Tamarindus indica L.) seed kernel powder | 
  | 
  | pH value ↑ acidity↓ fat ↑↓ total solids ↑ specific gravity ↓ sensory properties ↓  | [64] | 
| Watermelon (Citrullus lanatus) seeds powder | 
  | 
  | protein ↓ fat ↑ acidity ↑ total solids ↓ ash ↓ colour ↓↑ flavour ↓ texture ↓↑ taste ↓↑ overall ↓↑  | [65] | 
| Grape seed—extract | 
  | 
  | total solids ↑ ash ↑ pH value ↑ WHC ↑ viscosity ↑ total phenolic content ↑ colour ↓ flavour ↓ texture ↓ overall acceptability ↓ in vitro antioxidant, anti- bacterial, and anticancer activities ↑  | [66] | 
| Nuts | ||||
| Hazelnut, walnut, almond,  pistachio nuts  | 
  | 
  | yoghurt bacteria ↓ pH value ↓ titratable acidity ↑ fat ↓ total protein ↓ syneresis ↓↑ WHC ↓ whey separation ↑ firmness ↑ folic acid ↓ selenium ↓ α- and γ-tocopherol values ↓↑ omega fatty acid composition ↓↑  | [37] | 
| Walnut (Juglans regia L.) | 
  | 
  | titratable acidity ↑ pH value ↓ whey separation ↓ dry matter ↓↑ total phenolic content ↓↑ overall acceptability ↓↑ antioxidant activity ↓  | [67] | 
| Other | ||||
| Quince seed mucilage powder | 
  | 
  | syneresis ↓ total solids ↑ fat ↓ protein ↓↑ ash ↓↑ viable counts ↓ pH value ↓ titratable acidity ↑ apparent viscosity ↓↑ colour—no significant changes firmness ↓↑ consistency ↓ cohesiveness ↓↑  | [68] | 
| Sour orange, sweet orange,  lemon peels  | 
  | 
  | titratable acidity ↑ moisture ↓ antioxidant acidity ↑ antibacterial efficiency ↓↑ viable counts ↓↑  | [69] | 
| Oyster mushroom (Pleurotus ostreatus)—powder  | 
  | 
  | total lacid acid ↑ pH value ↓ probiotic viability ↑ organoleptic properties ↑  | [70] | 
| Mushroom (Pleurotus plumonarius)—powder | 
  | 
  | total solids ↑ fat ↑ protein ↑ dietary fiber ↑ acidity↑ pH ↓ total phenolic content ↓ RSA ↓ syneresis ↑ viscosity ↑ total bacterial count ↓  | [71] | 
| Parameters | Plant Additives | ||||
|---|---|---|---|---|---|
| Fruits | Vegetables | Herbs and Tea | Seeds and Nuts | Flowers | |
| pH value | ↓ | ↓ | ↓↑ | ↑ | ↓ | 
| Syneresis | ↑ | ↑ | ↓↑ | ↑ | ↓↑ | 
| Colour | ↓ | ↓ | ↑ | ↑ | ↓ | 
| Total phenolic content—TPC | ↑ | ↑ | ↑ | ↑ | ↑ | 
| Bacteria content | ↓ | ↑ | ↓ | ↓ | ↓ | 
| Antioxidant activity | ↑ | ↑ | ↑ | ↑ | ↑ | 
| Protein content | ↑ | ↓ | ↑ | ↓ | ↓ | 
| Firmness | ↑ | ↑ | ↑ | ↑ | ↑ | 
| Titratable acidity | ↑ | ↑ | ↑ | ↑ | |
| Apparent viscosity values | ↑ | ↑ | ↓↑ | ↑ | ↑ | 
| Water holding capacity—WHC | ↓ | ↑ | ↓↑ | ↓ | |
| Sensory properties | ↓ | ↓ | |||
| Additive Used | Evaluated Parameters | Experimental Approach—Factors Included | Results | References | 
|---|---|---|---|---|
| Natural yoghurt on the basis of typical cultures | 
  | 
  | acidity ↑ pH value ↓ number of bacteria ↓ sensory parameters ↓  | [115] | 
| Natural yoghurt with added cultures of Propionibacterium shermanii subsp. freudenreichii | 
  | 
  | pH value ↑ acidity ↓ probiotic bacteria ↑ sensorial properties ↓  | [116] | 
| Natural yoghurt on the basis of typical cultures | 
  | 
  | LAB ↑ pH value ↓ titratable acidity ↓ WHC ↓ sensorial properties ↑  | [117] | 
| Disease/Dysfunction | Research with Yoghurt Health Effect | Literature Reference | 
|---|---|---|
| Metabolic syndrome (MetS)/Syndrome X | Consumption of reduced-fat yoghurt was closely associated with lower fasting glucose, blood pressure and lipid parameters. Compared to those consuming the smallest amount of whole dairy products (up to 270 g/day), participants consuming dairy products above 450 g/day were distinguished by higher physical activity, lower blood triglycerides concentration and higher high-density lipoprotein concentration. In addition, they consumed fewer calories, and less red meat, grains, nuts and alcohol with their diets.  | [137,138] | 
| Cancer | Consumption of yoghurts showed a reduction in the odds ratio (OR) of the occurrence of colorectal cancer (OR = 0.88, 95% CI = 0.84–0.93), bladder (OR = 0.79, 95% CI = 0.68–0.91) and oesophageal cancer (OR = 0.64, 95% CI = 0.54–0.77). | [139] | 
| Insulin resistance | People consuming 220 g of yoghurt daily for 24 weeks showed a reduction in the HOMA–IR (Homeostatic Model Assessment of Insulin Resistance) index from 3.78 to 2.8. It also lowered: 
  | [140,141] | 
| Diabetes | Consumption of yoghurt may reduce the risk of type 2 diabetes in older healthy adults and adults at high cardiovascular risk. Yoghurt consumption can modulate glucose metabolism and gives a feeling of satiety (due to the high-quality amino acids), which reduces energy intake and regulates blood glucose levels. | [142,143,144] | 
| Hypertension | Consumption of two or more yoghurts for a month reduces blood pressure levels. In addition, people consuming yoghurt showed greater physical activity, higher efficiency DASH diet, higher amounts of dietary fibre, vegetables and fruits, and lower consumption of alcohol, red meat and meat products. | [145,146,147] | 
| Osteoporosis | Consumption of yoghurt by women reduced the risk of osteoporosis by 31% and men by 52%. Consumption of yoghurt in the elderly may help maintain bone health. People who consumed one or more daily servings of yoghurt had a 3.1% higher total hip density than people who do not consume fermented milk products. Due to the content of key minerals and vitamins (calcium, vitamin D, vitamin B2 and B12), yoghurt has protective properties for changes in the bone and joint system.  | [148] | 
| Caries | Natural yoghurt without added sugar, due to the presence of lactic acid, contributed to lowering the pH in the oral cavity, thus inhibiting the multiplication of pathogenic microorganisms. In addition, the ongoing fermentation process contributed to the reduction in lactose levels, which reduces the formation of caries in the oral cavity. | [149] | 
| Food allergies | Among the 1166 children surveyed whose parents declared responses at the age of 5, it was shown that their intake of fermented milk products in infancy lowered the risk of allergic diseases. Moreover, among 5 year olds the concentration of specific IgE indicated that only 8.8% were allergic to food allergens, compared to the total allergy, which was less than 58%. | [150,151,152] | 
| Irritable bowel syndrome (IBS) | Research has shown that regular yoghurt consumption is correlated with a lower likelihood of developing irritable bowel syndrome (IBS). Moreover, in one of the studies, it was shown that people (150) who consumed about 700 g of yoghurt per day achieved disease remission within 180 days (91% of respondents) and achieved complete recovery within 300 days (about 97% of respondents). Due to the presence of lactic acid bacteria (LAB), yoghurt belongs to the food that is a natural probiotic, having a health-promoting effect on the mycophore of the gastrointestinal tract—therapeutically in the case of IBS.  | [153,154,155] | 
| Coronavirus 2  (SARS-CoV-2)  | Studies on the impact of food and Covid-19 indicate that enriching the diet with fermented milk products, i.e., yoghurt, prevents the proliferation of bacteria responsible for the development of respiratory infections. Due to the rich nutritional matrix offered by yoghurt, it improves the functioning of the digestive tract, thus strengthening the overall immunity of the body. | [156] | 
Disclaimer/Publisher’s Note: The statements, opinions and data contained in all publications are solely those of the individual author(s) and contributor(s) and not of MDPI and/or the editor(s). MDPI and/or the editor(s) disclaim responsibility for any injury to people or property resulting from any ideas, methods, instructions or products referred to in the content.  | 
© 2023 by the authors. Licensee MDPI, Basel, Switzerland. This article is an open access article distributed under the terms and conditions of the Creative Commons Attribution (CC BY) license (https://creativecommons.org/licenses/by/4.0/).
Share and Cite
Wajs, J.; Brodziak, A.; Król, J. Shaping the Physicochemical, Functional, Microbiological and Sensory Properties of Yoghurts Using Plant Additives. Foods 2023, 12, 1275. https://doi.org/10.3390/foods12061275
Wajs J, Brodziak A, Król J. Shaping the Physicochemical, Functional, Microbiological and Sensory Properties of Yoghurts Using Plant Additives. Foods. 2023; 12(6):1275. https://doi.org/10.3390/foods12061275
Chicago/Turabian StyleWajs, Joanna, Aneta Brodziak, and Jolanta Król. 2023. "Shaping the Physicochemical, Functional, Microbiological and Sensory Properties of Yoghurts Using Plant Additives" Foods 12, no. 6: 1275. https://doi.org/10.3390/foods12061275
APA StyleWajs, J., Brodziak, A., & Król, J. (2023). Shaping the Physicochemical, Functional, Microbiological and Sensory Properties of Yoghurts Using Plant Additives. Foods, 12(6), 1275. https://doi.org/10.3390/foods12061275
        
